Главная // Актуальные документы // ГОСТ Р (Государственный стандарт)СПРАВКА
Источник публикации
М.: Стандартинформ, 2018
Примечание к документу
Документ
введен в действие с 1 марта 2018 года.
Название документа
"ГОСТ Р 8.942-2017. Национальный стандарт Российской Федерации. Государственная система обеспечения единства измерений. Национальный стандарт. Стандартные справочные данные. Лазерные кристаллы (калиевые вольфраматы редкоземельных элементов). Упругие константы. Упругооптические модули для изотропной дифракции"
(утв. и введен в действие Приказом Росстандарта от 22.12.2017 N 2079-ст)
"ГОСТ Р 8.942-2017. Национальный стандарт Российской Федерации. Государственная система обеспечения единства измерений. Национальный стандарт. Стандартные справочные данные. Лазерные кристаллы (калиевые вольфраматы редкоземельных элементов). Упругие константы. Упругооптические модули для изотропной дифракции"
(утв. и введен в действие Приказом Росстандарта от 22.12.2017 N 2079-ст)
Утвержден и введен в действие
агентства по техническому
регулированию и метрологии
от 22 декабря 2017 г. N 2079-ст
НАЦИОНАЛЬНЫЙ СТАНДАРТ РОССИЙСКОЙ ФЕДЕРАЦИИ
ГОСУДАРСТВЕННАЯ СИСТЕМА ОБЕСПЕЧЕНИЯ ЕДИНСТВА ИЗМЕРЕНИЙ
НАЦИОНАЛЬНЫЙ СТАНДАРТ. СТАНДАРТНЫЕ СПРАВОЧНЫЕ ДАННЫЕ
ЛАЗЕРНЫЕ КРИСТАЛЛЫ (КАЛИЕВЫЕ ВОЛЬФРАМАТЫ РЕДКОЗЕМЕЛЬНЫХ
ЭЛЕМЕНТОВ). УПРУГИЕ КОНСТАНТЫ. УПРУГООПТИЧЕСКИЕ МОДУЛИ
ДЛЯ ИЗОТРОПНОЙ ДИФРАКЦИИ
State system for ensuring the uniformity of measurements.
National standard. Standard reference data. Laser crystals
(potassium rare-earth tungstates). Elasticity constants.
Elasto-optic modules for isotropic diffraction
ГОСТ Р 8.942-2017
Дата введения
1 марта 2018 года
1 РАЗРАБОТАН Главным научным метрологическим центром "Стандартные справочные данные о физических константах и свойствах веществ и материалов" (ГНМЦ "ССД"), Научно-технологическим центром уникального приборостроения РАН (НТЦ РАН)
2 ВНЕСЕН Техническим комитетом по стандартизации ТК 180 "Стандартные справочные данные о физических константах и свойствах веществ и материалов"
3 УТВЕРЖДЕН И ВВЕДЕН В ДЕЙСТВИЕ
Приказом Федерального агентства по техническому регулированию и метрологии от 22 декабря 2017 г. N 2079-ст
4 ВВЕДЕН ВПЕРВЫЕ
Правила применения настоящего стандарта установлены в статье 26 Федерального закона от 29 июня 2015 г. N 162-ФЗ "О стандартизации в Российской Федерации". Информация об изменениях к настоящему стандарту публикуется в ежегодном (по состоянию на 1 января текущего года) информационном указателе "Национальные стандарты", а официальный текст изменений и поправок - в ежемесячном информационном указателе "Национальные стандарты". В случае пересмотра (замены) или отмены настоящего стандарта соответствующее уведомление будет опубликовано в ближайшем выпуске ежемесячного информационного указателя "Национальные стандарты". Соответствующая информация, уведомление и тексты размещаются также в информационной системе общего пользования - на официальном сайте Федерального агентства по техническому регулированию и метрологии в сети Интернет (www.gost.ru)
Настоящий стандарт распространяется на упругие константы лазерных кристаллов калиевых вольфраматов редкоземельных элементов и их упругооптические модули для изотропной дифракции.
Основой для составления таблиц стандартных справочных данных явились данные, приведенные в методиках
[1] и
[2]. Кристаллы семейства калий-редкоземельных вольфраматов KRE(WO
4)
2 (далее - KREW) являются известными лазерными материалами, например кристаллы калий-иттербиевого вольфрамата KYb(WO
4)
2 (кратко: KYbW) используются для получения импульсного излучения при пассивной модуляции мод
[1].
В настоящем стандарте использована нормативная ссылка на следующий стандарт:
ГОСТ Р 54500.3/Руководство ИСО/МЭК 98-3:2008 Неопределенность измерения. Часть 3. Руководство по выражению неопределенности измерения
Примечание - При пользовании настоящим стандартом целесообразно проверить действие ссылочных стандартов в информационной системе общего пользования - на официальном сайте Федерального агентства по техническому регулированию и метрологии в сети Интернет или по ежегодному информационному указателю "Национальные стандарты", который опубликован по состоянию на 1 января текущего года, и по выпускам ежемесячного информационного указателя "Национальные стандарты" за текущий год. Если заменен ссылочный стандарт, на который дана недатированная ссылка, то рекомендуется использовать действующую версию этого стандарта с учетом всех внесенных в данную версию изменений. Если заменен ссылочный стандарт, на который дана датированная ссылка, то рекомендуется использовать версию этого стандарта с указанным выше годом утверждения (принятия). Если после утверждения настоящего стандарта в ссылочный стандарт, на который дана датированная ссылка, внесено изменение, затрагивающее положение, на которое дана ссылка, то это положение рекомендуется применять без учета данного изменения. Если ссылочный стандарт отменен без замены, то положение, в котором дана ссылка на него, рекомендуется применять в части, не затрагивающей эту ссылку.
Упругие константы (см.
таблицу 1) определены путем решения обратной акустической задачи по скоростям распространения упругих волн, экспериментально измеренных фазоимпульсным методом. Упругооптические модули (см.
таблицу 3) были определены по коэффициентам акустооптического качества (см.
таблицу 2), измеренным методом Диксона.
При выборе систем координат для кристаллов моноклинной сингонии были применены общепринятые рекомендации
[3]:
1) ось Z направляется вдоль минимального вектора трансляции с элементарной ячейки кристалла, не совпадающей с осью симметрии второго порядка;
2) ось Y ориентирована вдоль оси симметрии второго порядка таким образом, чтобы система координат XYZ была правой;
3) ось X лежит внутри тупого угла элементарной ячейки и перпендикулярна осям Y и Z.
Другая система координат, называемая диэлектрической, связана с осями оптической индикатрисы:
Nm,
Np и
Ng. При этом ось
Np совпадает с осью симметрии второго порядка кристалла и, соответственно, с осью
Y, а оси
Nm и
Np лежат в плоскости
XZ и образуют с осями
X и
Y угол

