Главная // Актуальные документы // ГОСТ Р (Государственный стандарт)СПРАВКА
Источник публикации
М.: Стандартинформ, 2020
Примечание к документу
Документ
введен в действие с 01.02.2021.
Название документа
"ГОСТ Р 8.986-2020. Национальный стандарт Российской Федерации. Государственная система обеспечения единства измерений. Стандартные справочные данные. Фторбензол. Теплофизические свойства (плотность, теплоемкость, энтальпия, энтропия, скорость звука, коэффициенты теплопроводности и вязкости) в диапазоне температуры от тройной точки не выше 700 К при давлениях не более 100 МПа"
(утв. и введен в действие Приказом Росстандарта от 29.04.2020 N 179-ст)
"ГОСТ Р 8.986-2020. Национальный стандарт Российской Федерации. Государственная система обеспечения единства измерений. Стандартные справочные данные. Фторбензол. Теплофизические свойства (плотность, теплоемкость, энтальпия, энтропия, скорость звука, коэффициенты теплопроводности и вязкости) в диапазоне температуры от тройной точки не выше 700 К при давлениях не более 100 МПа"
(утв. и введен в действие Приказом Росстандарта от 29.04.2020 N 179-ст)
Утвержден и введен в действие
по техническому регулированию
и метрологии
от 29 апреля 2020 г. N 179-ст
НАЦИОНАЛЬНЫЙ СТАНДАРТ РОССИЙСКОЙ ФЕДЕРАЦИИ
ГОСУДАРСТВЕННАЯ СИСТЕМА ОБЕСПЕЧЕНИЯ ЕДИНСТВА ИЗМЕРЕНИЙ
СТАНДАРТНЫЕ СПРАВОЧНЫЕ ДАННЫЕ. ФТОРБЕНЗОЛ
ТЕПЛОФИЗИЧЕСКИЕ СВОЙСТВА (ПЛОТНОСТЬ, ТЕПЛОЕМКОСТЬ,
ЭНТАЛЬПИЯ, ЭНТРОПИЯ, СКОРОСТЬ ЗВУКА, КОЭФФИЦИЕНТЫ
ТЕПЛОПРОВОДНОСТИ И ВЯЗКОСТИ) В ДИАПАЗОНЕ ТЕМПЕРАТУРЫ
ОТ ТРОЙНОЙ ТОЧКИ НЕ ВЫШЕ 700 К ПРИ ДАВЛЕНИЯХ
НЕ БОЛЕЕ 100 МПа
State system for ensuring the uniformity of measurements.
Standard reference data. Chlorobenzene. Thermophysical
properties (density, heat capacity, enthalpy, entropy, speed
of sound, thermal conductivity and viscosity coefficients)
over a temperature range from the triple point
to 700 K with pressures up to 100 MPa
ГОСТ Р 8.986-2020
Дата введения
1 февраля 2021 года
1 РАЗРАБОТАН Федеральным государственным унитарным предприятием "Всероссийский научно-исследовательский институт метрологической службы" (ФГУП "ВНИИМС")
2 ВНЕСЕН Техническим комитетом по стандартизации ТК 180 "Стандартные справочные данные о физических константах и свойствах веществ и материалов"
3 УТВЕРЖДЕН И ВВЕДЕН В ДЕЙСТВИЕ
Приказом Федерального агентства по техническому регулированию и метрологии от 29 апреля 2020 г. N 179-ст
4 ВВЕДЕН ВПЕРВЫЕ
Правила применения настоящего стандарта установлены в статье 26 Федерального закона от 29 июня 2015 г. N 162-ФЗ "О стандартизации в Российской Федерации". Информация об изменениях к настоящему стандарту публикуется в ежегодном (по состоянию на 1 января текущего года) информационном указателе "Национальные стандарты", а официальный текст изменений и поправок - в ежемесячном информационном указателе "Национальные стандарты". В случае пересмотра (замены) или отмены настоящего стандарта соответствующее уведомление будет опубликовано в ближайшем выпуске ежемесячного информационного указателя "Национальные стандарты". Соответствующая информация, уведомление и тексты размещаются также в информационной системе общего пользования - на официальном сайте Федерального агентства по техническому регулированию и метрологии в сети Интернет (www.gost.ru)
Настоящий стандарт распространяется на жидкий и газообразный фторбензол и устанавливает методы расчетного определения значений стандартных справочных данных плотности

