Главная // Актуальные документы // ГОСТ Р (Государственный стандарт)СПРАВКА
Источник публикации
М.: Стандартинформ, 2020
Примечание к документу
Документ
введен в действие с 01.01.2021.
Текст данного документа приведен с учетом
поправки, опубликованной в "ИУС", N 7, 2021.
Название документа
"ГОСТ Р 59001-2020. Национальный стандарт Российской Федерации. Двигатели газотурбинные. Методы расчета пределов выносливости деталей"
(утв. и введен в действие Приказом Росстандарта от 28.08.2020 N 599-ст)
"ГОСТ Р 59001-2020. Национальный стандарт Российской Федерации. Двигатели газотурбинные. Методы расчета пределов выносливости деталей"
(утв. и введен в действие Приказом Росстандарта от 28.08.2020 N 599-ст)
Утвержден и введен в действие
Приказом Федерального
агентства по техническому
регулированию и метрологии
от 28 августа 2020 г. N 599-ст
НАЦИОНАЛЬНЫЙ СТАНДАРТ РОССИЙСКОЙ ФЕДЕРАЦИИ
ДВИГАТЕЛИ ГАЗОТУРБИННЫЕ
МЕТОДЫ РАСЧЕТА ПРЕДЕЛОВ ВЫНОСЛИВОСТИ ДЕТАЛЕЙ
Gas turbine engines. Methods of calculating
the endurance of details
ГОСТ Р 59001-2020
Дата введения
1 января 2021 года
1 РАЗРАБОТАН Федеральным государственным унитарным предприятием "Российский научно-технический центр информации по стандартизации, метрологии и оценке соответствия" (ФГУП "СТАНДАРТИНФОРМ") и Федеральным государственным унитарным предприятием "Центральный институт авиационного моторостроения имени П.И. Баранова" (ФГУП "ЦИАМ им. П.И. Баранова")
2 ВНЕСЕН Техническим комитетом по стандартизации ТК 323 "Авиационная техника"
3 УТВЕРЖДЕН И ВВЕДЕН В ДЕЙСТВИЕ Приказом Федерального агентства по техническому регулированию и метрологии от 28 августа 2020 г. N 599-ст
4 ВВЕДЕН ВПЕРВЫЕ
Правила применения настоящего стандарта установлены в статье 26 Федерального закона от 29 июня 2015 г. N 162-ФЗ "О стандартизации в Российской Федерации". Информация об изменениях к настоящему стандарту публикуется в ежегодном (по состоянию на 1 января текущего года) информационном указателе "Национальные стандарты", а официальный текст изменений и поправок - в ежемесячном информационном указателе "Национальные стандарты". В случае пересмотра (замены) или отмены настоящего стандарта соответствующее уведомление будет опубликовано в ближайшем выпуске ежемесячного информационного указателя "Национальные стандарты". Соответствующая информация, уведомление и тексты размещаются также в информационной системе общего пользования - на официальном сайте Федерального агентства по техническому регулированию и метрологии в сети Интернет (www.gost.ru)
Настоящий стандарт устанавливает методы расчетно-экспериментального определения средних значений пределов выносливости деталей газотурбинных двигателей (далее - ГТД) и их элементов с учетом влияния эксплуатационных, конструктивных и технологических факторов, таких как: повышенной температуры, асимметрии цикла, концентрации напряжений, базы испытания, абсолютных размеров поперечного сечения, частоты нагружения, состояния поверхности.
Настоящий стандарт не устанавливает методы расчета пределов выносливости паяных и сварных соединений и деталей.
В настоящем стандарте использованы нормативные ссылки на следующие стандарты:
ГОСТ 25.504 Расчеты и испытания на прочность. Методы расчета характеристик сопротивления усталости
ГОСТ 23207 Сопротивление усталости. Основные термины, определения и обозначения
Примечание - При пользовании настоящим стандартом целесообразно проверить действие ссылочных стандартов в информационной системе общего пользования - на официальном сайте Федерального органа по техническому регулированию и метрологии в сети Интернет или по ежегодному информационному указателю "Национальные стандарты", который опубликован по состоянию на 1 января текущего года, и по выпускам ежемесячного информационного указателя "Национальные стандарты" за текущий год. Если заменен стандарт, на который дана недатированная ссылка, то рекомендуется использовать действующую версию этого стандарта с учетом всех внесенных в данную версию изменений. Если заменен ссылочный стандарт, на который дана датированная ссылка, то рекомендуется использовать версию этого стандарта с указанным выше годом утверждения (принятия). Если после утверждения настоящего стандарта в ссылочный стандарт, на который дана датированная ссылка, внесено изменение, затрагивающее положение, на которое дана ссылка, то это положение рекомендуется применять без учета данного изменения. Если ссылочный стандарт отменен без замены, то положение, в котором дана ссылка на него, рекомендуется применять в части, не затрагивающей эту ссылку.
В настоящем стандарте применены термины и определения по ГОСТ 23207 и ГОСТ 25.504.
4.1 Пределы выносливости деталей и их элементов определяют на базе:
- 2·107 циклов для сталей и никелевых сплавов, и
- 108 циклов для титановых, алюминиевых и прочих цветных металлов.
4.2 При расчетной оценке влияния эксплуатационных, конструктивных и технологических факторов используют зависимости и экспериментальные данные, соответствующие базе, приведенной в
5.1.
5 Требования к определению пределов выносливости по результатам натурных испытаний
5.1 Испытания деталей газотурбинного двигателя (ГТД) и их элементов с целью определения пределов выносливости следует проводить в условиях, наиболее полно имитирующих реальные условия работы.
5.2 Влияние факторов, не воспроизведенных при испытаниях деталей, должно быть учтено по результатам испытаний образцов, изготовленных из материала детали.
Испытания таких образцов необходимо проводить с одновременным воспроизведением следующих факторов:
- асимметрии цикла и температуры;
- асимметрии цикла, температуры и концентрации напряжений;
- концентрации напряжений, температуры, шероховатости поверхности и упрочнения и т.д.
5.3 Пределы выносливости литых лопаток турбин при повышенных температурах необходимо определять по результатам натурных испытаний при заданной температуре.
5.4 Примеры определения предела выносливости деталей по результатам натурных испытаний, корректированных по данным испытаний образцов, приведены в
приложении А.
6 Требования к определению пределов выносливости по данным испытания образцов материала
6.1 Предел выносливости деталей при изгибе и кручении при симметричном цикле и нормальной температуре

