Главная // Актуальные документы // ГОСТ Р (Государственный стандарт)СПРАВКА
Источник публикации
М.: Стандартинформ, 2019
Примечание к документу
Документ
введен в действие с 01.09.2020.
Название документа
"ГОСТ Р 8.974-2019. Национальный стандарт Российской Федерации. Государственная система обеспечения единства измерений. Газовый анализ. Пересчет данных состава газовых смесей"
(утв. и введен в действие Приказом Росстандарта от 30.10.2019 N 1062-ст)
"ГОСТ Р 8.974-2019. Национальный стандарт Российской Федерации. Государственная система обеспечения единства измерений. Газовый анализ. Пересчет данных состава газовых смесей"
(утв. и введен в действие Приказом Росстандарта от 30.10.2019 N 1062-ст)
Утвержден и введен в действие
по техническому регулированию
и метрологии
от 30 октября 2019 г. N 1062-ст
НАЦИОНАЛЬНЫЙ СТАНДАРТ РОССИЙСКОЙ ФЕДЕРАЦИИ
ГОСУДАРСТВЕННАЯ СИСТЕМА ОБЕСПЕЧЕНИЯ ЕДИНСТВА ИЗМЕРЕНИЙ
ГАЗОВЫЙ АНАЛИЗ
ПЕРЕСЧЕТ ДАННЫХ СОСТАВА ГАЗОВЫХ СМЕСЕЙ
State system for ensuring the uniformity of measurements.
Gas analysis. Conversion of gas mixture composition data
ГОСТ Р 8.974-2019
Дата введения
1 сентября 2020 года
1 РАЗРАБОТАН Федеральным государственным унитарным предприятием "Всероссийский научно-исследовательский институт метрологии им. Д.И. Менделеева" (ФГУП "ВНИИМ им. Д.И. Менделеева")
2 ВНЕСЕН Техническим комитетом по стандартизации ТК 206 "Эталоны и поверочные схемы", подкомитетом ПК 206.5 "Эталоны и поверочные схемы в области измерения физико-химического состава и свойств веществ"
3 УТВЕРЖДЕН И ВВЕДЕН В ДЕЙСТВИЕ
Приказом Федерального агентства по техническому регулированию и метрологии от 30 октября 2019 г. N 1062-ст
4 ВВЕДЕН ВПЕРВЫЕ
Правила применения настоящего стандарта установлены в статье 26 Федерального закона от 29 июня 2015 г. N 162-ФЗ "О стандартизации в Российской Федерации". Информация об изменениях к настоящему стандарту публикуется в ежегодном (по состоянию на 1 января текущего года) информационном указателе "Национальные стандарты", а официальный текст изменений и поправок - в ежемесячном информационном указателе "Национальные стандарты". В случае пересмотра (замены) или отмены настоящего стандарта соответствующее уведомление будет опубликовано в ближайшем выпуске ежемесячного информационного указателя "Национальные стандарты". Соответствующая информация, уведомление и тексты размещаются также в информационной системе общего пользования - на официальном сайте Федерального агентства по техническому регулированию и метрологии в сети Интернет (www.gost.ru)
Настоящий стандарт распространяется на газовые смеси (далее - смеси) и устанавливает методику взаимного пересчета значений молярной доли, объемной доли, массовой доли и массовой концентрации компонентов.
В настоящем стандарте использована нормативная ссылка на следующий стандарт:
ГОСТ 34100.3/ISO/IEC Guide 98-3 Неопределенность измерения. Часть 3. Руководство по выражению неопределенности измерения
Примечание - При пользовании настоящим стандартом целесообразно проверить действие ссылочных стандартов в информационной системе общего пользования - на официальном сайте Федерального агентства по техническому регулированию и метрологии в сети Интернет или по ежегодному информационному указателю "Национальные стандарты", который опубликован по состоянию на 1 января текущего года, и по выпускам ежемесячного информационного указателя "Национальные стандарты" за текущий год. Если заменен ссылочный стандарт, на который дана недатированная ссылка, то рекомендуется использовать действующую версию этого стандарта с учетом всех внесенных в данную версию изменений. Если заменен ссылочный стандарт, на который дана датированная ссылка, то рекомендуется использовать версию этого стандарта с указанным выше годом утверждения (принятия). Если после утверждения настоящего стандарта в ссылочный стандарт, на который дана датированная ссылка, внесено изменение, затрагивающее положение, на которое дана ссылка, то это положение рекомендуется применять без учета данного изменения. Если ссылочный стандарт отменен без замены, то положение, в котором дана ссылка на него, рекомендуется применять в части, не затрагивающей эту ссылку.
3 Термины, определения и обозначения
3.1 В настоящем стандарте применены следующие термины с соответствующими определениями:
3.1.1 газовая смесь: Смесь чистых веществ, не вступающих друг с другом в химическую реакцию, находящаяся в газообразном состоянии.
3.1.2 компонент: Чистое вещество в составе смеси.
3.1.3 параметры состояния: Физические величины (давление и температура), характеризующие равновесное состояние газовой смеси.
3.1.4 молярная доля: Отношение количества вещества компонента к количеству вещества смеси.
3.1.5 объемная доля: Отношение объема компонента к объему многокомпонентной смеси.
Примечание - Значение объемной доли зависит от давления и температуры смеси.
3.1.6 массовая доля: Отношение массы компонента к массе смеси.
3.1.7 массовая концентрация: Отношение массы компонента к объему смеси.
Примечание - Значение массовой концентрации зависит от давления и температуры смеси.
3.1.8 коэффициент сжимаемости: Отношение объема произвольного количества компонента или смеси при определенных значениях давления и температуры к объему того же количества компонента или смеси при тех же самых значениях давления и температуры, вычисленному по уравнению закона идеального газа.
3.1.9 коэффициент смешения: Отношение объема произвольного количества смеси при определенных значениях давления и температуры к сумме объемов всех компонентов смеси до смешения при тех же самых значениях давления и температуры.
3.1.10 вириальные коэффициенты: Коэффициенты, полученные путем разложения в ряд коэффициента сжимаемости в виде степеней параметра состояния.
3.2 В настоящем стандарте использованы следующие обозначения:
P - давление, Па;
T - температура, К;
xi - молярная доля i-го компонента;

