Главная // Актуальные документы // ГОСТ Р (Государственный стандарт)СПРАВКА
Источник публикации
М.: Стандартинформ, 2019
Примечание к документу
Документ
введен в действие с 01.03.2020.
Название документа
"ГОСТ Р 8.981-2019. Национальный стандарт Российской Федерации. Государственная система обеспечения единства измерений. Стандартные справочные данные. Этан жидкий и газообразный. Термодинамические свойства, коэффициенты динамической вязкости и теплопроводности при температурах от 91 К до 675 К и давлениях до 100 МПа"
(утв. и введен в действие Приказом Росстандарта от 07.11.2019 N 1095-ст)
"ГОСТ Р 8.981-2019. Национальный стандарт Российской Федерации. Государственная система обеспечения единства измерений. Стандартные справочные данные. Этан жидкий и газообразный. Термодинамические свойства, коэффициенты динамической вязкости и теплопроводности при температурах от 91 К до 675 К и давлениях до 100 МПа"
(утв. и введен в действие Приказом Росстандарта от 07.11.2019 N 1095-ст)
Утвержден и введен в действие
по техническому регулированию
и метрологии
от 7 ноября 2019 г. N 1095-ст
НАЦИОНАЛЬНЫЙ СТАНДАРТ РОССИЙСКОЙ ФЕДЕРАЦИИ
ГОСУДАРСТВЕННАЯ СИСТЕМА ОБЕСПЕЧЕНИЯ ЕДИНСТВА ИЗМЕРЕНИЙ
СТАНДАРТНЫЕ СПРАВОЧНЫЕ ДАННЫЕ
ЭТАН ЖИДКИЙ И ГАЗООБРАЗНЫЙ. ТЕРМОДИНАМИЧЕСКИЕ СВОЙСТВА,
КОЭФФИЦИЕНТЫ ДИНАМИЧЕСКОЙ ВЯЗКОСТИ И ТЕПЛОПРОВОДНОСТИ
ПРИ ТЕМПЕРАТУРАХ ОТ 91 К ДО 675 К И ДАВЛЕНИЯХ ДО 100 МПа
State system for ensuring the uniformity of measurements.
Standard reference data. Liquid and gaseous ethane.
Thermodynamic properties, dynamic viscosity and thermal
conductivity at temperatures from 91 K up to 675 K
and pressures up to 100 MPa
ГОСТ Р 8.981-2019
Дата введения
1 марта 2020 года
1 РАЗРАБОТАН Федеральным государственным унитарным предприятием "Всероссийский научно-исследовательский институт метрологической службы" (ФГУП "ВНИИМС")
2 ВНЕСЕН Техническим комитетом по стандартизации ТК 180 "Стандартные справочные данные о физических константах и свойствах веществ и материалов"
3 УТВЕРЖДЕН И ВВЕДЕН В ДЕЙСТВИЕ
Приказом Федерального агентства по техническому регулированию и метрологии от 7 ноября 2019 г. N 1095-ст
4 ВВЕДЕН ВПЕРВЫЕ
Правила применения настоящего стандарта установлены в статье 26 Федерального закона от 29 июня 2015 г. N 162-ФЗ "О стандартизации в Российской Федерации". Информация об изменениях к настоящему стандарту публикуется в ежегодном (по состоянию на 1 января текущего года) информационном указателе "Национальные стандарты", а официальный текст изменений и поправок - в ежемесячном информационном указателе "Национальные стандарты". В случае пересмотра (замены) или отмены настоящего стандарта соответствующее уведомление будет опубликовано в ближайшем выпуске ежемесячного информационного указателя "Национальные стандарты". Соответствующая информация, уведомление и тексты размещаются также в информационной системе общего пользования - на официальном сайте Федерального агентства по техническому регулированию и метрологии в сети Интернет (www.gost.ru)
Настоящий стандарт распространяется на жидкий и газообразный этан и устанавливает методы расчетного определения значений стандартных справочных данных по плотности

, энтальпии
h, энтропии
s, изобарной теплоемкости
cp, изохорной теплоемкости
cv, скорости звука
w, коэффициента динамической вязкости

