Главная // Актуальные документы // ГОСТ Р (Государственный стандарт)СПРАВКА
Источник публикации
М.: Стандартинформ, 2018
Примечание к документу
Документ
введен в действие с 1 марта 2019 года.
Название документа
"ГОСТ Р 8.955-2018. Национальный стандарт Российской Федерации. Государственная система обеспечения единства измерений. Стандартные справочные данные. Соединения на основе дигидрофосфата калия. Параметры кристаллической решетки в диапазоне концентраций от 15 ат. % до 80 ат. % дейтерия"
(утв. и введен в действие Приказом Росстандарта от 13.12.2018 N 1098-ст)
"ГОСТ Р 8.955-2018. Национальный стандарт Российской Федерации. Государственная система обеспечения единства измерений. Стандартные справочные данные. Соединения на основе дигидрофосфата калия. Параметры кристаллической решетки в диапазоне концентраций от 15 ат. % до 80 ат. % дейтерия"
(утв. и введен в действие Приказом Росстандарта от 13.12.2018 N 1098-ст)
Утвержден и введен в действие
агентства по техническому
регулированию и метрологии
от 13 декабря 2018 г. N 1098-ст
НАЦИОНАЛЬНЫЙ СТАНДАРТ РОССИЙСКОЙ ФЕДЕРАЦИИ
ГОСУДАРСТВЕННАЯ СИСТЕМА ОБЕСПЕЧЕНИЯ ЕДИНСТВА ИЗМЕРЕНИЙ
СТАНДАРТНЫЕ СПРАВОЧНЫЕ ДАННЫЕ.
СОЕДИНЕНИЯ НА ОСНОВЕ ДИГИДРОФОСФАТА КАЛИЯ
ПАРАМЕТРЫ КРИСТАЛЛИЧЕСКОЙ РЕШЕТКИ В ДИАПАЗОНЕ
КОНЦЕНТРАЦИЙ ОТ 15 ат. % ДО 80 ат. % ДЕЙТЕРИЯ
State system for ensuring the uniformity of measurements.
Standard reference data. Compounds based on potassium
dihydrogen phosphate. Lattice parameters in the range
of concentrations of deuterium from 15 at. %. to 80 at. %
ГОСТ Р 8.955-2018
Дата введения
1 марта 2019 года
1 РАЗРАБОТАН Федеральным государственным унитарным предприятием "Всероссийский научно-исследовательский институт метрологической службы" (ФГУП "ВНИИМС)
2 ВНЕСЕН Техническим комитетом по стандартизации ТК 180 "Стандартные справочные данные о физических константах и свойствах веществ и материалов"
3 УТВЕРЖДЕН И ВВЕДЕН В ДЕЙСТВИЕ
Приказом Федерального агентства по техническому регулированию и метрологии от 13 декабря 2018 г. N 1098-ст
4 ВВЕДЕН ВПЕРВЫЕ
Правила применения настоящего стандарта установлены в статье 26 Федерального закона от 29 июня 2015 г. N 162-ФЗ "О стандартизации в Российской Федерации". Информация об изменениях к настоящему стандарту публикуется в ежегодном (по состоянию на 1 января текущего года) информационном указателе "Национальные стандарты", а официальный текст изменений и поправок - в ежемесячном информационном указателе "Национальные стандарты". В случае пересмотра (замены) или отмены настоящего стандарта соответствующее уведомление будет опубликовано в ближайшем выпуске ежемесячного информационного указателя "Национальные стандарты". Соответствующая информация, уведомление и тексты размещаются также в информационной системе общего пользования - на официальном сайте Федерального агентства по техническому регулированию и метрологии в сети Интернет (www.gost.ru)
Настоящий стандарт распространяется на стандартные справочные данные о параметрах кристаллической решетки дигидрофосфата калия в диапазоне концентраций дейтерия на местах водорода от 15 ат. % до 80 ат. % с использованием образцов, изготовленных из монокристаллов и поликристаллов.
