Главная // Актуальные документы // ГОСТ Р (Государственный стандарт)СПРАВКА
Источник публикации
М.: Стандартинформ, 2020
Примечание к документу
Документ
введен в действие с 01.01.2021.
Название документа
"ГОСТ Р 58999-2020. Национальный стандарт Российской Федерации. Лопатки газотурбинных двигателей. Периодические испытания на усталость"
(утв. и введен в действие Приказом Росстандарта от 28.08.2020 N 597-ст)
"ГОСТ Р 58999-2020. Национальный стандарт Российской Федерации. Лопатки газотурбинных двигателей. Периодические испытания на усталость"
(утв. и введен в действие Приказом Росстандарта от 28.08.2020 N 597-ст)
Утвержден и введен в действие
Приказом Федерального
агентства по техническому
регулированию и метрологии
от 28 августа 2020 г. N 597-ст
НАЦИОНАЛЬНЫЙ СТАНДАРТ РОССИЙСКОЙ ФЕДЕРАЦИИ
ЛОПАТКИ ГАЗОТУРБИННЫХ ДВИГАТЕЛЕЙ
ПЕРИОДИЧЕСКИЕ ИСПЫТАНИЯ НА УСТАЛОСТЬ
Gas turbine engine blades. Periodic fatigue testing
ГОСТ Р 58999-2020
| | ИС МЕГАНОРМ: примечание. Код дан в соответствии с официальным текстом документа. | |
Дата введения
1 января 2021 года
1 РАЗРАБОТАН Федеральным государственным унитарным предприятием "Центральный институт авиационного моторостроения имени П.И. Баранова" (ФГУП "ЦИАМ им. П.И. Баранова")
2 ВНЕСЕН Техническим комитетом по стандартизации ТК 323 "Авиационная техника"
3 УТВЕРЖДЕН И ВВЕДЕН В ДЕЙСТВИЕ Приказом Федерального агентства по техническому регулированию и метрологии от 28 августа 2020 г. N 597-ст
4 ВВЕДЕН ВПЕРВЫЕ
Правила применения настоящего стандарта установлены в статье 26 Федерального закона от 29 июня 2015 г. N 162-ФЗ "О стандартизации в Российской Федерации". Информация об изменениях к настоящему стандарту публикуется в ежегодном (по состоянию на 1 января текущего года) информационном указателе "Национальные стандарты", а официальный текст изменений и поправок - в ежемесячном информационном указателе "Национальные стандарты". В случае пересмотра (замены) или отмены настоящего стандарта соответствующее уведомление будет опубликовано в ближайшем выпуске ежемесячного информационного указателя "Национальные стандарты". Соответствующая информация, уведомление и тексты размещаются также в информационной системе общего пользования - на официальном сайте Федерального агентства по техническому регулированию и метрологии в сети Интернет (www.gost.ru)
Настоящий стандарт устанавливает правила проведения периодических испытаний на усталость профильной части и ножки хвостовика лопаток.
Стандарт предназначен для контроля сопротивления усталости с целью подтверждения стабильности технологии по обеспечению требуемого сопротивления усталости окончательно изготовленных лопаток.
В настоящем стандарте использована нормативная ссылка на следующий стандарт:
ГОСТ 23207 Сопротивление усталости. Основные термины, определения и обозначения
Примечание - При пользовании настоящим стандартом целесообразно проверить действие ссылочных стандартов в информационной системе общего пользования - на официальном сайте Федерального агентства по техническому регулированию и метрологии в сети Интернет или по ежегодному информационному указателю "Национальные стандарты", который опубликован по состоянию на 1 января текущего года, и по выпускам ежемесячного информационного указателя "Национальные стандарты" за текущий год. Если заменен ссылочный стандарт, на который дана недатированная ссылка, то рекомендуется использовать действующую версию этого стандарта с учетом всех внесенных в данную версию изменений. Если заменен ссылочный стандарт, на который дана датированная ссылка, то рекомендуется использовать версию этого стандарта с указанным выше годом утверждения (принятия). Если после утверждения настоящего стандарта в ссылочный стандарт, на который дана датированная ссылка, внесено изменение, затрагивающее положение, на которое дана ссылка, то это положение рекомендуется применять без учета данного изменения. Если ссылочный стандарт отменен без замены, то положение, в котором дана ссылка на него, рекомендуется применять в части, не затрагивающей эту ссылку.
3 Термины, определения, обозначения и сокращения
3.1 В настоящем стандарте применены термины по ГОСТ 23207.
3.2 В настоящем стандарте использованы следующие обозначения и сокращения:

- напряжение, МПа;

- напряжение, при котором проводят контрольное испытание (контрольный уровень напряжения), МПа;

,

,

- пределы выносливости на базах, соответственно, 2·10
5, 2·10
6, 2·10
7 циклов нагружения для вероятности разрушения 0,5, МПа;

- предел выносливости на базе 2·10
7 циклов, определенный по шести и более неразрушившимся лопаткам, МПа;
N - число циклов до разрушения, или экспериментальная долговечность;
Nk - базовое число циклов нагружения или контрольная долговечность;
n* - число лопаток в партии, шт.;
n - число испытываемых лопаток или объем выборки из партии, шт.;
m - параметр для левой или правой ветви кривой усталости;
SlgN - среднее квадратическое отклонение (СКО) логарифма чисел циклов;
P - доля статистически дефектных лопаток партии (вероятность);
nd - число дефектных лопаток в выборке, шт.;
nC - приемочное число дефектных лопаток в контрольной выборке (допустимое значение nd < nC), шт.;
P1 - доля статистически дефектных лопаток в партии при нормальном ходе производства (вероятность);

- квантиль, соответствующий вероятности
P1;
P2 - доля статистически дефектных лопаток в партии, допустимая для работы изделия (вероятность);

- риск изготовителя или вероятность забраковать годную партию;

- риск заказчика или вероятность принять негодную продукцию;
j - обозначение
j-й лопатки на
i-м уровне напряжений

;
ni - число лопаток, испытанных на
i-м уровне напряжений

, шт.;
ОТК - отдел технического контроля.
4.1 Периодические испытания на усталость профильных частей и ножек хвостовиков лопаток, проводимые по настоящему стандарту, характеризуют стабильность производственного процесса по величине предела выносливости с определенной вероятностью его соответствия норме контролируемой характеристики, без выполнения статистических вычислений и графических операций в процессе контроля.
4.2 При периодических испытаниях на усталость согласно настоящему стандарту используются контрольные нормативы, представляющие собой контрольный уровень напряжения

, базовое число циклов нагружения
Nk и число испытываемых лопаток
n.
Контрольный уровень напряжения

, значения
Nk и
n определяют к началу серийного производства и применяют на протяжении периода установившегося состояния производства. При изменении предела выносливости лопаток более чем на 20% в связи с конструктивными или технологическими мероприятиями необходимо пересматривать контрольный уровень напряжения

.
4.3 Назначение контрольных нормативов при периодических испытаниях на усталость лопаток из анизотропных материалов (монокристаллов, композитных материалов и др.) должно соответствовать методам оценки предела выносливости.
4.4 Для обеспечения соответствия лопаток служебным функциям изделия (двигателя) и принятому методу производства при назначении контрольных нормативов учитывают действующие системы определения надежности через запасы прочности, имеющиеся случаи разрушения лопаток при доводке и эксплуатации серийной компоновки изделия, особенности технологии изготовления лопаток.
5 Отбор лопаток для периодических испытаний
5.1 В технической документации на лопатки должны быть указаны объем партии, номера ступеней, подвергаемых испытаниям, периодичность испытаний на усталость, порядок отбора лопаток с учетом требований по
4.3.
5.2 Для периодических испытаний на усталость отбирают лопатки, признанные годными по поверяемой части ОТК и принятые представителем заказчика.
6 Подготовка и проведение периодических испытаний
6.1 Контрольный уровень напряжения