и коэффициента теплопроводности

для этана как в однофазных областях (газ, жидкость и флюид), так и на линии фазового перехода газ - жидкость (линии насыщения), а также значений давления насыщения
ps.
В настоящем стандарте использованы нормативные ссылки на следующие стандарты:
ГОСТ 8.566 Государственная система обеспечения единства измерений. Межгосударственная система данных о физических константах и свойствах веществ и материалов. Основные положения
ГОСТ Р 8.614 Государственная система обеспечения единства измерений. Государственная служба стандартных справочных данных. Основные положения
Примечание - При пользовании настоящим стандартом целесообразно проверить действие ссылочных стандартов в информационной системе общего пользования - на официальном сайте Федерального агентства по техническому регулированию и метрологии в сети Интернет или по ежегодному информационному указателю "Национальные стандарты", который опубликован по состоянию на 1 января текущего года, и по выпускам ежемесячного информационного указателя "Национальные стандарты" за текущий год. Если заменен ссылочный стандарт, на который дана недатированная ссылка, то рекомендуется использовать действующую версию этого стандарта с учетом всех внесенных в данную версию изменений. Если заменен ссылочный стандарт, на который дана датированная ссылка, то рекомендуется использовать версию этого стандарта с указанным выше годом утверждения (принятия). Если после утверждения настоящего стандарта в ссылочный стандарт, на который дана датированная ссылка, внесено изменение, затрагивающее положение, на которое дана ссылка, то это положение рекомендуется применять без учета данного изменения. Если ссылочный стандарт отменен без замены, то положение, в котором дана ссылка на него, рекомендуется применять в части, не затрагивающей эту ссылку.
Стандартные справочные значения (
ГОСТ Р 8.614,
ГОСТ 8.566)

,
h,
s,
cp,
cv,
w и
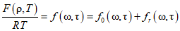
ps рассчитаны по единому для жидкой и газовой фаз фундаментальному уравнению состояния (ФУС) - зависимости свободной энергии (функции Гельмгольца)
F от плотности

и температуры
T

, (1)
где f, f0 и fr - безразмерные полная свободная энергия, идеально-газовая и неидеальная составляющие свободной энергии, соответственно;

- относительная плотность,


- относительная температура,

Значения плотности

и температуры (
Tкр) этана в критической точке приведены в
таблице А.1 приложения А.
Уравнение для идеально-газовой составляющей свободной энергии имеет следующий вид

. (2)
Уравнение для неидеальной составляющей свободной энергии имеет следующий вид

, (3)
где

(4)
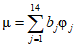
В
формулах (3) и
(4) bj - коэффициенты уравнения состояния, значения которых вместе с показателями степеней
rj,
tj,
Ij и параметрами
gj,

,

,

,

приведены в
таблице А.2 приложения А.
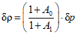
Плотность

в однофазных областях при заданных значениях давления (
p) и температуры (
T) определяют из решения следующего уравнения

, (5)
где

;

.
Значения давления (
pкр) и фактора сжимаемости (
zкр) в критической точке, а также газовой постоянной (
R) этана приведены в
таблице А.1 приложения А.
Плотности газовой

и жидкой

фаз на линии насыщения при заданной температуре
T определяются из условий фазового равновесия в результате решения следующей системы уравнений:

(6)
где

- безразмерная неидеальная составляющая изобарно-изотермического потенциала (потенциала Гиббса)

. (7)
Давление на линии насыщения
ps определяют по
формуле (5) для

.
Энтальпию, энтропию, изобарную, изохорную теплоемкости и скорость звука как в однофазных областях (для
T и

), так и на линии насыщения (для
T,

или
T,

) вычисляют по следующим формулам:
h = h0 + A3RT; (8)
s = s0 + RA4; (9)
cp =
cv +
R(1 +
A2)
2/(1 +
A1); (10)
w = [10
3RTcp(1 +
A1)/
cv]
0,5, (12)
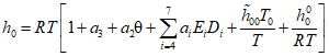
где h0, s0, cv0 - энтальпия, энтропия и изохорная теплоемкость в идеально-газовом состоянии.
Термодинамические свойства в идеально-газовом состоянии определяют по формулам, полученным из

