Главная // Актуальные документы // ГОСТ Р (Государственный стандарт)СПРАВКА
Источник публикации
М.: Стандартинформ, 2020
Примечание к документу
Документ
введен в действие с 01.02.2021.
Название документа
"ГОСТ Р 8.991-2020. Национальный стандарт Российской Федерации. Государственная система обеспечения единства измерений. Стандартные справочные данные. Этанол жидкий и газообразный. Термодинамические свойства, коэффициенты динамической вязкости и теплопроводности при температурах от 160 К до 650 К и давлениях до 100 МПа"
(утв. и введен в действие Приказом Росстандарта от 29.04.2020 N 184-ст)
"ГОСТ Р 8.991-2020. Национальный стандарт Российской Федерации. Государственная система обеспечения единства измерений. Стандартные справочные данные. Этанол жидкий и газообразный. Термодинамические свойства, коэффициенты динамической вязкости и теплопроводности при температурах от 160 К до 650 К и давлениях до 100 МПа"
(утв. и введен в действие Приказом Росстандарта от 29.04.2020 N 184-ст)
Утвержден и введен в действие
по техническому регулированию
и метрологии
от 29 апреля 2020 г. N 184-ст
НАЦИОНАЛЬНЫЙ СТАНДАРТ РОССИЙСКОЙ ФЕДЕРАЦИИ
ГОСУДАРСТВЕННАЯ СИСТЕМА ОБЕСПЕЧЕНИЯ ЕДИНСТВА ИЗМЕРЕНИЙ
СТАНДАРТНЫЕ СПРАВОЧНЫЕ ДАННЫЕ. ЭТАНОЛ ЖИДКИЙ И ГАЗООБРАЗНЫЙ
ТЕРМОДИНАМИЧЕСКИЕ СВОЙСТВА, КОЭФФИЦИЕНТЫ ДИНАМИЧЕСКОЙ
ВЯЗКОСТИ И ТЕПЛОПРОВОДНОСТИ ПРИ ТЕМПЕРАТУРАХ ОТ 160 К
ДО 650 К И ДАВЛЕНИЯХ ДО 100 МПа
State system for ensuring the uniformity of measurements.
Standard reference data. Liquid and gaseous ethanol.
Thermodynamic properties, dynamic viscosity and thermal
conductivity at temperatures from 160 K to 650 K
and pressures up to 100 MPa
ГОСТ Р 8.991-2020
Дата введения
1 февраля 2021 года
1 РАЗРАБОТАН Главным научным метрологическим центром "Стандартные справочные данные о физических константах и свойствах веществ и материалов" (ГНМЦ "ССД")
2 ВНЕСЕН Техническим комитетом по стандартизации ТК 180 "Стандартные справочные данные о физических константах и свойствах веществ и материалов"
3 УТВЕРЖДЕН И ВВЕДЕН В ДЕЙСТВИЕ
Приказом Федерального агентства по техническому регулированию и метрологии от 29 апреля 2020 г. N 184-ст
4 ВВЕДЕН ВПЕРВЫЕ
Правила применения настоящего стандарта установлены в статье 26 Федерального закона от 29 июня 2015 г. N 162-ФЗ "О стандартизации в Российской Федерации". Информация об изменениях к настоящему стандарту публикуется в ежегодном (по состоянию на 1 января текущего года) информационном указателе "Национальные стандарты", а официальный текст изменений и поправок - в ежемесячном информационном указателе "Национальные стандарты". В случае пересмотра (замены) или отмены настоящего стандарта соответствующее уведомление будет опубликовано в ближайшем выпуске ежемесячного информационного указателя "Национальные стандарты". Соответствующая информация, уведомление и тексты размещаются также в информационной системе общего пользования - на официальном сайте Федерального агентства по техническому регулированию и метрологии в сети Интернет (www.gost.ru)
Настоящий стандарт распространяется на жидкий и газообразный этанол и устанавливает методы расчетного определения значений стандартных справочных данных по плотности

