Главная // Актуальные документы // ГОСТ Р (Государственный стандарт)СПРАВКА
Источник публикации
М.: Стандартинформ, 2020
Примечание к документу
Документ
введен в действие с 01.01.2021.
Название документа
"ГОСТ Р 59144-2020. Национальный стандарт Российской Федерации. Методы калибровки судовых танков"
(утв. и введен в действие Приказом Росстандарта от 29.10.2020 N 983-ст)
"ГОСТ Р 59144-2020. Национальный стандарт Российской Федерации. Методы калибровки судовых танков"
(утв. и введен в действие Приказом Росстандарта от 29.10.2020 N 983-ст)
Утвержден и введен в действие
по техническому регулированию
и метрологии
от 29 октября 2020 г. N 983-ст
НАЦИОНАЛЬНЫЙ СТАНДАРТ РОССИЙСКОЙ ФЕДЕРАЦИИ
МЕТОДЫ КАЛИБРОВКИ СУДОВЫХ ТАНКОВ
Methods for calibration of ships tanks
ГОСТ Р 59144-2020
Дата введения
1 января 2021 года
1 РАЗРАБОТАН Федеральным государственным бюджетным образовательным учреждением высшего образования "Государственный университет морского и речного флота имени адмирала С.О. Макарова" (ФГБОУ ВО "ГУМРФ имени адмирала С.О. Макарова")
2 ВНЕСЕН Техническим комитетом по стандартизации ТК 032 "Водный транспорт"
3 УТВЕРЖДЕН И ВВЕДЕН В ДЕЙСТВИЕ
Приказом Федерального агентства по техническому регулированию и метрологии от 29 октября 2020 г. N 983-ст
4 ВВЕДЕН ВПЕРВЫЕ
Правила применения настоящего стандарта установлены в статье 26 Федерального закона от 29 июня 2015 г. N 162-ФЗ "О стандартизации в Российской Федерации". Информация об изменениях к настоящему стандарту публикуется в ежегодном (по состоянию на 1 января текущего года) информационном указателе "Национальные стандарты", а официальный текст изменений и поправок - в ежемесячном информационном указателе "Национальные стандарты". В случае пересмотра (замены) или отмены настоящего стандарта соответствующее уведомление будет опубликовано в ближайшем выпуске ежемесячного информационного указателя "Национальные стандарты". Соответствующая информация, уведомление и тексты размещаются также в информационной системе общего пользования - на официальном сайте Федерального агентства по техническому регулированию и метрологии в сети Интернет (www.gost.ru)
Настоящий стандарт разработан во исполнение положений
Кодекса [1] и Федерального
закона [2], предусматривающего применение единых правил установления требований к продукции, процессам, работам и услугам в соответствии с уровнем развития национальной экономики и материально-технической базы.
Настоящий стандарт устанавливает методы калибровки мембранных и независимых призматических судовых грузовых танков, процедуры составления калибровочных таблиц и таблиц поправок, которые используют при определении количества груза в танке.
В настоящем стандарте использованы нормативные ссылки на следующие стандарты:
ГОСТ 12.0.004 Система стандартов безопасности труда. Организация обучения безопасности труда. Общие положения
ГОСТ 12.1.005 Система стандартов безопасности труда. Общие санитарно-гигиенические требования к воздуху рабочей зоны
ГОСТ 427 Линейки измерительные металлические. Технические условия
ГОСТ 7502 Рулетки измерительные металлические. Технические условия
ГОСТ 28498 Термометры жидкостные стеклянные. Общие технические требования. Методы испытаний
Примечание - При пользовании настоящим стандартом целесообразно проверить действие ссылочных стандартов в информационной системе общего пользования - на официальном сайте Федерального агентства по техническому регулированию и метрологии в сети Интернет или по ежегодному информационному указателю "Национальные стандарты" за текущий год. Если заменен ссылочный стандарт, на который дана недатированная ссылка, то рекомендуется использовать действующую версию этого стандарта с учетом всех внесенных в данную версию изменений. Если заменен ссылочный стандарт, на который дана датированная ссылка, то рекомендуется использовать версию этого стандарта с указанным выше годом утверждения (принятия). Если после утверждения настоящего стандарта в ссылочный стандарт, на который дана датированная ссылка, внесено изменение, затрагивающее положение, на которое дана ссылка, то это положение рекомендуется применять без учета данного изменения. Если ссылочный стандарт отменен без замены, то положение, в котором дана ссылка на него, рекомендуется применять в части, не затрагивающей эту ссылку.
В настоящем стандарте применены следующие термины с соответствующими определениями:
3.1 автоматический уровнемер: Прибор для непрерывного измерения высоты уровня жидкости (взлива или пустоты) в танке.
3.2 скос танка: Наклонная к горизонтальной плоскости переборка танка, соединяющая его стенки с палубой пола или подволока.
3.3 исключаемый объем: Любая конструкция в танке, которая уменьшает его общую вместимость.
3.4 нижняя кромка мерительной трубки: Начальная точка отсчета уровня взлива в танке.
3.5 горизонтальная плоскость: Плоскость, параллельная палубе пола.
3.6 горизонтальная поперечная линия отсчета: Поперечная горизонтальная линия, используемая для определения параметров искривленных поверхностей.
Примечание - Метод калибровки с использованием этой линии применяют в случае невозможности выполнения прямых измерений.
3.7 крен: Угол наклона продольной плоскости танка к вертикали, измеряемый в градусах.
3.8 продольная линия: Линия, образованная пересечением продольной и горизонтальной плоскостей.
3.9 продольная плоскость: Вертикальная плоскость, параллельная осевой линии танка.
3.10 точка измерения: Точка на внутренней поверхности корпуса танка, от/до которой проводят измерения расстояний и/или углов.
3.11 плоскость сечения: Поперечная плоскость, параллельная носовой или кормовой поперечным стенкам танка.
3.12 температура калибровки: Температура, при которой выполняется калибровка танка.
3.13 дифферент: Разность между носовой и кормовой осадками.
4 Требования к организации проведения поверки
4.1 Данный раздел определяет основные требования к организации безопасной поверки танка. Предельную осторожность и абсолютное внимание следует соблюдать при проведении измерений; все нестандартные происшествия и/или отклонения при поверке, которые могут повлиять на ее результат, должны быть документально зафиксированы.
4.2 Методы калибровки танка, изложенные в настоящем стандарте, применяют для судов, находящихся как на плаву, так и в сухом доке. Калибровка в сухом доке носит более предпочтительный характер.