В настоящем стандарте использованы нормативные ссылки на следующие стандарты:
ГОСТ 34100.3 Неопределенность измерения. Часть 3. Руководство по выражению неопределенности измерения
ГОСТ Р 8.614 Государственная система обеспечения единства измерений. Государственная служба стандартных справочных данных. Основные положения
Примечание - При пользовании настоящим стандартом целесообразно проверить действие ссылочных стандартов в информационной системе общего пользования - на официальном сайте Федерального агентства по техническому регулированию и метрологии в сети Интернет или по ежегодному информационному указателю "Национальные стандарты", который опубликован по состоянию на 1 января текущего года, и по выпускам ежемесячного информационного указателя "Национальные стандарты" за текущий год. Если заменен ссылочный стандарт, на который дана недатированная ссылка, то рекомендуется использовать действующую версию этого стандарта с учетом всех внесенных в данную версию изменений. Если заменен ссылочный стандарт, на который дана датированная ссылка, то рекомендуется использовать версию этого стандарта с указанным выше годом утверждения (принятия). Если после утверждения настоящего стандарта в ссылочный стандарт, на который дана датированная ссылка, внесено изменение, затрагивающее положение, на которое дана ссылка, то это положение рекомендуется применять без учета данного изменения. Если ссылочный стандарт отменен без замены, то положение, в котором дана ссылка на него, рекомендуется применять в части, не затрагивающей эту ссылку.
Актуальность получения высокоточных значений структурных характеристик дейтерированных аналогов дигидрофосфата калия связана с их широким применением в различных сферах лазерной техники.
Эти аналоги относятся к семейству веществ на основе дигидрофосфата, KH
2PO
4 (КДП, дигидрофосфат калия, монофосфат калия) - калиевой соли ортофосфорной кислоты; материалы - порошки белого цвета с плотностью 2,338 г/см
3, молярной массой 136,09 г/моль, pH в растворах от 4 до 4,5 (5%), температурой плавления - 526 К (253 °C). При нормальной температуре пространственная группа симметрии элементарной ячейки относится к тетрагональной сингонии

.
Структура и результаты измерений параметров кристаллической решетки исходного химического соединения дигидрофосфата калия (KH2PO4), которая при нормальной температуре была установлена методами рентгенографии, а затем она и дейтерированные аналоги K(H-D)2PO4 - ДКДП неоднократно уточнялись. В этом соединении при понижении температуры были открыты сегнетоэлектрические свойства, появление которых сопровождалось структурным фазовым переходом с понижением симметрии низкотемпературной фазы.
В физико-технических применениях дейтерированные кристаллы семейства ДКДП используют как одни из ключевых компонент квантовой электроники и лазерной техники.
Большое внимание во многих исследовательских работах уделяют влиянию замещения водорода в кристаллах КДП на дейтерий, на различные характеристики кристаллов этого семейства.
Кристаллы ДКДП используют в устройствах для создания лазерной техники.
В настоящем стандарте приведены стандартные справочные данные о параметрах кристаллической решетки (размерах элементарной ячейки) твердых растворов в диапазоне концентраций дейтерия в K(H
1-xD
x)
2PO
4 от x = 0,15 до x = 0,78. Стандартизированные материалы разработаны в соответствии с
ГОСТ 34100.3 и
ГОСТ Р 8.614. Для отбора наиболее достоверных данных проведен сравнительный анализ экспериментальных данных с данными работ других исследователей
[1] и проведены контрольные измерения государственных стандартных образцов дифракционных свойств.
Для прецизионного рентгенографирования монокристаллов используют образцы сферической формы размерами не более 0,3 - 0,4 мм. Такая форма и размеры образца позволяют наиболее точно учитывать влияние поглощения рентгеновских лучей при обработке дифракционной картины и дают возможность корректно установить и юстировать их на дифрактометре. Диаметр сферы подбирают так, чтобы пучок, выходящий из коллиматора рентгеновской трубки, полностью омывал образец. Объем и условия рентгеновского эксперимента устанавливают отдельно для каждого конкретного образца.
Для обкатки образцов в сферы используют специальные устройства (камеры), имеющие форму плоского цилиндра. В таком устройстве с электроискровой резкой заготовки (кубики) изготавливают с минимальным отклонением от среднего размера. Под воздействием потока воздуха образцы быстро перемещают по кругу, стачивая углы о приклеенную абразивную шкурку. Постепенно уменьшая зернистость шкурки в камерах от 100 мкм до 5 мкм, получают образцы правильной формы с высокой гладкостью поверхности. Преимущественно применяют шкурки с алмазным и/или твердым эльборовым покрытием. Источником воздуха служит настольный компрессор, например для аэрографа.