, энтальпии
h, энтропии
s, изобарной теплоемкости
cp, изохорной теплоемкости
cv, скорости звука
w, коэффициента динамической вязкости

и коэффициента теплопроводности

как в однофазных областях (газ, жидкость и флюид), так и на линии фазового перехода газ - жидкость (линии насыщения), а также значений давления на линии насыщения
ps.
В настоящем стандарте использованы нормативные ссылки на следующие стандарты:
ГОСТ 8.566 Государственная система обеспечения единства измерений. Межгосударственная система данных о физических константах и свойствах веществ и материалов. Основные положения
ГОСТ Р 8.614 Государственная система обеспечения единства измерений. Государственная служба стандартных справочных данных. Основные положения
Примечание - При пользовании настоящим стандартом целесообразно проверить действие ссылочных стандартов в информационной системе общего пользования - на официальном сайте Федерального агентства по техническому регулированию и метрологии в сети Интернет или по ежегодному информационному указателю "Национальные стандарты", который опубликован по состоянию на 1 января текущего года, и по выпускам ежемесячного информационного указателя "Национальные стандарты" за текущий год. Если заменен ссылочный стандарт, на который дана недатированная ссылка, то рекомендуется использовать действующую версию этого стандарта с учетом всех внесенных в данную версию изменений. Если заменен ссылочный стандарт, на который дана датированная ссылка, то рекомендуется использовать версию этого стандарта с указанным выше годом утверждения (принятия). Если после утверждения настоящего стандарта в ссылочный стандарт, на который дана датированная ссылка, внесено изменение, затрагивающее положение, на которое дана ссылка, то это положение рекомендуется применять без учета данного изменения. Если ссылочный стандарт отменен без замены, то положение, в котором дана ссылка на него, рекомендуется применять в части, не затрагивающей эту ссылку.
Стандартные справочные значения (
ГОСТ Р 8.614,
ГОСТ 8.566)

,
h,
s,
cp,
cv,
w и
ps рассчитаны по единому для жидкой и газовой фаз фундаментальному уравнению состояния (ФУС) - зависимости свободной энергии (функции Гельмгольца)
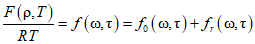
F от плотности

и температуры
T

, (1)
где f, f0 и fr - безразмерные полная свободная энергия, идеально-газовая и неидеальная составляющие свободной энергии, соответственно;

- относительная плотность,

;

- относительная температура,

.
Значения плотности

и температуры
Tкр этанола в критической точке приведены в
таблице А.1 приложения А.
Уравнение для идеально-газовой составляющей свободной энергии имеет следующий вид

. (2)
Уравнение для неидеальной составляющей свободной энергии имеет следующий вид

, (3)
где

(4)
В
формулах (3) и
(4) bj - коэффициенты уравнения состояния, значения которых вместе с показателями степеней
rj,
tj,
lj и параметрами
gj,

,

,

,

приведены в
таблице А.2 приложения А
Плотность

в однофазных областях при заданных значениях давления
p и температуры
T определяют из решения следующего уравнения

, (5)
где

;

.
Значения давления
pкр и фактора сжимаемости
zкр в критической точке, а также газовой постоянной
R этанола приведены в
таблице А.1 приложения А.
Плотности газовой

и жидкой

фаз на линии насыщения при заданной температуре
T определяют из условий фазового равновесия в результате решения следующей системы уравнений:

(6)
где

- безразмерная неидеальная составляющая изобарно-изотермического потенциала (потенциала Гиббса)

. (7)
Давление на линии насыщения
ps определяют по
формуле (5) для значения

.
Энтальпия, энтропия, изобарная и изохорная теплоемкости и скорость звука как в однофазных областях (для
T и

), так и на линии насыщения (для
T,

или
T,

) вычисляют по следующим формулам:
h = h0 + A3RT; (8)
s = s0 + RA4; (9)
cp =
cv +
R(1 +
A2)
2/(1 +
A1); (10)
w = [10
3 RTcp(1 +
A1)/
cv]
0,5, (12)
где h0, s0, cv0 - энтальпия, энтропия и изохорная теплоемкость в идеально-газовом состоянии.
Термодинамические свойства в идеально-газовом состоянии определяют по формулам, полученным из

с привлечением табличных данных (см.
[1]).