и

вычисляют по следующим формулам:

(1)

(2)
где

и

- пределы выносливости материала детали, определенные при изгибе и кручении на стандартных гладких образцах при рабочей температуре детали;

и

- коэффициенты влияния масштабного фактора при изгибе и кручении;

и

- коэффициенты влияния качества поверхности при изгибе и кручении;

и

- эффективные коэффициенты концентрации напряжений при изгибе и кручении.
6.2 Если размеры детали или заготовки допускают изготовление образцов, то необходимо определить

и

на этих образцах, прошедших полный цикл термической обработки детали. Если образцы изготавливают из заготовки другого вида, то термообработку производят по режиму, указанному в паспорте или сертификате на материал.
В этом случае пределы выносливости материала детали

и

по
формулам (1) и
(2) будут равны:

(3)

(4)
где

и

- пределы выносливости при изгибе и кручении, определенные экспериментально на образцах, изготовленных из заготовок другого типа;

- предел прочности материала детали по нижней границе технических условий (ТУ) на деталь;

- предел прочности заготовки для изготовления образцов.
Примечание - Здесь и далее значения механических свойств, параметров и коэффициентов являются средними, соответствующими вероятности разрушения P = 0,5, за исключением тех случаев, когда даны интервалы указанных значений.
6.3 Для приближенной оценки пределов выносливости до получения экспериментальных значений

и

допускается определять пределы выносливости при изгибе

по известным значениям и обобщенным данным отношения

при температуре 20 °C, где

- предел прочности стандартного гладкого образца при температуре 20 °C.
Пределы выносливости при растяжении-сжатии гладких образцов

