Главная // Актуальные документы // ГОСТ Р (Государственный стандарт)СПРАВКА
Источник публикации
М.: Стандартинформ, 2020
Примечание к документу
Документ
введен в действие с 01.03.2021.
Название документа
"ГОСТ Р МЭК 62813-2020. Национальный стандарт Российской Федерации. Конденсаторы литий-ионные для электрического и электронного оборудования. Методы испытаний электрических характеристик"
(утв. и введен в действие Приказом Росстандарта от 04.08.2020 N 451-ст)
"ГОСТ Р МЭК 62813-2020. Национальный стандарт Российской Федерации. Конденсаторы литий-ионные для электрического и электронного оборудования. Методы испытаний электрических характеристик"
(утв. и введен в действие Приказом Росстандарта от 04.08.2020 N 451-ст)
Утвержден и введен в действие
Приказом Федерального агентства
по техническому регулированию
и метрологии
от 4 августа 2020 г. N 451-ст
НАЦИОНАЛЬНЫЙ СТАНДАРТ РОССИЙСКОЙ ФЕДЕРАЦИИ
КОНДЕНСАТОРЫ ЛИТИЙ-ИОННЫЕ ДЛЯ ЭЛЕКТРИЧЕСКОГО
И ЭЛЕКТРОННОГО ОБОРУДОВАНИЯ
МЕТОДЫ ИСПЫТАНИЙ ЭЛЕКТРИЧЕСКИХ ХАРАКТЕРИСТИК
Lithium ion capacitors for use in electric and electronic
equipment. Test methods for electrical characteristics
(IEC 62813:2015, IDT)
ГОСТ Р МЭК 62813-2020
ОКПД2 27.90.53.130
Дата введения
1 марта 2021 года
1 ПОДГОТОВЛЕН Национальной ассоциацией производителей источников тока "РУСБАТ" (Ассоциация "РУСБАТ") на основе собственного перевода на русский язык англоязычной версии стандарта, указанного в
пункте 4, и Федеральным государственным унитарным предприятием "Российский научно-технический центр информации по стандартизации, метрологии и оценке соответствия" (ФГУП "СТАНДАРТИНФОРМ")
2 ВНЕСЕН Техническим комитетом по стандартизации ТК 044 "Аккумуляторы и батареи"
3 УТВЕРЖДЕН И ВВЕДЕН В ДЕЙСТВИЕ Приказом Федерального агентства по техническому регулированию и метрологии от 4 августа 2020 г. N 451-ст
4 Настоящий стандарт идентичен международному стандарту МЭК 62813:2015 "Конденсаторы литий-ионные для электрического и электронного оборудования. Методы испытаний электрических характеристик" (IEC 62813:2015 "Lithium ion capacitors for use in electric and electronic equipment - Test methods for electrical characteristics", IDT).
При применении настоящего стандарта рекомендуется использовать вместо ссылочных международных стандартов соответствующие им национальные стандарты, сведения о которых приведены в дополнительном
приложении ДА
5 ВВЕДЕН ВПЕРВЫЕ
Правила применения настоящего стандарта установлены в статье 26 Федерального закона от 29 июня 2015 г. N 162-ФЗ "О стандартизации в Российской Федерации". Информация об изменениях к настоящему стандарту публикуется в ежегодном (по состоянию на 1 января текущего года) информационном указателе "Национальные стандарты", а официальный текст изменений и поправок - в ежемесячном информационном указателе "Национальные стандарты". В случае пересмотра (замены) или отмены настоящего стандарта соответствующее уведомление будет опубликовано в ближайшем выпуске ежемесячного информационного указателя "Национальные стандарты". Соответствующая информация, уведомление и тексты размещаются также в информационной системе общего пользования - на официальном сайте Федерального агентства по техническому регулированию и метрологии в сети Интернет (www.gost.ru)
Настоящий стандарт распространяется на литий-ионные конденсаторы (ЛИК), применяемые в электрическом и электронном оборудовании, и устанавливает методы их испытаний по определению электрических характеристик.
В настоящем стандарте использована нормативная ссылка на следующий стандарт. Для датированных ссылок применяют только указанное издание ссылочного стандарта, для недатированных - последнее издание (включая все изменения).