(см.
приложение А). Вследствие дисперсии значение угла

зависит от длины волны света

и может изменяться в видимом диапазоне почти на 2°. Величина этого угла

при 632,8 нм для кристаллов семейства KREW, а также плотность материалов приведены в
таблице А.1.
4 Механические и акустические свойства кристаллической среды
Упругие характеристики определяют механические и акустические свойства кристаллической среды, описывают реакцию кристалла на механические нагрузки, что прямо или косвенно учитывается при использовании материала в любом качестве. Эти характеристики играют также ключевую роль при использовании материала в качестве основы функциональных элементов и устройств в акустике, акустооптике, акустоэлектронике, ультразвуковой технике. В кристаллах фазовая скорость звуковой волны зависит как от направления распространения упругой волны, так и от ее поляризации (моды). Полностью эта зависимость определяется тензором упругости материала
Cijkl, следовательно, определение скорости звука не сводится только к одному измерению, а представляет собой сложную многоступенчатую процедуру. При упругой деформации
Skl в кристаллической среде возникают напряжения
Tij, описываемые при малых деформация законом Гука:
Tij =
CijklSkl, где
i,
j,
k,
l = 1, 2, 3. Коэффициенты
Cijkl носят название коэффициентов упругости (констант жесткости) и составляют тензор четвертого ранга, имеющий 81 элемент. Благодаря свойству симметрии тензора упругости возможно использовать сокращенную (редуцированную) запись

, где индексы

получаются попарным сворачиванием индексов
i,
j,
k,
l. В моноклинных кристаллах редуцированная матрица констант жесткости

имеет 13 ненулевых элементов. Далее скорости
V собственных мод акустических волн находятся из волнового уравнения

(1)
при стандартном поиске решения в виде гармонической функции. Решая обратную задачу, по известным скоростям распространения упругих волн в разных направлениях теоретически возможно найти константы жесткости Cijkl.
5 Стандартные справочные данные о коэффициентах упругости, коэффициентах акустооптического качества и фотоупругих модулях
5.1 В таблице 1 приведены стандартные справочные данные о коэффициентах упругости

