Главная // Актуальные документы // ГОСТ Р (Государственный стандарт)СПРАВКА
Источник публикации
М.: Стандартинформ, 2019
Примечание к документу
Документ
введен в действие с 01.03.2020.
Название документа
"ГОСТ Р 8.983-2019. Национальный стандарт Российской Федерации. Государственная система обеспечения единства измерений. Стандартные справочные данные. Теплофизические свойства жидкой воды от давления в тройной точке до 0,3 МПа при температурах от 0 °C до 100 °C"
(утв. и введен в действие Приказом Росстандарта от 07.11.2019 N 1097-ст)
"ГОСТ Р 8.983-2019. Национальный стандарт Российской Федерации. Государственная система обеспечения единства измерений. Стандартные справочные данные. Теплофизические свойства жидкой воды от давления в тройной точке до 0,3 МПа при температурах от 0 °C до 100 °C"
(утв. и введен в действие Приказом Росстандарта от 07.11.2019 N 1097-ст)
Утвержден и введен в действие
агентства по техническому
регулированию и метрологии
от 7 ноября 2019 г. N 1097-ст
НАЦИОНАЛЬНЫЙ СТАНДАРТ РОССИЙСКОЙ ФЕДЕРАЦИИ
ГОСУДАРСТВЕННАЯ СИСТЕМА ОБЕСПЕЧЕНИЯ ЕДИНСТВА ИЗМЕРЕНИЙ
СТАНДАРТНЫЕ СПРАВОЧНЫЕ ДАННЫЕ
ТЕПЛОФИЗИЧЕСКИЕ СВОЙСТВА ЖИДКОЙ ВОДЫ ОТ ДАВЛЕНИЯ В ТРОЙНОЙ
ТОЧКЕ ДО 0,3 МПа ПРИ ТЕМПЕРАТУРАХ ОТ 0 °C ДО 100 °C
State system for ensuring the uniformity of measurements.
Standard reference data. Liquid water thermiophysical
properties conditioned by the pressure at triple point
up to 0,3 MPa over the temperature range
from 0 °C to 100 °C
ГОСТ Р 8.983-2019
Дата введения
1 марта 2020 года
1 РАЗРАБОТАН Федеральным государственным унитарным предприятием "Всероссийский научно-исследовательский институт метрологической службы" (ФГУП "ВНИИМС")
2 ВНЕСЕН Техническим комитетом по стандартизации ТК 180 "Стандартные справочные данные о физических константах и свойствах веществ и материалов"
3 УТВЕРЖДЕН И ВВЕДЕН В ДЕЙСТВИЕ
Приказом Федерального агентства по техническому регулированию и метрологии от 7 ноября 2019 г. N 1097-ст
4 ВВЕДЕН ВПЕРВЫЕ
Правила применения настоящего стандарта установлены в статье 26 Федерального закона от 29 июня 2015 г. N 162-ФЗ "О стандартизации в Российской Федерации". Информация об изменениях к настоящему стандарту публикуется в ежегодном (по состоянию на 1 января текущего года) информационном указателе "Национальные стандарты", а официальный текст изменений и поправок -
в ежемесячном информационном указателе "Национальные стандарты". В случае пересмотра (замены) или отмены настоящего стандарта соответствующее уведомление будет опубликовано в ближайшем выпуске ежемесячного информационного указателя "Национальные стандарты". Соответствующая информация, уведомление и тексты размещаются также в информационной системе общего пользования -
на официальном сайте Федерального агентства по техническому регулированию и метрологии в сети Интернет (www.gost.ru)
Настоящий стандарт распространяется на стандартные справочные данные, содержащие значения плотности

, изобарной теплоемкости
cp, скорости звука
w, коэффициента динамической вязкости