:

; (13)

; (14)

, (15)
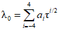
где

;
Ei и
Di - функции от

, имеющие следующий вид

. (16)
Коэффициенты {
ai} в
выражениях (13) -
(15) и параметры

в
(16), а также значения безразмерных энтальпии

и энтропии

при температуре
T0 и

- теплоты сублимации равновесного кристалла при
T = 0 К
[1] приведены в
таблице А.3 приложения А.
Комплексы
A0 -
A5 в
формулах (5) -
(12) определяют по следующим соотношениям, полученным из
fr с использованием известных дифференциальных уравнений термодинамики

; (17)

; (18)

; (19)

; (20)

; (21)

, (22)
где

; (23)

; (24)

; (25)

. (26)
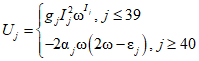
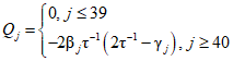
Стандартные справочные значения коэффициента динамической вязкости этана рассчитаны по следующему уравнению

, (27)
где

. (28)
В
формулах (27),
(28) bj - коэффициенты уравнения динамической вязкости, значения которых вместе с показателями степеней
rj,
tj и параметрами
gj,

,

приведены в
таблице А.4 приложения А.
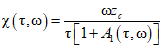
Стандартные справочные значения коэффициента теплопроводности этана рассчитаны по следующему уравнению

, (29)
где

,

и

- соответственно, коэффициент теплопроводности этана в разреженном состоянии, избыточная по отношению к

составляющая коэффициента теплопроводности и неаналитическая (аномальная) составляющая коэффициента теплопроводности. Значения

и

определяются по уравнениям из
[1]; значения

(в отличие от
[1]) определяются по упрощенной кроссоверной модели:

; (30)

, (31)
где

,

.

(32)

; (33)

; (34)

; (35)

; (36)

. (37)
Значения коэффициентов {
ai} и {
bij}
уравнений (30,
31) приведены в
таблицах А.5,
А.6. Универсальные теоретически обоснованные постоянные
kB = 1,380658·10
-2;
R0 = 1,03;
v = 0,63;

. Значения подгоночных параметров для этана

, Г,
qD,
Tref и

приведены в
таблице А.1 приложения А. В
выражениях (32),
(35) -
(37) теплоемкости
cp,
cv и расчетный комплекс
A1 определяются по
формулам (10),
(11) и
(18), соответственно; коэффициент динамической вязкости

определяется по
формулам (27,
28).
Рассчитанные стандартные справочные значения термодинамических и переносных

свойств этана на линии насыщения приведены в
таблице Б.2 приложения Б, а в однофазных областях - в
таблице В.1 приложения В.
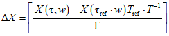
Расширенные неопределенности (с доверительной вероятностью 95%) расчетных значений термодинамических свойств: плотности

, скорости звука

, изохорной

и изобарной

теплоемкостей определяются в соответствии с оценками, приведенными в
[1].
Для околокритической области авторы работы
[1] вместо

приводят значения

, поэтому значения

определяются в соответствии с теорией переноса ошибок по формуле

. (38)
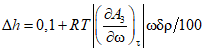
Расширенные неопределенности расчетных значений энтальпии

и энтропии

определяются в соответствии с теорией переноса ошибок через

по следующим выражениям:

, кДж/кг; (39)

, %. (40)
4 Расширенные неопределенности расчетных значений стандартных справочных данных по свойствам этана
Расширенные неопределенности (с доверительной вероятностью 95%) расчетных значений свойств переноса: коэффициента динамической вязкости

и коэффициента теплопроводности

определяются в соответствии с оценками, приведенными в
[1].
Расширенные неопределенности расчетных значений стандартных справочных данных этана представлены в
таблицах Б.2 приложения Б и
В.1 приложения В, где для всех теплофизических свойств, кроме энтальпии, приведены относительные величины неопределенностей