- объемная доля
i-го компонента;
wi - массовая доля i-го компонента;

- массовая концентрация
i-го компонента, кг/м
3;
Zi - коэффициент сжимаемости i-го компонента;
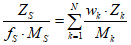
ZS - коэффициент сжимаемости смеси;
R - универсальная газовая постоянная (R = 8,3144598 Дж/(моль·К)), Дж/(моль·К);
fS - коэффициент смешения смеси;
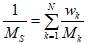
Mi - молярная масса i-го компонента, кг/моль;
MN - молярная масса газа-разбавителя, кг/моль;
MS - молярная масса смеси, кг/моль;

- фактор ацентричности;
B(T) - второй молярно-объемный коэффициент, м3/моль;
Tкрит - критическая температура, К;
Tr - приведенная температура, К;
Pкрит - критическое давление, Па.
4.1 Пересчет между значениями величин
Пересчет значения одной величины в значение другой величины осуществляется при определенных параметрах состояния рассматриваемой смеси.
При известном содержании только определяемого
i-го компонента в смеси пересчет значений искомых величин осуществляют путем умножения значений исходных величин на коэффициенты пересчета, указанные в
таблице 1.
Таблица 1
Коэффициенты пересчета значений величин при известном
содержании только определяемого компонента смеси
Значение исходной величины | Значение искомой величины |
xi | | wi | |
xi | 1 | | | |
| | 1 | | |
wi | | | 1 | |
| | | | 1 |
Примечание -  . |
При известном содержании всех компонентов рассматриваемой смеси (количество компонентов
k = 1, ...,
N) коэффициенты пересчета значений величин из
таблицы 1 преобразуются в коэффициенты пересчета, указанные в
таблице 2.
Таблица 2
Коэффициенты пересчета значений величин при известном
содержании всех компонентов смеси
Значение исходной величины | Значение искомой величины |
xi | | wi | |
xi | 1 | | | |
| | 1 | | |
wi | | | 1 | |
Примечание - При выполнении расчетов используют формулы: |
 ;  ;  ; |  ;  ;  . |
4.2 Пересчет значения величины при различных параметрах состояния
Пересчет значения объемной доли при исходных параметрах состояния (P, T) к значению объемной доли при заданных параметрах состояния (Pзад, Tзад) осуществляют по формуле

, (1)
где

- значение объемной доли при исходных значениях давления и температуры;

- значение объемной доли при заданных значениях давления и температуры.
Пересчет значения массовой концентрации при исходных параметрах состояния (P, T) к значению массовой концентрации при заданных параметрах состояния (Pзад, Tзад) осуществляют по формуле

(2)
где

- значение массовой концентрации компонента при исходных значениях давления и температуры;