4.3 При обнаружении во время поверки нестандартного изменения геометрии танка поверяющий должен произвести дополнительные необходимые и достаточные замеры и отразить в итоговом отчете причины их возникновения.
Для наглядности поверяющий может включить в отчет схему искажений.
4.4 Все значения, полученные в результате поверки, должны быть сопоставлены с приведенными на чертежах (при их наличии). Любое значительное несоответствие должно быть тщательно перепроверено.
В любом случае только результаты фактических замеров могут быть приняты за основу при составлении калибровочной таблицы.
4.5 При выполнении замеров с использованием рулетки должны быть выполнены следующие условия:
а) применяется надлежащим образом поверенная измерительная лента, соответствующая
ГОСТ 7502;
б) измерительная лента не должна провисать во время замера (ее поддержка может быть осуществлена каким-либо возможным способом); если предотвратить провисание невозможно, поверяющий должен произвести необходимые корректировки измерений при расчетах;
в) измерения выполняют несколько раз. Если три последовательных измерения дают результат в пределах погрешности, приведенной в
перечислении г), то в качестве величины замера принимают среднее арифметическое значение, в качестве погрешности - стандартное отклонение; в ином случае замеры повторяют до тех пор, пока величины двух стандартных отклонений не окажутся менее половины погрешности, приведенной в
перечислении г);
г) допустимая погрешность измерений не должна превышать следующих значений: 2 мм - при измерении расстояний не более 25 м; 3 мм - при измерении расстояний свыше 25 м;
д) если процедура измерения прервана, то последние измерения должны быть выполнены повторно; если вновь произведенные замеры не согласуются в пределах погрешности с ранее проведенными, то все замеры должны быть повторены.
4.6 При проведении измерений с использованием электронных оптических дальномерных приборов (ЭОДП) должны быть выполнены следующие условия:
а) может быть применен только поверенный надлежащим образом прибор;
б) танк должен находиться в чистом и сухом состоянии, на его поверхностях не должно быть пыли, остатков жидкости, посторонних предметов и твердых отложений;
в) при замерах могут быть использованы осветительные приборы, которые располагают в танке таким образом, чтобы не искажать показания ЭОДП;
г) применяемый прибор должен быть сертифицирован как безопасный для его использования в зоне измерений.
4.7 При калибровке мембрана должна опираться на поддерживающие конструкции (в случае необходимости может создаваться вакуум позади мембраны).
4.8 При нахождении в танках должны быть соблюдены следующие требования:
б) перед входом в танк, находившийся перед поверкой в эксплуатации, обязательно получение сертификата о безопасном входе в соответствии с местными или национальными правилами; все трубопроводы, входящие в танк, должны быть отключены и опломбированы;
в) применяют электрические приборы и инструменты только во взрывобезопасном исполнении;
г) безопасность персонала должна быть обеспечена неукоснительным исполнением следующих положений:
- любые лестницы должны быть освидетельствованы и могут быть использованы только в соответствии с установленными для них параметрами,
- все подвесные устройства, блоки, троса и т.п. должны быть освидетельствованы и заменены в случае необходимости,
- могут быть возведены временные вспомогательные конструкции (леса), все элементы которых должны быть неподвижными и надежно закрепленными,
- при работе на высоте следует использовать средства страховки;
д) поверяющий должен пользоваться защитной каской и перчатками;
е) поверяющий должен соблюдать меры предосторожности во избежание повреждения мембраны танка обувью, инструментами или иными предметами.
Все технические средства поверки танков должны быть освидетельствованы в установленном порядке.
5.1 Применяемый при калибровке лазерный сканер должен обеспечивать точность измерения углов не ниже 3,142·10-6 рад и точность измерения расстояний не ниже 1 мм.
5.2 Для измерения расстояний может применяться ручной лазерный дальномер с точностью измерений не ниже 1 мм.
5.4 При необходимости может быть использована деревянная линейка без деформаций с латунным наконечником.
5.5 Используемый термометр должен соответствовать требованиям
ГОСТ 28498, быть применимым в существующем диапазоне температур и иметь точность +/- 0,5 °C.
Не допускается использование ртутного термометра.
6 Общая схема проведения поверки
6.1 Процесс калибровки мембранного танка сводится в основном к измерению длины, ширины и высоты между заданными точками в танке. Эти точки определяют в результате задания ряда воображаемых горизонтальных, продольных и поперечных плоскостей.
6.2 Плоскости в пересечении образуют прямые линии, по которым измеряют значения длины, ширины и высоты в танке. Расстояния между плоскостями устанавливают таким образом, чтобы отражались все изменения сечения танка и его деформации, не превышающие 5,0 м. Точки измерения, которые не могут быть удалены друг от друга на расстояние свыше 5,0 м, устанавливает поверяющий.
6.3 После определения точек измерения наносят горизонтальные и вертикальные линии на бортовых стенках танка, продольные и поперечные линии на палубах пола и подволока, горизонтальные и вертикальные линии на поперечных переборках.
7 Калибровка ручным методом
Измерение расстояний между противоположными стенками танка при ручном методе выполняют с использованием рулетки или ручного лазерного дальномера.
Измерение длины, ширины и высоты проводят следующим образом:
- длину танка определяют по всем продольным линиям на каждом уровне горизонтальных плоскостей в соответствии с
7.2;
- ширину танка устанавливают по всем поперечным линиям на каждом уровне горизонтальных плоскостей согласно
7.3;
- высоты между палубами пола и подволока, верхних скосов и бортовых стенок определяют в соответствии с
7.4.
7.2 Измерение длины танка
7.2.1 Измерение длины палубы пола танка
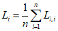
Расстояния между носовой и кормовой переборками измеряют по всем продольным линиям палубы пола танка. Значение средней длины палубы пола танка Li рассчитывают по формуле