кристаллов семейства KRE(WO
4)
2 в кристаллофизической системе координат (
X,
Y и
Z).
Таблица 1
Стандартные справочные данные о коэффициентах
упругости кристаллов семейства KRE(WO4)2
Константы жесткости |  , кг/(м·с 2) | Погрешность, x 109, кг/(м·с2) |
KY(WO4)2 | KGd(WO4)2 | KYb(WO4)2 | KLu(WO4)2 |
c11 | 184,2 | 181,4 | 187,5 | 189,0 | 0,6 |
c12 | 84,65 | 86.3 | 85,7 | 86,1 | 0,6 |
c13 | 60,88 | 61,5 | 60,5 | 60,6 | 0,5 |
c15 | -23,68 | -22,4 | -25,7 | -26,3 | 0,4 |
c22 | 176,8 | 171,7 | 182,8 | 185,2 | 0,6 |
c23 | 67,15 | 67,5 | 68,2 | 67,9 | 0.6 |
c25 | -13,72 | -12,9 | -15,3 | -15,3 | 0,4 |
c33 | 148,8 | 135,3 | 165,4 | 168,8 | 0,6 |
c35 | 3,95 | 4,8 | 2,7 | 2,8 | 0,1 |
c44 | 68,85 | 69,7 | 68,2 | 68,5 | 0,2 |
c46 | -6.81 | -2,5 | -11,6 | -13,4 | 0,1 |
c55 | 43,41 | 41,9 | 45,2 | 46,5 | 0,2 |
c66 | 34,76 | 39,5 | 29,0 | 26,4 | 0,1 |
Абсолютные погрешности приведены в
таблице 1. В погрешность определения констант вносят вклад следующие составляющие:
- погрешность измерения скорости

;
- погрешность вычисления упругих коэффициентов

, в том числе погрешность ориентации образцов.
Способ определения упругих констант кристаллов моноклинной сингонии также приведен в
[4] и
приложении Б.
Изменения показателя преломления, вызванные бегущей в среде ультразвуковой волной, носят периодический по пространству характер, и для распространяющегося светового пучка они играют роль фазовой дифракционной решетки. В результате селективной (брэгговской) дифракции света на такой структуре происходит отклонение светового пучка с длиной волны, удовлетворяющей условию Брэгга между длиной волны света

и частотой ультразвука
f. Это явление используется для определения фотоупругих характеристик материала методом Диксона путем сравнения интенсивности дифрагированного (отклоненного) светового потока
Id ~
IiMWacL2 в исследуемой среде и образце из известного материала.
5.2 В таблице 2 приведены стандартные справочные данные о коэффициентах акустооптического качества (АО) в кристаллах семейства KRE(WO4)2.
Таблица 2
Стандартные справочные данные о коэффициентах
акустооптического качества в кристаллах семейства KRE(WO4)2
Ультразвук | Поляризация света | Акустооптическое качество M x 1015, s3/kg | Коэффициент АО качества |
Направление | Поляризация | KYW | KGW | KYbW | KLuW |
Nm(X') | Nm(X') | Nm(X') | 0,82 | 0,75 | 0,68 | 0,74 | |
Np(Y) | 1,2 | 1,0 | 1,3 | 1,9 | |
Ng(Z') | 1,4 | 1,3 | 1,1 | 0,9 | |
Np(Y) | Np(Y) | Nm(X') | 2.4 | 1,8 | 0,57 | 1,1 | |
Np(Y) | 0,17 | 0,11 | 0,30 | 0,22 | |
Ng(Z') | 0,94 | 0,78 | 0,68 | 0,57 | |
Ng(Z') | Ng(Z') | Nm(X') | 11 | 6,1 | 8,7 | 7,7 | |
Np(Y) | 11 | 5,9 | 7,4 | 11 | |
Ng(Z') | 8,3 | 10,5 | 14 | 10 | |
Ng(Z') | Nm(X') | Nm(X') | 1,3 | 3,0 | 0,70 | 0,77 | |
Np(Y) | 0,36 | 0,54 | 0,01 | 0,10 | |
Ng(Z') | 19 | 19 | 15 | 14,0 | |
Определение упругооптических характеристик кристаллов осуществляется в диэлектрической системе координат. Выбор системы отсчета обусловлен прежде всего тем, что при фотоупругом эффекте происходит анализ компонент деформации оптической индикатрисы в ее осях симметрии, т.е. в диэлектрических осях
Nm,
Np и
Ng. В работе определены фотоупругие модули верхней половины матрицы

, описывающие так называемую изотропную дифракцию, при которой поляризация света сохраняется. Этому соответствуют коэффициенты

с первым индексом, равным 1

, 2

или 3

.
При анализе введены следующие обозначения

- коэффициент АО качества, измеренный для падающей световой волны, распространяющейся в направлении