- значение массовой концентрации при заданных значениях давления и температуры.
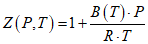
5 Вычисление коэффициентов сжимаемости
5.1 Для вычисления коэффициента сжимаемости компонента используется усеченное вириальное уравнение

(3)
где Z(P, T) - коэффициент сжимаемости при давлении P и температуре T;
B(T) - второй молярно-объемный вириальный коэффициент при температуре T.
Второй молярно-объемный вириальный коэффициент вычисляют по уравнению Ветере

(4)
где

, (5)

, (6)

, (7)

, (8)

. (9)
Примечание - Если значение коэффициента

получается отрицательным, его следует принимать равным нулю.
Коэффициенты сжимаемости ряда веществ, рассчитанные в соответствии с усеченным вириальным
уравнением (3) при
P = 101325 Па и
T = 293,15 К, приведены в
приложении А.
Коэффициент сжимаемости смеси вычисляют из молярных долей компонентов и коэффициентов сжимаемости компонентов в соответствии с уравнением

, (10)
где коэффициент смешения смеси
fS принимается равным единице, следовательно,
уравнение (10) сокращается до эквивалента закона Амагата

. (11)
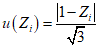
6 Оценка неопределенности пересчета значений величин
В случае выполнения пересчета между значениями величин согласно
4.1 в бюджете неопределенности по
ГОСТ 34100.3 следует учитывать следующие составляющие, связанные с выполнением данного пересчета:
u(MS) - стандартная неопределенность молярной массы смеси;
u(Zi) - стандартная неопределенность коэффициента сжимаемости компонента;
u(ZS) - стандартная неопределенность коэффициента сжимаемости смеси;
u(fS) - стандартная неопределенность аппроксимации единицей коэффициента смешения;
u(Mi) - стандартная неопределенность молярных масс компонентов;
u(R) - стандартная неопределенность универсальной газовой постоянной.
Для приближенной оценки данных составляющих руководствуются следующими формулами:

, (12)

, (13)