, (1)
где n - количество продольных линий на палубе пола танка;
Ll,i - длина i-й продольной линии палубы пола танка, м.
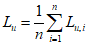
7.2.2 Измерение длины палубы подволока танка
Измерения длин всех продольных линий палубы подволока танка выполняют аналогично
7.2.1. Значение средней длины палубы подволока танка
Lu рассчитывают по формуле

, (2)
где n - количество продольных линий на палубе подволока танка;
Lu,i - длина i-й продольной линии палубы подволока танка, м.
7.2.3 Измерение длины в промежуточной горизонтальной плоскости
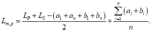
Для предотвращения возникновения ошибок от провисания измерительной ленты можно использовать вспомогательные поперечные горизонтальные опоры, отстоящие от поперечных переборок танка.
Длины отрезков продольных прямых между вспомогательными поперечными опорами и поперечными переборками [
a2,
a3 ...
an-1 и
b2,
b3, ...
bn-1] могут быть заменены на соответствующие длины отрезков, измеренные по плоскости борта (см.
рисунок 1).
1 - продольная переборка правого борта; 2 - кормовая
поперечная переборка; 3 - носовая поперечная переборка;
4 - поперечные горизонтальные опоры; 5 - продольные линии
измерения; 6 - продольная переборка левого борта;
LP - длина по правому борту; LS - длина по левому борту;
P1, P2, S1, S2 - точки измерения на бортах танка;
a1 ... an и b1 ... bn - расстояния между поперечными
опорами и соответствующими переборками
Рисунок 1 - Схема измерения длины танка
в промежуточной горизонтальной плоскости
Далее выполняют следующие операции:
а) на бортовых стенках танка на равных расстояниях от поперечных переборок в горизонтальной плоскости отмечают точки P1 и P2, S1 и S2. Измеряют расстояния LP и LS по бортовым плоскостям между соответствующими точками;
б) устанавливают поперечные горизонтальные опоры между точками P1 и P2, S1 и S2 и замеряют расстояния a2, a3 ... a(n-1) и b2, b3, ... b(n-1);
в) при измерениях необходимо удостовериться в том, что поперечные опоры и измеряемые отрезки находятся в одной плоскости.
Среднюю длину танка в каждой промежуточной горизонтальной плоскости Lm,p рассчитывают по формуле

