Главная // Актуальные документы // ГОСТ Р (Государственный стандарт)СПРАВКА
Источник публикации
М.: Стандартинформ, 2018
Примечание к документу
Документ
введен в действие с 1 марта 2019 года.
Название документа
"ГОСТ Р 8.948-2018. Национальный стандарт Российской Федерации. Государственная система обеспечения единства измерений. Стандартные справочные данные. Изобутан жидкий и газообразный. Термодинамические свойства, коэффициенты динамической вязкости и теплопроводности при температурах от 114 К до 600 К и давлениях до 35 МПа"
(утв. и введен в действие Приказом Росстандарта от 04.12.2018 N 1054-ст)
"ГОСТ Р 8.948-2018. Национальный стандарт Российской Федерации. Государственная система обеспечения единства измерений. Стандартные справочные данные. Изобутан жидкий и газообразный. Термодинамические свойства, коэффициенты динамической вязкости и теплопроводности при температурах от 114 К до 600 К и давлениях до 35 МПа"
(утв. и введен в действие Приказом Росстандарта от 04.12.2018 N 1054-ст)
Утвержден и введен в действие
агентства по техническому
регулированию и метрологии
от 4 декабря 2018 г. N 1054-ст
НАЦИОНАЛЬНЫЙ СТАНДАРТ РОССИЙСКОЙ ФЕДЕРАЦИИ
ГОСУДАРСТВЕННАЯ СИСТЕМА ОБЕСПЕЧЕНИЯ ЕДИНСТВА ИЗМЕРЕНИЙ
СТАНДАРТНЫЕ СПРАВОЧНЫЕ ДАННЫЕ.
ИЗОБУТАН ЖИДКИЙ И ГАЗООБРАЗНЫЙ
ТЕРМОДИНАМИЧЕСКИЕ СВОЙСТВА, КОЭФФИЦИЕНТЫ ДИНАМИЧЕСКОЙ
ВЯЗКОСТИ И ТЕПЛОПРОВОДНОСТИ ПРИ ТЕМПЕРАТУРАХ
ОТ 114 К ДО 600 К И ДАВЛЕНИЯХ ДО 35 МПа
State system for ensuring the uniformity of measurements.
Standard reference data. Liquid and gaseous isobutane.
Thermodynamic properties, dynamic viscosity and thermal
conductivity at temperatures from 114 K up to 600 K
and pressures up to 35 MPa
ГОСТ Р 8.948-2018
Дата введения
1 марта 2019 года
1 РАЗРАБОТАН Главным научным метрологическим центром "Стандартные справочные данные о физических константах и свойствах веществ и материалов" (ГНМЦ "ССД")
2 ВНЕСЕН Техническим комитетом по стандартизации ТК 180 "Стандартные справочные данные о физических константах и свойствах веществ и материалов"
3 УТВЕРЖДЕН И ВВЕДЕН В ДЕЙСТВИЕ
Приказом Федерального агентства по техническому регулированию и метрологии от 4 декабря 2018 г. N 1054-ст
4 ВВЕДЕН ВПЕРВЫЕ
Правила применения настоящего стандарта установлены в статье 26 Федерального закона от 29 июня 2015 г. N 162-ФЗ "О стандартизации в Российской Федерации". Информация об изменениях к настоящему стандарту публикуется в ежегодном (по состоянию на 1 января текущего года) информационном указателе "Национальные стандарты", а официальный текст изменений и поправок - в ежемесячном информационном указателе "Национальные стандарты". В случае пересмотра (замены) или отмены настоящего стандарта соответствующее уведомление будет опубликовано в ближайшем выпуске ежемесячного информационного указателя "Национальные стандарты". Соответствующая информация, уведомление и тексты размещаются также в информационной системе общего пользования - на официальном сайте Федерального агентства по техническому регулированию и метрологии в сети Интернет (www.gost.ru)
Настоящий стандарт распространяется на жидкий и газообразный изобутан и устанавливает методы расчетного определения значений стандартных справочных данных по плотности

, энтальпии
h, энтропии
s, изобарной теплоемкости
cp, изохорной теплоемкости
cv, скорости звука
w, коэффициента динамической вязкости