, %; для энтальпии приведена абсолютная величина

, кДж/кг.
(обязательное)
ОСНОВНЫЕ ФИЗИЧЕСКИЕ ПАРАМЕТРЫ И КОЭФФИЦИЕНТЫ УРАВНЕНИЙ
ДЛЯ ОПРЕДЕЛЕНИЯ ЗНАЧЕНИЙ СТАНДАРТНЫХ СПРАВОЧНЫХ
ДАННЫХ ПО СВОЙСТВАМ ЭТАНА
Таблица А.1
Основные физические параметры этана
Физический параметр, размерность | Значение |
Молярная масса M, кг/кмоль | 30,06904 |
Газовая постоянная R, кДж/(кг·К) | 0,27651272 |
Параметры в тройной точке: | |
давление pt, МПа | 1,14·10-6 |
температура Tt, К | 90,368 |
Параметры в критической точке: | |
давление pкр, МПа | 4,8722 |
температура Tкр, К | 305,322 |
плотность  , кг/м 3 | 206,18 |
фактор сжимаемости zкр | 0,279901586 |
Параметры потенциала Леннарда - Джонса: | |
энергетический  , К | 264,7 |
Параметры для расчета  : | |
 , нм | 0,19 |
Г | 0,0541 |
qD, нм | 0,40 |
Tref, К | 457,983 |
Таблица А.2
Коэффициенты, показатели степеней и параметры уравнения
для неидеальной составляющей ФУС этана
j | bj | rj | tj | gj | Ij | | | | |
1 | 0,83440745735241 | 1 | 0,25 | 0 | 0 | - | - | - | - |
2 | -0,14287360607171·101 | 1 | 1 | 0 | 0 | - | - | - | - |
3 | 0,34430242210927 | 2 | 0,25 | 0 | 0 | - | - | - | - |
4 | -0,42096677920265 | 2 | 0,75 | 0 | 0 | - | - | - | - |
5 | 0,12094500886549 10-1 | 4 | 0,75 | 0 | 0 | - | - | - | - |
6 | -0,57976201597341 | 1 | 2 | -1 | 1 | - | - | - | - |
7 | -0,33127037870838 10-1 | 1 | 4,25 | -1 | 1 | - | - | - | - |
8 | -0,11751654894130 | 2 | 0,75 | -1 | 1 | - | - | - | - |
9 | -0,11160957833067 | 2 | 2,25 | -1 | 1 | - | - | - | - |
10 | 0,62181592654406 10-1 | 3 | 3 | -1 | 1 | - | - | - | - |
11 | 0,98481795434443 10-1 | 6 | 1 | -1 | 1 | - | - | - | - |
12 | -0,98268582682358 10-1 | 6 | 1,25 | -1 | 1 | - | - | - | - |
13 | -0,23977831007049 10-3 | 7 | 2,75 | -1 | 1 | - | - | - | - |
14 | 0,69885663328821 10-3 | 9 | 1 | -1 | 1 | - | - | - | - |
15 | 0,19665987803305 10-4 | 10 | 2 | -1 | 1 | - | - | - | - |
16 | -0,14586152207928 10-1 | 2 | 2,5 | -1 | 2 | - | - | - | - |
17 | 0,46354100536781 10-1 | 4 | 5,5 | -1 | 2 | - | - | - | - |
18 | 0,60764622180645 10-2 | 4 | 7 | -1 | 2 | - | - | - | - |
19 | -0,26447330147828 10-2 | 5 | 0,5 | -1 | 2 | - | - | - | - |
20 | -0,42931872689904 10-1 | 5 | 5,5 | -1 | 2 | - | - | - | - |
21 | 0,29987786517263 10-2 | 6 | 2,5 | -1 | 2 | - | - | - | - |
22 | 0,52919335175010 10-2 | 8 | 4 | -1 | 2 | - | - | - | - |
23 | -0,10383897798198 10-2 | 9 | 2 | -1 | 2 | - | - | - | - |