Для подготовки образцов и установки их на дифрактометрическую систему используют бинокулярный оптический микроскоп типа МБС с целью определения предварительного качества формы образца и проведения его монтажа. По результатам предварительных измерений дифракционной картины на дифрактометре из подготовленных образцов выбирают образец с наилучшим совершенством строения кристаллической решетки. Для монтажа малых монокристаллических сфер используют клей-гель, например "Момент".
Образец приклеивают на специальный держатель с предварительно приклеенной к нему стеклянной нитью. Клей и нить обеспечивают отсутствие дополнительных рефлексов и не влияют заметно на значение диффузного фона на дифрактограмме. Держатель устанавливают на гониометрическую головку дифрактометра. Гониометрическую головку фиксируют в посадочном гнезде гониометра и проводят юстировку так, чтобы образец попадал максимально точно в центр (в пересечение осей) гониометра.
4.2 Экспериментальная аппаратура
Измерение параметров кристаллической решетки дигидрофосфата калия проводят с использованием устройств дифрактометров, позволяющих фиксировать и анализировать дифракционную картину монокристаллов и поликристаллов. Основная шкала большого гониометра на дифрактометре для монокристаллов обеспечивает диапазон возможных поворотов детектора до 120° (по шкале

). Повороты образца осуществляют с помощью других гониометрических головок, которые установлены на этом гониометре, таким образом, что позволяют заполнить всю сферу измеряемого "обратного" пространства и анализируемыми атомными плоскостями максимально возможный объем элементарной ячейки. Конструкция дифрактометра позволяет фиксировать до 17000 исходных брэгговских отражений при нормальной температуре, которые используют далее, после обработок, для определения параметров кристаллической решетки (размеров элементарной ячейки).
В качестве анода на монокристальном дифрактометре используют анод из молибдена с длиной волны, равной 0,07093 нм, на порошковом дифрактометре - анод из меди с длиной волны, равной 0,154056 нм, что позволяет зафиксировать большое число высокоугловых рефлексов. Для более слабых по интенсивности отражений используют максимально возможные значения тока и напряжений на рентгеновской трубке и\или более длительное время измерений, в результате которых было зафиксировано большое число высокоугловых рефлексов. Общее время для каждого эксперимента при нормальной температуре для монокристаллов составляет от 80 до 180 ч непрерывной работы. Для поликристаллических образцов используют данные, полученные на дифрактометрической системе "ДРОН-4" (НПО "Буревестник"). Блок-схема дифрактометра представлена на рисунке 1.
Рисунок 1 - Блок-схема установки - дифрактометрической
системы с использованием коротковолнового излучения
Оптическая система в монокристальной дифрактометрической системе дифрактометра включает в себя графитовые монохроматоры и коллиматоры с внутренним отражением, что увеличивает параллельность пучка. Дифрактометрическая система снабжена двумерным детектором, основанным на CCD-технологиях. Вся система регистрации сигналов обладает относительно низким уровнем шумов и позволяет проводить исследования образцов малого объема.
Для проведения измерений, обработки данных экспериментов и последующего определения структурных характеристик, удовлетворяющих стабильным параметрам кристаллической решетки, используют аттестованную методику измерений [N 702/06-09 (ФР.1.31.2009.06707)]. Для повышения достоверности измеряемых величин предварительно на тех же установках измеряют эталонные средства измерений - стандартные образцы дифракционных свойств монокристаллов, включая ГСО ПРФ-4 (ПРФ-3) кремний, ГСО ПРФ-9 (ПР-1) силицид ванадия и ГСО ПРИ-7а оксид алюминия.
4.3.1 Регистрации дифракционной картины
Для измерения углового распределения интенсивностей всех возможных дифракционных отражений проводят внутри сферы ограничения, радиус которой определяют волновым вектором используемого рентгеновского излучения. Для регистрации дифракционной картины расстояние кристаллического детектора устанавливают равным 41,5 мм, используя коллиматор с диаметром, равным 0,5 мм. Устанавливают "Бункеровку" (объединение пикселей или разбиение матрицы на суб-блоки) 2 x 2 с разрешением 1024 x 1024 пк. Для молибденового источника излучения устанавливают типовые значения напряжения и силы тока: 50 кВ и 40 мА или 33 кВ и 40 мА, когда требуется устранить отражения, соответствующие второй гармонике

.