(3)
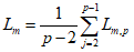
Среднюю из средних значений длин танка в промежуточной горизонтальной плоскости Lm рассчитывают по формуле

, (4)
где p - номер промежуточной горизонтальной плоскости в танке.
7.2.4 Определение длины танка
Длину танка L рассчитывают по формуле

. (5)
Могут быть применены иные формулы, учитывающие конкретную геометрию танка и обеспечивающие большую точность.
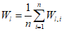
7.3 Измерение ширины танка
7.3.1 Измерение ширины палубы пола танка
Измеряют расстояния между продольными переборками правого и левого бортов вдоль всех поперечных линий на палубе пола танка. Среднее значение ширины палубы пола танка Wl рассчитывают по формуле

, (6)
где n - количество поперечных линий на палубе пола танка;
Wl,i - ширина i-й поперечной линии палубы пола танка, м.
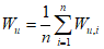
7.3.2 Измерение ширины палубы подволока танка
Измерения ширин всех поперечных линий палубы подволока танка выполняют аналогично измерениям в
7.3.1. Среднее значение длины палубы подволока танка
Wu рассчитывают по формуле

, (7)
где n - количество поперечных линий на палубе подволока танка;
Wu,i - ширина i-й поперечной линии палубы подволока танка, м.
7.3.3 Измерение ширины в промежуточной горизонтальной плоскости
Измерение ширины танка в промежуточных горизонтальных плоскостях выполняют аналогично измерениям, приведенным в
7.2.3 (см.
рисунок 2).
1 - продольная переборка правого борта; 2 - продольные
горизонтальные опоры; 3 - поперечное сечение танка;
4 - кормовая поперечная переборка; 5 - носовая поперечная
переборка; 6 - продольная переборка левого борта;
WF - ширина по носовой поперечной переборке; WA - ширина
по кормовой поперечной переборке; P3, P4, S3, S4 - точки
измерения на поперечных переборках; c1 ... cn
и d1 ... dn - расстояния между продольными опорами
и соответствующими бортовыми переборками
Рисунок 2 - Схема измерения ширины танка
в промежуточной горизонтальной плоскости
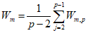
Среднюю ширину танка в каждой промежуточной горизонтальной плоскости Wm,p рассчитывают по формуле