24 | -0,54260348214694 10-1 | 2 | 10 | -1 | 3 | - | - | - | - |
25 | -0,21959362918493 | 3 | 16 | -1 | 3 | - | - | - | - |
26 | 0,35362456650354 | 3 | 18 | -1 | 3 | - | - | - | - |
27 | -0,12477390173714 | 3 | 20 | -1 | 3 | - | - | - | - |
28 | 0,18425693591517 | 4 | 14 | -1 | 3 | - | - | - | - |
29 | -0,16192256436754 | 4 | 18 | -1 | 3 | - | - | - | - |
30 | -0,82770876149064 10-1 | 5 | 12 | -1 | 3 | - | - | - | - |
31 | 0,50160758096437 10-1 | 5 | 19 | -1 | 3 | - | - | - | - |
32 | 0,93614326336655 10-2 | 6 | 7 | -1 | 3 | - | - | - | - |
33 | -0,27839186242864 10-3 | 11 | 15 | -1 | 3 | - | - | - | - |
34 | 0,23560274071481 10-4 | 14 | 9 | -1 | 3 | - | - | - | - |
35 | 0,39238329738527 10-2 | 3 | 26 | -1 | 4 | - | - | - | - |
36 | -0,76488325813618 10-3 | 3 | 28 | -1 | 4 | - | - | - | - |
37 | -0,49944304440730 10-2 | 4 | 28 | -1 | 4 | - | - | - | - |
38 | 0,18593386407186 10-2 | 8 | 22 | -1 | 4 | - | - | - | - |
39 | -0,61404353331199 10-3 | 10 | 13 | -1 | 4 | - | - | - | - |
40 | -0,23312179367924 10-2 | 1 | 0 | -1 | 2 | 15 | 150 | 1 | 1,05 |
41 | 0,29301047908760 10-2 | 1 | 3 | -1 | 2 | 15 | 150 | 1 | 1,05 |
42 | -0,26912472842883 10-3 | 3 | 3 | -1 | 2 | 15 | 150 | 1 | 1,05 |
43 | 0,18413834111814 103 | 3 | 0 | -1 | 2 | 20 | 275 | 1 | 1,22 |
44 | -0,10397127984854 102 | 2 | 3 | -1 | 2 | 20 | 400 | 1 | 1,16 |
Таблица А.3
для термодинамических свойств этана в идеально-газовом
состоянии, энтальпия сублимации при T = 0 К, безразмерные
энтальпия и энтропия при T0 = 298,15 К
i | ai | |
1 | 9,212802589 | - |
2 | -4,682248550 | - |
3 | 3,003039265 | - |
4 | 1,117433359 | 1,4091052332 |
5 | 3,467773215 | 4,0099170712 |
6 | 6,941944640 | 6,5967098342 |
7 | 5,970850948 | 13,9798102659 |
|
Таблица А.4
Коэффициенты, показатели степеней и параметры уравнения
для коэффициента динамической вязкости этана
j | bj | rj | tj | gj | | |
1 | 9,6634694892149 | 0 | -1 | 0 | - | - |
2 | -2,2985582151676 10-1 | 0 | -3 | 0 | - | - |
3 | 6,6687966976352 | 1 | 0 | 0 | - | - |
4 | -4,6983342709702 | 1 | 1 | 0 | - | - |
5 | 1,9688847427047 101 | 2 | 0 | 0 | - | - |
6 | -9,5399537393789 | 2 | 1 | 0 | - | - |
7 | 6,3640646131666 10-2 | 7 | 0 | 0 | - | - |
8 | 7,9981217444542 10-3 | 8 | 1 | 0 | - | - |
9 | 7,0489675750657 10-8 | 17 | 3 | 0 | - | - |
10 | -2,2734655865556 101 | 3 | 0 | -1 | - | - |