IEC 60068-1:2013, Environmental testing - Part 1: General and guidance (Испытание на воздействие внешних факторов. Часть 1. Общие положения и руководство)
В настоящем стандарте применены следующие термины с соответствующими определениями.
Примечание - В отдельных определениях к терминам приведены выделенные курсивным шрифтом термины со ссылками на пункты настоящего раздела (например
3.2).
3.1
верхняя температура категории (upper category temperature): Самая высокая температура окружающей среды, на которую рассчитан ЛИК для непрерывной работы.
[МЭК 62576:2009, статья 3.3, модифицированный]
3.2
нормированное напряжение UR (rated voltage
UR): Максимальное постоянное напряжение, В, которое может быть подано на ЛИК непрерывно в течение установленного времени при
верхней температуре категории (3.1) и при котором ЛИК могут быть обеспечены установленные характеристики.
Примечание 1 - Это напряжение является уставкой напряжения в конструкции ЛИК.
Примечание 2 - Испытание на стойкость при подключенном нормированном напряжении приведено в
приложении A.
[МЭК 62576:2009, статья 3.6, модифицированный]
3.3
нормированное нижнее предельное напряжение UL (rated lower limit voltage
UL): Минимальное напряжение, при котором ЛИК могут быть обеспечены установленные характеристики.
Примечание - Нормированное нижнее предельное напряжение устанавливает изготовитель.
3.4 ток заряда (charging current): Ток, необходимый для заряда ЛИК.
3.5 ток разряда (discharging current): Ток, необходимый для разряда ЛИК.
3.6
накопленная электрическая энергия (доступная для разряда) (discharge accumulated electrical energy): Количество энергии, отдаваемое ЛИК при разряде, от
времени начала разряда (3.7) и до
времени достижения нормированного нижнего предельного напряжения (3.10).
3.7
время начала разряда T0 (discharge start time
T0): Время начала разряда ЛИК.
Примечание - Это базовое
время начала расчета (3.8) и
время достижения нормированного нижнего предельного напряжения (3.10).
3.8
время начала расчета T1 (calculation start time
T1): Время в выбранной начальной точке, используемой для расчета
емкости (3.12) и
внутреннего сопротивления (3.14) при разряде ЛИК.
Примечание - Время начала разряда для расчета выражают как прошедшее с момента
времени начала разряда (3.7).
3.9
время окончания расчета T2 (calculation end time
T2): Время в выбранной конечной точке, используемое для расчета
емкости (3.12) и
внутреннего сопротивления (3.14) при разряде ЛИК.
Примечание - Время окончания расчета выражают как прошедшее с момента
времени начала разряда (3.7).
3.10
время достижения нормированного нижнего предельного напряжения TL (time to reach rated lower limit voltage
TL): Время, когда напряжение достигает
нормированного нижнего предельного напряжения (3.3) во время разряда ЛИК.
Примечание - Время достижения нормированного нижнего предельного напряжения выражают как прошедшее с момента
времени начала разряда (3.7).
3.11
мгновенное падение напряжения при разряде U0 (instant drop voltage at discharge
U0): Напряжение в момент
времени начала разряда (3.7) на линейной регрессии по методу наименьших квадратов за период от момента
времени начала расчета (3.8) до момента
времени окончания расчета (3.9) для характеристики падения напряжения ЛИК во время разряда.
3.12
емкость (capacitance): Электрический заряд, накопленный ЛИК.
[МЭК 62576:2009, статья 3.14, модифицированный]
3.13 номинальная емкость CN (nominal capacitance CN): Значение емкости, установленное изготовителем, как правило, указываемое на ЛИК.