(8)
Среднюю из средних значений ширин танка в промежуточной горизонтальной плоскости Wm рассчитывают по формуле

, (9)
где p - номер промежуточной горизонтальной плоскости танка.
Возможно использование иной формулы аналогичной или большей точности в случае ее применения.
7.3.4 Измерение ширины для трапецеидального танка
Если ширина танка уменьшается с одной из его сторон, то измерения ширины танка выполняют аналогично измерениям, приведенным в
7.3.3 (см.
рисунок 3).
1 - переборка правого борта; 2 - кормовая поперечная
переборка; 3 - продольные горизонтальные опоры;
4 - поперечное сечение танка; 5 - переборка левого борта;
6 - носовая поперечная переборка;

- ширина по кормовой
поперечной переборке;

- ширина по носовой поперечной
переборке;

,

,

,

- точки измерения на поперечных
переборках;

и

- расстояния между продольными
опорами и соответствующими бортовыми переборками
Рисунок 3 - Схема измерения ширины трапецеидального танка
в промежуточной горизонтальной плоскости
Средние ширины танка по носовой WF и кормовой WA поперечным переборкам рассчитывают по следующим формулам:

(10)

(11)
где

и

- длины отрезков поперечных прямых между вспомогательными линиями (опорами) и бортовыми переборками, м.
Определение длин отрезков поперечных прямых между бортами судна и горизонтальными опорами

и

может быть выполнено путем измерения длин соответствующих отрезков, расположенных под прямым углом к борту (см.
рисунок 4).
1 - кормовая поперечная переборка; 2 - продольная
горизонтальная опора; 3 - носовая поперечная переборка;

- расстояние по поперечной линии;
di - расстояние,
измеренное под прямым углом к борту;

- угол между бортом
и диаметральной плоскостью
Рисунок 4 - Схема измерения длин отрезков трапецеидального
танка в промежуточной горизонтальной плоскости
Возможно использование иной формулы равной или большей точности, применимой для заданной формы танка.
7.4 Измерение высоты танка
7.4.1 Измерение общей высоты
На палубах пола и подволока танка наносят продольные и поперечные линии, которые образуют сетки на обеих палубах. Используя измерительную ленту, измеряют расстояния между пересечениями этих линий на верхней палубе и соответствующими точками на нижней палубе, т.е. вдоль всех вертикальных линий, затем рассчитывают значение средней высоты танка ht по формуле

, (12)
где n - количество вертикальных линий;
ht,i - высота, измеренная вдоль i-й вертикальной линии, м.
В качестве альтернативы можно использовать иную формулу аналогичной или большей точности, которая наилучшим образом учитывает форму танка (например, среднее арифметическое значение может быть заменено на средневзвешенное значение для трапециевидных танков).
7.4.2 Измерение высоты вертикальных участков бортовых стенок танка
Измеряют расстояния между нижней частью верхнего скоса и верхней частью нижнего скоса по всем вертикальным линиям, проведенным на обеих бортовых стенках, и рассчитывают значение средней высоты вертикальных участков бортовых стенок танка hm по формуле

, (13)
где n - количество вертикальных линий;
hm,i - высота, измеренная вдоль i-й вертикальной линии по бортовой стенке, м.
7.4.3 Измерение высоты нижнего скоса танка
Измерение высоты нижнего скоса танка выполняют следующим образом:
а) оптическим уровнем устанавливают базовую горизонтальную плоскость, приблизительно параллельную палубе пола танка и незначительно возвышающуюся над нижним скосом;
б) вдоль всех вертикальных линий измерения определяют расстояния между опорной плоскостью и палубой пола d1, замеряют величины d2 между опорной плоскостью и нижним скосом в углах танка;
в) высоту нижнего скоса hl,i, измеренную вдоль i-й вертикальной линии, рассчитывают по формуле
hl,i = d1,i - d2,i; (14)
г) среднюю высоту нижнего скоса hi рассчитывают по формуле