11 | 2,2124096051632 101 | 3 | 2 | -1 | - | - |
12 | -3,0986358885564 10-1 | 3 | 5 | -1 | - | - |
13 | 6,4034200732045 10-1 | 1 | 1 | 0 | 90 | 100 |
14 | 7,0437620805249 10-1 | 1 | 1 | 0 | 50 | 250 |
Таблица А.5
I | |
-4 | 0,427991755 101 |
-3 | -0,562964648 102 |
-2 | 0,314495616 103 |
-1 | -0,968080570 103 |
0 | 0,175632364 104 |
1 | -0,186476233 104 |
2 | 0,107359347 104 |
3 | -0,258465947 103 |
4 | 0,213968254 102 |
Таблица А.6
i | bij |
j = 0 | j = 1 | j = 2 |
1 | 1,1795365 | -1,5320900 | 2,0159682 |
2 | 3,1188977 | -4,7166037 | 0,0 |
3 | -8,3572937 10-1 | 1,4575942 | 0,0 |
4 | 8,5729762 10-2 | -1,6354312 10-1 | 0,0 |
5 | -3,5751570 10-3 | 7,9301012 10-3 | -1,6496369 10-4 |
6 | 4,9626960 10-5 | -1,3652796 10-4 | 6,6052581 10-6 |
(обязательное)
ТАБЛИЦЫ КОНТРОЛЬНЫХ СТАНДАРТНЫХ ЗНАЧЕНИЙ ТЕПЛОФИЗИЧЕСКИХ
СВОЙСТВ ЭТАНА НА КРИВОЙ НАСЫЩЕНИЯ
Таблица Б.1
Обозначения и размерности теплофизических свойств и их
Наименование | Обозначение | Размерность |
Температура | T | К |
Давление | P | МПа |
Давление насыщения | ps | МПа |
Плотность | | кг/м3 |
Энтальпия | h | кДж/кг |
Энтропия | s | кДж/(кг·К) |
Изохорная теплоемкость | cv | кДж/(кг·К) |
Изобарная теплоемкость | cp | кДж/(кг·К) |
Скорость звука | w | м/с |
Коэффициент динамической вязкости | | мкПа·с |
Коэффициент теплопроводности | | мВт/(м·К) |
Относительная неопределенность теплофизических свойств, исключая энтальпию | | % |
Абсолютная неопределенность энтальпии | | кДж/кг |
Примечание - В таблице Б.2, где представлены контрольные стандартные значения теплофизических свойств ( A) этана на кривой насыщения, обозначения A' и A" - свойства насыщенной жидкости и насыщенного пара, соответственно. |
Таблица Б.2
Контрольные стандартные значения теплофизических свойств
этана на кривой насыщения
T | ps | | | h' | h" | s' | s" | | |
| | | | | | | | |
91,00 | 0,13473·10-5 | 650,83 | 0,53543·10-4 | 476,0 | 1070,0 | 2,5793 | 9,1072 | 1,600 | 0,893 |
| 0,02 | 0,02 | 0,03 | 0,6 | 0,1 | 0,06 | 0,01 | 2,0 | 0,2 |
100,00 | 0,11081·10-4 | 640,95 | 0,40074·10-3 | 496,6 | 1080,6 | 2,7961 | 8,6357 | 1,541 | 0,911 |
| 0,02 | 0,02 | 0,03 | 0,5 | 0,1 | 0,05 | 0,01 | 2,0 | 0,2 |
150,00 | 0,96380·10-2 | 585,17 | 0,23373 | 611,3 | 1141,7 | 3,7247 | 7,2608 | 1,442 | 1,027 |
| 0,02 | 0,02 | 0,03 | 0,3 | 0,1 | 0,03 | 0,01 | 2,0 | 0,2 |
200,00 | 0,21723 | 523,98 | 0,41705·101 | 732,0 | 1199,9 | 4,4159 | 6,7553 | 1,444 | 1,179 |