определяют исходя из:
- уравнения кривой усталости

(1)
- среднего квадратического отклонения SlgN;
- доли статистически дефектных лопаток в партии P1 при нормальном ходе производства;
- базового числа циклов нагружения Nk при проведении периодических испытаний.
6.1.1 Определение параметров уравнения кривой усталости
6.1.1.1 Параметр
m уравнения (1) кривой усталости лопаток определяют, используя стандартный метод испытания на усталость.
6.1.1.2 Если на предприятии-изготовителе выполняются испытания на усталость и накопленные результаты позволяют построить кривую усталости и определить параметры
уравнения (1), их используют для соответствующей ступени двигателя для выбора уровня напряжений на базе
N = 2·10
6 циклов. Результаты накопленных испытаний должны быть получены при напряжениях, соответствующих базам
N = 2·10
5 и
N = 10
7 циклов.
6.1.2 Определение среднего квадратического отклонения
6.1.2.1 Среднее квадратическое отклонение логарифма долговечности
SlgN рекомендуется определять по результатам испытаний не менее 20 лопаток на уровне напряжений, соответствующем среднему значению предела выносливости для базы
N = 2·10
6 циклов по
уравнению (1).
Допускается определять
SlgN с помощью регрессионного анализа результатов усталостных испытаний согласно
приложению Б.
6.1.2.2 Если для определения SlgN не представляется возможным провести испытания на усталость лопаток, то следует использовать имеющиеся данные по определению SlgN для лопаток из того же материала, отличающихся по размерам не более чем в два раза и изготовленных по одинаковой технологии.
6.1.3 Определение контрольного уровня напряжения при периодических испытаниях на усталость
6.1.3.1 Контрольный уровень напряжения

определяют по номограммам, приведенным в
приложении А, или расчетом по зависимости, приведенной в
приложении Б.
6.2 Контрольный норматив по числу испытываемых лопаток
n от партии определяют по
приложению В по совокупности значений, заданных в нормативно-технической документации на продукцию:
- доли статистически дефектных изделий в партии при нормальном ходе производства P1;
- доли статистически дефектных лопаток в партии, допустимой для работы изделия P2;
- риска изготовителя

;
- риска заказчика

.
6.3 Значение Nk для лопаток выбирается равным 2·106 циклов.
6.4 Испытания всех
n лопаток выборки проводят при контрольном уровне напряжения

до базового числа циклов нагружения
Nk или до разрушения.
6.5 После испытания на усталость все лопатки подлежат контролю по принятой при производстве лопаток технологии обнаружения дефектов (трещин).
6.6 Разрушение лопаток по хвостовику (месту крепления) при испытаниях на усталость профильной части и/или ножки хвостовика не учитывается. Результат считается удовлетворительным, если лопатка прошла базу Nk. В случае разрушения места крепления до прохождения базы Nk требуется повторение испытания на дополнительном экземпляре лопатки.
6.7 При отсутствии левой ветки кривой усталости и рассчитанного контрольного напряжения допускается проводить периодический контроль на базе
N = 2·10
7 циклов при напряжении

, где коэффициент
a (<= 1,0) выбирается по результатам сравнения запаса по вибронапряжениям
KV и нормируемого значения
KV.
7 Обработка результатов периодических испытаний
7.1 Результаты периодических испытаний считаются удовлетворительными, если все
n лопаток не были разрушены на контрольном уровне напряжения

и базовом числе циклов нагружения
Nk. При положительных результатах испытаний должно быть принято согласованное с заказчиком решение о годности проверяемой партии. В случае разрушения хотя бы одной лопатки проводят испытания с удвоенным количеством лопаток той же партии, при тех же значениях контрольных нормативов

и
Nk.
7.2 При неудовлетворительных результатах повторных испытаний должна быть выявлена причина уменьшения сопротивления усталости, и принято решение о введении мероприятий по увеличению сопротивления усталости с определением предела выносливости и пересмотром контрольного уровня напряжения

.
Одновременно должно быть принято согласованное с заказчиком решение о годности проверяемой партии.
7.3 Если в процессе эксплуатации и работы на стенде в течение двух - пяти лет не наблюдалось дефектов лопаток контролируемой ступени, а результаты периодических испытаний в течение последнего года удовлетворительны, то разрешается увеличить межконтрольный период до одного года.
В случае появления дефектов на лопатках контролируемой ступени при годичном межконтрольном периоде, в зависимости от результатов исследования таких лопаток, принимается решение о необходимости изменения контрольного периода.
7.4 Накопленные результаты периодических испытаний необходимо использовать для поддержания стабильности технологии, обеспечивающей требуемое сопротивление усталости лопаток, и обоснования необходимой частоты контроля.
(рекомендуемое)
НОМОГРАММЫ ДЛЯ ОПРЕДЕЛЕНИЯ НАПРЯЖЕНИЯ 
А.1 Определение контрольного уровня напряжения