и коэффициента теплопроводности

для изобутана как в однофазных областях (газ, жидкость и флюид), так и на линии фазового перехода газ - жидкость (линии насыщения), а также значений давления насыщения
ps.
В настоящем стандарте использованы нормативные ссылки на следующие стандарты:
ГОСТ 8.566 Государственная система обеспечения единства измерений. Межгосударственная система данных о физических константах и свойствах веществ и материалов. Основные положения
ГОСТ Р 8.614 Государственная система обеспечения единства измерений. Государственная служба стандартных справочных данных. Основные положения
Примечание - При пользовании настоящим стандартом целесообразно проверить действие ссылочных стандартов в информационной системе общего пользования - на официальном сайте Федерального агентства по техническому регулированию и метрологии в сети Интернет или по ежегодному информационному указателю "Национальные стандарты", который опубликован по состоянию на 1 января текущего года, и по выпускам ежемесячного информационного указателя "Национальные стандарты" за текущий год. Если заменен ссылочный стандарт, на который дана недатированная ссылка, то рекомендуется использовать действующую версию этого стандарта с учетом всех внесенных в данную версию изменений. Если заменен ссылочный стандарт, на который дана датированная ссылка, то рекомендуется использовать версию этого стандарта с указанным выше годом утверждения (принятия). Если после утверждения настоящего стандарта в ссылочный стандарт, на который дана датированная ссылка, внесено изменение, затрагивающее положение, на которое дана ссылка, то это положение рекомендуется применять без учета данного изменения. Если ссылочный стандарт отменен без замены, то положение, в котором дана ссылка на него, рекомендуется применять в части, не затрагивающей эту ссылку.
Стандартные справочные значения (
ГОСТ Р 8.614,
ГОСТ 8.566)

,
h,
s,
cp,
cv,
w и
ps рассчитаны по единому для жидкой и газовой фаз фундаментальному уравнению состояния (ФУС) - зависимости свободной энергии (функции Гельмгольца)
F от плотности

и температуры
T

, (1)
где f, f0 и fr - безразмерные полная свободная энергия, идеально-газовая и неидеальная составляющие свободной энергии, соответственно;

- относительная плотность,

;

- относительная температура,

.
Значения плотности

и температуры (
Tкр) изобутана в критической точке приведены в
таблице А.1 приложения А.
Уравнение для идеально-газовой составляющей свободной энергии имеет следующий вид

. (2)
Уравнение для неидеальной составляющей свободной энергии имеет следующий вид

, (3)
где

(4)
В
формулах (3) и
(4) bj - коэффициенты уравнения состояния, значения которых вместе с показателями степеней
rj,
tj,
lj и параметрами
gj,

,

,

,

приведены в
таблице А.2 приложения А.
Плотность

в однофазных областях при заданных значениях давления

и температуры (
T) определяют из решения следующего уравнения

; (5)
где

;

.
Значения давления (
pкр) и фактора сжимаемости (
zкр) в критической точке, а также газовой постоянной (
R) изобутана приведены в
таблице А.1 приложения А.
Плотности газовой

и жидкой

фаз на линии насыщения при заданной температуре
T определяются из условий фазового равновесия в результате решения следующей системы уравнений:

(6)
где

- безразмерная неидеальная составляющая изобарно-изотермического потенциала (потенциала Гиббса)

. (7)
Давление на линии насыщения
ps определяют по
формуле (5) для

.
Энтальпия, энтропия, изобарная и изохорная теплоемкости и скорость звука как в однофазных областях (для
T и

), так и на линии насыщения (для
T,

или
T,

) вычисляют по следующим формулам:
h = h0 + A3RT; (8)
s = s0 + RA4; (9)
cp =
cv +
R(1 +
A2)
2/(1 +
A1); (10)
w = [10
3RTcp(1 +
A1)/
cv]
0,5, (12)
где h0, s0, cv0 - энтальпия, энтропия и изохорная теплоемкость в идеально-газовом состоянии.
Термодинамические свойства в идеально-газовом состоянии определяют по формулам, полученным из

:

; (13)

; (14)