и при кручении

в этом случае следует определять из соотношений:

(5)

(6)
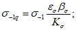
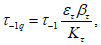
6.4 Пределы выносливости при повышенной температуре следует определять по зависимости:

(7)
где

- параметр материала;
T - температура, °C.
T <= Tо.с,
где Tо.с - температура отпуска для деталей ГТД из сталей и титановых сплавов или температура старения или отжига для деталей из жаропрочных сплавов на основе никеля, °C.
Определение
Tо.с и

- в соответствии с рекомендуемым
приложением Б.
6.5 Если предел выносливости

или

определен на образцах или элементах детали с учетом влияния одного или одновременно нескольких факторов, как то: концентрации напряжений, концентрации напряжений и шероховатости поверхности, концентрации напряжений и масштабного фактора и т.д., то значения соответствующих коэффициентов в
формулах (1) и
(2) должны быть приравнены единице.
7 Требования к определению коэффициентов влияния масштабного фактора, концентрации напряжений, качества поверхности
7.1 Коэффициенты влияния масштабного фактора (абсолютных размеров поперечного сечения) при изгибе

и кручении

вычисляют по следующим формулам:

(8)

(9)
где

и

- пределы выносливости детали или гладкого образца с размерами поперечного сечения, равными размерам детали в опасном сечении.
Коэффициенты

и

определяют экспериментально по результатам испытаний образцов или детали.
При отсутствии экспериментальных данных о влиянии масштабного фактора на предел выносливости образцов из материала детали значение коэффициента

следует вычислять по формуле

(10)
где

- нижняя граница снижения

при увеличении размеров поперечного сечения,

;

- от 0,01 до 0,03, мм
-1;
D - диаметр образца, мм.
В том случае, если механические свойства заготовки детали контролируются по ТУ на деталь, то значение

- от 0,75 до 0,85.
Коэффициент влияния масштабного фактора при кручении

принимают равным

.
7.2 Эффективные коэффициенты концентрации напряжений

и

вычисляют по следующим формулам:

(11)

(12)
где

и

- пределы выносливости образцов или деталей с размерами поперечного сечения, равными размерам детали в опасном сечении, и с концентратором напряжений.
При отсутствии экспериментальных данных допускается вычислять эффективные коэффициенты концентрации напряжений

и

по следующим формулам:

(13)

(14)
где

и

- коэффициенты чувствительности к концентрации при изгибе и кручении;

и

- теоретические коэффициенты концентрации.
Теоретические коэффициенты концентрации

и

вычисляют по следующим формулам:

(15)

(16)
где

и

- максимальные напряжения у поверхности концентратора напряжений при изгибе и кручении в опасном сечении детали;

и

- номинальные напряжения, определенные в том же сечении без учета концентрации напряжений.
7.2.1 Значение теоретических коэффициентов концентрации

и

для концентраторов простых форм (отверстия, выточки, надрезы, галтели) определяют по ГОСТ 25.504 и по номограммам, графикам и зависимостям, приведенным в справочной литературе.
Для концентраторов сложных форм расчетное определение

и

должно быть выполнено путем применения численных методов и электронно-вычислительных машин (ЭВМ) по программам расчета

,

и

,

.
7.2.2 Значения коэффициента чувствительности к концентрации при изгибе

для различных теоретических коэффициентов концентрации

следует вычислять по формуле

(17)
где a - параметр материала.
7.2.3 Значение коэффициента чувствительности к концентрации при изгибе

для данного материала должно быть определено по результатам испытаний на усталость при заданной температуре партии образцов с концентратором напряжений, соответствующим концентрации напряжений детали.
7.2.4 При отсутствии экспериментальных данных коэффициент чувствительности к концентрации напряжений для данного типа материала и

, равного 2,0, определяют в соответствии с
приложением Б.
При выборе значения параметра
a в пределах указанного интервала для каждого типа материала следует ориентироваться на данное отношение

: верхнему пределу

соответствует нижняя граница интервала для параметра
a.
7.2.5 Определение значений коэффициента чувствительности к концентрации напряжений

