Главная // Актуальные документы // ГОСТ Р (Государственный стандарт)СПРАВКА
Источник публикации
М.: Стандартинформ, 2018
Примечание к документу
Документ
введен в действие с 1 марта 2019 года.
Название документа
"ГОСТ Р 8.951-2018. Национальный стандарт Российской Федерации. Государственная система обеспечения единства измерений. Стандартные справочные данные. н-Додекан. Теплофизические свойства (плотность, теплоемкость, энтальпия, энтропия, скорость звука, коэффициенты теплопроводности и вязкости) в диапазоне температуры от тройной точки не выше 700 К при давлении не более 100 МПа"
(утв. и введен в действие Приказом Росстандарта от 04.12.2018 N 1057-ст)
"ГОСТ Р 8.951-2018. Национальный стандарт Российской Федерации. Государственная система обеспечения единства измерений. Стандартные справочные данные. н-Додекан. Теплофизические свойства (плотность, теплоемкость, энтальпия, энтропия, скорость звука, коэффициенты теплопроводности и вязкости) в диапазоне температуры от тройной точки не выше 700 К при давлении не более 100 МПа"
(утв. и введен в действие Приказом Росстандарта от 04.12.2018 N 1057-ст)
Утвержден и введен в действие
агентства по техническому
регулированию и метрологии
от 4 декабря 2018 г. N 1057-ст
НАЦИОНАЛЬНЫЙ СТАНДАРТ РОССИЙСКОЙ ФЕДЕРАЦИИ
ГОСУДАРСТВЕННАЯ СИСТЕМА ОБЕСПЕЧЕНИЯ ЕДИНСТВА ИЗМЕРЕНИЙ
СТАНДАРТНЫЕ СПРАВОЧНЫЕ ДАННЫЕ. Н-ДОДЕКАН
ТЕПЛОФИЗИЧЕСКИЕ СВОЙСТВА (ПЛОТНОСТЬ, ТЕПЛОЕМКОСТЬ,
ЭНТАЛЬПИЯ, ЭНТРОПИЯ, СКОРОСТЬ ЗВУКА, КОЭФФИЦИЕНТЫ
ТЕПЛОПРОВОДНОСТИ И ВЯЗКОСТИ) В ДИАПАЗОНЕ ТЕМПЕРАТУРЫ
ОТ ТРОЙНОЙ ТОЧКИ НЕ ВЫШЕ 700 К ПРИ ДАВЛЕНИИ НЕ БОЛЕЕ 100 МПа
State system for ensuring the uniformity of measurements.
Standard reference data. n-Dodecane. Thermophysical
properties (density, heat capacity, enthalpy, entropy, sound
velocity, thermal conductivity and viscosity coefficients)
for the temperature range from the triple point
to 700 K at pressures up to 100 MPa
ГОСТ Р 8.951-2018
Дата введения
1 марта 2019 года
1 РАЗРАБОТАН Федеральным государственным унитарным предприятием "Всероссийский научно-исследовательский институт метрологической службы" (ФГУП "ВНИИМС")
2 ВНЕСЕН Техническим комитетом по стандартизации ТК 180 "Стандартные справочные данные о физических константах и свойствах веществ и материалов"
3 УТВЕРЖДЕН И ВВЕДЕН В ДЕЙСТВИЕ
Приказом Федерального агентства по техническому регулированию и метрологии от 4 декабря 2018 г. N 1057-ст
4 ВВЕДЕН ВПЕРВЫЕ
Правила применения настоящего стандарта установлены в статье 26 Федерального закона от 29 июня 2015 г. N 162-ФЗ "О стандартизации в Российской Федерации". Информация об изменениях к настоящему стандарту публикуется в ежегодном (по состоянию на 1 января текущего года) информационном указателе "Национальные стандарты", а официальный текст изменений и поправок - в ежемесячном информационном указателе "Национальные стандарты". В случае пересмотра (замены) или отмены настоящего стандарта соответствующее уведомление будет опубликовано в ближайшем выпуске ежемесячного информационного указателя "Национальные стандарты". Соответствующая информация, уведомление и тексты размещаются также в информационной системе общего пользования - на официальном сайте Федерального агентства по техническому регулированию и метрологии в сети Интернет (www.gost.ru)
Настоящий стандарт распространяется на жидкий и газообразный н-Додекан и устанавливает методы расчетного определения значений стандартных справочных данных плотности