, (15)
где

;
Ei и
Di - функции от

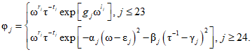
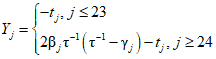
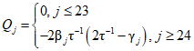
, имеющие следующий вид

. (16)
Комплексы
A0 -
A5 в
формулах (5) -
(12) определяют по следующим соотношениям, полученным из
уравнения (3) для
fr с использованием известных дифференциальных уравнений термодинамики

; (17)

; (18)

; (19)

; (20)

; (21)

, (22)
где

(23)

(24)

(25)

(26)
Стандартные справочные значения коэффициента динамической вязкости изобутана рассчитывают по следующей формуле

, (27)
где

,

и

- коэффициент динамической вязкости изобутана в состоянии разреженного газа, второй вязкостный вириальный коэффициент и избыточная по отношению к

составляющая коэффициента динамической вязкости, соответственно;
Составляющие

в
(27) определяют по формулам:

, (28)

. (29)

. (30)

, (31)

. (32)
Коэффициенты {
eij}, {
g1,
g2} и
f представлены в
таблице А.6.
Стандартные справочные значения коэффициента теплопроводности изобутана рассчитывают по следующей формуле

, (33)
где

,

и

- коэффициент теплопроводности изобутана в состоянии разреженного газа, избыточная по отношению к

составляющая коэффициента теплопроводности и аномальная составляющая коэффициента теплопроводности в околокритической области, соответственно

; (34)

, (35)
где

;

.

(36)

; (37)

; (38)

; (39)

; (40)

. (41)
Значения коэффициентов {
ai} и {
b1i}, {
b2i}
формул (34),
(35) приведены в
таблицах А.7 и
А.8 приложения А. Универсальные теоретически обоснованные постоянные
kB = 1,380658·10
-2;
R0 = 1,03; v = 0,63; y = 1,239. Значения подгоночных параметров для изобутана

,

,
qD,
Tref приведены в
таблице А.1 приложения А. В
формулах (36),
(39) -
(41) теплоемкости
cp,
cv и расчетный комплекс
A1 определяют по
формулам (10),
(11) и
(18), соответственно; коэффициент динамической вязкости

определяют по
формулам (27) -
(32).
Контрольные значения стандартных термодинамических и переносных (

,

) свойств изобутана приведены в
таблицах Б.2 (линия насыщения) и
В.1 (однофазные области) приложений Б и В.
4 Расширенные неопределенности расчетных значений стандартных справочных данных по свойствам изобутана
Расширенные неопределенности (с доверительной вероятностью 95%) расчетных значений термодинамических свойств и свойств переноса: плотности

, скорости звука

, изохорной

и изобарной

теплоемкостей, коэффициента динамической вязкости

и коэффициента теплопроводности

определяют в соответствии с оценками, приведенными в
[1].
Расширенные неопределенности контрольных значений стандартных справочных данных изобутана представлены в
таблицах Б.2 и
В.1 (приложения Б и В), где для всех теплофизических свойств, кроме энтальпии, приведены относительные величины неопределенностей