, (15)
где n - количество вертикальных линий.
7.4.4 Измерение высоты верхнего скоса танка
Высоту верхнего скоса hu рассчитывают по формуле
hu = ht - hm - hl. (16)
На
рисунке 5 представлен вид поперечного сечения танка с указанием необходимых измерений и значений, используемых при расчете скосов.
1 - вертикальные линии измерения; 2 - палуба подволока;
3 - верхний скос; 4 - осевая плоскость танка; 5 - базовая
горизонтальная плоскость; 6 - палуба пола; 7 - нижний скос;
8 - переборка борта; d1 - расстояние по вертикальной линии
между базовой горизонтальной плоскостью и палубой пола;
d2 - расстояние по вертикальной линии между базовой
горизонтальной плоскостью и верхней кромкой нижнего скоса
в углах танка; hl - высота нижнего скоса; hm - высота
бортовой стенки; ht - общая высота; hu - высота верхнего
скоса; hx - произвольная высота в области нижнего скоса;
hy - произвольная высота в области верхнего скоса
Рисунок 5 - Схема поперечного сечения танка
7.5 Определение неровности днища танка и базовой высоты мерительной трубки
7.5.1 Оптическим уровнем на небольшом возвышении от палубы пола устанавливают базовую горизонтальную плоскость. На
рисунке 6 представлено схематическое изображение днищевой части танка для наглядной иллюстрации измерений, выполняемых при оценке неровности палубы пола.
1 - нижняя кромка измерительной трубки; 2 - базовая
горизонтальная плоскость; 3 - палуба пола танка
Рисунок 6 - Схема днищевой части танка
7.5.2 Замеряют расстояния между палубой пола и базовой плоскостью вдоль всех вертикальных линий на носовой и кормовой поперечных переборках танка. Среднее значение измерений обозначено как
RB.
7.5.3 Выполняют аналогичные
7.5.2 замеры расстояний для всех точек пересечения продольных и поперечных линий на палубе пола танка. Среднее значение этих измерений, а также измерений, используемых для получения
RB, обозначено как
RA.
7.5.4 Значение неровности днища танка AB рассчитывают по формуле
AB = |RA - RB|. (17)
Увеличение или уменьшение объема танка вследствие неровности палубы пола может быть получено умножением величины AB на площадь палубы пола танка.
7.5.5 Замеряют расстояние
RC между базовой плоскостью и нижней кромкой мерительной трубки (см.
рисунок 6). Рассчитывают расстояние между палубой пола и нижней кромкой мерительной трубки
BC по формуле
BC = RB - RC. (18)
7.6 Температурная поправка
Температуру окружающей среды в танке следует замерять с интервалом, не превышающим 2 ч (при отличии фактической температуры от паспортной все измерения корректируют с целью учета линейного расширения материала измерительной ленты). В случае калибровки независимых призматических танков измерения корректируют не только на изменение линейных размеров измерительной ленты, но и материала танка. Величину температурной поправки к измеряемой длине C рассчитывают по формуле

, (19)
где D - измеренное значение длины, м;

- коэффициент линейного расширения измерительной ленты;