; (13)

; (14)

, (15)
где

;
Ei и
Di - функции от значения

имеют следующий вид

. (16)
Коэффициенты

в
формулах (13) -
(15) и параметры

в
формуле (16), а также значения энтальпии

и энтропии

приведены в
таблице А.3 приложения А. Значения

и

рассчитывают по результатам сравнения значений
h0 и
s0, полученных непосредственно из

, с табличными данными (см.
[1]). При этом энтальпия и энтропия идеального газа при
T = 0 К равны нулю. Для энтальпии учитывают также теплоту сублимации при
T = 0 К.
Комплексы
A0 -
A5 в
формулах (5) -
(12) определяют по следующим соотношениям, полученным из
уравнения (3) для
fr с использованием известных дифференциальных уравнений термодинамики

; (17)

; (18)

; (19)

; (20)

; (21)

, (22)
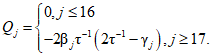
где

; (23)

; (24)

; (25)

(26)
Стандартные справочные значения коэффициента динамической вязкости этанола рассчитывают по следующему уравнению (см.
[1]):

, (27)
где

,

и

- соответственно, коэффициент динамической вязкости в состоянии разреженного газа. Второй вязкостный вириальный коэффициент и составляющая коэффициента динамической вязкости, отражающая поведение вязкости при высоких плотностях:

;

;

. Значения

и

приведены в
таблице А.1 приложения А.
Составляющие

в
(27) определяют по следующим уравнениям:

. (28)

. (29)

, (30)

. (31)
Коэффициенты {
eij}, {
cj} представлены в
таблице А.6 приложения А.
Стандартные справочные значения коэффициента теплопроводности этанола рассчитывают по следующему уравнению (см.
[1])

, (32)
где

,

и

- соответственно, коэффициент теплопроводности в состоянии разреженного газа, избыточная по отношению к

составляющая коэффициента теплопроводности и аномальная составляющая коэффициента теплопроводности в околокритической области.

; (33)

; (34)

(35)

; (36)

; (37)

; (38)

; (39)

. (40)
Значения коэффициентов

и {
b1i}, {
b2i}
уравнений (33) -
(34) приведены в
таблицах А.7 и
А.8 приложения А. Универсальные теоретически обоснованные постоянные
kB = 1,380658·10
-2;
R0 = 1,02;
v = 0,63;

. Значения подгоночных параметров для этанола

, Г,
qD,
Tref приведены в
таблице А.1 приложения А. В
формулах (35),
(38) -
(40) теплоемкости
cp,
cv и расчетный комплекс
A1 определяют по
формулам (10),
(11) и
(18), соответственно; коэффициент динамической вязкости

определяют по
формулам (28) -
(31).
Рассчитанные стандартные справочные значения термодинамических и переносных

свойств этанола на линии насыщения приведены в таблице 10, в однофазной области - в таблице 11 (см.
[1]).
Рассчитанные стандартные справочные данные контрольных значений термодинамических и переносных

свойств этанола приведены в
таблицах Б.2 (линия насыщения) и
В.1 (однофазные области).
4 Расширенные неопределенности расчетных значений стандартных справочных данных по свойствам этанола
Расширенные неопределенности с доверительной вероятностью 95% расчетных значений термодинамических свойств: плотности

; скорости звука

; изохорной

и изобарной

теплоемкостей; а также давления насыщения

определяют в соответствии с оценками, приведенными в
[1].
Расширенные неопределенности расчетных значений энтальпии

и энтропии

определяют в соответствии с теорией переноса ошибок через значение

по следующим выражениям:

, кДж/кг; (41)