4.3.2 Юстировка образца
Специальной командой гониометр дифрактометра переводят в положение, предназначенное для юстировки образца. При этом гониометр переводят в режим ручного управления. Гониометрическую головку с кристаллом закрепляют на посадочном гнезде гониометра. Положение кристалла контролируют на мониторе, куда передается изображение с микроскопа. Микроскоп дифрактометра имеет шкалы, цена деления которых равна 0,01 мм. Регулируя микрометрические винты гониометрической головки, перемещают центр образца в перекрестие шкал микроскопа. Затем командой с ручного пульта управления гониометром кристалл поворачивают на 180° вокруг оси гониометрической головки. Операцию перемещения образца повторяют. Те же самые действия повторяют и для углов поворота образца на 90° и 270°, при этом регулируют перемещение образца в направлении, перпендикулярном к первоначальному направлению. Для регулировки образца по высоте используют команду с ручного пульта управления, которая поворачивает образец на 180° вокруг оси, перпендикулярной к оси гониометрической головки, в верхнее положение образца. При регулировке образца по высоте используют третий микрометрический винт гониометрической головки. Кристалл юстируют до тех пор, пока при движении по любой из осей центр тяжести образца совпадет с перекрестием шкал микроскопа.
4.3.3 Условия измерений
При выполнении измерений при нормальной температуре соблюдают следующие условия:
- температура воздуха - в диапазоне от 298 К до 300 К (27 +/- 2 °C);
- атмосферное давление - от 84 до 106,7 кПа (от 690 до 800 мм рт. ст.);
- относительная влажность воздуха - не более 80%.
Стабильность в значениях напряжения электросети для однофазного тока 210 - 230 В отслеживают с помощью систем, стабилизирующих напряжение.
При сборе данных образец поворачивают с помощью программного обеспечения последовательно со всеми возможными поворотами, так чтобы на детекторе зафиксировалась интенсивность отраженных дифрагированных лучей с возможно полным изображением сферы обратного пространства, сферы Эвальда.
Для проверки кристалла на соответствие характеристикам вещества проводят предварительную съемку с общим временем от 5 до 10 мин для пробного определения параметров решетки серии образца и оценки качества дифракционной картины этих образцов. По окончании предварительной съемки оценивают отличие параметров решетки кристалла от ожидаемых с точностью 0,001 нм. При этом количество отражений (доля от общего числа зафиксированных отражений), по которым проводят первичный расчет значений параметров кристаллической решетки, для подтверждения выбранной модели проведения эксперимента (модель для проведения измерений), обычно составляет не менее 90% от общего количества найденных рефлексов. Далее оценивают качество дифракционной картины в целом: форму дифракционных максимумов, отсутствие значительного количества двойников (менее 5% - 10%), влияющих на точность обработки дифракционной картины. Затем на основании анализа принимают решение о дальнейшей работе с данным образцом.
Для выбранного из партии по предварительным данным образца проводят вторую предварительную съемку с общим временем от 30 до 120 мин. Для оценки параметров, включая выбираемые режимы для источника излучения, основного эксперимента оценивают доступное разрешение и время экспозиции для разных положений детектора по углу скольжения для обеспечения требуемого уровня статистики измерения интенсивностей за доступное время проведения всего эксперимента. Затем проводят основной эксперимент.
С использованием системы контроля прибора ведут запись всех важных (которые могли бы повлиять на результаты) параметров прибора в ходе эксперимента и регулярно фиксируют запись контрольных (референтных) дифракционных картин с несколькими выбранными брэгговскими отражениями.