- коэффициент линейного расширения материала независимого танка;
T - температура измерительной ленты во время замера;
t - средняя температура материала танка во время замера.
Величиной поправки, не превышающей 0,5 мм, можно пренебречь.
8 Калибровка с использованием лазерного сканера
При калибровке с использованием ЭОДП средние расстояния между противоположными стенками танка рассчитывают путем обработки координат измерительных точек на стенках.
Методы, приведенные в
8.2.1 -
8.2.3, могут быть заменены на иные, имеющие более высокую точность.
8.1 Установка и настройка сканера
При использовании сканера следует выполнять нижеприведенные условия:
а) количество и расположение приборов зависит от их технических параметров (угла обзора). Если применяют несколько станций, то они должны быть сопряжены друг с другом для получения единого массива измерений;
б) прибор должен быть установлен с осторожностью, особенно в горизонтальной и вертикальной осях, в соответствии с инструкциями изготовителя;
в) прибор должен быть установлен в устойчивое положение, без скольжения по палубе (могут быть использованы специальные приспособления) и влияния любых вибраций;
г) лазерный луч не должен чем-либо перекрываться;
д) перед использованием прибор должен отстояться в соответствии с рекомендациями изготовителя;
е) перед применением прибор должен быть настроен в соответствии с инструкциями изготовителя для исключения влияния на измерения параллакса;
ж) выбирают две контрольные точки измерений, расположенные со сканером примерно в одной горизонтальной плоскости, удаленные друг от друга примерно на 100 град;
и) измеряют и фиксируют горизонтальный и вертикальный углы и расстояние наклона к каждой контрольной целевой точке (показания снимают два раза - в начале и конце калибровки). Показания должны удовлетворять следующим условиям:
1) расстояния наклона к каждой контрольной целевой точке в начале и конце калибровки могут различаться на величину не более 2 мм,
2) горизонтальный и вертикальный углы к каждой контрольной целевой точке в начале и конце калибровки могут различаться на величину не более 0,01 град.
При калибровке танка выполняют следующие операции:
а) измеряют горизонтальный и вертикальный углы, расстояние до каждой точки измерения на переборках танка; все точки измерения отмечают в декартовой системе координат (см.
рисунок 7);
б) после завершения измерений с одного измерительного прибора выполняют повторное измерения до контрольных точек;
в) в случае возникновения недопустимых отклонений величин углов и расстояний до контрольных точек, полученных в начале и конце калибровки, должны быть определены и устранены причины их возникновения, а процедура калибровки повторена;
г) все измерения выполняют не прерываясь.
1 - плоскость борта; 2 - плоскость поперечной переборки;
3 - плоскость палубы пола
Рисунок 7 - Точки измерения
8.2.1 Определение длины танка
Положения кормовой и носовой поперечной переборок танка на оси x определяют в результате усреднения координат x точек измерения на соответствующих переборках. Длину танка L рассчитывают сложением абсолютных значений средних координат по оси x для кормовой и носовой переборок по формуле

, (20)
где Xn(for), Xn(aft) - значения координат ЭОДП.
8.2.2 Определение ширины танка
Положения бортовых переборок танка на оси y определяют в результате усреднения координат y точек измерения на соответствующих переборках. Ширину танка W рассчитывают сложением абсолютных значений средних координат по оси y для переборок левого и правого бортов по формуле

, (21)
где Yn(starboard), Yn(port) - значения координат ЭОДП.
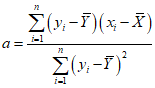
Для трапецеидальных танков координаты x и y точек измерения, расположенных на бортах, находятся в линейной зависимости друг от друга и рассчитываются по формуле
x = ay + b, (22)
где a - коэффициент линейной зависимости, рассчитываемый по формуле

; (23)
b - свободный член линейной зависимости, рассчитываемый по формуле

. (24)
8.2.3 Определение высоты танка
Положения переборок пола и подволока танка на оси z устанавливают в результате усреднения координат z точек измерения на соответствующих переборках. Высоту танка ht определяют сложением абсолютных значений средних координат по оси z для палубы пола и подволока:

, (25)
где zn(top), zn(bottom) - значения координат ЭОДП.
При определении высот скосов можно считать, что координаты y и z точек измерения, расположенных на скосах, находятся в линейной зависимости друг от друга.
Высоты всех граней восьмигранника могут быть определены аналогично
8.2.2. Высоты каждой пары скосов могут быть усреднены.
9 Дополнительные измерения
9.1 Положение измерителя уровня
Координаты измерителя уровня равны расстояниям до ближайших вертикальных переборок и нижней части нижнего скоса и используются при расчете дифферента и поправок.
9.2.1 Исключаемые объемы (любые конструкции, расположенные в танке и не заполненные грузом) рассчитывают исходя из их размеров. В случае сложности геометрического определения исключаемого объема он может быть рассчитан на основе его массы и плотности материала (при условии, что погрешность при определении объема пренебрежимо мала по отношению к общей точности измерения объема танка). Для каждого исключаемого элемента устанавливают функциональную зависимость его объема от высоты над нулевой точкой уровнемера.
9.2.2 Объемы внутренних трубопроводов с грузом, подлежащие исключению, рассчитывают как разницу между их внешним и внутренним объемами, т.е. как объем материала.
9.2.3 Объемы мембран и гофр рассчитывают по чертежам.
9.2.4 При калибровке танка для всей совокупности исключаемых элементов устанавливают функциональную зависимость их суммарного объема от высоты над нулевой точкой уровнемера.
Калибровочная таблица должна быть составлена в соответствии с правилами, изложенными в
10.1 -
10.3.
Объем танка
V (см.
рисунок 8) рассчитывают по формуле