и коэффициента теплопроводности

, а также статической диэлектрической проницаемости

для обычной воды в жидкой фазе и на линии фазового перехода газ-жидкость (линии насыщения) со стороны жидкости.
В настоящем стандарте использованы нормативные ссылки на следующие стандарты:
ГОСТ 8.566 Государственная система обеспечения единства измерений. Межгосударственная система данных о физических константах и свойствах веществ и материалов. Основные положения
ГОСТ Р 8.614 Государственная система обеспечения единства измерений. Государственная служба стандартных справочных данных. Основные положения
Примечание - При пользовании настоящим стандартом целесообразно проверить действие ссылочных стандартов в информационной системе общего пользования - на официальном сайте Федерального агентства по техническому регулированию и метрологии в сети Интернет или по ежегодному информационному указателю "Национальные стандарты", который опубликован по состоянию на 1 января текущего года, и по выпускам ежемесячного информационного указателя "Национальные стандарты" за текущий год. Если заменен ссылочный стандарт, на который дана недатированная ссылка, то рекомендуется использовать действующую версию этого стандарта с учетом всех внесенных в данную версию изменений. Если заменен ссылочный стандарт, на который дана датированная ссылка, то рекомендуется использовать версию этого стандарта с указанным выше годом утверждения (принятия). Если после утверждения настоящего стандарта в ссылочный стандарт, на который дана датированная ссылка, внесено изменение, затрагивающее положение, на которое дана ссылка, то это положение рекомендуется применять без учета данного изменения. Если ссылочный стандарт отменен без замены, то положение, в котором дана ссылка на него, рекомендуется применять в части, не затрагивающей эту ссылку.
В настоящем стандарте приведены стандартные справочные значения плотности

, изобарной теплоемкости
cp, скорости звука
w, коэффициента динамической вязкости

и коэффициента теплопроводности

, а также статической диэлектрической проницаемости

для обычной воды в жидкой фазе и на линии фазового перехода газ-жидкость (линии насыщения) со стороны жидкости, разработанные в соответствии с
ГОСТ Р 8.614,
ГОСТ 8.566.
Для расчета теплофизических свойств используют уравнения, которые представлены в
[1]. Эти уравнения соответствуют Международной температурной шкале 1990 г. (ITS-90).
Уравнения, приведенные в стандарте, позволяют обеспечить удобное представление теплофизических свойств, с неопределенностями, не превышающими те значения, которые дают значительно более сложные уравнения Международной ассоциации по свойствам воды и водяного пара (МАСВП), покрывающие широкие области температур и давлений.
4 Термодинамические свойства
4.1 Метод расчета
Метод расчета термодинамических свойств жидкой воды при давлении p осуществляют по следующей схеме:
- значение свойства f(T, p) определяют по соотношению
где в качестве p0 принято p0 = 0,1 МПа.
Для скорости звука зависимость f(T, p) является более сложной и определяется по соотношению
w = fw[{fi(T,p)}].
При проведении расчетов по представленным ниже формулам давление задают в паскалях (Па).
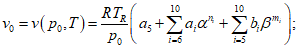
4.2 Уравнения для расчета свойств при давлении p0
Термодинамические свойства жидкой воды при давлении p0 = 0,1 МПа рассчитывают по уравнениям для удельной энергии Гиббса g, удельного объема v и изотермической производной удельного объема по давлению

(1)

(2)

(3)
где
R = 461,51805 Дж·кг
-1·К
-1,
TR = 10 К, а безразмерные коэффициенты
ai,
bi,
ci и показатели степеней
ni и
mi приведены в
таблице 1. Величины