, %; для энтальпии приведена абсолютная величина

, кДж/кг.
(обязательное)
ОСНОВНЫЕ ФИЗИЧЕСКИЕ ПАРАМЕТРЫ И КОЭФФИЦИЕНТЫ УРАВНЕНИЙ
ДЛЯ ОПРЕДЕЛЕНИЯ ЗНАЧЕНИЙ СТАНДАРТНЫХ СПРАВОЧНЫХ ДАННЫХ
ПО СВОЙСТВАМ ИЗОБУТАНА
Таблица А.1
Основные физические параметры изобутана
Физический параметр, размерность | Значение |
Молярная масса M, кг/кмоль | 58,1222 |
Газовая постоянная R, кДж/(кг·К) | 0,14305157 |
Параметры в тройной точке: | |
давление pt, МПа | 0,0219·10-6 |
температура Tt, К | 113,73 |
Параметры в критической точке: | |
давление pкр, МПа | 3,629 |
температура Tкр, К | 407,81 |
плотность  , кг/м 3 | 225,5 |
фактор сжимаемости zкр | 0,275860756 |
Параметры для расчета  : | |
 , нм | 0,46445 |
 , К | 307,55 |
 , кмоль/м 3 | 3,860 |
 , К | 407,817 |
Параметры для расчета  : | |
 , нм | 0,194 |
| 0,0496 |
qD, нм | 0,657661 |
Tref, К | 611,73 |
Таблица А.2
Коэффициенты, показатели степеней и параметры
уравнения для неидеальной составляющей ФУС изобутана
j | bj | rj | tj | gj | lj | | | | |
1 | 0,20686820727966·101 | 1 | 0,5 | 0 | 0 | | | | |
2 | -0,36400098615204·101 | 1 | 1 | 0 | 0 | | | | |
3 | 0,51968754427244 | 1 | 1,5 | 0 | 0 | | | | |
4 | 0,17745845870123 | 2 | 0 | 0 | 0 | | | | |
5 | -0,12361807851599 | 3 | 0,5 | 0 | 0 | | | | |
6 | 0,45145314010528·10-1 | 4 | 0,5 | 0 | 0 | | | | |
7 | 0,30476479965980·10-1 | 4 | 0,75 | 0 | 0 | | | | |
8 | 0,75508387706302 | 1 | 2 | -1 | 1 | | | | |
9 | -0,85885381015629 | 1 | 2,5 | -1 | 1 | | | | |
10 | 0,36324009830684·10-1 | 2 | 2,5 | -1 | 1 | | | | |
11 | -0,19548799450550·10-1 | 7 | 1,5 | -1 | 1 | | | | |
12 | -0,44452392904960·10-2 | 8 | 1 | -1 | 1 | | | | |
13 | 0,46410763666460·10-2 | 8 | 1,5 | -1 | 1 | | | | |
14 | -0,71444097992825·10-1 | 1 | 4 | -1 | 2 | | | | |
15 | -0,80765060030713·10-1 | 2 | 7 | -1 | 2 | | | | |
16 | 0,15560460945053 | 3 | 3 | -1 | 2 | | | | |
17 | 0,20318752160332·10-2 | 3 | 7 | -1 | 2 | | | | |
18 | -0,10624883571689 | 4 | 3 | -1 | 2 | | | | |
19 | 0,39807690546305·10-1 | 5 | 1 | -1 | 2 | | | | |
20 | 0,16371431292386·10-1 | 5 | 6 | -1 | 2 | | | | |
21 | 0,53212200682628·10-3 | 10 | 0 | -1 | 2 | | | | |
22 | -0,78681561156387·10-2 | 2 | 6 | -1 | 3 | | | | |
23 | -0,30981191888963·10-2 | 6 | 13 | -1 | 3 | | | | |
24 | -0,42276036810382·10-1 | 1 | 2 | -1 | 2 | 10 | 150 | 0,85 | 1,16 |
25 | -0,53001044558079·10-2 | 2 | 0 | -1 | 2 | 10 | 200 | 1 | 1,13 |
Таблица А.3
для термодинамических свойств изобутана в идеально-газовом
состоянии, энтальпия

и энтропия

i | ai | |
1 | 11,60865546 | 0 |
2 | -5,29450411 | 0 |
3 | 3,05956619 | 0 |
4 | 4,94641014 | 0,9512779015 |
5 | 4,09475197 | 2,3878958853 |
6 | 15,6632824 | 4,3469042691 |
7 | 9,73918122 | 10,36885863510 |
 ; |
Таблица А.4
i | ai |
0 | 0,53583008 |
1 | -0,45629630 |
2 | 0,049911282 |
Таблица А.5
i | bi |
0 | -19,572881 |
1 | 219,73999 |
2 | -1015,3226 |
3 | 2471,01251 |
4 | -3375,1717 |
5 | 2491,6597 |
6 | -787,26086 |
7 | 14,085455 |
8 | -0,34664158 |
Таблица А.6
Коэффициенты {
eij}, {
g1,
g2} и
f уравнений (
31 и
32)
для