, %. (42)
Расширенные неопределенности с доверительной вероятностью 95% расчетных значений коэффициента динамической вязкости

получают по результатам сравнения с экспериментальными данными. Расширенные неопределенности с доверительной вероятностью 95% расчетных значений коэффициента теплопроводности

определяют в соответствии с оценками, приведенными в
[1].
Расширенные неопределенности расчетных значений стандартных справочных данных этанола представлены в таблицах 10 и 11 (см.
[1]), где для всех теплофизических свойств, кроме энтальпии, приведены относительные величины неопределенностей

, %. Для энтальпии приведена абсолютная величина

, кДж/кг.
(обязательное)
ОСНОВНЫЕ ФИЗИЧЕСКИЕ ПАРАМЕТРЫ И КОЭФФИЦИЕНТЫ УРАВНЕНИЙ
ДЛЯ ОПРЕДЕЛЕНИЯ ЗНАЧЕНИЙ СТАНДАРТНЫХ СПРАВОЧНЫХ ДАННЫХ
ПО СВОЙСТВАМ ЭТАНОЛА
Таблица А.1
Основные физические параметры этанола
Физический параметр, размерность | Значение |
Молярная масса M, кг/кмоль | 46,06844 |
Газовая постоянная R, кДж/(кг·К) | 0,18048065 |
Параметры в тройной точке: | |
давление  , МПа | 7,185·10-10 |
температура  , К | 159,00 |
Параметры в критической точке: | |
давление pкр, МПа | 6,268 |
температура Tкр, К | 514,71 |
плотность  , кг/м 3 | 273,18585 |
фактор сжимаемости zкр | 0,246988956 |
Параметры для расчета  : | |
 , нм | 0,453 |
 , К | 362,6 |
 , кмоль/м 3 | 5,991 |
 , К | 513,9 |
Параметры для расчета  : | |
 , нм | 0,164296 |
Г | 0,05885 |
qD, нм | 0,53 |
Tref, К | 772,06 |
Таблица А.2
Коэффициенты, показатели степеней и параметры уравнения
для неидеальной составляющей ФУС этанола
j | bj | rj | tj | gj | lj | | | | |
1 | 0,058200796 | 4 | 1 | 0 | 0 | - | - | - | - |
2 | 0,94391227 | 1 | 1,04 | 0 | 0 | - | - | - | - |
3 | -0,80941908 | 1 | 2,72 | 0 | 0 | - | - | - | - |
4 | 0,55359038 | 2 | 1,17 | 0 | 0 | - | - | - | - |
5 | -1,4269032 | 2 | 1,329 | 0 | 0 | - | - | - | - |
6 | 0,13448717 | 3 | 0,195 | 0 | 0 | - | - | - | - |
7 | 0,42671978 | 1 | 2,43 | -1 | 1 | - | - | - | - |
8 | -1,1700261 | 1 | 1,274 | -1 | 1 | - | - | - | - |
9 | -0,92405872 | 1 | 4,16 | -1 | 2 | - | - | - | - |
10 | 0,34891808 | 3 | 3,3 | -1 | 1 | - | - | - | - |
11 | -0,91327720 | 3 | 4,177 | -1 | 2 | - | - | - | - |
12 | 0,022629481 | 2 | 2,5 | -1 | 1 | - | - | - | - |
13 | -0,15513423 | 2 | 0,81 | -1 | 2 | - | - | - | - |
14 | 0,21055146 | 6 | 2,02 | -1 | 1 | - | - | - | - |
15 | -0,21997690 | 6 | 1,606 | -1 | 1 | - | - | - | - |
16 | -0,0065857238 | 8 | 0,86 | -1 | 1 | - | - | - | - |
17 | 0,75564749 | 1 | 2,5 | -1 | | 1,075 | 1,207 | 0,779 | 1,194 |
18 | 0,10694110 | 1 | 3,72 | -1 | | 0,463 | 0,0895 | 0,805 | 1,986 |
19 | -0,069533844 | 2 | 1,19 | -1 | | 0,876 | 0,581 | 1,869 | 1,583 |
20 | -0,24947395 | 3 | 3,25 | -1 | | 1,108 | 0,947 | 0,694 | 0,756 |
21 | 0,027177891 | 3 | 3,0 | -1 | | 0,741 | 2,356 | 1,312 | 0,495 |
22 | -0,00090539530 | 2 | 2,0 | -1 | | 4,032 | 27,01 | 2,054 | 1,002 |
23 | -0,12310953 | 2 | 2,0 | -1 | | 2,453 | 4,542 | 0,441 | 1,077 |
24 | -0,089779710 | 2 | 1,0 | -1 | | 2,300 | 1,287 | 0,793 | 1,493 |
25 | -0,39512601 | 1 | 1,0 | -1 | | 3,143 | 3,090 | 0,313 | 1,542 |
Таблица А.3
для термодинамических свойств этанола в идеально-газовом
состоянии, энтальпия