,

и

представлены в виде
где T - температура, К: Ta = 593 К, а Tb = 232 К.
Другие термодинамические свойства получают из
уравнений (1) -
(3) при использовании соотношений термодинамики. Величины, полученные с помощью дифференцирования
уравнений (1) -
(3) и алгебраических преобразований, приведены в
таблице 2.
Таблица 1
Уравнения | i | ni | mi | ai | bi | ci |
| 1 | 4 | 2 | -1,661470539E+5 | -8,237426256E-1 | -2,452093414E+2 |
| 2 | 5 | 3 | 2,708781640E+6 | 1,908956353 | 3,869269598E+1 |
| 3 | 7 | 4 | -1,557191544E+8 | -2,017597384 | -8,983025854 |
| 4 | нет | 5 | нет | 8,546361348E-1 | - |
| 5 | нет | 1 | 1,93763157E-2 | 5,78545292E-3 | - |
| 6 | 4 | 2 | 6,74458446E+3 | -1,53195665E-2 | - |
| 7 | 5 | 3 | -2,22521604E+5 | 3,11337859E-2 | - |
| 8 | 7 | 4 | 1,00231247E+8 | -4,23546241E-2 | - |
| 9 | 8 | 5 | -1,63552118E+9 | 3,38713507E-2 | - |
| 10 | 9 | 6 | 8,32299658E+9 | -1,19946761E-2 | - |
| 11 | 1 | 1 | -7,5245878E-6 | -3,1091470E-6 | - |
| 12 | 3 | 3 | -1,3767418E-2 | 2,8964919E-5 | - |
| 13 | 5 | 4 | 1,0627293E+1 | -1,3112763E-4 | - |
| 14 | 6 | 5 | -2,0457795E+2 | 3,0410453E-4 | - |
| 15 | 7 | 6 | 1,2037414E+3 | -3,9034594E-4 | - |
| 16 | | 7 | - | 2,3403117E-4 | - |
| 17 | | 9 | - | -4,8510101E-5 | - |
Примечание - Запись yE +/- n необходимо интерпретировать как y·10+/- n. |
Таблица 2
Термодинамические свойства жидкой воды при
p0
Свойства | Соотношения |
| |
| |
| |
| |
Скорость звука | |
<*> Производные vTT0 и vpT0 нужны только для расчета термодинамических свойств при давлениях, отличающихся от p0 (таблица 3). |
4.3 Уравнения для расчета свойств при давлении p
Соотношения для расчета термодинамических свойств воды при давлениях p, отличающихся от p0, приведены в таблице 3.
Таблица 3
Соотношения для термодинамических свойств жидкой воды
при давлениях p, отличных от p0
Свойства | Соотношения |
Удельная изобарная теплоемкость | cp = cp0 - TvTT0(p - p0) |
Удельный объем | v = v0 + vp0(p - p0) |
Плотность | |
| vT = vT0 + vpT0(p - p0) |
| vp = vp0 + vpp0(p - p0), где  |
Скорость звука | |
Примечание - Размерность cp - Дж/(кг·К). |
4.4 Область применения и неопределенность расчетных значений
Уравнения для расчета термодинамических свойств используют в следующем диапазоне температур и давлений
273,15 К <= T <= 373,15 К; pt <= p <= 0,3 МПа. (5)
Для определения границ жидкой фазы используют уравнения для давлений на линиях насыщения и плавления.
Давление насыщения

рассчитывают по уравнению (6), см.
[1]

(6)
где

,
Tc = 647,096 К,
pc = 22,064 МПа;
a1 = -7,85951783, a2 = 1,84408259, a3 = -11,7866497, a4 = 22,6807411, a5 = -15,9618719, a6 = 1,80122502.
Давление плавления
pm рассчитывают по уравнению (7), см.
[1]

(7)
где

,

при
T* =
Tt = 273,16 К и
p* =
pt = 611,657 Па;
Tt и pt - это значения температуры и давления в тройной точке.
Коэффициенты ai и показатели степеней bi имеют следующий вид:
a1 = 0,119539337·107 | b1 = 0,300000·101 |
a2 = 0,808183159·105 | b2 = 0,257500·102 |
a3 = 0,333826860·104 | b3 = 0,103750·103. |
Расширенные неопределенности (с доверительной вероятностью 95%) расчетных значений термодинамических свойств: плотности

, скорости звука

и изобарной теплоемкости

определяют в соответствии с оценками, приведенными в
[1]:

- для всей области.
5.1 Уравнение для расчета при p0
Вязкость

жидкой воды при давлении
p0 рассчитывают по следующему уравнению

(8)
где

.
Коэффициенты ai и показатели степеней bi приведены в таблице 4.
Таблица 4
i | ai | bi |
1 | 280,68 | -1,9 |
2 | 511,45 | -7,7 |
3 | 61,131 | -19,6 |
4 | 0,45903 | -40,0 |
5.2 Область применения и неопределенность расчетных значений
273,15 К <= T <= 373,15 К.
Расширенные неопределенности (с доверительной вероятностью 95%) расчетных значений коэффициента динамической вязкости

определяют в соответствии с оценками, приведенными в
[1]:

.
6.1 Уравнение для расчета при p0
Теплопроводность

жидкой воды при давлении
p0 рассчитывают по следующему уравнению

(9)
где

.
Коэффициенты ci и показатели степеней di приведены в таблице 5.
Таблица 5
i | ci | di |
1 | 1,6630 | -1,15 |
2 | -1,7781 | -3,4 |
3 | 1,1567 | -6,0 |
4 | -0,432115 | -7,6 |
6.2 Область применения и неопределенность расчетных значений
273,15 К <= T <= 373,15 К.
Расширенные неопределенности (с доверительной вероятностью 95%) расчетных значений коэффициента теплопроводности

определяют в соответствии с оценками, приведенными в
[1]:

.
7 Статическая диэлектрическая проницаемость
7.1 Уравнение для расчета при p0
Статическую диэлектрическую проницаемость

жидкой воды при давлении
p0 рассчитывают по следующему уравнению

(10)
где

.
Коэффициенты ei и показатели степеней fi приведены в таблице 6.
Таблица 6
i | ei | fi |
1 | -43,7527 | -0,05 |
2 | 299,504 | -1,47 |
3 | -399,364 | -2,11 |
4 | 221,327 | -2,31 |
7.2 Область применения и неопределенность расчетных значений
| | ИС МЕГАНОРМ: примечание. В официальном тексте документа, видимо, допущена опечатка: уравнение (11) отсутствует. | |
Уравнение (11) используют в следующем температурном диапазоне
273,15 К <= T <= 373,15 К.
Расширенные неопределенности (с доверительной вероятностью 95%) расчетных значений диэлектрической проницаемости

определяют в соответствии с оценкой, приведенной в
[1]:

.
8 Расчет вязкости, теплопроводности и статической диэлектрической проницаемости при давлениях, отличных от p0
Формулы для вязкости, теплопроводности и статической диэлектрической проницаемости (
уравнения (8) -
(10)), используют для жидкой воды при любом давлении между давлением насыщенного пара и давлением, равным 0,3 МПа, без какой-либо значительной потери точности. Это означает, что изменение свойства из-за изменения давления более чем на порядок меньше, чем неопределенность самого свойства.
9 Стандартные справочные значения теплофизических свойств воды
Рассчитанные стандартные справочные значения термодинамических и переносных