изобутана
i | eij |
j = 0 | j = 1 | j = 2 |
2 | 103,511763411 | -312,670896234 | 145,253750239 |
3 | -210,649894193 | 386,269696509 | -214,963015527 |
4 | 112,580360920 | -223,242033154 | 119,114788598 |
5 | -18,1909745900 | 36,0438957232 | -21,3960184050 |
g1 = 2,33859774637 g2 = 1,00596672174 | f = 1940,37606990 |
Таблица А.7
i | ai |
0 | -2,37901 |
1 | 1,06601·101 |
2 | 2,15811·101 |
Таблица А.8
i | bji |
j = 1 | j = 2 |
1 | -4,11789·101 | 4,76346·101 |
2 | 1,46805·102 | -1,28445·102 |
3 | -1,19190·102 | 1,07565·102 |
4 | 4,10226·101 | -3,85968·101 |
5 | -4,88704 | 5,20901 |
(обязательное)
ТАБЛИЦЫ КОНТРОЛЬНЫХ СТАНДАРТНЫХ ЗНАЧЕНИЙ ТЕПЛОФИЗИЧЕСКИХ
СВОЙСТВ ИЗОБУТАНА НА КРИВОЙ НАСЫЩЕНИЯ
Таблица Б.1
Обозначения и размерности теплофизических
свойств и их неопределенностей, представленных
Наименование показателя | Обозначение | Размерность |
Температура | T | К |
Давление | p | МПа |
Давление насыщения | ps | МПа |
Плотность | | кг/м3 |
Энтальпия | h | кДж/кг |
Энтропия | s | кДж/(кг·К) |
Изохорная теплоемкость | cv | кДж/(кг·К) |
Изобарная теплоемкость | cp | кДж/(кг·К) |
Скорость звука | w | м/с |
Коэффициент динамической вязкости | | мкПа·с |
Коэффициент теплопроводности | | мВт/(м·К) |
Относительная неопределенность теплофизических свойств, исключая энтальпию | | % |
Абсолютная неопределенность энтальпии | | кДж/кг |
Примечание - В таблице Б.2, где представлены контрольные стандартные значения теплофизических свойств ( A) изобутана на кривой насыщения, обозначения A' и A" - свойства насыщенной жидкости и насыщенного пара, соответственно. |
Таблица Б.2
Контрольные стандартные значения теплофизических
свойств изобутана на кривой насыщения
T | ps | | | h' | h" | s' | s" | cv' | cv" |
| | | | | | | | |
114,00 | 0,24549·10-7 | 740,08 | 0,15054·10-5 | -405,1 | 75,4 | 1,8873 | 6,1020 | 1,175 | 0,738 |
| 0,02 | 0,02 | 0,02 | 0,6 | 0,1 | 0,06 | 0,01 | 5,0 | 0,3 |
150,00 | 0,23880·10-4 | 706,04 | 0,11130·10-2 | -342,2 | 110,0 | 2,3660 | 5,3805 | 1,251 | 0,894 |
| 0,02 | 0,02 | 0,02 | 0,4 | 0,1 | 0,04 | 0,01 | 5,0 | 0,3 |
200,00 | 0,38135·10-2 | 657,71 | 0,13378 | -247,9 | 166,5 | 2,9071 | 4,9792 | 1,363 | 1,095 |
| 0,02 | 0,02 | 0,02 | 0,3 | 0,1 | 0,03 | 0,01 | 2,0 | 0,3 |
250,00 | 0,63350·10-1 | 606,28 | 0,18253·101 | -144,7 | 230,3 | 3,3665 | 4,8665 | 1,507 | 1,317 |