, энтальпии
h, энтропии
s, изобарной теплоемкости
cp, изохорной теплоемкости
cv, скорости распространения звука
w, коэффициента динамической вязкости

и коэффициента теплопроводности

для н-Додекан как в однофазных областях (газе, жидкости и флюиде), так и на линии фазового перехода "газ - жидкость" (линии насыщения).
В настоящем стандарте использованы нормативные ссылки на следующие стандарты:
ГОСТ 8.566 Государственная система обеспечения единства измерений. Межгосударственная система данных о физических константах и свойствах веществ и материалов. Основные положения
ГОСТ Р 8.614 Государственная система обеспечения единства измерений. Государственная служба стандартных справочных данных. Основные положения
Примечание - При пользовании настоящим стандартом целесообразно проверить действие ссылочных стандартов в информационной системе общего пользования - на официальном сайте Федерального агентства по техническому регулированию и метрологии в сети Интернет или по ежегодному информационному указателю "Национальные стандарты", который опубликован по состоянию на 1 января текущего года, и по выпускам ежемесячного информационного указателя "Национальные стандарты" за текущий год. Если заменен ссылочный стандарт, на который дана недатированная ссылка, то рекомендуется использовать действующую версию этого стандарта с учетом всех внесенных в данную версию изменений. Если заменен ссылочный стандарт, на который дана датированная ссылка, то рекомендуется использовать версию этого стандарта с указанным выше годом утверждения (принятия). Если после утверждения настоящего стандарта в ссылочный стандарт, на который дана датированная ссылка, внесено изменение, затрагивающее положение, на которое дана ссылка, то это положение рекомендуется применять без учета данного изменения. Если ссылочный стандарт отменен без замены, то положение, в котором дана ссылка на него, рекомендуется применять в части, не затрагивающей эту ссылку.
3 Методические основы разработки стандартных справочных данных
3.1 Основные физико-аналитические модели, принятые для расчетного определения значений термодинамических свойств н-Додекана
В настоящем стандарте приведены основные физико-аналитические модели, принятые для расчетного определения значений термодинамических свойств н-Додекана, разработанные в соответствии с
ГОСТ 8.566,
ГОСТ Р 8.614 на основе теоретически и практически обоснованного фундаментального уравнения состояния (ФУС), выражающего свободную энергию Гельмгольца

в зависимости от температуры
T и плотности

.
Безразмерную свободную энергию Гельмгольца

представляют в виде суммы идеально-газовой части

и избыточной составляющей

и вычисляют по формуле

. (1)
Для придания наиболее строгого подхода к ФУС в части учета особенностей термодинамической поверхности н-Додекана и расширения его экстраполяционных возможностей избыточную часть свободной энергии Гельмгольца представляют в виде разложения в ряд по степеням (см.
[1]) приведенной температуры

и приведенной плотности

с оптимизируемыми полиномиальными экспоненциальными членами и вычисляют по формуле

, (2)
где

;

;

,
Tc - параметры приведения, в качестве которых принимают значения температуры и плотности н-Додекана в критической точке (в
[1] приняты

,
Tc = 658,1 К).
Для определения значений параметров ФУС по
формуле (2) и расширения его функциональных возможностей при нахождении значений коэффициентов ФУС, учитывают разнородные экспериментальные данные о термодинамических свойствах н-Додекана:
- о p-, v-, T-данных;
- втором вириальном коэффициенте B;
- упругости насыщенных паров pv;
- плотности насыщенной жидкой