, (14)
где u(xi) - стандартная неопределенность молярной доли компонента.
В приближенной оценке не учитывают, считая незначимыми, неопределенности u(fS), u(Мi) и u(R).
(справочное)
КОЭФФИЦИЕНТЫ СЖИМАЕМОСТИ ВЕЩЕСТВ
Таблица А.1
Коэффициенты сжимаемости веществ
Вещество | Формула | Mi, г/моль | Tкип, К | Tкрит, К | Pкрит, Па | | Zi |
Аргон | Ar | 39,9481 | 87,28 | 150,86 | 48,98·105 | 0 | 0,9993 |
Арсин | AsH3 | 77,9455 | 210,67 | 373 | 65,5·105 | 0,0105 | 0,9896 |
Трихлорид бора | BCl3 | 117,1680 | 285,65 | 451,95 | 38,71·105 | 0,1505 | 0,9642 |
Тетрафторэтилен | C2F4 | 100,0148 | 197,51 | 306,45 | 39,44·105 | 0,227 | 0,9895 |
Гексафторэтан | C2F6 | 138,0116 | 194,95 | 292,8 | 29,8·105 | 0,249 | 0,9880 |
Ацетилен | C2H2 | 26,0372 | 189,35 | 308,3 | 61,38·105 | 0,191 | 0,9927 |
1,1-Дифторэтилен | C2H2F2 | 64,0340 | 187,5 | 302,8 | 44,6·105 | 0,136 | 0,9913 |
Винилхлорид | C2H3Cl | 62,4966 | 259,25 | 432 | 56,7·105 | 0,1 | 0,9799 |
1-Хлор-1,1-Дифторэтан | C2H3ClF2 | 100,4934 | 263,95 | 410,29 | 40,41·105 | 0,231 | 0,9730 |
Винилфторид | C2H3F | 46,0435 | 200,95 | 327,8 | 52,4·105 | 0,143 | 0,9904 |
1,1,1-Трифторэтан | C2H3F3 | 84,0403 | 225,81 | 345,88 | 37,64·105 | 0,261 | 0,9833 |
Этилен | C2H4 | 28,0531 | 169,47 | 282,34 | 50,41·105 | 0,086 | 0,9939 |
1,1-Дифторэтан | C2H4F2 | 66,0499 | 249,13 | 386,44 | 45,2·105 | 0,275 | 0,9796 |
Оксид этилена | C2H4O | 44,0525 | 283,6 | 469,15 | 71,9·105 | 0,197 | 0,9617 |
Хлорэтан | C2H5Cl | 64,5126 | 285,42 | 460,35 | 52,7·105 | 0,19 | 0,9708 |
Фторэтан | C2H5F | 48,0595 | 235,45 | 375,31 | 50,28·105 | 0,22 | 0,9840 |
Этан | C2H6 | 30,0691 | 184,55 | 305,32 | 48,72·105 | 0,1 | 0,9919 |
Диметиловый эфир | C2H6O | 46,0685 | 248,31 | 400,1 | 53,7·105 | 0,2 | 0,9806 |
Диметиламин | C2H7N | 45,0839 | 280,03 | 437,2 | 53,4·105 | 0,3 | 0,9630 |
1-Хлор-1,1,2,2-Тетрафторэтан | C2HClF4 | 136,4743 | 261,41 | 400 | 37,6·105 | 0,274 | 0,9725 |
Гексафторпропилен | C3F6 | 150,0222 | 243,55 | 368 | 29·105 | 0,205 | 0,9742 |
Октафторпропан | C3F8 | 188,0190 | 236,4 | 345,05 | 26,8·105 | 0,327 | 0,9759 |
Пропадиен | C3H4 | 40,0637 | 238,65 | 394 | 52,5·105 | 0,104 | 0,9815 |
Метилацетилен | C3H4 | 40,0637 | 249,94 | 402,4 | 56,3·105 | 0,212 | 0,9785 |
Циклопропан | C3H6 | 42,0797 | 240,37 | 397,91 | 54,95·105 | 0,127 | 0,9819 |
Пропилен | C3H6 | 42,0797 | 225,46 | 364,9 | 46·105 | 0,141 | 0,9847 |
Пропан | C3H8 | 44,0956 | 231,11 | 369,83 | 42,48·105 | 0,152 | 0,9827 |
Триметиламин | C3H9N | 59,1104 | 276,02 | 433,25 | 40,73·105 | 0,209 | 0,9680 |
Гептафторпропан | C3HF7 | 170,0286 | 256,79 | 374,83 | 29,12·105 | 0,355 | 0,9700 |
Октафтор-2-бутен | C4F8 | 200,0296 | 270,36 | 392 | 23,3·105 | 0,292 | 0,9580 |
Октафторциклобутан | C4F8 | 200,0296 | 267,17 | 388,37 | 27,78·105 | 0,356 | 0,9643 |
н-Бутан | C4H10 | 58,1222 | 272,65 | 425,12 | 37,96·105 | 0,2 | 0,9682 |
2-метилпропан | C4H10 | 58,1222 | 261,43 | 407,8 | 36,4·105 | 0,184 | 0,9718 |
1,2-Бутадиен | C4H6 | 54,0903 | 284 | 452 | 43,6·105 | 0,166 | 0,9603 |
1,3-Бутадиен | C4H6 | 54,0903 | 268,74 | 425,37 | 43,3·105 | 0,193 | 0,9709 |
Этилацетилен | C4H6 | 54,0903 | 281,22 | 443,2 | 49,5·105 | 0,247 | 0,9661 |
1-Бутен | C4H8 | 56,1062 | 266,9 | 419,59 | 40,2·105 | 0,187 | 0,9716 |
Цис-2-бутен | C4H8 | 56,1062 | 276,87 | 435,58 | 42,06·105 | 0,203 | 0,9666 |