, энтальпии
h, энтропии
s, изобарной теплоемкости
cp, изохорной теплоемкости
cv, скорости распространения звука
w, коэффициенте динамической вязкости

и коэффициенте теплопроводности

для фторбензола, как в однофазных областях, так и на линии насыщения.
В настоящем стандарте использованы нормативные ссылки на следующие стандарты:
ГОСТ 8.566 Государственная система обеспечения единства измерений. Межгосударственная система данных о физических константах и свойствах веществ и материалов. Основные положения
ГОСТ Р 8.614 Государственная система обеспечения единства измерений. Государственная служба стандартных справочных данных. Основные положения
Примечание - При пользовании настоящим стандартом целесообразно проверить действие ссылочных стандартов в информационной системе общего пользования - на официальном сайте Федерального агентства по техническому регулированию и метрологии в сети Интернет или по ежегодному информационному указателю "Национальные стандарты", который опубликован по состоянию на 1 января текущего года, и по выпускам ежемесячного информационного указателя "Национальные стандарты" за текущий год. Если заменен ссылочный стандарт, на который дана недатированная ссылка, то рекомендуется использовать действующую версию этого стандарта с учетом всех внесенных в данную версию изменений. Если заменен ссылочный стандарт, на который дана датированная ссылка, то рекомендуется использовать версию этого стандарта с указанным выше годом утверждения (принятия). Если после утверждения настоящего стандарта в ссылочный стандарт, на который дана датированная ссылка, внесено изменение, затрагивающее положение, на которое дана ссылка, то это положение рекомендуется применять без учета данного изменения. Если ссылочный стандарт отменен без замены, то положение, в котором дана ссылка на него, рекомендуется применять в части, не затрагивающей эту ссылку.
3 Методические основы разработки стандартных справочных данных
3.1 Основные физико-аналитические модели, принятые для расчетного определения значений термодинамических свойств фторбензола
В настоящем стандарте приведены основные физико-аналитические модели, принятые для расчетного определения значений термодинамических свойств фторбензола, разработанные в соответствии с
ГОСТ 8.566,
ГОСТ Р 8.614 на основе теоретически и практически обоснованного фундаментального уравнения состояния (ФУС), выражающего свободную энергию Гельмгольца

в зависимости от температуры
T и плотности

.
Безразмерную свободную энергию Гельмгольца

представляют в виде суммы идеально-газовой части

и избыточной составляющей

и вычисляют по формуле

. (1)
Для придания наиболее строгого подхода к ФУС в части учета особенностей термодинамической поверхности фторбензола и расширения его экстраполяционных возможностей избыточную часть свободной энергии Гельмгольца представляют в виде разложения в ряд по степеням (см.
[1]) приведенной температуры

и приведенной плотности

с оптимизируемыми полиномиальными экспоненциальными членами и вычисляют по формуле

, (2)
где

;

;

,
Tc - параметры приведения, в качестве которых принимают значения температуры и плотности фторбензола в критической точке (в
[1] приняты

,
Tc = 560,1 К).
Для определения значений параметров ФУС по
формуле (2) и расширения его функциональных возможностей при нахождении значений коэффициентов ФУС, учитывают разнородные экспериментальные данные о термодинамических свойствах фторбензола:
- о p, v, T-данные;
- упругости насыщенных паров pv;
- плотности насыщенной жидкой