и газовой

фаз;
- теплоемкости насыщенной конденсированной фазы cs;
- изохорной cv и изобарной cp теплоемкости;
- энтальпии h;
- скорости распространения звука w.
Корректность в описании термодинамической поверхности н-Додекана при обработке экспериментальных данных достигается путем ввода системы ограничений, накладываемых в виде неравенств на термодинамическую поверхность. В число основных видов вводимых ограничений включают (см.
[1]):
- условия критической точки;
- правило Максвелла;
- контроль кривизны идеальных кривых;
- положительность значений теплоемкостей;
- правило прямолинейного диаметра;
- контролирование знаков, производных для различных термодинамических характеристик.
Определение коэффициентов ФУС выполняют с применением алгоритма, представленного в
[1], реализующего метод случайного поиска с возможностью возврата в начало процедуры поиска при неудачном шаге. При этом алгоритм модифицируют введением элементов детерминированного поиска на шаге корректировки величины шага поиска и выбора направления поиска.
В алгоритме
[1] применяют аддитивный критерий оптимальности - минимизируемый функционал, представленный в соотношении (3), который образуют путем сложения выходных параметров, преобразованных к безразмерным слагаемым. Это осуществляют с помощью введения нормирующих множителей - весовых коэффициентов. Нормирование вводят для объединения нескольких выходных параметров - термодинамических свойств, имеющих в общем случае различную физическую размерность. Минимизируемый функционал содержит слагаемые, ответственные за точность аппроксимации результатов измерений разнородных данных о термодинамических свойствах, а также ограничения, накладываемые в виде неравенств на термодинамическую поверхность. Алгоритм представляют следующим соотношением:

, (3)
где W - весовой коэффициент для каждой опытной точки;
F - функция, используемая для минимизации отклонений.
Например, для изохорной теплоемкости данных функцию

вычисляют по соотношению

. (4)
Квадратичные функции для других термодинамических свойств имеют аналогичный вид.
Весовой коэффициент W для каждой выбранной экспериментальной точки назначают индивидуально с учетом типа данных, области состояний и требуемой точности. Типичное значение W для данных
p,

,
T и давления насыщенных паров составляет 1, для теплоемкости - 0,5, для скорости звука - 1.
Из
соотношения (3) следует, что ограничения вводят в виде дополнительных слагаемых в минимизируемый функционал.
Блок-схема принятого алгоритма представлена в
[1].
В минимизируемый функционал включают несколько слагаемых, каждое из которых ответственно за определенную категорию обрабатываемых термодинамических характеристик (см.
[1]).
Для расчетного определения значений термодинамических свойств используют известные дифференциальные соотношения термодинамики
(5) -
(10).
Коэффициенты и показатели степени при температуре и плотности по оптимизированной
формуле (2) представлены в
[1]. Процедура построения ФУС более подробно описана в
[1].
Термодинамические свойства н-Додекана рассчитывают по следующим соотношениям:
- плотность

; (5)
- энтальпия

; (6)
- энтропия

; (7)
- изохорная теплоемкость

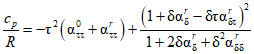
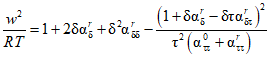
; (8)
- изобарная теплоемкость

; (9)
- скорость звука

, (10)
где нижний индекс величины

показывает частную производную по соответствующей переменной.
За термодинамическое начало отсчета при составлении таблиц термодинамических свойств н-Додекана принято состояние равновесного молекулярного кристалла при температуре 0 К. Значения энтальпии
h0 и энтропии
s0 во вспомогательной точке рассчитаны на линии насыщения жидкой фазы при температуре
T0 = 298,15 К и определены в
[1] как
h0 = 532,69 кДж·кг
-1,
s0 = 2,8814 кДж·кг
-1·К
-1.
3.2 Коэффициенты переноса
3.2.1 Коэффициент вязкости
Табличные значения коэффициентов переноса определяют по эмпирическим уравнениям, разработанным на основе наиболее надежных экспериментальных данных и апробированным на практике.
Для расчетов значений коэффициента динамической вязкости применяют корреляцию, основанную на теоретически и практически установленной связи между коэффициентами динамической вязкости и теплопроводности. Уравнение для расчета коэффициента вязкости

представляют в виде суммы вязкости н-Додекана в состоянии разреженного газа и соответствующей остаточной вязкости:

, (11)
где

- вязкость разреженного газа при нулевой плотности;

- второй вязкостный вириальный коэффициент;

- остаточная вязкость плотного флюида.
3.2.2 Коэффициент теплопроводности
Расчетное определение значений коэффициента теплопроводности н-Додекана

проводят согласно
[1] на основе применения эмпирического уравнения

, (12)
где

- теплопроводность разреженного газа при нулевой плотности;

- избыточная теплопроводность;

;

;

,
Tr - опорные значения плотности и температуры (принимают критические значения
Tc = 658,1 К;

).
Теплопроводность разреженного газа определяют с использованием данных о вязкости (см.
[1]). Избыточную теплопроводность аппроксимируют эмпирическим уравнением (см.
[1]).
При построении эмпирических уравнений для расчетов вязкости разреженного газа используют метод случайного поиска с возвратом при неудачном шаге, который более подробно описан в
[1].
4 Анализ и отбор экспериментальных данных
4.1 Данные о термодинамических свойствах н-Додекана
Исходные данные о термодинамических свойствах н-Додекана применяют для анализа и разработки ФУС и оценки точности расчетных значений. Эти данные представлены в таблице Б.1 и на рисунках Б.1 - Б.4
[1], на которых показан характер отклонений исходных данных от расчетных значений.
4.2 Данные о коэффициентах переноса н-Додекана
Исходные данные о коэффициентах переноса применяют для анализа и разработки расчетных уравнений и оценки точности расчетных значений. Эти данные представлены в таблицах Б.2, Б.3 и на рисунках Б.9, Б.11
[1].
5 Оценка достоверности расчетных значений свойств н-Додекана
5.1 Результаты оценки достоверности расчетных значений термодинамических свойств н-Додекана
Величины неопределенности расчетных значений термодинамических свойств оценивают по результатам сравнения с наиболее надежными экспериментальными данными. Оценки, представленные в
[1], даны: для жидкой фазы -
T <
Tc,

; для газовой фазы -
T <
Tc,

; сверхкритического флюида -
T >
Tc, исключая критическую область -
Ts <=
T <= 1,05
Tc,

, которая для н-Додекана не исследована, а вычисление по
формуле (2) не обеспечивает высокую точность расчета термодинамических свойств в критической области.
В таблице 3 дана оценка полей неопределенностей расчетных значений термодинамических свойств н-Додекана, а поля неопределенностей приведены в таблицах В.1 - В.3
[1]. В настоящем стандарте оценка неопределенностей расчетных значений термодинамических свойств и поля неопределенностей н-Додекана представлены в таблицах 1 -
4.
Таблица 1
Оценки неопределенности расчетных значений
термодинамических свойств н-Додекана
Свойство | Неопределенность, %, в области |
Жидкость | Газ | Сверхкритический флюид |
pv | - | 0,15 - 1,5 | - |
| 0,1 - 0,35 | - | - |
| - | 0,5 - 3,0 | - |
cv | 1,0 - 2,0 | 1,5 - 3,0 | 1,5 - 3,0 |
w | 0,5 - 1,5 | 1,0 - 2,0 | 1,0 - 2,0 |
Таблица 2
Поля неопределенности расчета плотности