при повышенной температуре приведено в
приложении В. При отсутствии экспериментальных данных применяют следующую зависимость:

(18)
где

- от 0,2 до 0,4;

.
7.2.6 При отсутствии экспериментальных данных для

следует принимать

.
7.3 Коэффициент влияния качества поверхности

вычисляют по формуле:

(19)
где

- предел выносливости элементов детали или образцов с качеством поверхности, соответствующим качеству поверхности опасного сечения;

- предел выносливости элементов детали или образцов после механической обработки шлифованием со значением параметра шероховатости поверхности Ra = 0,16 - 0,32 мкм.
Предел выносливости

следует определять экспериментально на элементах детали с сохранением состояния поверхности в опасном сечении, характерного для технологии производства данной детали.
7.3.1 Влияние коррозии на предел выносливости учитывают путем введения коэффициента влияния коррозии

, который вычисляют по формуле

(20)
где

- предел выносливости деталей или образцов, прошедших эксплуатацию в коррозионных условиях или выдержанных в средах, имитирующих условия эксплуатации.
Коэффициент влияния коррозии

должен быть найден экспериментально по данным испытаний деталей с характерным для эксплуатации коррозионным поражением.
При отсутствии экспериментальных данных допускается определение коэффициента влияния коррозии

в соответствии с
приложением Г или по следующим формулам:

(21)
где
h - глубина максимального коррозионного поражения в изломе деталей или образцов, испытанных на усталость при определении

, мм.
При отсутствии результатов данных испытаний на усталость значение h определяют исходя из соотношений:

или

, (22)
где

- среднее значение глубины коррозионных поражений на шлифах в сечениях по местам скопления следов коррозии, мм;

- средняя максимально измеренная глубина коррозионного поражения в сечениях, мм.
Количество сечений в зоне наибольшего скопления следов коррозии должно быть не менее четырех.
Значение коэффициента влияния коррозии

для коррозии под напряжением, наблюдаемой в конструкционных сталях с высоким уровнем остаточных напряжений, следует принимать равным 0,2 - 0,3.
Зависимость коэффициента влияния коррозии

от температуры отпуска для конструкционных жаростойких и жаропрочных сталей приближенно следует определять исходя из условия:

(23)
где

и

- значения коэффициента влияния коррозии и предела прочности стали, термообработанной по режиму отпуска на пониженную чувствительность к коррозии.
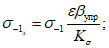
7.3.2 Влияние шероховатости поверхности на предел выносливости учитывается путем введения коэффициента влияния шероховатости поверхности

, который вычисляют по формуле

(24)
где

- предел выносливости элементов детали или образцов с заданной шероховатостью поверхности.
При отсутствии экспериментальных данных значения коэффициента влияния шероховатости поверхности

вычисляют в соответствии с
приложением Г.
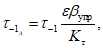
7.3.3 Влияние упрочнения поверхности наклепом учитывают путем введения коэффициента влияния упрочнения

, который вычисляют по формуле

(25)
где

- предел выносливости детали или ее элементов после операции упрочнения.
Значения коэффициента влияния упрочнения

вычисляют экспериментально или в соответствии с
приложением Г.
7.4 При повреждении упрочненной поверхности коррозией в
формулах (1) и
(2) следует принимать

и

.
При повреждении коррозией поверхностей с различной шероховатостью следует принимать

и

.
7.5 Пример расчета предела выносливости при изгибе и кручении вала турбины приведен в
приложении Д.
8 Требования к определению пределов выносливости деталей при асимметричном цикле
8.1 Влияние асимметрии цикла на пределы выносливости деталей определяют экспериментально по результатам испытаний образцов с концентратором напряжений при асимметричном растяжении-сжатии или симметричном цикле и заданном значении среднего напряжения цикла в условиях нагрева при рабочей температуре. Пределы выносливости детали при асимметричном цикле растяжения

и кручении

вычисляют по формулам:

(26)

(27)
где

и

- амплитуды предельных значений напряжений материала при растяжении и кручении, определенные на образцах с асимметрией цикла, концентрацией напряжений и при повышенной температуре;