и газовой
pv фаз;
- теплоемкости насыщенной конденсированной фазы cs;
- изобарной cp теплоемкости;
- энтальпии h;
- скорости распространения звука w.
Корректность в описании термодинамической поверхности фторбензола при обработке экспериментальных данных достигается путем ввода системы ограничений, накладываемых в виде неравенств на термодинамическую поверхность. В число основных видов вводимых ограничений включают (см.
[1]):
- критические условия;
- правило Максвелла;
- контроль кривизны идеальных кривых;
- положительность значений теплоемкостей;
- правило прямолинейного диаметра;
- контролирование знаков производных для различных термодинамических величин.
Эти ограничения обеспечивают "физическую" форму поверхности состояния и улучшают экстраполяционные возможности уравнения.
Определение коэффициентов ФУС выполняют с применением алгоритма, представленного в
[1], реализующего метод случайного поиска с возможностью возврата в начало процедуры поиска при неудачном шаге. При этом алгоритм модифицируют введением элементов детерминированного поиска на шаге корректировки величины шага поиска и выбора направления поиска.
В алгоритме
[1] применяют аддитивный критерий оптимальности - минимизируемый функционал, представленный в
соотношении (3), который образуют путем сложения выходных параметров, преобразованных к безразмерным слагаемым. Это осуществляют с помощью введения нормирующих множителей - весовых коэффициентов. Нормирование вводят для объединения нескольких выходных параметров - термодинамических свойств, имеющих в общем случае различную физическую размерность. Минимизируемый функционал содержит слагаемые, ответственные за точность аппроксимации результатов измерений разнородных данных о термодинамических свойствах, а также ограничения, накладываемые в виде неравенств на термодинамическую поверхность. Алгоритм представляют следующим соотношением

, (3)
где W - весовой коэффициент для каждой опытной точки;
F - функция, используемая для минимизации отклонений.
Например, для изохорной теплоемкости данных, функцию

вычисляют по соотношению

. (4)
Квадратичные функции для других термодинамических свойств имеют аналогичный вид. F0 - функция, учитывающая различные ограничения на область изменения переменных.
Весовой коэффициент
W для каждой выбранной экспериментальной точки назначают индивидуально с учетом типа данных, области состояний и требуемой точности. Типичное значение
W для данных
p,

,
T и давления насыщенных паров составляет 1, для теплоемкости - 0,5, для скорости звука - 1.
Из
соотношения (3) следует, что ограничения вводят в виде дополнительных слагаемых в минимизируемый функционал. Например, для контроля знака производной какой-либо термодинамической величины численно вычисляют производную на основе расчетных значений по уравнению состояния, сохраненных на последних итерациях. После этого вычисленное значение производной по соответствующему свойству в безразмерном виде с соответствующим весовым коэффициентом включается в квадратичный функционал со знаком, противоположным заданному. Замена знака на противоположный знак осуществляется для того, чтобы при правильном знаке производной это ограничение не влияло на функционал
(3).
Ограничения не влияют на критерий оптимальности до тех пор, пока параметры находятся в области допустимых значений. Стоит изменить параметр таким образом, что он пересечет границу, движение по траектории минимизации немедленно прекращается. Эта процедура продолжается вплоть до возвращения параметров в область допустимых значений.
Блок-схема принятого алгоритма представлена в
[1].
В минимизируемый функционал включают несколько слагаемых, каждое из которых ответственно за определенную категорию обрабатываемых термодинамических характеристик (см.
[1]).
Коэффициенты и показатели степени при температуре и плотности оптимизированной
формуле (2) представлены в
[1]. Процедура построения ФУС более подробно описана в
[1].
Термодинамические свойства фторбензола рассчитывают по следующим соотношениям:
- плотность

; (5)
- энтальпия

; (6)
- энтропия

; (7)
- изохорная теплоемкость

; (8)
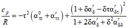
- изобарная теплоемкость

; (9)
- скорость звука

, (10)
где нижний индекс при коэффициенте

показывает частную производную по соответствующей переменной.
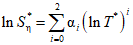
За термодинамическое начало отсчета при составлении таблиц термодинамических свойств фторбензола принято состояние равновесного молекулярного кристалла при температуре 0 К. Значения энтальпии
h0 и энтропии
s0 во вспомогательной точке отсчета на линии насыщения жидкой фазы при температуре
T0 = 298,15 К определены в
[1] как
h0 = 356,96 кДж·кг
-1,
s0 = 2,1429 кДж·кг
-1·
К-1.
3.2 Коэффициенты переноса
3.2.1 Коэффициент вязкости
Табличные значения коэффициентов переноса определяют по эмпирическим уравнениям, разработанным на основе наиболее надежных экспериментальных данных и апробированным на практике.
Для расчетов значений коэффициента динамической вязкости используют уравнение, предложенное
[1].