. (26)
Рисунок 8 - Расчет объема танка
Расчет объема танка должен быть скорректирован в соответствии с
10.4 -
10.7.
Калибровочную таблицу составляют на основе определения объемов отдельных горизонтальных уровней танка высотой 1 см от нулевого уровня мерительной трубки. Объем каждого горизонтального уровня определяют путем умножения его средней длины L на среднюю ширину W за вычетом исключаемых объемов.
10.2 Учет кривизны палубы пола
Любое увеличение или уменьшение объема танка, вызванное неровностями палубы пола, должно быть учтено при определении объема танка на уровне нижней кромки мерительной трубки (см.
7.5.5).
10.3 Площадь горизонтальных уровней в районе скосов
10.3.1 Площадь любого горизонтального уровня в районе нижнего скоса
Ax определена как функция от его высоты
hx (см.
рисунок 5), средней высоты нижнего скоса
hl (см.
7.4.3 и
8.2.3) и верхней и нижней площадей каждого горизонтального уровня по формуле

, (27)
где Am - площадь верхней поверхности промежуточного горизонтального уровня нижнего скоса;
Al - площадь нижней поверхности промежуточного горизонтального уровня нижнего скоса.
10.3.2 При расчете объемов горизонтальных уровней средней части танка может быть использована одна и та же площадь.
10.3.3 Площадь любого горизонтального уровня в районе верхнего скоса
Ay определена как функция от его высоты
hy (см.
рисунок 5), средней высоты верхнего скоса
hu (см.
7.4.4 и
8.2.3) и верхней и нижней площадей каждого горизонтального уровня по формуле

, (28)
где Am - площадь нижней поверхности промежуточного горизонтального уровня верхнего скоса;
Au - площадь верхней поверхности промежуточного горизонтального уровня верхнего скоса.
10.4 Поправка на дифферент
Корректировку объема груза в танке, вызванную дифферентом судна, осуществляют путем изменения замеренного объема жидкости на соответствующую величину поправки. Величины поправок рассчитывают путем сравнения уровней взлива, задаваемых одинаковыми объемами жидкости в танке для судна с дифферентом и без него.
Корректировку объема груза в танке, вызванную накренением судна, осуществляют путем изменения замеренного объема жидкости на соответствующую величину поправки. Величины поправок рассчитывают путем сравнения уровней взлива, задаваемых одинаковыми объемами жидкости в танке для судна с креном и без него.
10.6 Совместное влияние крена и дифферента
Корректировку объема груза в танке, вызванную одновременным накренением и дифферентом судна, осуществляют в соответствии с
10.4,
10.5.
10.7 Поправка на температуру
Поправку на расширение или сжатие оболочки не применяют для мембранных танков. Для независимых призматических танков коррекцию объема рассчитывают с помощью коэффициента расширения материала по формуле

, (29)
где FV - величина температурной поправки;

- коэффициент линейного расширения материала танка;
t1 - эталонная температура, при которой составлены калибровочные таблицы;
t2 - фактическая температура.
По результатам калибровки составляют следующие документы, которые могут храниться как в бумажном, так и в электронном виде:
а) отчет о калибровке, который включает:
наименование организации, выполнившей калибровку,
место поверки,
дату поверки,
метод измерения,
температуру калибровки,
полную вместимость танка,
погрешность измерений,
рекомендации по использованию нижеприведенных таблиц;
б) таблицу вместимости танка;
в) таблицу поправок на дифферент;
г) таблицу поправок на крен (шаг накренения судна составляет 0,5°);
д) таблицу температурных поправок для независимых призматических танков;
е) таблицу температурных поправок для автоматических датчиков.
12 Переосвидетельствование
Танк должен быть переосвидетельствован при выявлении в результате поверки любых изменений его конструкции (изменение конструкции датчиков также может требовать переосвидетельствования).
| Кодекс внутреннего водного транспорта Российской Федерации от 7 марта 2001 г. N 24-ФЗ (ред. от 25 июня 2012 г.) |
| Федеральный закон от 27 декабря 2002 г. N 184-ФЗ "О техническом регулировании" |
УДК 528.472: 006.354 | |
Ключевые слова: калибровка, танк, освидетельствование |