| 0,02 | 0,02 | 0,03 | 0,2 | 0,1 | 0,02 | 0,01 | 2,0 | 0,2 |
250,00 | 0,13008·101 | 448,05 | 0,23591·102 | 867,8 | 1240,2 | 5,0106 | 6,5000 | 1,533 | 1,448 |
| 0,02 | 0,02 | 0,03 | 0,1 | 0,1 | 0,02 | 0,01 | 2,0 | 0,2 |
300,00 | 0,43573·101 | 303,51 | 0,11450·103 | 1058,1 | 1207,8 | 5,6684 | 6,1674 | 1,912 | 2,089 |
| 0,02 | 0,02 | 0,12 | 0,1 | 0,3 | 0,01 | 0,02 | 5,0 | 5,0 |
305,00 | 0,48392·101 | 241,96 | 0,17075·103 | 1107,7 | 1161,2 | 5,8264 | 6,0019 | 2,470 | 2,623 |
| 0,02 | 0,87 | 1,67 | 1,4 | 2,8 | 0,08 | 0,16 | 5,0 | 5,0 |
Окончание таблицы Б.2
T | | | w' | w" | | | | |
| | | | | | | |
91,00 | 2,321 | 1,169 | 2004,1 | 181,5 | 1258,0 | 2,87 | - | - |
| 2,0 | 0,2 | 0,15 | 0,04 | 4,0 | 6,0 | - | - |
100,00 | 2,283 | 1,187 | 1938,4 | 189,9 | 890,0 | 3,16 | 239,4 | 2,81 |
| 2,0 | 0,2 | 0,15 | 0,04 | 4,0 | 6,0 | 3,0 | 5,0 |
150,00 | 2,333 | 1,312 | 1575,5 | 228,8 | 269,3 | 4,72 | 201,7 | 6,15 |
| 2,0 | 0,2 | 0,15 | 0,04 | 4,0 | 6,0 | 3,0 | 5,0 |
200,00 | 2,512 | 1,537 | 1196,0 | 252,3 | 138,8 | 6,26 | 150,4 | 10,62 |
| 2,0 | 0,2 | 0,15 | 0,02 | 4,0 | 6,0 | 3,0 | 5,0 |
250,00 | 2,994 | 2,160 | 788,3 | 248,8 | 78,3 | 8,01 | 105,8 | 16,93 |
| 2,0 | 0,2 | 0,15 | 0,02 | 4,0 | 6,0 | 4,0 | 4,0 |
300,00 | 10,022 | 13,299 | 274,9 | 200,5 | 34,7 | 13,39 | 72,5 | 46,79 |
| 5,0 | 5,0 | 2,00 | 2,00 | 4,0 | 1,5 | 5,0 | 5,0 |
305,00 | 164,093 | 247,460 | 175,1 | 178,8 | 25,7 | 17,94 | 106,8 | 122,80 |
| 5,0 | 5,0 | 2,00 | 2,00 | 4,0 | 1,5 | 5,0 | 5,0 |
(обязательное)
ТАБЛИЦЫ КОНТРОЛЬНЫХ СТАНДАРТНЫХ ЗНАЧЕНИЙ ТЕПЛОФИЗИЧЕСКИХ
СВОЙСТВ ЭТАНА В ОДНОФАЗНОЙ ОБЛАСТИ
Таблица В.1
Контрольные стандартные значения теплофизических свойств
этана в однофазной области
p | | h | s | cv | cp | w | | |
| | | | | | | | |
T = 91,0 К |
0,1 | 650,87 | 476,1 | 2,5790 | 1,600 | 2,321 | 2004,5 | 1258,97 | - |
| 0,02 | 0,6 | 0,06 | 3,0 | 3,0 | 0,15 | 6,0 | - |
T = 200,0 К |
0,1 | 1,8557 | 1205,4 | 6,9892 | 1,149 | 1,457 | 257,9 | 6,26 | 10,42 |
| 0,03 | 0,1 | 0,01 | 0,2 | 0,2 | 0,04 | 6,0 | 5,0 |
50,0 | 566,40 | 787,1 | 4,2366 | 1,504 | 2,308 | 1550,2 | 200,46 | 191,27 |
| 0,30 | 3,3 | 0,19 | 5,0 | 5,0 | 1,00 | 6,0 | 3,0 |
100,0 | 593,30 | 848,8 | 4,1146 | 1,557 | 2,255 | 1772,9 | 259,78 | - |
| 1,00 | 16,3 | 0,68 | 5,0 | 5,0 | 1,00 | 6,0 | - |
T = 300,0 К |
0,1 | 1,2144 | 1364,7 | 7,6309 | 1,479 | 1,764 | 312,2 | 9,29 | 21,82 |