[МЭК 62576:2009, статья 3.15, модифицированный]
3.14
внутреннее сопротивление (internal resistance): Составляющая сопротивления, выраженная в эквивалентной последовательной цепи емкости и сопротивления ЛИК.
[МЭК 62391-1:2006, статья 2.2.20, модифицированный]
3.15 номинальное внутреннее сопротивление RN (nominal internal resistance RN): Значение внутреннего сопротивления, установленное изготовителем, как правило, указываемое на ЛИК.
[МЭК 62576:2009, статья 3.17, модифицированный]
3.16 заряд при постоянном напряжении (constant voltage charging): Способ заряда ЛИК при установленном постоянном напряжении.
[МЭК 62576:2009, статья 3.18, модифицированный]
3.17 заряд постоянным током (constant current charging): Способ заряда ЛИК установленным постоянным током.
3.18 разряд постоянным током (constant current discharging): Способ разряда ЛИК установленным постоянным током.
3.19 предварительное кондиционирование (preconditioning): Заряд, разряд и выдержка ЛИК при установленных условиях окружающей среды (температура, влажность и давление) перед испытанием.
Примечание - Как правило, под предварительным кондиционированием подразумевают, что ЛИК выдерживают до тех пор, пока его внутренняя температура не достигнет теплового равновесия с температурой окружающей среды прежде чем будут измерены его электрические характеристики.
[МЭК 62576:2009, статья 3.19, модифицированный]
3.20 степень поддержания напряжения A (voltage maintenance rate A): Отношение значения напряжения на незамкнутых выводах к значению напряжения заряда через определенный промежуток времени после заряда ЛИК.
[МЭК 62576:2009, статья 3.26, модифицированный]
4.1 Требования к испытаниям
4.1.1 Стандартные условия окружающей среды для испытаний
Если не указаны другие требования, то испытания проводят при стандартных условиях окружающей среды, установленных в МЭК 60068-1:2013 (пункт 4.3) и настоящем пункте:
- температура: от 15 °C до 35 °C;
- относительная влажность: от 25% до 75%;
- давление воздуха: от 86 до 106 кПа.
При возникновении сомнения в части целесообразности определения характеристик ЛИК в условиях окружающей среды или, если это необходимо, применяют
4.1.2.
Если возникают трудности в определении характеристик ЛИК в стандартных условиях окружающей среды и, если нет сомнений в части определения их значений, испытания и измерения допускается проводить в условиях, отличных от стандартных условий окружающей среды.
4.1.2 Стандартные условия окружающей среды для измерений
Если не указаны другие требования, то измерения проводят в стандартных условиях окружающей среды в соответствии с МЭК 60068-1:2013 (пункт 4.2) и настоящим пунктом:
- температура: (25 +/- 2) °C;
- относительная влажность: от 45% до 55%;
- давление воздуха: от 86 до 106 кПа.
4.1.3 Предварительное кондиционирование
Если не указаны другие требования, то ЛИК в течение 30 мин заряжают от источника постоянного тока и постоянного напряжения, при напряжении, равном значению нормированного напряжения, затем ЛИК разряжают до нижнего предельного значения напряжения с использованием соответствующего разрядного устройства.
4.2.1 Емкость, накопленная электрическая энергия и внутреннее сопротивление
4.2.1.1 Испытательное оборудование
Испытательное оборудование должно быть обеспечено возможностью заряжать ЛИК постоянным током и при постоянном напряжении, разряжать постоянным током, значение которого установлено в
4.2.1.2, а также проводить измерения тока и напряжения с заданным интервалом выборки данных.
На
рисунке 1 приведена принципиальная схема, которую используют при измерении.
ICC - постоянный ток; UCV - постоянное напряжение;