и

- пределы выносливости материала при растяжении и кручении симметричного цикла, определенные на образцах с концентрацией напряжений при повышенной температуре.
8.2 При отсутствии экспериментальных данных амплитуды предельных значений напряжений материала при растяжении и кручении

следует вычислять по формулам:
- для титановых и никелевых сплавов:

(28)
где

- среднее напряжение цикла;

- предел прочности или предел длительной прочности материала за время, равное длительности испытания образца на базе 2·10
7 циклов;

и

- параметры материала, зависящие от температуры; значение параметра

для различных типов материалов приведены в
приложении Б; для приближенной оценки по
формуле (28) 
;
- для углеродистых и конструкционных сталей следует принимать

,

:

(29)
8.3 При приближенной оценке при
T <= 0,3
Tо.с допускается амплитуду предельных напряжений

вычислять по формуле

(30)
где

- коэффициент асимметрии цикла, вычисляемый по формуле

(31)
8.4 При кручении амплитуду предельных напряжений

следует вычислять по формуле

(32)
где

изменяется в пределах от 0,05 до 0,10.
9 Требования к определению пределов выносливости деталей при сложном напряженном состоянии
9.1 Влияние сложного напряженного состояния на пределы выносливости деталей следует учитывать по результатам испытаний образцов с концентрацией напряжений при заданном соотношении составляющих цикла и заданной температуры.
9.2 Предел выносливости деталей при асимметричном цикле сложного напряженного состояния

, выраженный через интенсивность напряжений, вычисляют по формуле

(33)
где

- предел выносливости детали, выраженный через интенсивность напряжений, вычисляют по формуле

(34)
где

- среднее напряжение цикла, выраженное через первое главное напряжение;

- коэффициент асимметрии цикла при сложном напряженном состоянии, вычисляемый по формуле

(35)
10 Требования к определению пределов ограниченной выносливости
10.1 Пределы ограниченной выносливости

при продолжительности испытаний менее 2·10
7 циклов следует вычислять исходя из представления кривой усталости в виде двух прямых отрезков, построенных в координатах

и сходящихся в точке с координатами

,

.
Уравнения отрезков имеют следующий вид:
где m1 и m2 - показатели степеней отрезков кривой усталости.
Общий вид кривых усталости и значения параметров уравнения кривых усталости приведены в
приложении Е.
10.2 Если второй отрезок кривой усталости не имеет наклона, т.е.
m2 >= 100, то предел выносливости на базе более 2·10
7 циклов

вычисляют по формуле

(36)
Если кривая усталости не имеет перелома, т.е.
m1 =
m2 =
m, то предел выносливости

вычисляют по формуле

(37)
Если кривая усталости имеет два наклонных участка, то предел выносливости

вычисляют по формуле

(38)
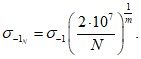
10.3 Пределы выносливости на базе более 2·10
7 циклов

, но не превышающей 1·10
8 циклов, вычисляют по формуле

(39)
Допускается предел выносливости детали из титановых сплавов на базе 1·10
8 циклов

вычислять по формуле

(40)
10.4 Предел ограниченной выносливости образцов или деталей с концентрацией напряжений необходимо вычислять по
формуле (36), где следует параметр
m1 заменить на
mн, вычисляемый по формуле

(41)
11 Требования к определению пределов выносливости деталей при высокочастотных колебаниях
11.1 Пределы выносливости деталей при высокочастотных колебаниях следует определять экспериментально.
11.2 При отсутствии экспериментальных данных предел выносливости материала при высоких частотах следует принимать равным пределу выносливости, определенному экспериментально при испытаниях на усталость с более низкими частотами.
(справочное)
ПРИМЕРЫ ОПРЕДЕЛЕНИЯ ПРЕДЕЛА ВЫНОСЛИВОСТИ ДЕТАЛЕЙ
ПО РЕЗУЛЬТАТАМ НАТУРНЫХ ИСПЫТАНИЙ, СКОРРЕКТИРОВАННЫХ
ПО ДАННЫМ ИСПЫТАНИЙ ОБРАЗЦОВ
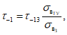
А.1 Расчет предела выносливости вала турбины при рабочей температуре
Предел выносливости вала турбины