свойств, а также диэлектрической проницаемости воды приведены в таблицах 7 и
8.
Таблица 7
Стандартные значения теплофизических свойств
жидкой воды на линии насыщения
t, °C |  , МПа |  , кг·м -3 |  , кДж·кг -1·К -1 | w', м·с-1 |  , мкПа·с |  , мВт·м -1·К -1 | |
0,01 | 6,1166E-04 | 999,793 | 4,2198 | 1402,3 | 1791,2 | 555,7 | 87,92 |
10 | 1,2281E-03 | 999,655 | 4,1955 | 1447,1 | 1305,9 | 578,8 | 83,96 |
20 | 2,3392E-03 | 998,162 | 4,1845 | 1482,2 | 1001,6 | 598,0 | 80,19 |
30 | 4,2469E-03 | 995,606 | 4,1802 | 1509,0 | 797,2 | 614,4 | 76,60 |
40 | 7,3851E-03 | 992,175 | 4,1796 | 1528,7 | 652,7 | 628,5 | 73,18 |
50 | 1,2352E-02 | 987,996 | 4,1814 | 1542,4 | 546,5 | 640,6 | 69,93 |
60 | 1,9947E-02 | 983,160 | 4,1851 | 1550,8 | 466,0 | 651,0 | 66,82 |
70 | 3,1202E-02 | 977,734 | 4,1903 | 1554,6 | 403,5 | 659,8 | 63,86 |
80 | 4,7416E-02 | 971,766 | 4,1970 | 1554,3 | 354,0 | 667,0 | 61,02 |
90 | 7,0183E-02 | 965,295 | 4,2053 | 1550,4 | 314,2 | 672,8 | 58,32 |
100 | 1,0142E-01 | 958,349 | 4,2156 | 1543,2 | 281,6 | 677,2 | 55,73 |
Таблица 8
Стандартные значения теплофизических свойств
жидкой воды в однофазной области
p, МПа |  , кг·м -3 | cp, кДж·кг-1·К-1 | w, м·с-1 |  , мкПа·с |  , мВт·м -1·К -1 | |
t = 0,0 °C |
| 999,860 | 4,2191 | 1402,4 | 1791,8 | 555,6 | 87,93 |
0,2 | 999,893 | 4,2188 | 1402,5 | 1791,8 | 555,6 | 87,93 |
0,3 | 999,944 | 4,2183 | 1402,6 | 1791,8 | 555,6 | 87,93 |
t = 10,0 °C |
0,1 | 999,702 | 4,1951 | 1447,3 | 1305,9 | 578,8 | 83,96 |
0,2 | 999,750 | 4,1948 | 1447,4 | 1305,9 | 578,8 | 83,96 |
0,3 | 999,797 | 4,1944 | 1447,6 | 1305,9 | 578,8 | 83,96 |
t = 20,0 °C |
0,1 | 998,207 | 4,1842 | 1482,3 | 1001,6 | 598 | 80,19 |
0,2 | 998,252 | 4,1839 | 1482,5 | 1001,6 | 598 | 80,19 |
0,3 | 998,298 | 4,1836 | 1482,7 | 1001,6 | 598 | 80,19 |
t = 30,0 °C |
0,1 | 995,649 | 4,1799 | 1509,2 | 797,2 | 614,4 | 76,6 |
0,2 | 995,693 | 4,1796 | 1509,3 | 797,2 | 614,4 | 76,6 |
0,3 | 995,738 | 4,1794 | 1509,5 | 797,2 | 614,4 | 76,6 |
t = 40,0 °C |
0,1 | 992,216 | 4,1794 | 1528,9 | 652,7 | 628,5 | 73,18 |
0,2 | 992,260 | 4,1791 | 1529,1 | 652,7 | 628,5 | 73,18 |
0,3 | 992,304 | 4,1789 | 1529,3 | 652,7 | 628,5 | 73,18 |
t = 50,0 °C |
0,1 | 988,035 | 4,1812 | 1542,6 | 546,5 | 640,6 | 69,93 |
0,2 | 988,078 | 4,1810 | 1542,8 | 546,5 | 640,6 | 69,93 |
0,3 | 988,122 | 4,1808 | 1543,0 | 546,5 | 640,6 | 69,93 |
t = 60,0 °C |
0,1 | 983,195 | 4,1849 | 1551,0 | 466,0 | 651 | 66,82 |
0,2 | 983,239 | 4,1847 | 1551,2 | 466,0 | 651 | 66,82 |
0,3 | 983,283 | 4,1845 | 1551,4 | 466,0 | 651 | 66,82 |
t = 70,0 °C |
0,1 | 977,764 | 4,1901 | 1554,7 | 403,5 | 659,8 | 63,86 |
0,2 | 977,808 | 4,1899 | 1554,9 | 403,5 | 659,8 | 63,86 |
0,3 | 977,852 | 4,1897 | 1555,1 | 403,5 | 659,8 | 63,86 |
t = 80,0 °C |
0,1 | 971,790 | 4,1969 | 1554,4 | 354,0 | 667 | 61,02 |
0,2 | 971,835 | 4,1966 | 1554,6 | 354,0 | 667 | 61,02 |
0,3 | 971,879 | 4,1964 | 1554,8 | 354,0 | 667 | 61,02 |
t = 90,0 °C |
0,1 | 965,309 | 4,2052 | 1550,4 | 314,2 | 672,8 | 58,32 |
0,2 | 965,355 | 4,205 | 1550,6 | 314,2 | 672,8 | 58,32 |
0,3 | 965,401 | 4,2048 | 1550,8 | 314,2 | 672,8 | 58,32 |
t= 100,0 °C |
0,2 | 958,395 | 4,2153 | 1543,3 | 281,6 | 677,2 | 55,73 |
0,3 | 958,442 | 4,2151 | 1543,4 | 281,6 | 677,2 | 55,73 |
<*> Значение давления рассчитано на линии плавления-затвердевания по уравнению (7). |
| ГСССД 355-2019 | Таблицы стандартных справочных данных. Теплофизические свойства жидкой воды от давления в тройной точке до 0,3 МПа при температурах от 0 °C до 100 °C. - М: ФГУП "ВНИИМС", 2019. - 18 с. |
УДК 546.212; 536.71:006.354 | |
Ключевые слова: Государственная система обеспечения единства измерений, стандартные справочные данные, жидкая вода, термодинамические свойства, коэффициенты динамической вязкости и теплопроводности и статическая диэлектрическая проницаемость |