4.3.4 Обработка данных
По окончании всего эксперимента проводят обработку полученных данных с выдачей файлов, необходимых для дальнейшего структурного анализа, с применением программного пакета CrysAlis. Определение параметров элементарной ячейки проводят последовательно. С использованием программы CrysAlis проводят поиск отражений на каждом фрейме и создают общий массив проекций всех отражений. Далее определяют ячейку, размеры которой удовлетворяют не менее 90% рефлексов, и уточняют использованную инструментальную модель, соответствующую параметрам решетки кристалла, уточненным по всему набору дифракционных отражений. Затем программой проводят профильный анализ, состоящий из двух этапов:
1) определение фона и границ дифракционных отражений;
2) получение интегральных интенсивностей, расчет максимумов угловых позиций отражений, учитывая, что первая производная по угловому распределению в максимуме равна нулю.
Завершение обработки включает несколько действий. Сначала вносят все значимые поправки в интенсивности для того, чтобы измеренные величины приблизились к кинематической шкале. При исследовании каждого образца сохраняют все данные: дифракционные картины и профили, что позволяет позже вернуться к повторному анализу эксперимента в случае выявления случайных ошибок.
4.4 Процедура определения параметров кристаллической решетки для образцов с различной концентрацией дейтерия
В
[1] на рисунке представлена элементарная ячейка дигидрофосфата калия. Размеры атомов на этом рисунке достаточно произвольны и даны для наглядного представления о локализации максимумов электронной плотности.
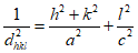
Для расчета параметра кристаллической решетки используют значения углов

, соответствующие максимумам распределения интенсивностей брэгговских отражений, и соотношение, связывающее значения межплоскостных расстояний с этими углами

, (1)
где d - межплоскостное расстояние, в нм;

- угол скольжения лучей;
n - порядок отражения (1, 2, 3.....);

- длина волны используемого излучения.
Возможность фиксировать отражения с более высоким порядком отражения, которые обеспечивают повышение точности определения параметров кристаллической решетки, зависит от длины волны используемого излучения.
Для расчета размеров элементарной ячейки
a и
c с тетрагональной симметрией (квадратичная форма) применяют формулу, см.
[1]

. (2)
При изменении температуры изменяется и параметр решетки образца, что приводит к изменению наблюдаемых значений углов

для максимумов брэгговских отражений. По значениям этих углов для каждой температуры на основе
уравнения (2) могут быть рассчитаны размеры элементарной ячейки, относительное изменение этих размеров, и затем определены КЛТР.
Требуемую температуру или заданный температурный режим исследуемых образцов поддерживают на дифрактометре с точностью стабилизации температур 0,5 °C, в диапазоне температур от 297 К до 300 К. Температуру образца измеряют поверенным измерителем температуры и влажности ИВТМ-7, размещенным в непосредственной близости от образца, с доверительной погрешностью 0,7 К.
На рисунке 2 представлен пример типичной дифрактограммы от монокристалла ДКДП15, на которой изолинии соответствуют значениям межплоскостных расстояний. Форма дифракционных пятен показывает хорошее качество образца, выбранного для последующего анализа всей дифракционной картины, что обеспечивает дальнейшую обработку и получение надежных характеристик дифракционной картины с применением программ CrysAlis.
а)
б)
в)
Рисунок 2 - Пример типичной дифрактограммы
от монокристалла ДКДП15
Результаты определения параметров кристаллической решетки по данным трех экспериментов на монокристаллах состава ДКДП15 для высокоуглового диапазона, обеспечивающего более высокую точность, с углом установки детектора 113° по шкале

, приведены в таблице 1.
Таблица 1
Результаты определения параметров кристаллической
решетки для состава с 15 ат. % дейтерия (ДКДП15)
Номер образца | Параметры решетки, нм |
a | c |
1a | 0,745502(5) | 0,697617(14) |
1b | 0,745492(4) | 0,697575(13) |
Среднее значение по образцам 1a и 1b | 0,745497 | 0,697596 |
2 | 0,745435(4) | 0,697487(10) |
Среднее значение по всем образцам | 0,745466 | 0,697542 |
Примечание - В круглых скобках приведены числовые значения неопределенностей каждой серии измерений. |
При наличии повторных экспериментов, проводимых при повороте образца в держателе, и дополнительной проверки юстировки результаты для каждого образца усредняют. Затем усредняют данные от всех исследованных образцов конкретного состава. Среднее значение по всем образцам записывают в качестве стандартного справочного данного.