p, МПа | Температура, К |
270 | 300 | 350 | 400 | 450 | 500 | 550 | 600 | 620 | 640 | 650 | 660 | 670 | 700 |
0,5 | 0,10 | 0,10 | 0,10 | 0,10 | 0,10 | 0,15 | 0,20 | 1,00 | 0,80 | 0,70 | 0,60 | 0,50 | 0,50 | 0,50 |
1,5 | 0,10 | 0,10 | 0,10 | 0,10 | 0,10 | 0,15 | 0,20 | 0,40 | 1,00 | 0,80 | 0,60 | 0,55 | 0,50 | 0,55 |
3,0 | 0,10 | 0,10 | 0,10 | 0,10 | 0,10 | 0,15 | 0,20 | 0,30 | 0,50 | 0,55 | 0,70 | 0,70 | 0,60 | 0,60 |
5,0 | 0,10 | 0,10 | 0,10 | 0,10 | 0,15 | 0,20 | 0,20 | 0,30 | 0,40 | 0,45 | 0,50 | 0,55 | 0,60 | 0,60 |
10,0 | 0,12 | 0,12 | 0,12 | 0,12 | 0,15 | 0,20 | 0,20 | 0,25 | 0,30 | 0,40 | 0,45 | 0,60 | 0,60 | 0,70 |
50,0 | - | 0,15 | 0,15 | 0,15 | 0,18 | 0,20 | 0,20 | 0,25 | 0,30 | 0,35 | 0,40 | 0,60 | 0,70 | 0,80 |
100,0 | - | 0,20 | 0,20 | 0,20 | 0,20 | 0,20 | 0,25 | 0,30 | 0,30 | 0,35 | 0,40 | 0,60 | 0,70 | 0,80 |
Таблица 3
Поля неопределенности расчета изобарной теплоемкости cv
p, МПа | Температура, К |
270 | 300 | 350 | 400 | 450 | 500 | 550 | 600 | 620 | 640 | 650 | 660 | 670 | 700 |
0,5 | 0,50 | 0,40 | 0,40 | 0,40 | 0,40 | 0,50 | 0,80 | 0,90 | 1,00 | 0,90 | 0,90 | 1,00 | 1,00 | 1,00 |
1,5 | 0,50 | 0,40 | 0,40 | 0,40 | 0,40 | 0,50 | 8,00 | 1,00 | 1,30 | 1,50 | 1,80 | 1,50 | 1,30 | 1,20 |
3,0 | 0,50 | 0,40 | 0,40 | 0,40 | 0,40 | 0,50 | 0,70 | 0,80 | 1,00 | 1,50 | 2,00 | 2,50 | 1,50 | 1,30 |
5,0 | 0,50 | 0,40 | 0,40 | 0,40 | 0,40 | 0,50 | 0,60 | 0,70 | 0,80 | 1,30 | 1,40 | 1,50 | 1,60 | 1,50 |
10,0 | 0,55 | 0,45 | 0,50 | 0,50 | 0,50 | 0,50 | 0,60 | 0,70 | 0,90 | 1,20 | 1,20 | 1,30 | 1,40 | 1,50 |
50,0 | - | 0,50 | 0,60 | 0,60 | 0,60 | 0,60 | 0,70 | 0,80 | 1,00 | 1,20 | 1,30 | 1,30 | 1,40 | 1,50 |
100,0 | - | 1,00 | 1,00 | 1,00 | 1,00 | 1,00 | 1,00 | 1,20 | 1,30 | 1,20 | 1,30 | 1,30 | 1,40 | 1,50 |
Таблица 4
Поля неопределенности расчета
скорости распространения звука w
p, МПа | Температура, К |
270 | 300 | 350 | 400 | 450 | 500 | 550 | 600 | 620 | 640 | 650 | 660 | 670 | 700 |
0,5 | 1,0 | 0,5 | 0,5 | 0,5 | 0,5 | 0,6 | 1,0 | 1,2 | 1,5 | 1,5 | 1,5 | 1,5 | 1,5 | 1,5 |
1,5 | 1,0 | 0,5 | 0,5 | 0,5 | 0,5 | 0,6 | 0,7 | 1,0 | 1,2 | 1,5 | 1,8 | 1,7 | 1,6 | 1,5 |
3,0 | 1,0 | 0,5 | 0,5 | 0,5 | 0,5 | 0,6 | 1,2 | 1,5 | 1,8 | 1,8 | 2,0 | 2,5 | 1,7 | 1,6 |
5,0 | 1,2 | 0,5 | 0,5 | 0,5 | 0,5 | 0,6 | 1,2 | 1,4 | 1,5 | 1,6 | 1,6 | 1,6 | 1,7 | 1,7 |
10,0 | 1,3 | 0,6 | 0,6 | 0,6 | 0,6 | 0,7 | 1,2 | 1,3 | 1,6 | 1,6 | 1,6 | 1,6 | 1,7 | 1,8 |
50,0 | - | 0,6 | 0,8 | 0,8 | 0,8 | 0,8 | 1,2 | 1,3 | 1,5 | 1,6 | 1,6 | 1,6 | 1,7 | 1,9 |
100,0 | - | 1,0 | 1,0 | 1,0 | 1,0 | 1,0 | 1,2 | 1,3 | 1,5 | 1,6 | 1,6 | 1,6 | 1,7 | 2,0 |
На рисунке Б.5
[1] показан ход идеальных кривых н-Додекана. На диаграммах Б.6 - Б.8
[1] продемонстрированы поверхности состояния основных термодинамических свойств, построенные по ФУС. Вид этих поверхностей свидетельствует о хороших интерполяционных и экстраполяционных свойствах разработанного ФУС.
5.2 Результаты оценки достоверности расчетных данных о коэффициентах переноса
Поля неопределенностей расчета коэффициентов переноса представлены в таблицах В.4, В.5
[1]. В настоящем стандарте - в таблицах 5,
6. На диаграммах Б.10, Б.12
[1] продемонстрированы поверхности состояний интерполяционных и экстраполяционных возможностей уравнений по вязкости и теплопроводности.
Таблица 5
Поля неопределенности расчета
коэффициента теплопроводности