Транс-2-бутен | C4H8 | 56,1062 | 274,03 | 428,63 | 41,02·105 | 0,218 | 0,9679 |
Циклобутан | C4H8 | 56,1062 | 285,66 | 459,93 | 49,8·105 | 0,185 | 0,9634 |
2-метилпропен | C4H8 | 56,1062 | 266,25 | 417,9 | 39,99·105 | 0,189 | 0,9719 |
2,2-диметилпропан | C5H12 | 72,1487 | 282,65 | 433,8 | 31,96·105 | 0,196 | 0,9602 |
Бромхлордифторметан | CBrClF2 | 165,3629 | 269,14 | 426,15 | 42,54·105 | 0,187 | 0,9721 |
Бромтрифторметан | CBrF3 | 148,9098 | 215,26 | 340,15 | 39,7·105 | 0,17 | 0,9856 |
Дихлордифторметан | CCl2F2 | 120,9104 | 243,36 | 384,95 | 41,25·105 | 0,18 | 0,9794 |
Хлортрифторметан | CClF3 | 104,4573 | 296,97 | 471,2 | 44,08·105 | 0,189 | 0,9622 |
Тетрафторметан | CF4 | 88,0042 | 145,09 | 227,5 | 37,4·105 | 0,179 | 0,9961 |
Хлорметан | CH3Cl | 50,4860 | 248,93 | 416,25 | 66,8·105 | 0,153 | 0,9840 |
Фторметан | CH3F | 34,0329 | 194,82 | 317,42 | 58,75·105 | 0,198 | 0,9921 |
Метан | CH4 | 16,0425 | 111,66 | 190,56 | 45,99·105 | 0,012 | 0,9981 |
Метил меркаптан | CH4S | 48,1100 | 279,11 | 469,95 | 72,3·105 | 0,158 | 0,9682 |
Метиламин | CH5N | 31,0573 | 266,82 | 430,05 | 74,6·105 | 0,281 | 0,9679 |
Дихлорфторметан | CHCl2F | 102,9200 | 282,05 | 451,58 | 51,84·105 | 0,205 | 0,9717 |
Хлордифторметан | CHClF2 | 86,4669 | 232,32 | 369,3 | 49,71·105 | 0,219 | 0,9846 |
Трифторметан | CHF3 | 70,0138 | 191,09 | 299,01 | 48,16·105 | 0,264 | 0,9920 |
Хлор | Cl2 | 70,9030 | 239,12 | 417,15 | 77,11·105 | 0,069 | 0,9871 |
Оксид углерода | CO | 28,0100 | 81,7 | 132,92 | 34,99·105 | 0,0663 | 0,9997 |
Диоксид углерода | CO2 | 44,0094 | 194,7 | 304,19 | 73,82·105 | 0,2276 | 0,9945 |
Карбонилсульфид | COS | 60,0775 | 223 | 378,8 | 63,49·105 | 0,097 | 0,9880 |
Дейтерий | D2 | 2,0141 | 23,65 | 38,35 | 16,64·105 | -0,1449 | 1,0006 |
Фтор | F2 | 37,9968 | 84,95 | 144,12 | 51,72·105 | 0,053 | 0,9996 |
Водород | H2 | 2,0160 | 20,39 | 33,18 | 13,13·105 | -0,215 | 1,0007 |
Сероводород | H2S | 34,0835 | 212,8 | 373,53 | 89,63·105 | 0,0942 | 0,9912 |
Хлористый водород | HCl | 36,4595 | 188,15 | 324,65 | 83,1·105 | 0,1315 | 0,9942 |
Гелий | He | 4,0026 | 4,22 | 5,2 | 2,28·105 | -0,39 | 1,0008 |
Криптон | Kr | 83,7982 | 119,8 | 209,35 | 55,02·105 | 0 | 0,9978 |
Азот | N2 | 28,0137 | 77,34 | 126,2 | 34,6·105 | 0,0377 | 0,9998 |
Оксид диазота | N2O | 44,0131 | 184,67 | 309,57 | 72,45·105 | 0,1408 | 0,9942 |
Неон | Ne | 20,1798 | 27,09 | 44,4 | 26,53·105 | -0,0395 | 1,0005 |
Трифторид азота | NF3 | 71,0021 | 144,09 | 234 | 44,61·105 | 0,12 | 0,9963 |
Аммиак | NH3 | 17,0308 | 239,72 | 405,65 | 112,8·105 | 0,2526 | 0,9778 |
Оксид азота | NO | 30,0063 | 121,38 | 180,15 | 64,8·105 | 0,5829 | 0,9997 |
Кислород | O2 | 31,9988 | 90,19 | 154,58 | 50,43·105 | 0,0222 | 0,9993 |
Фосфин | PH3 | 33,9977 | 185,41 | 324,75 | 65,4·105 | 0,0452 | 0,9929 |
Гексафторид серы | SF6 | 146,0579 | 209,25 | 318,69 | 37,6·105 | 0,2151 | 0,9875 |
Тетрафторид кремния | SiF4 | 104,0786 | 187,15 | 259 | 37,2·105 | 0,3858 | 0,9938 |
Силан | SiH4 | 32,1169 | 161 | 269,7 | 48,4·105 | 0,0938 | 0,9945 |
Диоксид серы | SO2 | 64,0663 | 263,13 | 430,75 | 78,84·105 | 0,2453 | 0,9835 |
Ксенон | Xe | 131,2936 | 165,03 | 289,74 | 58,4·105 | 0 | 0,9944 |
УДК 681.2.089:006.354 | |
Ключевые слова: молярная доля, объемная доля, массовая доля, массовая концентрация, газовая смесь, пересчет, коэффициент сжимаемости |