| 0,02 | 0,02 | 0,02 | 0,2 | 0,1 | 0,02 | 0,01 | 2,0 | 0,3 |
300,00 | 0,37000 | 548,32 | 0,96096·101 | -29,6 | 297,2 | 3,7834 | 4,8730 | 1,690 | 1,578 |
| 0,02 | 0,02 | 0,02 | 0,1 | 0,1 | 0,02 | 0,01 | 2,0 | 0,3 |
| | ИС МЕГАНОРМ: примечание. Значения в графе 2 даны в соответствии с официальным текстом документа. | |
|
350,00 | 0,12587·101 | 475,47 | 0,33230·102 | 102,5 | 360,6 | 4,1846 | 4,9221 | 1,909 | 1,874 |
| 0,10 | 0,50 | 0,10 | 0,4 | 0,1 | 0,10 | 0,01 | 2,0 | 0,3 |
400,00 | 0,31856·101 | 341,03 | 0,11839·103 | 272,2 | 390,1 | 4,6234 | 4,9181 | 2,250 | 2,354 |
| 0,50 | 0,50 | 2,60 | 0,7 | 2,7 | 0,05 | 0,15 | 6,0 | 6,0 |
407,00 | 0,35801·101 | 276,83 | 0,17346·103 | 315,8 | 368,2 | 4,7282 | 4,8568 | 2,465 | 2,575 |
| 0,50 | 8,11 | 18,92 | 9,3 | 21,6 | 0,49 | 1,10 | 6,0 | 6,0 |
Окончание таблицы Б.2
T | cp' | cp" | w' | w" | | | | |
| | | | | | | |
114,00 | 1,690 | 0,881 | 1997,4 | 139,5 | 8618,1 | 2,85 | 157,8 | 2,29 |
| 5,0 | 0,3 | 5,00 | 2,00 | 3,0 | 4,0 | 3,0 | 5,0 |
150,00 | 1,805 | 1,037 | 1714,4 | 157,8 | 1747,6 | 3,80 | 148,3 | 4,46 |
| 5,0 | 0,3 | 5,00 | 2,00 | 3,0 | 4,0 | 3,0 | 5,0 |
200,00 | 1,968 | 1,241 | 1389,1 | 179,4 | 547,1 | 5,08 | 129,0 | 8,03 |
| 2,0 | 0,3 | 2,00 | 2,00 | 3,0 | 4,0 | 3,0 | 5,0 |
250,00 | 2,168 | 1,481 | 1093,4 | 194,5 | 262,0 | 6,30 | 107,9 | 12,18 |
| 2,0 | 0,3 | 2,00 | 2,00 | 3,0 | 4,0 | 3,0 | 5,0 |
300,00 | 2,442 | 1,810 | 810,3 | 197,7 | 148,2 | 7,55 | 88,6 | 17,03 |
| 2,0 | 0,3 | 2,00 | 2,00 | 3,0 | 3,0 | 3,0 | 3,0 |
350,00 | 2,898 | 2,355 | 523,9 | 181,6 | 88,6 | 9,24 | 72,7 | 23,93 |
| 2,0 | 0,3 | 2,00 | 2,00 | 3,0 | 3,0 | 3,0 | 3,0 |
400,00 | 6,349 | 7,555 | 184,4 | 128,9 | 42,5 | 14,76 | 61,9 | 46,45 |
| 6,0 | 6,0 | 5,00 | 5,00 | 3,0 | 3,0 | 5,0 | 5,0 |
407,00 | 42,319 | 61,185 | 117,0 | 113,8 | 31,1 | 19,21 | 77,3 | 81,05 |
| 6,0 | 6,0 | 6,00 | 6,00 | 3,0 | 3,0 | 5,0 | 5,0 |
(обязательное)
ТАБЛИЦЫ КОНТРОЛЬНЫХ СТАНДАРТНЫХ ЗНАЧЕНИЙ ТЕПЛОФИЗИЧЕСКИХ
СВОЙСТВ ИЗОБУТАНА В ОДНОФАЗНОЙ ОБЛАСТИ
Таблица В.1
Контрольные стандартные значения теплофизических
свойств изобутана в однофазной области
p | | h | s | cv | cp | w | | |
| | | | | | | | |
T = 114,0 К |
0,1 | 740,12 | -405,0 | 1,8871 | 1,175 | 1,690 | 1997,6 | 8628,35 | 157,82 |