На рисунке 3 представлен пример типичной дифрактограммы при малых углах для образцов с составом 78 ат. % дейтерия (ДКДП78). Форма дифракционных пятен на дифрактограмме показывает высокое качество анализируемых образцов.
а)
б)
в)
Рисунок 3 - Пример типичной дифрактограммы
при малых углах для образца ДКДП78
В
[1] приведены результаты измерения образца ДКДП после растирания в мелкодисперсный порошок на дифрактометре "ДРОН-4" и результаты обработки профиля отражения с применением программ CSD.
На типичной дифрактограмме, представленной в
[1], для порошкового препарата ДКДП в области больших углов дифракции показаны большие расхождения расчетного (сглаженного теоретического профиля) и эксперимента. Это указывает на трудности определения угловой позиции максимума отражения, возникающие при использовании порошковой дифрактометрии, из-за очень большого вклада в структуру кристаллической решетки легких элементов, а также из-за возможного более быстрого раздейтерирования при высокой степени дисперсности анализируемых образцов, если не принимаются дополнительные меры для предотвращения взаимодействия с окружающей средой.
Результаты определения параметров кристаллической решетки по данным трех экспериментов от монокристаллов состава ДКДП78 приведены в таблице 2 для выбранного высокоуглового диапазона с углом установки детектора 113° по шкале

.
Таблица 2
Результаты определения параметров
кристаллической решетки для состава ДКДП78
Номер образца | Параметры решетки, нм |
a | c |
1 | 0,74691(1) | 0,69805(1) |
2 | 0,74647(1) | 0,69753(1) |
3 | 0,74669(1) | 0,69779(1) |
Среднее значение по всем образцам | 0,74664 | 0,69779 |
Примечание - В круглых скобках приведены числовые значения неопределенностей каждой серии измерений. |
При повторных экспериментах, проводимых при повороте образца в держателе, и после дополнительной проверки юстировки, данные для каждого образца усредняют. Затем усредняют данные от всех исследованных образцов данного состава. Среднее значение по всем образцам записывают в качестве итогового, подлежащего аттестации в категории "Стандартные справочные данные".
Анализ данных, полученных в ряде исследований на порошковых препаратах, показывает, что точность результатов в них понижена из-за невысокой интенсивности брэгговских отражений в области высоких углов дифракции. Существенное уменьшение интенсивности связано с большим вкладом в структуру элементарной ячейки легких элементов, у которых атомные амплитуды рассеяния этих элементов быстро спадают до нулевых значений. Анализ значений параметров кристаллической решетки, полученных с использованием нейтронных дифрактометров, показывает, что точность результатов также на порядок ниже из-за менее точного значения длины волны. Это связано с тем, что нейтронные дифрактометры в основном используют для определения заполненности координат атомов и/или для определения магнитных характеристик, и редко - для точных определений размеров элементарных ячеек монокристаллов.
Анализ точности результатов твердых растворов КДП и ДКДП, выращенных из специально очищенного сырья, намного предпочтительнее порошков, поскольку при контакте дейтерированных мелкодисперсных солей с парами воздуха происходит их быстрое раздейтерирование. Кроме того, использование ориентированных пластин монокристаллов позволяет получить интенсивные отражения при больших значениях индексов Миллера, что важно для достижения высокой точности. Структурные исследования этих образцов проводят с помощью рентгеновского дифрактометра УРС-50И с применением

при нормальной температуре. За время измерения одного образца без стабилизации температуры, температура меняется в пределах не более чем на 0,5 К, а для разных образцов не более чем на 2 К. Для определения параметров решетки используют экстраполяционную функцию, которая обеспечивает приемлемую точность измерений, см.
[1].
В таблице 3 представлена зависимость параметра кристаллической решетки вдоль оси "a" от концентрации дейтерия по данным контрольных экспериментов и по данным других исследований. Анализ табличных данных показывает, значения параметра кристаллической решетки "a" монотонно возрастают.