определен при асимметричном цикле и нормальной температуре на специальной установке.
Испытаниями гладких образцов при нормальной и рабочей температуре
Tр установлено значение отношения пределов выносливости

и

при указанных температурах.
Предел выносливости вала турбины при рабочей температуре

вычисляют по формуле

(А.1)
А.2 Расчет диска компрессора при рабочей температуре и асимметричном цикле
Предел выносливости диска компрессора

определяют на установке-пульсаторе при нормальной температуре и симметричном цикле.
В ходе испытаний образцов с концентраторами напряжений, соответствующими зоне разрушения в диске, определяют пределы выносливости образцов при симметричном цикле в условиях нормальной

и рабочей

температуры, а также пределы выносливости при асимметричном цикле и рабочей температуре

.
Предел выносливости диска компрессора

вычисляют по формуле
(рекомендуемое)
ОПРЕДЕЛЕНИЕ ЗНАЧЕНИЙ ОТНОШЕНИЯ
, КОЭФФИЦИЕНТА
ЧУВСТВИТЕЛЬНОСТИ К КОНЦЕНТРАЦИИ НАПРЯЖЕНИЙ
, ПАРАМЕТРОВ
МАТЕРИАЛА a,
,
, ПРЕДЕЛА ПРОЧНОСТИ ПРИ ТЕМПЕРАТУРЕ
20 °C И ТЕМПЕРАТУРЫ Tо.с
Б.1 Значения отношения

,

при

и параметра
a для различных типов материалов при температуре 20 °C приведены в таблице Б.1.
Таблица Б.1
Тип материала | |  при  | a |
Титановые высокопрочные сплавы | 0,40 - 0,55 | 0,85 - 1,00 | 0 - 0,15 |
Легированные конструкционные стали | 0,40 - 0,50 | 0,60 - 0,80 | 0,25 - 0,65 |
Высокопрочные коррозионно-стойкие стали | 0,45 - 0,55 | 0,80 - 1,00 | 0 - 0,25 |
Жаропрочные стали | 0,30 - 0,45 | 0,60 - 0,80 | 0,25 - 0,65 |
Деформируемые жаропрочные никелевые сплавы | 0,25 - 0,35 | 0,25 - 0,45 | 1,20 - 3,00 |
Литейные жаропрочные никелевые сплавы | 0,15 - 0,20 | 0,15 - 0,35 | 1,85 - 5,65 |
Жаропрочные никелевые сплавы с направленной структурой | 0,20 - 0,30 | 0,25 - 0,45 <*> | 1,20 - 3,00 <*> |
<*> Без термовакуумной обработки при температуре гомогенизации сплава. |
Б.2 Значения предела прочности

, параметра

и температуры
Tо.с для различных типов материалов приведены в таблице Б.2.
Таблица Б.2
Тип материала |  , МПа (кгс/мм 2) | | Tо.с, °C |
Конструкционные, жаростойкие, жаропрочные стали | 1000 - 1300 (100 - 130) | 0,2 - 1,0 | 550 |
Титановые сплавы | 900 - 1300 (90 - 130) | 0,3 - 1,0 |
Жаропрочные деформируемые сплавы на основе никеля | 1000 - 1500 (100 - 150) | 2,0 - 2,5 | 750, 850 |
Жаропрочные литейные сплавы на основе никеля | 900 - 1200 (90 - 120) | 1,9 - 2,3 | 900 |
Б.3 Значение параметра