с поляризацией в направлении

и принимающей после АО взаимодействия поляризацию

при дифракции этой волны на акустической волне, распространяющейся в направлении

со смещением по оси

, при этом оси диэлектрической системы координат обозначаются следующим образом:
m соответствует оси
Nm,
p - оси
Np (которая совпадает с
Y), а
g - оси
Ng.
Точность результатов определяется двумя факторами. Погрешность измерения коэффициентов АО качества M определяется точностью измерений и может быть оценена путем анализа погрешности используемых измерительных инструментов, прежде всего фотодетектора. Можно также определить эту погрешность экспериментально, используя в качестве измеряемого образец с известными упругооптическими характеристиками, например образец из того же материала, что и буфер. (В последнем случае отношение коэффициентов M буфера и кристалла должно быть равно 1.)
По экспериментальным оценкам эта погрешность составляет примерно 20%, что соответствует точности метода Диксона. С учетом того, что

, относительная погрешность фотоупругих коэффициентов вдвое ниже:

и составляет примерно 10%.
Дополнительная составляющая погрешности может возникать при решении системы уравнений (вычислении фотоупругих модулей

). Однако при описанном в методике выборе геометрии дифракции акустические волны очень близки к собственным модам, поэтому существенной дополнительной погрешности вычисления не вносят. Погрешность результатов может быть также оценена непосредственно с помощью вариации значений

, в правых частях уравнений в соответствии с разбросом экспериментальных данных и определения величины соответствующих вариаций вычисляемых значений упругооптических модулей

.
Таким образом, общая погрешность определения упругооптических модулей составляет примерно 10% для наибольших значений

. Для остальных модулей, значения
p которых могут оказаться близки к нулю, можно считать их абсолютную погрешность той же, что и для наибольших.
5.3 В таблице 3 приведены стандартные справочные данные о фотоупругих модулях

в диэлектрической системе координат (
Nm,
Np и
Ng) кристаллов семейства KRE(WO
4)
2.
Таблица 3
Стандартные справочные данные о фотоупругих
модулях кристаллов семейства KRE(WO4)2
Параметр | Фотоупругий модуль  |
KYW | KGW | KYbW | KLuW |
p11 | 0,12 | 0,11 | 0,10 | 0,10 |
p12 | 0,17 | 0,14 | 0,08 | 0,11 |
p13 | 0,33 | 0,23 | 0,29 | 0,28 |
p15 | -0,04 | -0,05 | -0,04 | -0,04 |
p21 | 0,15 | 0,13 | 0,14 | 0,17 |
p22 | 0,05 | 0,04 | 0,05 | 0,05 |
p23 | 0,35 | 0,23 | 0,29 | 0,35 |
p25 | -0,02 | -0,03 | -0,02 | -0,03 |
p31 | 0,14 | 0,13 | 0,12 | 0,10 |
p32 | 0,10 | 0,09 | 0,08 | 0,08 |
p33 | 0,27 | 0,28 | 0,33 | 0,30 |
p35 | -0,14 | -0,13 | -0,13 | -0,13 |
Результаты также приведены в наших работах
[5],
[6]. Способ определения упругооптических свойств кристаллов моноклинной сингонии также приведен в методике ГСССД
[2] и
приложении В.
(справочное)
УГЛЫ МЕЖДУ ОСЯМИ КРИСТАЛЛОВ СЕМЕЙСТВА KREW
Вследствие дисперсии значение угла

зависит от длины волны света

и может изменяться в видимом диапазоне почти на 2°. Величина этого угла

при 632,8 нм для кристаллов семейства KREW, а также плотность материалов приведены на рисунке А.1 и в
таблице А.1.
Рисунок А.1 - Используемые системы координат
Примечание - Вектора
a,
b и
c составляют базис элементарной ячейки, оси
X,
Y и
Z относятся к кристаллофизической системе координат,
Nm,
Np и
Ng - оси оптической индикатрисы. Вектор
b и оси
Y,
Np направлены перпендикулярно плоскости рисунка и совпадают между собой. Угол между кристаллографическими осями

. Параллелограмм отображает ориентацию граней моноклинного кристалла.
Таблица А.1
Угол между кристаллофизической и диэлектрической
осями