и энтропия

i | | |
1 | -12,7531 | 0 |
2 | 9,39094 | 0 |
3 | 3,43069 | 0 |
4 | 2,14326 | 0,816771 |
5 | 5,09206 | 2,59175 |
6 | 6,60138 | 3,80408 |
7 | 5,70777 | 8,58736 |
 ; |
Таблица А.4
i | |
0 | -1,03116 |
1 | 3,48379·10-2 |
2 | -6,50264·10-6 |
Таблица А.5
i | bi |
0 | -19,572881 |
1 | 219,73999 |
2 | 1015,3226 |
3 | 2471,01251 |
4 | -3375,1717 |
5 | 2491,6597 |
6 | -787,26086 |
7 | 14,085455 |
8 | -0,34664158 |
Таблица А.6
i | eij |
j = 0 | j = 1 | j = 2 |
2 | 0,131194057 | -0,382240694 | 0 |
3 | -0,0805700894 | 0,153811778 | -0,110578307 |
c1 = 23,7222995 c2 = 3,38264465 c3 = 12,7568864 |
Таблица А.7
i | |
0 | -2,09575 |
1 | 19,9045 |
2 | -53,964 |
3 | 82,1223 |
4 | -1,98864 |
5 | -0,495513 |
6 | 0,17223 |
7 | -0,078273 |
8 | 1,0 |
Таблица А.8
i | bji |
j = 1 | j = 2 |
1 | 26,7222 | 17,7166 |
2 | 148,279 | -89,3088 |
3 | -130,429 | 68,4664 |
4 | 34,6232 | -14,5702 |
5 | -2,44293 | 0,809189 |
(обязательное)
ТАБЛИЦЫ КОНТРОЛЬНЫХ СТАНДАРТНЫХ ЗНАЧЕНИЙ ТЕПЛОФИЗИЧЕСКИХ
СВОЙСТВ ЭТАНОЛА НА КРИВОЙ НАСЫЩЕНИЯ
Таблица Б.1
Обозначения и размерности теплофизических свойств этанола
и их неопределенностей, представленных
Наименование | Обозначение | Размерность |
Температура | T | К |
Давление | p | МПа |
Давление насыщения | ps | МПа |
Плотность | | кг/м3 |
Энтальпия | h | кДж/кг |
Энтропия | s | кДж/(кг·К) |
Изохорная теплоемкость | cv | кДж/(кг·К) |
Изобарная теплоемкость | cp | кДж/(кг·К) |
Скорость звука | w | м/с |
Коэффициент динамической вязкости | | мкПа·с |
Коэффициент теплопроводности | | мВт/(м·К) |
Относительная неопределенность теплофизических свойств, исключая энтальпию | | % |
Абсолютная неопределенность энтальпии | | кДж/кг |
Примечание - В таблице 10 (см. [1]) и таблице Б.2 настоящего стандарта, где представлены стандартные справочные значения и контрольные стандартные значения теплофизических свойств ( A) этанола на кривой насыщения, обозначения A' и A" означают свойства насыщенной жидкости и насыщенного пара, соответственно. |
Таблица Б.2