| 0,03 | 0,1 | 0,01 | 0,2 | 0,2 | 0,02 | 0,5 | 2,0 |
50,0 | 475,51 | 1029,8 | 5,2170 | 1,702 | 2,577 | 1097,3 | 95,23 | 131,33 |
| 1,00 | 3,5 | 0,30 | 5,0 | 5,0 | 1,00 | 4,0 | 4,0 |
100,0 | 521,82 | 1083,1 | 5,0617 | 1,749 | 2,461 | 1405,6 | 134,34 | - |
| 1,00 | 8,7 | 0,37 | 5,0 | 5,0 | 1,00 | 6,0 | - |
T = 400,0 К |
0,1 | 0,90674 | 1561,7 | 8,1947 | 1,901 | 2,181 | 355,2 | 12,16 | 36,84 |
| 0,04 | 0,1 | 0,01 | 0,2 | 0,2 | 0,02 | 0,5 | 2,0 |
50,0 | 386,53 | 1305,4 | 6,0074 | 2,052 | 2,931 | 808,2 | 57,61 | 101,33 |
| 1,00 | 0,7 | 0,18 | 2,0 | 2,0 | 1,00 | 4,0 | 4,0 |
100,0 | 457,76 | 1344,9 | 5,8125 | 2,088 | 2,781 | 1159,1 | 88,90 | - |
| 1,00 | 4,9 | 0,24 | 5,0 | 5,0 | 1,00 | 6,0 | - |
T = 500,0 К |
0,1 | 0,72420 | 1800,8 | 8,7264 | 2,315 | 2,594 | 393,1 | 14,83 | 54,17 |
| 0,04 | 0,1 | 0,01 | 0,5 | 0,5 | 0,10 | 0,5 | 2,0 |
50,0 | 310,39 | 1613,2 | 6,6931 | 2,425 | 3,209 | 675,7 | 42,21 | 92,36 |
| 1,00 | 0,3 | 0,12 | 2,0 | 2,0 | 1,00 | 4,0 | 4,0 |
100,0 | 402,26 | 1639,4 | 6,4684 | 2,455 | 3,105 | 1013,4 | 67,56 | - |
| 1,00 | 3,1 | 0,17 | 5,0 | 5,0 | 1,00 | 6,0 | - |
T = 600,0 К |
0,1 | 0,60305 | 2079,2 | 9,2330 | 2,689 | 2,967 | 427,6 | 17,26 | 72,75 |
| 0,10 | 0,1 | 0,01 | 0,5 | 0,5 | 0,10 | 0,5 | 3,0 |
50,0 | 254,44 | 1945,3 | 7,2980 | 2,773 | 3,429 | 635,8 | 36,11 | 99,38 |
| 1,00 | 0,4 | 0,09 | 2,0 | 2,0 | 1,00 | 6,0 | 4,0 |
100,0 | 355,97 | 1964,7 | 7,0608 | 2,800 | 3,396 | 934,4 | 56,50 | - |
| 1,00 | 2,2 | 0,13 | 5,0 | 5,0 | 1,00 | 6,0 | - |
T = 675,0 К |
0,1 | 0,53589 | 2311,3 | 9,5973 | 2,942 | 3,219 | 451,9 | 18,89 | 87,04 |
| 0,10 | 0,1 | 0,01 | 0,5 | 0,5 | 0,10 | 6,0 | 3,0 |
50,0 | 223,82 | 2208,5 | 7,7111 | 3,011 | 3,589 | 633,1 | 34,18 | 109,63 |
| 1,00 | 0,4 | 0,08 | 2,0 | 2,0 | 1,00 | 6,0 | 5,0 |
100,0 | 326,93 | 2226,9 | 7,4722 | 3,036 | 3,592 | 902,3 | 51,61 | - |
| 1,00 | 1,9 | 0,11 | 5,0 | 5,0 | 1,00 | 6,0 | - |
| ГСССД 318-2017 | Таблицы стандартных справочных данных. Этан жидкий и газообразный. Термодинамические свойства, коэффициенты динамической вязкости и теплопроводности при температурах от 91 до 675 К и давлениях до 100 МПа. - М:, ФГУП "ВНИИМС", 2017. - 59 с. |
УДК 547.2146:006.354 | |
Ключевые слова: Государственная система обеспечения единства измерений, стандартные справочные данные, жидкий и газообразный этан, термодинамические свойства, коэффициенты динамической вязкости и теплопроводности |