Таблица 3
Зависимость параметра кристаллической решетки вдоль оси "
a"
в дейтерированных образцах КДП от концентрации дейтерия
Концентрации дейтерия, % | Параметр решетки a, нм |
[41] | ВНИИМС | [40] |
0,15 | - | 0,74547 | - |
0,20 | 0,74568 | - | - |
0,35 | 0,74587 | - | - |
0,55 | - | - | 0,7458 |
0,56 | 0,74598 | - | - |
0,65 | - | - | 0,7460 |
0,70 | - | - | 0,7461 |
0,76 | 0,74661 | - | - |
0,78 | - | 0,74664 | - |
Примечание - В квадратных скобках приведены номера библиографических ссылок, представленные в [1]. |
Анализ данных, приведенных в
таблице 3, показывает, что результаты измерений параметров кристаллической решетки хорошо согласуются между собой.
Для понимания характера изменения значений параметров "
a" в анализируемом диапазоне содержания дейтерия важно, что между цепочками K-PO
4 расстояние увеличивается на 0,2%. Это приводит к возрастанию параметра "
a" элементарной ячейки на 0,0016 нм. В других исследованиях наблюдается также небольшое изменение ориентации тетраэдров PO
4. Эти оба фактора приводят к удлинению водородной связи на 0,0023 нм. Самым значительным является изменение расстояния O-H на 0,0026 нм, см.
[1].
В таблице 4 представлены результаты определения параметра кристаллической решетки "c" для образцов с различной концентрацией дейтерия, включая данные контрольных экспериментов из различных исследовательских работ. В отличие от значений параметров "a" из таблицы 4 видно, что значения параметра "c" слабо изменяются при замещении водорода дейтерием.
Таблица 4
Зависимость параметра кристаллической решетки вдоль оси "
c"
в дейтерированных образцах КДП от концентрации дейтерия
Концентрация дейтерия, % | Параметр решетки с, нм |
ВНИИМС | [40] | [41] |
0,15 | 0,69754 | | |
0,20 | | | 0,6972 |
0,55 | | 0,6974 | |
0,65 | | 0,6973 | |
0,75 | | 0,6975 | |
0,76 | | | 0,6974 |
0,78 | 0,69775 | | |
Примечание - В квадратных скобках приведены библиографические ссылки, представленные в [1] |
На характер (слабого) изменения параметров кристаллической решетки "c" с увеличением содержания дейтерия влияет то обстоятельство, что замена водорода дейтерием приводит к не очень большим изменениям в структуре тетрагонального KH2PO4: тип структуры (пространственная группа элементарной ячейки), форма и размеры тетраэдров в диапазоне температур от 290 до 300 К не меняются.
По результатам определения параметра кристаллической решетки в прецизионных контрольных измерениях имеется совсем слабый рост этих значений при повышении содержания дейтерия. Такой же слабый рост наблюдается и по данным других исследований, однако между собой воспроизводимость результатов ниже, хотя и в пределах уровня погрешности. Это может быть связано с различной концентрацией примесей, способом определения концентрации дейтерия.
Еще одной из причин небольшого расхождения в значениях параметра кристаллической решетки "a" и "c" в различных исследованиях является влияние способа выращивания монокристаллов. Часто для ускорения их роста и при этом для получения однородных по оптическим свойствам монокристаллов большого размера используют добавки. Их присутствие слабо значимо для общих оптических характеристик, однако добавление атомов переходного металла с увеличенным атомным весом обычно изменяет абсолютное значение параметра решетки.
Результаты в
таблицах 3 и
4 показывают хорошее согласие значений из различных источников и контрольных экспериментальных измерений концентрационной зависимости параметров кристаллической решетки от концентрации дейтерия. Результаты сравнения данных из различных исследовательских работ позволяют предложить их в качестве стандартных справочных данных в диапазоне от 15 ат. % до 80 ат. % для температурного диапазона от 295 К до 300 К.
Достоверность полученных данных оценивают по результатам совместной обработки серий измерений и сравнением данных контрольных измерений повышенной точности
[1] с данными других исследовательских работ. Для обеспечения высокой достоверности полученных результатов проводят предварительные измерения характеристик государственных стандартных образцов дифракционных свойств на тех же экспериментальных установках.
| Кодесс Б.Н. Таблицы стандартных справочных данных, ГСССД 348-2018. Соединения на основе дигидрофосфата калия. Параметры кристаллической решетки в диапазоне концентраций от 15 ат. % до 80 ат. % дейтерия. - М.: ФГУП "ВНИИМС", 2018. - 39 с. |