- амперметр постоянного тока;

- регистратор
постоянного напряжения; S - переключатель режимов работы;
Cx - испытуемый ЛИК;

- источник постоянного тока;

- источник постоянного напряжения;

- нагрузка постоянного тока
Рисунок 1 - Принципиальная схема для измерения
емкости, разряда накопленной электрической энергии
и внутреннего сопротивления
a) Источник питания постоянного тока
Источник питания должен быть обеспечен возможностью заряжать ЛИК задаваемым постоянным током при задаваемом постоянном напряжении в течение установленного времени.
b) Нагрузка постоянного тока
Нагрузка постоянного тока должна быть обеспечена возможностью разряжать ЛИК задаваемым постоянным током. Время нарастания тока при включении на разряд должно быть не более 50 мс.
c) Регистратор постоянного напряжения
Регистратор напряжения постоянного тока должен быть обеспечен возможностью измерения и записи с разрешением 1 мВ и интервалом выборки данных 100 мс.
d) Переключатель режимов работы
Переключатель режимов работы не должен вызывать вибрацию, которая может повлиять на результат записи по времени и напряжению.
4.2.1.2 Процедура и условия измерения
Процедура и условия измерения должны быть следующими. Профиль напряжения на выводах ЛИК при измерении должен соответствовать указанному на
рисунке 2.
T0 - время начала разряда; T1 - время начала расчета, равное
CNRN, с; T2 - время окончания расчета, равное 2 CNRN, с;
TL - время достижения нормированного нижнего предельного
напряжения (напряжений), с; TCV - продолжительность заряда
при постоянном напряжении, с; UR - нормированное напряжение,
В; UL - нормированное нижнее предельное напряжение, В;
U0 - мгновенное падение напряжения при разряде, В
Рисунок 2 - Профиль напряжения для измерения
емкости, накопленной электрической энергии
и внутреннего сопротивления
a) Предварительное кондиционирование
ЛИК выдерживают в течение 2 - 6 ч в стандартных условиях окружающей среды в соответствии с
4.1.1;
b) Установка образцов
Выводы ЛИК подключают к цепи;
c) Заряд постоянным током
ЛИК заряжают до нормированного напряжения
UR источником питания постоянного тока согласно
4.2.1.1 с установленным током
I, рассчитанным по формуле

, (1)
где I - ток заряда, А. Его также используют для определения тока разряда;
RN - номинальное внутреннее сопротивление испытуемого ЛИК, Ом;
CN - номинальная емкость испытуемого ЛИК, Ф.
Примечание - Ток, рассчитанный по
формуле (1), принимают как ток, которым ограничивается результирующая погрешность определения внутреннего сопротивления в пределах +/- 3% (см.
приложение B). Когда нормированное значение внутреннего сопротивления является неопределенным, ток измерения может быть установлен в соответствии с рекомендуемыми
процедурами, приведенными в приложении C;
d) Заряд при постоянном напряжении
Когда напряжение на выводах ЛИК достигнет нормированного напряжения UR, зарядное устройство переключают на режим заряда при постоянном напряжении и заряжают ЛИК в течение 30 мин при нормированном напряжении UR;
e) Разряд постоянным током
Переключатель источника питания переводят на постоянный ток нагрузки и разряжают ЛИК установленным постоянным током следующим образом:
1) для определения внутреннего сопротивления устанавливают ток разряда
I равным значению, рассчитанному по
формуле (1);
2) для измерения накопленной электрической энергии и емкости разряда устанавливают ток разряда равным одной десятой части
I, рассчитанного по
формуле (1);
f) Испытание, измерение и запись
Измеряют и записывают зависимость напряжения от времени на выводах ЛИК:
1) интервал выборки данных и записи устанавливают на время, равное 100 мс;
2) выборку данных и их запись проводят непрерывно с момента времени начала заряда до момента достижения нормированного нижнего предельного напряжения UL.
4.2.2 Измерение степени поддержания напряжения
4.2.2.1 Испытательное оборудование
Принципиальная схема измерения степени поддержания напряжения приведена на
рисунке 3. Вольтметры постоянного тока
V1 и
V2 для измерения напряжения должны иметь разрешение не более 5 мВ. Входное сопротивление должно быть достаточно высоким, чтобы погрешности измерений были незначительны.