p, МПа | Температура, К |
270 | 300 | 350 | 400 | 450 | 500 | 550 | 600 | 620 | 640 | 650 | 660 | 670 | 700 |
0,5 | 2,0 | 1,7 | 1,7 | 1,7 | 1,7 | 1,8 | 2,0 | 2,0 | 2,2 | 2,2 | 2,3 | 2,4 | 2,5 | 3,0 |
1,5 | 2,0 | 1,7 | 1,7 | 1,7 | 1,7 | 1,8 | 1,9 | 2,2 | 2,2 | 2,3 | 2,5 | 2,4 | 2,5 | 3,0 |
3,0 | 2,0 | 1,7 | 1,7 | 1,7 | 1,7 | 1,8 | 1,9 | 2,0 | 2,2 | 2,3 | 2,4 | 2,6 | 2,5 | 3,0 |
5,0 | 2,0 | 1,7 | 1,7 | 1,7 | 1,7 | 1,8 | 1,9 | 2,0 | 2,2 | 2,3 | 2,5 | 2,7 | 2,5 | 3,5 |
10,0 | 2,0 | 1,7 | 1,7 | 1,7 | 1,7 | 1,8 | 2,0 | 2,0 | 2,2 | 2,4 | 2,5 | 2,7 | 2,6 | 3,5 |
50,0 | - | 1,7 | 1,8 | 1,8 | 1,8 | 1,9 | 2,0 | 2,1 | 2,2 | 2,4 | 2,6 | 2,7 | 2,8 | 4,0 |
100,0 | - | 1,9 | 1,9 | 1,9 | 1,9 | 2,0 | 2,0 | 2,1 | 2,2 | 2,4 | 2,6 | 2,8 | 3,0 | 4,0 |
Таблица 6
Поля неопределенности расчета
коэффициента динамической вязкости