для различных типов материалов приведено в таблице Б.3.
Таблица Б.3
Тип материала | Значение параметра  при температуре, °C |
20 - 200 | Tо.с |
Конструкционные стали | 1,0 - 1,2 | 1,3 - 1,5 |
Титановые сплавы | 0,9 - 1,0 | 1,1 - 1,3 |
Никелевые сплавы | 0,9 - 1,1 | 1,2 - 1,3 |
1,0 - 1,1 | 1,3 - 1,8 |
Никелевые литейные сплавы | 0,9 - 1,0 | 1,3 - 1,5 |
(рекомендуемое)
ОПРЕДЕЛЕНИЕ ЗНАЧЕНИЙ КОЭФФИЦИЕНТА ЧУВСТВИТЕЛЬНОСТИ
К КОНЦЕНТРАЦИИ НАПРЯЖЕНИЙ
ПРИ ПОВЫШЕННОЙ ТЕМПЕРАТУРЕ
В.1 Зависимость

от температуры для конструкционных сталей приведена на
рисунке В.1.
1 - сталь 30ХМ; 2 - сталь 40Г; 3 - сталь 2Х13;
4 - сталь 40ХНМА; 5 - сталь 10Г2
В.2 Зависимость

от температуры для жаропрочных сплавов приведена на рисунке В.2.
1 - сплав Cr-Ni-Co; 2 - сплав ХН70ВМТЮ; 3 - сплав ХН77ТЮРУ;
4 - никелевый сплав, отлитый методом направленной
кристаллизации; 5 - литейный сплав ВЖЛ12У
Рисунок В.2
(рекомендуемое)
ОПРЕДЕЛЕНИЕ ЗНАЧЕНИЙ КОЭФФИЦИЕНТОВ ВЛИЯНИЯ КОРРОЗИИ,
ШЕРОХОВАТОСТИ, УПРОЧНЕНИЯ ПОВЕРХНОСТИ НАКЛЕПОМ
Г.1 Зависимость коэффициента влияния коррозии

от глубины коррозионного поражения приведена на
рисунке Г.1.
Г.2 Зависимость коэффициента влияния шероховатости

от глубины обработки поверхности приведена на
рисунке Г.2.
1 - высокопрочные жаростойкие стали и титановые сплавы
при T = 20 °C; 2 - никелевые жаропрочные стали
при T = 20 °C; 3 - высокопрочные жаростойкие стали
при кручении при T = 20 °C
Г.3 Зависимость коэффициента влияния упрочнения

от температуры приведена на
рисунке Г.3.

- обкатка роликом;

- обдувка микрошариками;

- гидродробеструйная обработка;

- ультразвуковая обработка;
1 - титановые сплавы; 2 - высокопрочные жаростойкие стали,
образцы;

, упрочнение обдувкой микрошариками;
3 - никелевые жаропрочные сплавы, образцы гладкие,
упрочнение обдувкой дробью; 4 - жаропрочные сплавы,
деформируемые и литейные,

- 3,5 - 4,0
(справочное)
ПРИМЕР РАСЧЕТА ПРЕДЕЛА ВЫНОСЛИВОСТИ ПРИ ИЗГИБЕ
И КРУЧЕНИИ ВАЛА ТУРБИНЫ
Д.1 Исходные данные:
- диаметр вала в рассчитываемом сечении D = 147 мм;
- материал вала - сталь 13Х12Н2В2МФ (ЭИ961). Механические свойства вала контролируются по 1-й группе контроля от каждой штамповки,

(110 кгс/мм
2);
- параметр шероховатости поверхности Ra = 1,8 мкм;
- наружная и внутренняя поверхности вала наклепаны микрошариками;
- температура вала - 300 °C;
- средние напряжения цикла от крутящего момента

и растягивающие напряжения изгиба

от газовых и центробежных сил вращения вала равны:
- режим полета 1:

(32,4 кгс/мм
2),

(2,0 кгс/мм
2);
- режим полета 2:

(38,4 кгс/мм
2),

(4,4 кгс/мм
2).
Д.2 Пределы выносливости вала при изгибе и кручении вычисляют по следующим формулам:

(Д.1)

(Д.2)
где

;

.
В данном случае

и

- пределы выносливости материала при изгибе и кручении, определенные при температуре 300 °C на образцах, изготовленных из прутка, и приведенные по уровню свойств к нижней границе ТУ на вал.
Д.3 Определение значений величин в
формулах (Д.1) и
(Д.2) следующее:

- по данным испытаний образцов из прутка;