, (11)
где

- вязкость разреженного газа при нулевой плотности;

- избыточная вязкость.
Вязкость разреженного газа

определяют по уравнениям (см.
[1])

; (12)

, (13)
где вязкость

, мкПа·с;
M = 96,102 - масса киломоля, кг/кмоль;
T - температура, К;

- линейный масштабный параметр потенциала Леннарда - Джонса, нм;

- энергетический масштабный параметр;
К;

- приведенный эффективный интеграл столкновений, аппроксимированный
уравнением (13);
T* - приведенная температура

.
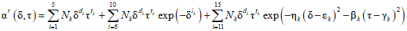
Избыточную вязкость аппроксимируют уравнением

, (14)
где

;

.
Таблица 1
разреженного газа
| |  (нм) |  (K) |
0,45753756 | -0,47213274 | 0,556 | 401,011 |
Поиск коэффициентов и показателей степени при температуре и плотности
уравнения (14), а также коэффициентов приведенного эффективного интеграла столкновений
(13) осуществляют методом случайного поиска с возвратом при неудачном шаг. При поиске коэффициентов вводятся ограничения на форму поверхности состояния, обеспечивающие "правильные" знаки производных и тем самым улучшают экстраполяционные возможности уравнения. Более подробно метод описан в
[1]. В
таблице 2 приведены коэффициенты и показатели степени
уравнения (14).
Таблица 2
i | Ni | ti | di | li |
1 | 0,245755249417·101 | 6,9659 | 1 | 0 |
2 | 0,221268341035·102 | 1,4138 | 2 | 0 |
3 | 0,961261217436·101 | 0,2481 | 5 | 1 |
4 | 0,836014986618·10-1 | 6,5584 | 3 | 1 |
5 | -0,414575755019·101 | 2,9044 | 9 | 2 |
6 | -0,201395922248·101 | 9,9176 | 7 | 2 |
7 | -0,163179368467·102 | 2,4882 | 6 | 3 |
Средняя неопределенность описания коэффициента динамической вязкости по
уравнениям (11) -
(14) составляет 1,84%.
Уравнения (11) -
(14) не учитывают критическую аномалию вязкости, которая не исследована для фторбензола. Результаты сравнения расчетных данных с имеющимися экспериментальными данными вязкости представлены в
[1].
3.2.2 Коэффициент теплопроводности
Расчетное определение значений коэффициента теплопроводности фторбензола

проводят согласно
[1] на основе применения эмпирического уравнения вида

, (15)
где

- теплопроводность разреженного газа при нулевой плотности;

- избыточная теплопроводность;

;

;

,
Tr - опорные значения плотности и температуры (принимают критические значения
Tc = 560,10 К;

).
Теплопроводность разреженного газа определяют по уравнению

, (16)
где

- вязкость разреженного газа при нулевой плотности, мкПа·с.
Избыточную теплопроводность аппроксимируют уравнением