| 0,02 | 0,6 | 0,06 | 5,0 | 5,0 | 5,00 | 3,0 | 5,0 |
T = 200,0 К |
0,1 | 657,78 | -247,8 | 2,9069 | 1,363 | 1,968 | 1389,7 | 547,68 | 129,02 |
| 0,02 | 0,3 | 0,03 | 2,0 | 2,0 | 2,00 | 3,0 | 5,0 |
10,0 | 664,83 | -237,2 | 2,8852 | 1,374 | 1,951 | 1445,4 | 603,11 | 133,02 |
| 0,02 | 0,3 | 0,03 | 2,0 | 2,0 | 5,00 | 3,0 | 3,0 |
35,0 | 680,21 | -209,7 | 2,8369 | 1,398 | 1,924 | 1567,6 | 751,38 | 142,10 |
| 0,30 | 4,2 | 0,24 | 2,0 | 2,0 | 5,00 | 3,0 | 3,0 |
T = 300,0 К |
0,1 | 2,3913 | 308,1 | 5,0860 | 1,539 | 1,700 | 212,0 | 7,54 | 17,08 |
| 0,02 | 0,1 | 0,01 | 0,3 | 0,3 | 2,00 | 0,4 | 5,0 |
10,0 | 566,36 | -23,2 | 3,7473 | 1,698 | 2,358 | 926,1 | 172,11 | 95,38 |
| 0,02 | 0,2 | 0,02 | 2,0 | 2,0 | 2,00 | 3,0 | 3,0 |
35,0 | 598,05 | 0,8 | 3,6791 | 1,719 | 2,272 | 1136,2 | 227,77 | 109,37 |
| 0,50 | 3,0 | 0,19 | 2,0 | 2,0 | 2,00 | 3,0 | 3,0 |
T = 400,0 К |
0,1 | 1,7653 | 500,5 | 5,6364 | 2,001 | 2,151 | 245,5 | 9,93 | 28,88 |
| 0,10 | 0,1 | 0,01 | 0,5 | 0,5 | 0,20 | 0,4 | 5,0 |
10,0 | 439,11 | 242,0 | 4,5059 | 2,125 | 3,003 | 486,2 | 72,80 | 70,55 |
| 0,50 | 0,5 | 0,08 | 3,0 | 3,0 | 3,00 | 3,0 | 3,0 |
35,0 | 515,50 | 247,0 | 4,3890 | 2,128 | 2,686 | 824,9 | 117,42 | 88,16 |
| 0,50 | 1,1 | 0,11 | 2,0 | 2,0 | 2,00 | 3,0 | 3,0 |
T = 500,0 К |
0,1 | 1,4048 | 737,1 | 6,1627 | 2,426 | 2,573 | 274,1 | 12,20 | 43,24 |
| 0,40 | 0,1 | 0,02 | 0,5 | 0,5 | 0,20 | 0,4 | 5,0 |
10,0 | 238,30 | 587,3 | 5,2731 | 2,544 | 3,637 | 239,2 | 28,15 | 61,48 |
| 0,40 | 0,5 | 0,03 | 3,0 | 3,0 | 3,00 | 3,0 | 3,0 |
35,0 | 433,69 | 535,2 | 5,0307 | 2,522 | 3,067 | 628,8 | 72,97 | 81,27 |
| 0,40 | 0,2 | 0,06 | 3,0 | 3,0 | 3,00 | 3,0 | 3,0 |
T = 600,0 К |
0,1 | 1,1679 | 1012,9 | 6,6646 | 2,789 | 2,934 | 299,8 | 14,37 | 60,17 |
| 0,40 | 0,1 | 0,02 | 0,5 | 0,5 | 0,20 | 0,4 | 5,0 |
10,0 | 142,42 | 928,7 | 5,8964 | 2,846 | 3,321 | 274,0 | 22,08 | 69,54 |
| 0,40 | 0,4 | 0,03 | 3,0 | 3,0 | 3,00 | 4,0 | 3,0 |
35,0 | 359,83 | 857,3 | 5,6170 | 2,863 | 3,359 | 528,8 | 49,69 | 84,60 |
| 0,40 | 0,2 | 0,04 | 3,0 | 3,0 | 3,00 | 4,0 | 3,0 |
| Таблицы стандартных справочных данных, ГСССД 337-2018. Изобутан жидкий и газообразный. Термодинамические свойства, коэффициенты динамической вязкости и теплопроводности при температурах от 114 до 600 К и давлениях до 35 МПа. - ФГУП "ВНИИМС" - М., 2018. - 49 с. |