- вольтметр постоянного тока
Рисунок 3 - Принципиальная схема измерения
степени поддержания напряжения
4.2.2.2 Процедура и условия измерения
Процедура и условия измерения должны быть следующими. Профиль напряжения на выводах ЛИК при измерении должен соответствовать приведенному на
рисунке 4.
TOC - продолжительность измерения, равная 72 ч;
Uend - напряжение на выводах ЛИК в течение TOC, В
Рисунок 4 - Профиль напряжения для измерения
степени поддержания напряжения
a) Перед установкой образца
ЛИК выдерживают в течение 2 - 6 ч в стандартных условиях окружающей среды в соответствии с
4.1.1;
b) Установка образцов
Выводы ЛИК подключают к цепи;
c) Заряд постоянным током
ЛИК заряжают постоянным током
I, рассчитанным по
формуле (1), до нормированного напряжения
UR источником питания по
4.2.1.1;
d) Заряд при постоянном напряжении
Когда напряжение на выводах ЛИК достигнет нормированного напряжения UR, заряд переключают на режим заряда при постоянном напряжении и в течение 24 ч поддерживают нормированное напряжение UR;
e) Разрыв цепи
Выводы ЛИК отсоединяют от цепи;
f) Измерение
Измеряют напряжение на выводах ЛИК, когда
TOC составляет 72 ч (см.
рисунок 4).
4.3.1 Расчет емкости и накопленной электрической энергии
Емкость и накопленную электрическую энергию рассчитывают с использованием метода преобразования энергии, приведенного в
перечислении a). По согласованию между изготовителем и потребителем допускается использовать упрощенный метод, приведенный в
перечислении b).
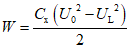
a) Расчет емкости и накопленной электрической энергии методом преобразования энергии

, (2)

, (3)
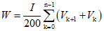
где Cx - емкость ЛИК, Ф;
W - накопленная электрическая энергия, являющаяся интегралом по времени от электрической мощности во всех точках снятых значений от точки в начале разряда (k = 0) до точки в конце разряда (k = n);
Vk - измеренное напряжение в точке измерения k, В.
Накопленную электрическую энергию, Вт·ч, рассчитывают путем деления W на значение 3600;
b) Расчет емкости и накопленной электрической энергии упрощенным методом

, (4)

. (5)
Накопленную электрическую энергию, Вт·ч, рассчитывают делением W на значение 3600.
4.3.2 Расчет внутреннего сопротивления

, (6)
где Rx - внутреннее сопротивление ЛИК, Ом.
4.3.3 Расчет степени поддержания напряжения

, (7)
где A - степень поддержания напряжения ЛИК, %.
(справочное)
ИСПЫТАНИЕ НА СТОЙКОСТЬ ПРИ ПРИЛОЖЕННОМ
НОРМИРОВАННОМ НАПРЯЖЕНИИ ПРИ ВЫСОКОЙ ТЕМПЕРАТУРЕ
A.1 Общие положения
В настоящем приложении приведено испытание на стойкость при приложенном нормированном напряжении при высокой температуре в целях определения номинального напряжения в условиях по
3.2.
A.2 Процедура испытания
A.2.1 Условия испытания
Если иное не указано в соответствующих стандартах, условия испытаний должны быть следующими:
- температура испытания: верхняя температура категории;
- приложенное напряжение: нормированное напряжение;
- продолжительность испытания: 1000 ч.
A.2.2 Процедура испытания
Процедура испытаний должна быть следующей.
Проводят измерения по процедуре приведенной в
4.2.1, и рассчитывают емкость и внутреннее сопротивление по методу расчета, приведенного в
4.3.1 и
4.3.2.
b) Испытание
ЛИК помещают в камеру с верхней температурой категории, заряжают его до нормированного напряжения током, рассчитанным по
формуле (1), затем это напряжение поддерживают в течение установленного времени.
c) Измерение в конце испытания
Проводят измерения и рассчитывают емкость и внутреннее сопротивление согласно
перечислению a). Степень изменения может быть получена сравнением их с первоначально измеренными значениями.
A.2.3 Требования
Если иное не предусмотрено договором поставки между изготовителем и потребителем, рекомендуется, чтобы степень изменения емкости

и степень изменения внутреннего сопротивления

соответствовали следующим значениям:

, (A.1)
где Ci - начальная емкость перед испытанием, Ф;
Cf - емкость после испытания, Ф.