. (17)
Поиск коэффициентов и показателей степени при температуре и плотности
уравнений (16) и
(17) осуществляют методом случайного поиска с возвратом при неудачном шаге, который подробно описан
[1]. Также вводятся ограничения, обеспечивающие "правильный" знак производных. Коэффициенты и показатели степени
уравнений (16) и
(17) представлены в
таблице 3.
Таблица 3
i | Ni | ti | di | li |
1 | 0,2162004312·102 | - | - | - |
2 | -0,11545188136·103 | -1,89305 | - | - |
3 | 0,13635904193·103 | -2,06653 | - | - |
4 | 0,106237174331·101 | 0,66027 | 4 | 0 |
5 | 0,312275332356·101 | 0,38437 | 3 | 0 |
6 | -0,818328501199 | 3,11308 | 5 | 1 |
7 | 0,252365959576·102 | 6,85567 | 7 | 2 |
8 | -0,118106825548·102 | 6,30143 | 8 | 2 |
9 | -0,349625585678·102 | 9,14236 | 3 | 2 |
Средняя неопределенность описания экспериментальных данных
уравнениями (15) -
(17) составляет соответственно 0,572%.
Уравнения (15) -
(17) не учитывают критическую аномалию теплопроводности, которая экспериментально не исследована для фторбензола. Рассчитанные значения коэффициентов динамической вязкости и теплопроводности фторбензола в однофазной области и на линии насыщения представлены в табличной форме в
[1].
4 Анализ и отбор экспериментальных данных
4.1 Данные о термодинамических свойствах фторбензола
Для оценки точности расчетных значений и анализа разработки расчетных уравнений проводят анализ и отбор разнородных экспериментальных данных о термодинамических свойствах фторбензола, полученными различными авторами. Затем проводят сравнительный анализ экспериментальных данных с данными, полученными по ФУС. Результаты сравнения данных о термодинамических свойствах фторбензола со значениями, рассчитанными по ФУС, представлены в
[1], в таблице Б.1 и на рисунках Б.1 - Б.3, на которых показан характер отклонений экспериментальных данных от расчетных значений.
4.2 Данные о коэффициентах переноса фторбензола
Для анализа разработки расчетных уравнений и оценки точности расчетных данных о динамической вязкости фторбензола используют массив экспериментальных данных с чистотой образца 99,92%, представленный в
[1]. Динамическую вязкость фторбензола исследуют в паровой, жидкой, критической и сверхкритической областях параметров состояния, в интервале давлений от 0,1 до 40 МПа, в диапазоне температур от нормальной температуры кипения до 623,15 К. Измерения проводят методом вынесенного капилляра. Неопределенность экспериментального определения вязкости составляет 1,2%. В таблице Б.2 (см.
[1]) представлены результаты сравнения экспериментальных данных разных авторов с рассчитанными значениями по уравнениям.
Для обработки коэффициента теплопроводности в переменных температура - плотность, используют уравнения состояния и массив экспериментальных данных, представленные в
[1].
5 Оценка достоверности расчетных значений свойств фторбензола
5.1 Результаты оценки достоверности расчетных значений термодинамических свойств фторбензола
Величины неопределенности расчетных значений термодинамических свойств фторбензола оценивают по результатам сравнения с наиболее надежными экспериментальными данными. Оценки, представленные в
[1], даны: для жидкой фазы:
T <
Tc,

, для газовой фазы:
T <
Tc,

, для сверхкритического флюида:
T >
Tc, включая критическую область:
Ts <=
T <= 1,05
Tc,

.
В таблице 4 (см.
[1]) дана оценка неопределенностей расчетных значений термодинамических свойств фторбензола, а поля неопределенностей приведены в таблицах В.5 - В.7. В настоящем стандарте оценка неопределенностей расчетных значений термодинамических свойств и поля неопределенностей фторбензола представлены в
таблицах 4 -
5,
6 -
7
Таблица 4
Оценки неопределенности расчетных значений термодинамических
свойств фторбензола
Свойство | Неопределенность, %, в области |
Жидкость | Газ | Сверхкритический флюид |
pv | - | 0,2 - 1,0 | - |
| 0,1 - 0,5 | - | - |
| - | 1,0 - 2,0 | - |
p,  , T | 0,2 - 0,4 | 1,0 - 2,0 | 0,5 - 1,5 |
Cp | 0,5 - 1,0 | 1,0 - 2,5 | 5,0 - 15,0 |
Cv | 1,0 - 2,0 | 1,0 - 2,5 | 5,0 - 15,0 |
W | 0,5 - 1,0 | - | - |
Таблица 5
Поля неопределенности расчета плотности