и плотность

кристаллов семейства KREW
Свойство | KY(WO4)2 | KGd(WO4)2 | KYb(WO4)2 | KLu(WO4)2 |
 при 632,8 нм | | | | |
 , г/см 3 | 6,565 | | | |
<1> Углы, использованные в дальнейшем в расчетах, для кристаллов KYbW и KLuW измеряют классическим поляриметрическим методом. <2> Плотность KYbW определяют путем измерения размеров образца, имевшего форму прямоугольного параллелепипеда, и его взвешивания. |
(справочное)
ОПРЕДЕЛЕНИЕ СКОРОСТЕЙ ФАЗОИМПУЛЬСНЫМ МЕТОДОМ
Для определения скоростей использовался фазоимпульсный метод, основанный на обратном пьезоэффекте и двухимпульсной модуляции исходного сигнала. Основным элементом установки является буфер - кристалл с прикрепленным к нему излучателем ультразвука
(рисунок Б.1). Исследуемый образец приводят в контакт с буфером, изготовленным из достаточно твердого материала с малым затуханием ультразвука и известными свойствами (например, плавленого кварца), что позволяет ввести в образец ультразвуковой сигнал через жидкую или твердую склейку. Фазовую скорость распространения определяют интерференционным способом по формуле (Б.1), который основан на том, что набег фазы ультразвуковой волны, прошедшей в прямом и обратном направлениях по исследуемому образцу относительно импульса, отраженного от границы раздела буфер - образец, зависит от частоты ультразвука
f

, (Б.1)
где l - длина образца. Изменяя частоту и измеряя набег фаз (и зная длину образца l) можно определить скорость распространения упругой волны V.
Широко используемый метод эхоимпульсов, основанный на обратном пьезоэффекте, был дополнен фазоимпульсной модуляцией исходного сигнала.

задержки при прохождении акустической волны через буфер, изготовленный из известного материала (в описываемой установке, из плавленого кварца), и через кристаллический образец из исследуемого материала, позволяют определять скорость распространения ультразвука. В двухимпульсном методе
[12] излучают достаточно короткие импульсы (длительностью много меньше времени пробега через буфер
Tбуф и образец
Tобр), причем второй импульс посылают с такой задержкой
Tзад, чтобы после отражения от границы раздела буфер - образец он перекрывался с первым импульсом, вернувшимся в буфер после двойного прохождения через образец
(рисунок Б.1):
Tзад ~= 2
Tобр. Амплитуду второго импульса подбирают таким образом, чтобы амплитуды складывающихся импульсов оказывались примерно равны, обеспечивая таким образом максимальный размах изменений перекрывающихся частей: практически от нуля до удвоенной амплитуды возвращающихся импульсов.
Регистрацию разности фаз удобно вести визуально по осциллографу: если импульсы складываются в фазе, то в области перекрытия они складываются и наблюдается "всплеск" (рисунок Б.1 а), а если в противофазе, то гасят друг друга и наблюдается "провал" на осциллограмме (рисунок Б.1 б).
t1 - t6 - моменты времени
а - синфазное сложение импульсов;
б - противофазное сложение импульсов
Рисунок Б.1 - Схема регистрации разности
фаз отраженных импульсов
Первый и второй импульсы (обозначенные разными цветами/оттенками), различающиеся по амплитуде и длительности, показаны в шести разных моментах времени:
t1 = 0; t2 = Tбуф; t3 = Tбуф + Tобр; t4 = Tзад;
t5 = Tбуф + 2Tобр = Tзад + Tбуф; t6 = 2Tбуф + 2Tобр.
Перестраивая частоту звука, регистрируют последовательно чередование сложения импульсов в фазе и в противофазе. С учетом того, что каждая пара чередований соответствует сдвигу фаз на

, можно определить "шаг" чередования по частоте:

, где
m - число шагов,

- соответствующий диапазон перестройки по частоте. Окончательно скорость вычисляют по формуле

. (Б.2)
В качестве буферов используются плоскопараллельные образцы из плавленого кварца длиной примерно от 30 до 90 мм, на которые нанесены ультразвуковые преобразователи продольной или сдвиговой акустических волн. Измерения выполняются в соответствующем частотном диапазоне порядка 10 - 150 МГц. Исследуемый образец прижимается к кварцевому буферу через жидкую эпоксидную смолу. Измеряется порядка 100 - 300 частотных резонансов в зависимости от размеров образца.
Погрешности определения констант определены с помощью следующих шагов:
А. Оценку погрешности измерения и вычисления скоростей рассчитывают по формуле

,
(Б.3)
где

- дисперсии (среднеквадратичные отклонения) соответствующих величин.
При длине образца 10 мм, точности измерения 0,01 мм, диапазоне перестройки 100 МГц и точности измерения 10 кГц относительная точность определения скорости составит примерно 0,1%. Таким образом, использование фазоимпульсного метода позволило в 5 - 10 раз повысить точность определения скорости распространения упругих волн по сравнению с широко используемым методом эхоимпульсов.
При оценке погрешности определения скоростей следует учесть точность ориентации осей образца. При отклонении 3' погрешность составит не более 0,1%.
Б. Погрешность расчетов можно определить, варьируя значения измеренных скоростей и регистрируя отклонения в вычисленных эффективных скоростях. Разброс значений наиболее велик для наибольших (диагональных) членов и составляет примерно 0,2%, что в абсолютных единицах дает порядка 10 м/с.
В. Погрешность определения констант жесткости рассчитывают по формуле