Контрольные стандартные значения теплофизических свойств
этанола на кривой насыщения
T | ps | | | h' | h" | s' | s" | cv' | cv" |
| | | | | | | | |
200,00 | 0,11017·10-5 | 869,47 | 0,30523·10-4 | 312,1 | 1320,6 | 2,6084 | 7,6511 | 1,555 | 0,949 |
| 1,0 | 0,30 | 1,0 | 4,5 | 0,1 | 0,24 | 0,03 | 1,0 | 2,0 |
250,00 | 0,26499·10-3 | 825,96 | 0,58757·10-2 | 413,3 | 1380,2 | 3,0595 | 6,9271 | 1,747 | 1,084 |
| 1,0 | 0,30 | 1,0 | 3,3 | 0,1 | 0,16 | 0,03 | 1,0 | 2,0 |
300,00 | 0,87679·10-2 | 783,45 | 0,16292 | 527,1 | 1445,7 | 3,4734 | 6,5355 | 2,056 | 1,254 |
| 1,0 | 0,30 | 1,0 | 2,3 | 0,1 | 0,12 | 0,04 | 1,0 | 2,0 |
350,00 | 0,95206·10-1 | 737,96 | 0,15557·101 | 660,7 | 1512,9 | 3,8841 | 6,3189 | 2,424 | 1,478 |
| 1,0 | 0,30 | 1,0 | 1,4 | 0,2 | 0,09 | 0,04 | 1,0 | 2,0 |
400,00 | 0,52368 | 682,11 | 0,80099·101 | 821,1 | 1572,7 | 4,3099 | 6,1890 | 2,771 | 1,786 |
| 1,0 | 0,30 | 1,0 | 0,4 | 0,4 | 0,08 | 0,05 | 1,0 | 2,0 |
450,00 | 0,18499·101 | 603,62 | 0,28895·102 | 1013,6 | 1613,4 | 4,7578 | 6,0908 | 2,994 | 2,206 |
| 1,0 | 0,30 | 1,0 | 0,5 | 0,9 | 0,06 | 0,06 | 1,0 | 2,0 |
500,00 | 0,48719·101 | 467,38 | 0,96617·102 | 1251,5 | 1597,6 | 5,2457 | 5,9380 | 3,273 | 2,866 |
| 1,0 | 0,30 | 1,0 | 0,8 | 2,0 | 0,04 | 0,08 | 1,0 | 2,0 |
510,00 | 0,57767·101 | 386,15 | 0,14192·103 | 1332,1 | 1553,2 | 5,4010 | 5,8347 | 3,462 | 3,159 |
| 1,0 | 0,30 | 1,0 | 0,7 | 2,3 | 0,04 | 0,09 | 1,0 | 2,0 |
514,00 | 0,61875·101 | 312,99 | 0,22513·103 | 1392,2 | 1463,8 | 5,5161 | 5,6554 | 3,558 | 3,496 |
| 1,0 | 2,00 | 2,0 | 4,3 | 4,6 | 0,16 | 0,17 | 5,0 | 5,0 |
Окончание таблицы Б.2
T | cp' | cp" | w' | w" | | | | |
| | | | | | | |
200,00 | 1,954 | 1,129 | 1528,4 | 207,3 | 14569,3 | 5,68 | 194,5 | 7,72 |
| 1,0 | 2,0 | 1,00 | 1,00 | 5,0 | 4,0 | 4,5 | 1,6 |
250,00 | 2,125 | 1,265 | 1316,7 | 229,4 | 3158,8 | 7,27 | 175,1 | 11,15 |
| 1,0 | 2,0 | 1,00 | 1,00 | 5,0 | 4,0 | 4,3 | 1,6 |
300,00 | 2,449 | 1,444 | 1134,8 | 248,1 | 1043,9 | 8,83 | 163,1 | 15,40 |
| 1,0 | 2,0 | 1,00 | 1,00 | 5,0 | 4,0 | 4,2 | 1,6 |