p, МПа | Температура, К |
270 | 300 | 350 | 400 | 450 | 500 | 550 | 600 | 620 | 640 | 650 | 660 | 670 | 700 |
0,5 | 3,0 | 2,0 | 2,0 | 2,0 | 2,0 | 2,1 | 1,5 | 1,5 | 1,5 | 1,5 | 1,5 | 1,5 | 1,5 | 1,7 |
1,5 | 3,0 | 2,0 | 2,0 | 2,0 | 2,0 | 2,0 | 2,0 | 2,0 | 2,0 | 2,5 | 2,5 | 2,0 | 2,0 | 2,0 |
3,0 | 3,0 | 2,0 | 2,0 | 2,0 | 2,0 | 2,1 | 2,2 | 2,3 | 2,3 | 2,3 | 2,4 | 2,5 | 2,4 | 2,4 |
5,0 | 3,0 | 2,0 | 2,0 | 2,0 | 2,1 | 2,2 | 2,3 | 2,4 | 2,5 | 2,5 | 2,5 | 2,4 | 2,4 | 2,4 |
10,0 | 3,2 | 2,0 | 2,0 | 2,2 | 2,2 | 2,3 | 2,3 | 2,5 | 2,5 | 2,5 | 2,5 | 2,5 | 2,5 | 2,5 |
50,0 | - | 2,5 | 2,2 | 2,3 | 2,3 | 2,4 | 2,4 | 2,5 | 2,5 | 2,5 | 2,6 | 2,7 | 2,8 | 2,8 |
100,0 | - | 2,5 | 2,5 | 2,5 | 2,5 | 2,5 | 2,5 | 2,5 | 2,6 | 2,7 | 2,8 | 2,9 | 3,0 | 3,0 |
Оценки достоверности расчетных значений теплофизических свойств н-Додекана на линии равновесия "жидкость - газ" представлены в таблице В.6
[1]. В настоящем стандарте поля неопределенности расчета теплофизических свойств на линии равновесия "жидкость - газ" приведены в таблице 7.
Таблица 7
Поля неопределенности расчета теплофизических свойств
на линии равновесия "жидкость - газ"
T, К |  , % |  , % |  , % |  , % |  , % |  , % |  , % |  , % |  , % |  , % |  , % |  , % |
270 | 1,50 | 0,10 | 1,50 | 0,5 | 0,5 | 0,50 | 0,50 | 0,5 | 2,0 | 2,0 | 3,0 | 1,8 |
300 | 0,80 | 0,10 | 0,80 | 0,5 | 0,5 | 0,50 | 0,50 | 0,5 | 1,8 | 2,0 | 2,0 | 1,7 |
350 | 0,20 | 0,10 | 0,20 | 0,5 | 0,6 | 0,50 | 0,50 | 0,5 | 1,8 | 2,0 | 2,0 | 1,7 |
400 | 0,15 | 0,10 | 0,25 | 0,5 | 0,7 | 0,50 | 0,50 | 0,7 | 1,8 | 2,0 | 2,0 | 1,7 |
450 | 0,20 | 0,10 | 0,30 | 0,6 | 0,8 | 0,50 | 0,50 | 0,7 | 2,0 | 2,0 | 2,2 | 2,0 |
500 | 0,25 | 0,15 | 0,40 | 0,7 | 0,9 | 0,52 | 0,52 | 0,8 | 2,0 | 2,0 | 2,2 | 2,3 |
550 | 0,30 | 0,20 | 0,50 | 0,8 | 1,2 | 0,52 | 0,52 | 1,0 | 2,2 | 2,2 | 2,3 | 2,5 |
600 | 0,35 | 0,25 | 0,80 | 1,0 | 1,8 | 0,54 | 0,54 | 1,2 | 2,5 | 2,5 | 2,5 | 2,8 |
620 | 0,50 | 0,35 | 1,00 | 1,2 | 2,2 | 0,54 | 0,54 | 1,5 | 3,0 | 3,0 | 2,8 | 3,0 |
640 | 1,20 | 0,50 | 1,50 | 1,5 | 3,0 | 0,60 | 0,60 | 2,0 | 3,0 | 3,0 | 3,0 | 3,0 |
650 | 1,40 | 1,00 | 2,50 | 2,5 | 4,0 | 0,65 | 0,65 | 2,5 | 3,5 | 3,5 | 3,5 | 3,5 |
655 | 1,50 | 1,50 | 4,00 | 3,5 | 6,0 | 0,80 | 0,80 | 5,0 | 5,0 | 5,0 | 5,0 | 5,0 |
Итоговые значения термодинамических свойств и коэффициентов переноса н-Додекана в однофазной области и на линии насыщения представлены в таблицах стандартных справочных данных Б.4, Б.5
[1].
| Таблицы стандартных справочных данных ГСССД 334-2018. н-Додекан. Теплофизические свойства (плотность, теплоемкость, энтальпия, энтропия, скорость звука, коэффициенты теплопроводности и вязкости) в диапазоне температуры от тройной точки до 700 К при давлениях до 100 МПа. - М.: ФГУП "ВНИИМС", 2018. - 70 с. |