, (Б.4)
где

- плотность.
Если точность измерения плотности намного выше, чем у остальных величин, то окончательно погрешность определения констант жесткости составит примерно 0,2%. Для некоторых материалов, например KGW, разброс по плотности составляет свыше 2%
[13], так что для них окончательная погрешность констант жесткости определяется точностью измерения плотности.
(справочное)
ФОТОУПРУГИЕ ХАРАКТЕРИСТИКИ
Фотоупругие характеристики определяются свойствами кристаллической среды. Они зависят от акустической и оптической анизотропии и в общем случае описываются тензором pijkl. Определение фотоупругих характеристик не может быть сведено к нескольким измерениям, а представляет собой сложную многоступенчатую процедуру.
Изменение компонент тензора диэлектрической непроницаемости (описывающего эллипсоид Френеля)

прямо пропорционально величине упругой деформации кристалла
Skl [14], рассчитывают по формуле

, (В.1)
при этом упругооптические коэффициенты (модули)
Pijkl образуют тензор четвертого ранга. Изменения оптической индикатрисы, описываемой тензором диэлектрической проницаемости

, рассчитывают по формуле

. (В.2)
Эти изменения в абсолютном выражении обычно не превышает 10-4.
В справочных материалах удобнее использовать сокращенную (редуцированную) запись упругооптического тензора коэффициентов, которая основана на симметрии тензора
Pijkl по первой и второй парам индексов (
Pijkl =
Pjikl,
Pijkl =
Pijlk). Редуцированная матрица имеет вид

, где индексы

получаются сворачиванием индексов
i,
j,
k,
l 4-рангового тензора по следующему правилу:

;

;

;

;

;

. В общем случае (в триклинных кристаллах) редуцированная матрица

имеет 36 независимых элементов
[3], а в кристаллах моноклинной сингонии - 20 элементов.

Изменения показателя преломления, вызванные бегущей в среде ультразвуковой волной, носят периодический по пространству характер, так что для распространяющегося светового пучка они играют роль фазовой дифракционной решетки. В результате селективной (брэгговской) дифракции света на такой структуре происходит отклонение светового пучка с длиной волны, удовлетворяющей условию Брэгга между длиной волны света

и частотой ультразвука
f. Это явление используют для определения фотоупругих характеристик материала по интенсивности дифрагированного (отклоненного) светового потока
Id и вычисляют по формуле
Id ~ IiMWacL2, (В.3)
где Ii - интенсивность падающего потока света;
Wac - мощность акустической волны;
L - длина пути световых лучей в пределах акустического пучка;
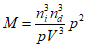
M - коэффициент акустооптического качества материала, рассчитываемый по формуле

(В.4)
и выражаемый через эффективное значение фотоупругого модуля
peff и другие характеристики материала: плотность

и показатели преломления кристалла
n, а также скорости звука
V. В общем случае эффективное значение
peff выражается через линейную комбинацию элементов тензора
[14],
[15].
Данный подход известен в акустооптике как метод Диксона. Одной из принципиальных проблем этого метода является то, что коэффициент акустооптического (АО) качества
M выражается квадратично через значение фотоупругого модуля
peff, поэтому из значения
M нельзя напрямую найти знак соответствующего фотоупругого модуля. В некоторых простых геометриях значение имеет только абсолютная величина фотоупругого коэффициента, но в общем случае знак величины важен, поскольку эффективное значение фотоупругого модуля
peff определяется как алгебраическая сумма нескольких коэффициентов

.
Знак коэффициентов важен также при пересчете матрицы к другой системе координат. Матрица определяемых фотоупругих коэффициентов

относится к кристаллофизической системе координат
X,
Y,
Z. Описываемый метод определения фотоупругих характеристик относится к упругооптическим модулям верхней половины матрицы, описывающим так называемую изотропную дифракцию, при которой поляризация света сохраняется. Этому соответствуют коэффициенты