350,00 | 2,915 | 1,708 | 971,6 | 261,6 | 450,5 | 10,34 | 154,6 | 20,54 |
| 1,0 | 2,0 | 1,00 | 1,00 | 5,0 | 4,0 | 4,1 | 1,6 |
400,00 | 3,516 | 2,150 | 790,5 | 265,6 | 228,1 | 11,82 | 146,6 | 27,10 |
| 1,0 | 2,0 | 1,00 | 1,00 | 5,0 | 4,0 | 3,9 | 1,6 |
450,00 | 4,200 | 3,028 | 567,4 | 254,2 | 121,8 | 13,52 | 138,3 | 37,41 |
| 1,0 | 2,0 | 1,00 | 1,00 | 5,0 | 4,0 | 3,6 | 1,7 |
500,00 | 7,648 | 8,052 | 266,0 | 210,1 | 61,0 | 17,23 | 133,3 | 69,88 |
| 1,0 | 2,0 | 1,00 | 1,00 | 5,0 | 4,0 | 3,2 | 1,9 |
510,00 | 21,625 | 26,345 | 180,2 | 188,3 | 44,8 | 19,97 | 147,4 | 115,09 |
| 1,0 | 2,0 | 1,00 | 1,00 | 5,0 | 4,0 | 2,9 | 2,1 |
514,00 | 149,060 | 322,606 | 158,8 | 168,3 | 34,9 | 26,09 | 216,1 | 278,73 |
| 5,0 | 5,0 | 3,00 | 3,00 | 5,0 | 4,0 | 6,0 | 6,0 |
(обязательное)
ТАБЛИЦЫ КОНТРОЛЬНЫХ СТАНДАРТНЫХ ЗНАЧЕНИЙ ТЕПЛОФИЗИЧЕСКИХ
СВОЙСТВ ЭТАНОЛА В ОДНОФАЗНОЙ ОБЛАСТИ
Таблица В.1
Контрольные стандартные значения теплофизических свойств
этанола в однофазной области
p | | h | s | cv | cp | w | | |
| | | | | | | | |
T = 160,0 К |
0,1 | 907,96 | 236,0 | 2,1837 | 1,323 | 1,805 | 1701,2 | 116229,79 | 220,05 |
| 0,20 | 3,5 | 0,25 | 1,0 | 1,0 | 1,0 | 5,0 | 4,6 |
1,0 | 908,38 | 236,8 | 2,1825 | 1,323 | 1,806 | 1705,5 | 116859,15 | 220,51 |
| 0,20 | 3,5 | 0,25 | 1,0 | 1,0 | 1,0 | 5,0 | 4,6 |
5,0 | 910,24 | 240,3 | 2,1773 | 1,324 | 1,814 | 1724,4 | 119680,56 | 222,56 |
| 0,20 | 3,6 | 0,26 | 1,0 | 1,0 | 1,0 | 5,0 | 4,6 |
10,0 | 912,52 | 244,8 | 2,1708 | 1,326 | 1,823 | 1747,0 | 123265,85 | 225,10 |
| 0,20 | 3,7 | 0,26 | 1,0 | 1,0 | 1,0 | 5,0 | 4,6 |
T = 300,0 К |
0,1 | 783,54 | 527,2 | 3,4733 | 2,056 | 2,449 | 1135,4 | 1044,52 | 163,14 |
| 0,20 | 1,6 | 0,08 | 1,0 | 1,0 | 1,0 | 5,0 | 4,2 |
5,0 | 787,94 | 531,4 | 3,4665 | 2,053 | 2,442 | 1168,1 | 1077,06 | 165,65 |
| 0,20 | 1,7 | 0,09 | 1,0 | 1,0 | 1,0 | 5,0 | 4,2 |
50,0 | 820,19 | 571,5 | 3,4138 | 2,045 | 2,403 | 1393,9 | 1344,48 | 186,46 |
| 0,20 | 2,6 | 0,10 | 1,0 | 1,0 | 1,0 | 5,0 | 4,3 |
100,0 | 846,73 | 617,3 | 3,3669 | 2,046 | 2,382 | 1572,4 | 1606,84 | 206,94 |