p, МПа | Температура, К |
235 | 290 | 350 | 400 | 450 | 500 | 530 | 550 | 560 | 570 | 590 | 620 | 650 | 700 |
0,5 | 0,30 | 0,10 | 0,10 | 0,10 | 0,50 | 0,40 | 0,40 | 0,40 | 0,50 | 0,50 | 0,60 | 0,80 | 1,00 | 1,00 |
1,5 | 0,30 | 0,10 | 0,10 | 0,10 | 0,12 | 0,60 | 0,50 | 0,50 | 0,50 | 0,50 | 0,60 | 0,80 | 1,00 | 1,00 |
3,0 | 0,30 | 0,10 | 0,10 | 0,10 | 0,12 | 0,15 | 1,00 | 0,60 | 0,60 | 0,60 | 0,70 | 0,90 | 1,10 | 1,10 |
5,0 | 0,32 | 0,12 | 0,15 | 0,15 | 0,15 | 0,17 | 0,30 | 0,50 | 0,70 | 0,90 | 0,80 | 1,00 | 1,10 | 1,10 |
10,0 | 0,35 | 0,15 | 0,15 | 0,15 | 0,15 | 0,20 | 0,30 | 0,50 | 0,75 | 0,95 | 1,00 | 1,10 | 1,20 | 1,20 |
50,0 | - | 0,20 | 0,20 | 0,20 | 0,20 | 0,30 | 0,40 | 0,6 | 0,80 | 1,00 | 1,10 | 1,20 | 1,30 | 1,30 |
100,0 | - | 0,30 | 0,30 | 0,30 | 0,30 | 0,40 | 0,50 | 0,70 | 0,90 | 1,10 | 1,20 | 1,30 | 1,40 | 1,50 |
Таблица 6
Поля неопределенности расчета изобарной теплоемкости
cv
p, МПа | Температура, К |
235 | 290 | 350 | 400 | 450 | 500 | 530 | 550 | 560 | 570 | 590 | 620 | 650 | 700 |
0,5 | 0,50 | 0,50 | 0,50 | 0,60 | 1,20 | 1,00 | 1,00 | 1,00 | 1,00 | 1,00 | 1,00 | 1,00 | 1,00 | 1,00 |
1,5 | 0,50 | 0,50 | 0,50 | 0,60 | 1,00 | 1,70 | 1,50 | 1,20 | 1,10 | 1,10 | 1,10 | 1,10 | 1,10 | 1,10 |
3,0 | 0,50 | 0,50 | 0,50 | 0,60 | 1,00 | 1,50 | 2,50 | 2,00 | 2,00 | 2,00 | 1,50 | 1,30 | 1,40 | 1,50 |
5,0 | 0,60 | 0,60 | 0,60 | 0,70 | 1,00 | 1,50 | 2,00 | 5,00 | 6,00 | 5,00 | 2,00 | 1,50 | 1,50 | 1,70 |
10,0 | 0,60 | 0,60 | 0,60 | 0,70 | 1,00 | 1,20 | 1,50 | 1,50 | 1,50 | 1,50 | 1,50 | 1,50 | 1,50 | 1,80 |
50,0 | - | 0,70 | 0,70 | 0,80 | 1,10 | 1,20 | 1,30 | 1,40 | 1,50 | 1,60 | 1,70 | 1,80 | 1,90 | 2,00 |
100,0 | - | 0,70 | 0,70 | 0,80 | 1,10 | 1,30 | 1,40 | 1,50 | 1,50 | 1,60 | 1,70 | 1,80 | 1,90 | 2,00 |
Таблица 7
Поля неопределенности расчета скорости
распространения звука w
p, МПа | Температура, К |
235 | 290 | 350 | 400 | 450 | 500 | 530 | 550 | 560 | 570 | 590 | 620 | 650 | 700 |
0,5 | 1,00 | 0,50 | 0,50 | 0,50 | 1,50 | 1,50 | 1,40 | 1,40 | 1,40 | 1,40 | 1,40 | 1,40 | 1,40 | 1,40 |
1,5 | 1,00 | 0,50 | 0,50 | 0,50 | 1,00 | 2,00 | 1,90 | 1,80 | 1,70 | 1,60 | 1,50 | 1,50 | 1,50 | 1,50 |
3,0 | 1,00 | 0,50 | 0,50 | 0,50 | 1,00 | 1,80 | 3,00 | 2,50 | 2,00 | 1,90 | 1,80 | 1,70 | 1,60 | 1,60 |
5,0 | 1,20 | 0,50 | 0,50 | 0,50 | 1,20 | 1,50 | 2,50 | 3,00 | 3,00 | 2,00 | 1,90 | 1,80 | 1,80 | 1,70 |
10,0 | 1,30 | 0,60 | 0,60 | 0,60 | 0,90 | 1,00 | 1,20 | 1,30 | 1,60 | 1,60 | 1,60 | 1,60 | 1,70 | 1,80 |
50,0 | - | 0,60 | 0,80 | 0,80 | 0,90 | 0,90 | 1,20 | 1,30 | 1,50 | 1,60 | 1,60 | 1,60 | 1,70 | 1,90 |
100,0 | - | 1,00 | 1,00 | 1,00 | 1,00 | 1,00 | 1,20 | 1,30 | 1,50 | 1,60 | 1,60 | 1,60 | 1,70 | 2,00 |
На рисунках Б.1 - Б.3 (см.
[1]) продемонстрированы отклонения экспериментальных данных о плотности газовой фазы, о давлении насыщенных паров, о скорости звука фторбензола от рассчитанных данных по ФУС. На рисунке Б.4 (см.
[1]) показан ход идеальных кривых фторбензола. На диаграммах Б.5 - Б.7 (см.
[1]) продемонстрированы поверхности состояния основных термодинамических свойств фторбензола, построенные по ФУС. Вид этих поверхностей свидетельствует о хороших интерполяционных и экстраполяционных свойствах фторбензола, разработанного ФУС.
5.2 Результаты оценки достоверности расчетных данных о коэффициентах переноса
Поля неопределенностей расчета коэффициентов переноса представлены в таблицах Б.8, Б.9 (см.
[1]). В настоящем стандарте - в
таблицах 8,
9. На диаграммах Б.8, Б.9 (см.
[1]), продемонстрированы поверхности состояний интерполяционных и экстраполяционных возможностей уравнений по вязкости и теплопроводности. Анализ результатов отклонений экспериментальных данных показывает, что вероятная неопределенность расчета коэффициента теплопроводности фторбензола составляет 2,0 - 2,5%. Неопределенность экспериментального определения динамической вязкости составляет 2%.
Таблица 8
Поля неопределенности расчета коэффициента
теплопроводности