с первым индексом, равным 1

, 2

или 3

. Метод предполагает проведение основных измерений показателей АО качества
M в системе координат, связанной с диэлектрическими осями. При этом используют продольные и сдвиговые акустические моды.
Метод Диксона для определения показателя АО качества
M предполагает вычисление коэффициента дифракции света по результатам сравнительных измерений, выполняемых в одинаковых условиях в исследуемом и известном материалах (рисунок В.1). В качестве известного (референтного) материала целесообразно взять всесторонне исследованный материал, например плавленый кварц
[14]. Выбор изотропного материала позволяет упростить измерительные процедуры за счет отсутствия сноса акустического пучка в материале. Возбуждение акустической волны в образце осуществляется посредством плотного контакта его с кристаллом-буфером, изготовленным из референтного материала и имеющим прикрепленный акустический излучатель. Для возбуждения разных мод ультразвука можно использовать два буфера, или один с двумя пьезопреобразователями (например, на основе LiNbO
3) - для возбуждения продольной и поперечной акустической волны.
I1 - исходный импульс; I2 - отраженный в буфере
импульс; I3 - вернувшийся из кристалла импульс;
I4 - прошедший в кристалл импульс; I5 - отраженный
от торца кристалла импульс
Рисунок В.1 - Принцип измерений АО качества
кристаллов по методу Диксона
Обычно используется генератор высокочастотных сигналов, синхронизированный с фотодетектором (см. рисунок В.2), для питания пьезопреобразователя. Для изотропной дифракции частоты ультразвука обычно лежат в пределах 25 - 100 МГц, в зависимости от частоты согласования АО буфера. Для наблюдения анизотропной дифракции, в зависимости от геометрии взаимодействия, необходимые частоты лежат выше 150 МГц.

- ВЧ-сигнал;

- НЧ-сигнал;

- оптическое излучение с длиной волны 632,8 нм
Рисунок В.2 - Пример блок-схемы измерительной установки
Исследуемый образец прикрепляется к буферу с помощью клеевого материала, пропускающего используемые в измерениях ультразвуковые волны, например жидкой эпоксидной смолы для продольной моды или цианоакрилатного клея для сдвиговых волн. В качестве источника света в эксперименте следует использовать монохроматический коллимированный источник, например He-Ne-лазер. Акустические волны в буфере должны возбуждаться на частотах, соответствующих дифракции света на них при выбранном угле падения.
Измерения заключаются в регистрации эффекта дифракции светового пучка на акустическом импульсе, возбуждаемом пьезопреобразователем и распространяющемся последовательно в буфере и кристалле. В соответствии с формулой амплитуда сигнала, регистрируемого фотоприемником в +1 или в -1 порядках дифракции, прямо пропорциональна мощности соответствующего ультразвукового импульса и коэффициенту АО качества
M данного кристалла, а зависимость от длины взаимодействия сокращается, т.к. ширина пучка одинакова в буфере и кристалле <1>. Экспериментальная схема
(рисунок В.2) позволяет пренебречь зависимостью от интенсивности падающего светового пучка, поскольку и буфер, и кристалл освещаются последовательно одним и тем же источником. Различие оптических коэффициентов пропускания для буфера и кристалла в измерительной формуле устранено путем нормировки на интенсивность лазерного излучения, прошедшего через буфер
Iref, и излучения, прошедшего через кристалл
Icr в отсутствие акустических импульсов, что справедливо при небольших углах дифракции света.
--------------------------------
<1> При размере излучателя ~ 0,5 см и размерах кристаллов до 5 см дифракционная расходимость ультразвука пренебрежимо мала. Следует избегать измерений в направлениях аномально высокой фононной расходимости (дефокусировки), если они есть в кристалле. Также следует юстировать систему таким образом, чтобы акустический пучок не попадал на стенки образца и буфера.
Акустические потери при распространении звука в кристалле и его прохождении через склейку, а также потери при отражении звуковой волны от свободной грани сокращаются при использовании следующей безразмерной комбинации амплитуд сигналов
[17], рассчитывают по формуле