, (A.2)
где Ri - начальное внутреннее сопротивление перед испытанием, Ом;
Rf - внутреннее сопротивление после испытания, Ом.
(справочное)
РАСЧЕТ ТОКОВ ИЗМЕРЕНИЯ НА ОСНОВЕ РАСПРОСТРАНЯЮЩЕЙСЯ ОШИБКИ
B.1 Общие положения
B.2 Распространяющаяся ошибка измерений и токи измерения
Внутреннее сопротивление R вычисляют по формуле

. (B.1)
Из формулы распространяющейся ошибки относительную ошибку

внутреннего сопротивления
R вычисляют по формуле

. (B.2)

достаточно мал, и им можно пренебречь. Предполагая измеренное напряжение, соответствующее переменной
ti в каждой точке проведения измерения, случайной величиной,
U0 можно выразить из формулы распространяющейся ошибки по методу наименьших квадратов по формуле

, (B.3)
где
N - число точек измерения. Ошибки измерения напряжения в каждой точке измерения принимают равными

.

также предполагают равной

.
Если

- интервал между измерениями, применяют формулу

. (B.4)

. (B.5)

, (B.6)

. (B.7)
(справочное)
ПРОЦЕДУРЫ ОПРЕДЕЛЕНИЯ ТОКА ИЗМЕРЕНИЯ ЛИК
С НЕОПРЕДЕЛЕННЫМ НОМИНАЛЬНЫМ ВНУТРЕННИМ СОПРОТИВЛЕНИЕМ
C.1 Общие положения
В настоящем приложении приведены процедуры определения тока, используемого в
приложении B, для ЛИК при неопределенном номинальном внутреннем сопротивлении.
C.2 Процедуры определения тока измерения характеристик ЛИК
Если номинальное значение внутреннего сопротивления ЛИК является неопределенным, ток измерения ЛИК можно установить в соответствии со следующими процедурами (см.
рисунок C.1):
a) используя предполагаемое значение внутреннего сопротивления (
Rest), проводят измерения в соответствии с
4.2.1 и затем рассчитывают внутреннее сопротивление по методу расчета, приведенному в
4.3.2;
c) повторяют процедуры, приведенные в
перечислении b), до тех пор, пока разница между
Rest и
Rres не станет менее 10%
Rest.
Рисунок C.1 - Блок-схема процедур настройки тока
Однако, если мгновенное падение напряжения при разряде
U0 становится менее или равно нормированному нижнему предельному напряжению
UL, следует повторить процедуры от выполненных по
перечислению a) до выполненных по
перечислению c) с меньшим током. Если
Rres приобретает отрицательное значение, следует, увеличив ток, еще раз выполнить процедуры от выполненных по
перечислению a) до выполненных по
перечислению c).
(справочное)
СВЕДЕНИЯ О СООТВЕТСТВИИ ССЫЛОЧНЫХ МЕЖДУНАРОДНЫХ СТАНДАРТОВ
НАЦИОНАЛЬНЫМ СТАНДАРТАМ
Таблица ДА.1
Обозначение ссылочного международного стандарта | Степень соответствия | Обозначение и наименование соответствующего национального стандарта |
IEC 60068-1:2013 | - | |
<*> Соответствующий национальный стандарт отсутствует. До его принятия рекомендуется использовать перевод на русский язык данного международного стандарта. |
--------------------------------
<1> Действует
ГОСТ 28198-89 (МЭК 68-1-88) "Основные методы испытаний на воздействие внешних факторов. Часть 1. Общие положения и руководство", модифицированный по отношению к IEC 60068-1:1988.
IEC 62391-1:2006, Fixed electric double-layer capacitors for use in electronic equipment - Part 1: Generic specification (Конденсаторы электрические двойнослойные стационарные для использования в электронном оборудовании. Часть 1. Общая спецификация)
IEC 62576:2009, Electric double-layer capacitors for use in hybrid electric vehicles - Test methods for electrical characteristics (Конденсаторы электрические двойнослойные для использования в гибридных электромобилях. Методы испытаний электрических характеристик)
УДК 621.355.9 621.319.45:006.354 | | ОКПД2 27.90.53.130 |
Ключевые слова: аккумуляторы, конденсаторы литий-ионные, электрическое и электронное оборудование, методы испытаний |