p, МПа | Температура, К |
235 | 290 | 350 | 400 | 450 | 500 | 530 | 550 | 560 | 570 | 590 | 620 | 650 | 700 |
0,5 | 2,50 | 2,00 | 2,00 | 2,00 | 1,60 | 1,50 | 1,50 | 1,50 | 1,50 | 1,50 | 1,50 | 1,60 | 1,70 | 1,80 |
1,5 | 2,50 | 2,00 | 2,00 | 2,00 | 2,10 | 1,70 | 1,60 | 1,60 | 1,60 | 1,70 | 1,70 | 1,80 | 1,80 | 1,90 |
3,0 | 2,50 | 2,00 | 2,00 | 2,00 | 2,10 | 2,20 | 1,80 | 1,70 | 1,70 | 1,80 | 1,80 | 1,90 | 1,90 | 2,00 |
5,0 | 2,50 | 2,00 | 2,00 | 2,00 | 2,10 | 2,10 | 2,10 | 2,10 | 2,10 | 2,10 | 2,00 | 2,00 | 2,00 | 2,10 |
10,0 | 2,50 | 2,00 | 2,00 | 2,00 | 2,10 | 2,20 | 2,20 | 2,30 | 2,30 | 2,30 | 2,20 | 2,20 | 2,20 | 2,20 |
50,0 | - | 2,10 | 2,10 | 2,10 | 2,20 | 2,30 | 2,40 | 2,40 | 2,40 | 2,40 | 2,40 | 2,40 | 2,40 | 2,40 |
100,0 | - | 2,20 | 2,20 | 2,20 | 2,30 | 2,30 | 2,40 | 2,40 | 2,40 | 2,50 | 2,50 | 2,50 | 2,50 | 2,50 |
Таблица 9
Поля неопределенности расчета коэффициента
динамической вязкости