, (В.5)
где
Mref - коэффициент акустооптического качества референтного кристалла (буфера), который, например, для плавленого кварца составляет
Mref = 1,56·10
-15 с
3/кг (при дифракции на продольной волне). Нумерация импульсов приведена на
рисунке В.1.
Предпочтительнее использовать лазер с круговой поляризацией света, что позволит иметь одинаковую интенсивность падающего на образец света при любой ориентации поляризатора.
Перед проведением измерений следует проводить юстировку кристалла. Сначала исследуемый образец следует установить так, чтобы падение света на его грань было нормальным. Затем, перемещая оптический столик с закрепленным образцом вертикально и горизонтально относительно направления распространения света (вверх-вниз и вправо-влево), необходимо выбрать положение кристалла, при котором интенсивность дифрагированного света наиболее высока. Далее наклоном образца относительно горизонтальной оси определяется угол максимальной интенсивности дифракции, т.е. угол Брэгга.
Выбор направления поляризации падающего света по одной из диэлектрических осей (Nm, Np, Ng) осуществляется с помощью входного поляризатора. При необходимости <1> контролировать поляризацию выходящего из образца изучения можно с помощью анализатора, установленного параллельно поляризатору (при наблюдении изотропной дифракции).
--------------------------------
<1> Например, для оценки возможного влияния оптической активности.
Длительность акустических импульсов должна быть по меньшей мере в два раза меньше, чем время пробега ультразвука по кристаллу, а период следования серии ультразвуковых импульсов должен быть много больше, чем период полного прохода ультразвука по системе буфер - кристалл.
| Мазур М.М., Пожар В.Э., Великовский Д.Ю. Методика ГСССД МЭ 214 - 2013, с. 22 |
| Мазур М.М., Пожар В.Э., Великовский Д.Ю. Методика ГСССД МЭ 225 - 2014, с. 28 |
| Сиротин Ю.И., Шаскольская М.П. Основы кристаллофизики. М.: Наука, 1979 |
| Гребнер Ю., Ривер С., Петров В., Зорн М., Эрберт Г., Вейерс М., Мэтьюс К., Аджило М., Моссонс Д., Диас Ф.//Экспресс-оптика. 13, с. 3465 - 3470, 2005 |
| Мазур М.М., Великовский Д.Ю., Мазур Л.И., Павлюк А.А., Пожар В.Э., Пустовой В.И. Эластичные и фотоупругие характеристики лазерных кристаллов. Калий-редкоземельные вольфраматы KRE(WO4)2, где RE = Y, Yb, Gd и Lu//Ультраакустика, 2014, т. 54, N 5, с. 1311 - 1317. http://dx.doi.org/10.1016/j.ultras.2014.01.009 |
| Мазур М.М., Мазур Л.И., Пожар В.Э. Конкретные направления распространения ультразвука в двойных вольфратах калия для модуляции света//Ультраакустика, 2017, т. 73, с. 231 - 235. http://dx.doi.org/10.1016/j.ultras.2016.08.008 |
| Каминский А., Константинова А.Ф., Орешкова В.П., Буташин А.В., Клевцова Р.Ф., Павлюк А.А. Оптические и нелинейные лазерные свойства  моноклинной  //Отчеты по кристаллографии, т. 46, вып. 4, с. 665 - 672, 2001 |
| Лойко П.А., Юмашев К.В., Кулешов Н.В., Рачковская Г.Е., Павлюк А.А. Детальная характеристика тензора теплового расширения в моноклинном KRe(WO4)2 (где Re = Gd, Y, Lu, Yb)//Оптические материалы, т. 34, вып. 1, с. 23 - 26, 2011. http://dx.doi.org/10.1016/j.optmat.2011.07.007 |
| Пужол М.Ц., Рико М., Залдо Ц., Соле Р., Николов В., Соланс К., Аджило А., Диаз Ф. Кристаллическая структура и оптическая спектроскопия Er3+-легированных KGd(WO4)2 одиночных кристаллов//Прикладная физика Б, 1999, т. 68, вып. 2, с. 187 - 197 |
| Каминский А.А., Грубер Д.Б., Багев С.Н., Уеда К., Хоммерик У., Сео Д.Т., Темпл Д., Занди Б., Корниенко А.А., Дунина Е.Б., Павлюк А.А., Клевцова Р.М., Кузнецов Ф.А. Оптическая спектроскопия и видимое стимулированное излучение Dy 3+ ионов в моноклинных  и  кристаллах//Физический обзор Б, 2002, т. 65, с. 125108:1-29 |
| Хонгянг Зао, Джуянг Ванг, Джинг Ли, Янксю Занг, Хьюджин Занг, Минхуа Янг Растущие оптические и термические свойства Yb, Tm:KLu(WO4)2//Журнал роста кристаллов, 2006, т. 293, вып. 1, с. 223 - 227. http://dx.doi.org/10.1016/j.jcrysgro.2006.05.010 |
| Макскимин Х.Д. Методы ультразвукового измерения, применимые к малым твердым образцам//Журнал Акустического общества Америки, 1950, т. 22, с. 413 |
| Каспоровиц Д., Миелкарек С., Царсковска А., Мажировски А., Михальски Е., Дроздовски М. Упругие свойства KGd(WO4)2:Ho3+ монокристаллы, исследованные методом Бриллюэна//Кристаллические исследования и технологии. 2007, т. 42, вып. 12, с. 1370 - 1375 |
| Каспровик Д., Брик М.Г., Мажчровский А., Михальский Е., Глуховский П.//Журнал сплавов и соединений. 2013, т. 577, с. 687 - 692 |
| Най Дж. Физические свойства кристаллов. М.: Мир, 1967 |
[16] | Диксон Р.В., Кохен М.Г.//Письма прикладной физики. 1966, т. 8, N 8, с. 205 - 206 |
| Дьелесан Э., Руайе Д. Упругие волны в твердых телах/Пер. с фр. М.: Наука, 1982 |