| 0,20 | 3,4 | 0,11 | 1,0 | 1,0 | 1,0 | 5,0 | 4,4 |
T = 500,0 К |
0,1 | 1,1143 | 1796,6 | 6,9806 | 1,910 | 2,099 | 313,1 | 14,77 | 38,07 |
| 0,20 | 0,1 | 0,01 | 2,0 | 2,0 | 1,0 | 4,0 | 1,6 |
5,0 | 471,36 | 1249,5 | 5,2413 | 3,260 | 7,272 | 275,8 | 62,02 | 133,10 |
| 0,20 | 0,6 | 0,03 | 1,0 | 1,0 | 1,0 | 5,0 | 3,2 |
50,0 | 647,83 | 1204,8 | 4,9994 | 2,885 | 3,784 | 909,3 | 141,19 | 159,49 |
| 0,20 | 0,3 | 0,05 | 1,0 | 1,0 | 1,0 | 5,0 | 3,8 |
100,0 | 706,94 | 1227,5 | 4,8975 | 2,844 | 3,586 | 1174,5 | 189,38 | 181,95 |
| 0,20 | 1,0 | 0,06 | 1,0 | 1,0 | 1,0 | 5,0 | 4,0 |
T = 600,0 К |
0,1 | 0,92556 | 2019,7 | 7,3866 | 2,174 | 2,357 | 341,9 | 17,54 | 50,95 |
| 0,20 | 0,1 | 0,01 | 2,0 | 2,0 | 1,0 | 7,0 | 1,6 |
5,0 | 52,713 | 1955,1 | 6,5938 | 2,423 | 2,859 | 310,8 | 18,99 | 61,53 |
| 0,20 | 0,2 | 0,02 | 2,0 | 2,0 | 1,0 | 7,0 | 1,8 |
50,0 | 531,05 | 1600,6 | 5,7201 | 2,978 | 4,085 | 692,8 | 80,60 | 149,97 |
| 0,20 | 0,4 | 0,04 | 2,0 | 2,0 | 1,0 | 7,0 | 3,4 |
100,0 | 623,05 | 1598,3 | 5,5731 | 2,949 | 3,798 | 1003,8 | 108,21 | 173,65 |
| 0,20 | 0,4 | 0,05 | 2,0 | 2,0 | 1,0 | 7,0 | 3,7 |
T = 650,0 К |
0,1 | 0,85375 | 2140,5 | 7,5799 | 2,291 | 2,474 | 355,3 | | |
| 0,20 | 0,1 | 0,01 | 2,0 | 2,0 | 1,0 | | |
5,0 | 46,356 | 2095,3 | 6,8183 | 2,447 | 2,771 | 334,3 | | |
| 0,20 | 0,2 | 0,02 | 2,0 | 2,0 | 1,0 | | |
50,0 | 471,43 | 1804,1 | 6,0460 | 2,965 | 4,028 | 615,7 | | |
| 0,20 | 0,4 | 0,03 | 2,0 | 2,0 | 1,0 | | |
100,0 | 581,88 | 1788,8 | 5,8780 | 2,965 | 3,811 | 935,9 | | |
| 0,20 | 0,2 | 0,04 | 2,0 | 2,0 | 1,0 | | |
| ГСССД 371-2020. Этанол жидкий и газообразный. Термодинамические свойства, коэффициенты динамической вязкости и теплопроводности при температурах от 160 К до 650 К и давлениях до 100 МПа. - М: ФГУП "ВНИИМС", 2020. - 38 с. |
УДК 547.214:006.354 | |
Ключевые слова: государственная система обеспечения единства измерений, стандартные справочные данные, жидкий и газообразный этанол, термодинамические свойства, коэффициенты динамической вязкости и теплопроводности |