p, МПа | Температура, К |
235 | 290 | 350 | 400 | 450 | 500 | 530 | 550 | 560 | 570 | 590 | 620 | 650 | 700 |
0,5 | 5,00 | 2,00 | 2,00 | 2,00 | 2,00 | 2,00 | 2,00 | 2,00 | 2,00 | 2,00 | 2,00 | 2,00 | 2,00 | 2,00 |
1,5 | 5,00 | 2,00 | 2,00 | 2,00 | 2,10 | 2,20 | 2,10 | 2,10 | 2,10 | 2,10 | 2,10 | 2,10 | 2,10 | 2,10 |
3,0 | 5,00 | 2,00 | 2,00 | 2,00 | 2,00 | 2,30 | 2,20 | 2,20 | 2,20 | 2,20 | 2,20 | 2,20 | 2,20 | 2,20 |
5,0 | 5,00 | 2,00 | 2,00 | 2,00 | 2,10 | 2,50 | 3,00 | 5,00 | 5,00 | 3,00 | 2,30 | 2,30 | 2,30 | 2,30 |
10,0 | 5,00 | 2,10 | 2,10 | 2,10 | 2,20 | 2,20 | 2,50 | 3,00 | 3,00 | 2,80 | 2,70 | 2,60 | 2,60 | 2,60 |
50,0 | - | 2,20 | 2,20 | 2,20 | 2,30 | 2,30 | 2,40 | 2,40 | 2,50 | 2,50 | 2,60 | 2,70 | 2,70 | 2,80 |
100,0 | - | 2,30 | 2,30 | 2,30 | 2,40 | 2,40 | 2,50 | 2,50 | 2,60 | 2,60 | 2,70 | 2,80 | 2,90 | 3,00 |
Оценки достоверности расчетных значений теплофизических свойствах фторбензола на линии равновесия "жидкость - газ" представлены в таблице В.10 (см.
[1]). В настоящем стандарте поля неопределенности расчета теплофизических свойств фторбензола на линии равновесия "жидкость-газ" приведены в
таблице 10.
Таблица 10
Поля неопределенности расчета теплофизических свойств
фторбензола на линии равновесия "жидкость - газ"
T, К |  , % |  , % |  , % |  , % |  , % |  , % |  , % |  , % |  , % |  , % |  , % |  , % |
235 | 1,50 | 0,30 | 1,50 | 0,50 | 0,50 | 0,40 | 0,40 | 1,00 | 2,50 | 2,00 | 5,00 | 2,00 |
290 | 0,50 | 0,10 | 0,50 | 0,50 | 0,50 | 0,41 | 0,41 | 0,50 | 2,00 | 1,50 | 2,00 | 2,00 |
350 | 0,30 | 0,10 | 0,80 | 0,50 | 1,00 | 0,42 | 0,42 | 1,00 | 2,00 | 1,50 | 2,00 | 2,00 |
400 | 0,30 | 0,10 | 0,70 | 0,60 | 1,20 | 0,43 | 0,43 | 1,00 | 2,00 | 1,50 | 2,00 | 2,00 |
450 | 0,40 | 0,12 | 0,50 | 1,00 | 1,50 | 0,44 | 0,44 | 1,00 | 2,10 | 1,60 | 2,00 | 2,00 |
500 | 0,50 | 0,15 | 1,00 | 1,50 | 1,70 | 0,45 | 0,45 | 1,50 | 2,20 | 1,70 | 2,10 | 2,10 |
530 | 0,70 | 0,20 | 1,50 | 2,00 | 2,50 | 0,46 | 0,46 | 1,70 | 2,30 | 1,80 | 2,20 | 2,20 |
540 | 1,00 | 0,50 | 2,00 | 6,00 | 6,00 | 0,48 | 0,48 | 2,00 | 2,40 | 1,90 | 2,30 | 2,30 |
550 | 1,30 | 1,00 | 3,00 | 7,00 | 7,00 | 0,50 | 0,50 | 2,50 | 2,50 | 2,00 | 2,40 | 2,40 |
555 | 1,50 | 1,50 | 4,00 | 10,0 | 10,0 | 0,60 | 0,60 | 3,00 | 3,00 | 2,50 | 2,50 | 2,50 |
Итоговые значения термодинамических свойств и коэффициентов переноса фторбензола в однофазной области и на линии насыщения представлены в
[1], в таблицах стандартных справочных данных Б.3, Б.4.
| ГСССД 367-2020. Фторбензол. Теплофизические свойства (плотность, теплоемкость, энтальпия, энтропия, скорость звука, коэффициенты теплопроводности и вязкости) в диапазоне температуры от тройной точки до 700 К при давлениях до 100 МПа. - М: ФГУП "ВНИИМС", 2020. - 60 с. |
УДК 547.216:536.7:006.354 | |
Ключевые слова: государственная система обеспечения единства измерений, стандартные справочные данные, жидкий и газообразный фторбензол, термодинамические свойства, коэффициенты динамической вязкости и теплопроводности |