(48,5 кгс/мм
2). Поправка на свойства материала детали:
Таким образом,

(24,2 кгс/мм
2).
Коэффициент влияния масштабного фактора

вычислен по
формуле (10) при

и
D = 147 мм;

.
Эффективные коэффициенты концентрации напряжений

и

вычислены по
формулам (13) и
(14). Для стали 13Х12Н2В2МФ

, поэтому

и

.
Теоретические коэффициенты концентрации

и

определены приближенно исходя из справочных материалов с учетом формы пустотелого вала.
Коэффициент | Значение |
| 0,76 |
| 1,14 |
| 1,67 |
| 1,16 |
| 0,23 |
| 0,05 |
Д.4 Пределы выносливости вала при симметричном изгибе и кручении по
формулам (Д.1) и
(Д.2) равны:

;

.
Д.5 Амплитуды предельных напряжений вала в рассчитываемом сечении при изгибе

и кручении

вычисляют по
формулам (30) и
(32).
Предел прочности

для вычисления коэффициента асимметрии

определен экспериментально при температуре 300 °C. Значение

для вычисления

принято равным 0,05.
Д.6 Амплитуды предельных напряжений вала при изгибе и кручении равны:
| | ИС МЕГАНОРМ: примечание. Нумерация режимов дана в соответствии с официальным текстом документа. | |
- режим 1:

;

;
- режим 1:

;

.
(рекомендуемое)
ОБЩИЙ ВИД КРИВЫХ УСТАЛОСТИ И ЗНАЧЕНИЯ ПАРАМЕТРОВ УРАВНЕНИЙ
КРИВЫХ УСТАЛОСТИ ДЛЯ РАЗЛИЧНЫХ ТИПОВ МАТЕРИАЛОВ
И ПРИ РАЗЛИЧНЫХ ТЕМПЕРАТУРАХ
Е.1 Кривые усталости литейного жаропрочного сплава ВЖЛ12У приведены на графике, представленном на
рисунке Е.1, и в
таблице Е.1.
T, °C | m1 | m2 | |
20 | 3,6 | 100,0 | 1·107 |
700 | 7,6 | 29,9 | 1·106 |
900 | 10,3 | 4,5 | 6·107 |
Е.2 Значения параметров уравнений кривых усталости для разных типов материалов и при различных значениях температуры приведены в таблице Е.2.
Таблица Е.2
Тип материала | T, °C | m1 | m2 | |
Титановые сплавы | 20 - 200 | 6 | 50 | 1·105 - 4·105 |
200 - 350 | 10 | 45 | - |
350 - 400 | 16 | 40 | - |
Высокопрочные жаростойкие стали | 20 - 200 | 10 | 75 | 1·105 - 1·106 |
300 - 400 | 9 | 50 | - |
500 - 550 | 12 | БП | - |
Прочные стали | 20 - 400 | 8 | 50 | 5·106 - 1·107 |
400 - 500 | 11 | 40 | - |
500 - 700 | 19 | БП | - |
Жаропрочные сплавы для дисков и валов | 20 - 250 | 5 | 80 | 2·105 - 2·106 |
400 - 500 | 6 | 60 | 1·106 - 1·107 |
550 - 650 | 9 | 50 | 1·106 - 1·107 |
700 - 750 | 18 | БП | - |
Жаропрочные деформируемые сплавы | 200 - 500 | 5 | БП | - |
650 - 750 | 10 | 100 | 5·106 - 2·107 |
750 - 850 | 16 | БП | - |
850 - 950 | 12 | БП | - |
Жаропрочные литейные сплавы | 20 - 500 | 4 | БП | - |
650 - 750 | 6 | 80 | 5·106 - 2·107 |
750 - 850 | 10 | БП | - |
850 - 950 | 12 | 5 | >= 2·107 |
Примечания 1 БП - кривая усталости не имеет перелома. 2 Интервалы значений m1 и m2 - в пределах +/- 25% от среднего. |
УДК 621.433:620.178:006.354 | |
Ключевые слова: двигатели газотурбинные, методы расчета, предел выносливости |