проводят по известным кривым усталости с показателем степени
m и
SlgN по уровням напряжений. Задав долю
P1 и контрольную долговечность
Nk, определяют контрольный уровень напряжения

, при котором с вероятностью (1 -
P1) не должно произойти разрушения.
А.2 Номограмма для определения контрольного уровня напряжения

строится по параметру показателя степени
m при заданных значениях
P1 и
Nk.
А.3 Номограмма определения контрольного уровня напряжения

для
P1 = 0,005;
Nk = 2·10
6 приведена на
рисунке А.1.
А.4 Номограмма определения контрольного уровня напряжения

для
P1 = 0,010;
Nk = 2·10
6 приведена на
рисунке А.2.
А.5 Номограмма определения контрольного уровня напряжения

для
P1 = 0,020;
Nk = 2·10
6 приведена на
рисунке А.3.
(рекомендуемое)
ПРИМЕР ОПРЕДЕЛЕНИЯ КОНТРОЛЬНОГО УРОВНЯ НАПРЯЖЕНИЯ 
Б.1 Испытания для оценки кривой усталости проводят не менее чем при трех амплитудах напряжений цикла, используя не менее четырех лопаток при каждой амплитуде.
Б.2 Для повышения точности оценки контрольного уровня напряжений целесообразно нижний

и верхний

уровни амплитуд напряжений назначать близкими к напряжениям, соответствующим базовым числам циклов
N1 = 10
7 и
N2 = 2·10
5 соответственно по предполагаемой средней кривой усталости. В этом случае база
Nk = 2·10
6 циклов, соответствующая контрольному уровню напряжений, будет находиться в центральной части оцененной кривой усталости. Оценка значений

и

может быть получена методом ступенчато-увеличивающейся нагрузки по результатам испытаний четырех лопаток (по две для каждого базового числа циклов).
Дополнительно проводят испытания на одном или двух равноотстоящих уровнях амплитуд напряжений.
| | ИС МЕГАНОРМ: примечание. В официальном тексте документа, видимо, допущена опечатка: имеется в виду таблица Б.1, а не таблица В.1. | |
Б.3 Для назначения уровней амплитуд напряжений

при усталостных испытаниях компрессорных лопаток из стали марки ЭИ-961Ш проведены испытания четырех лопаток методом ступенчато увеличивающейся нагрузки (две лопатки для базового числа циклов
N = 2·10
5 и две лопатки для базового числа циклов
N = 10
7). Результаты испытаний представлены в таблице В.1.
Таблица Б.1
Номер лопатки |  , МПа | , МПа | N циклов |  , МПа | |  , МПа |
1 | 640 | 40 | 2·105 | 760 | 0,06 | 740 |
2 | 0,08 |
3 | 440 | 107 | 480 | 8,10 | 460 |
4 | 560 | 3,10 | 540 |
<*> NP - число циклов до разрушения лопатки на уровне  . |
Б.4 Начальный уровень напряжений:

- для лопаток 1 и 2,

- для лопаток 3 и 4,
где

и

взяты по результатам испытаний аналогичных лопаток.
Ступень напряжения

(ступень рекомендуется выбирать в диапазоне 20 - 60 МПа в зависимости от наклона кривой усталости).
Б.5 Значение

определяется как среднее по двум лопаткам. Для каждой лопатки
где

- разрушающее напряжение, МПа.
Б.6 Назначаются уровни амплитуд напряжений

для испытаний по полученной кривой усталости, равные:
Б.7 Для получения кривой усталости и оценки значения
SlgN проведены испытания на усталость 21-й лопатки (по семь лопаток на каждом уровне напряжений). Результаты испытаний приведены на
рисунке Б.4 и в
таблице Б.2.
Номер уровня i | Уровень напряжения  , МПа | Номер образца | N·10-6 циклов | Число образцов на уровне |
1 | 500 | 1 | 4,470 | 7 |
2 | 6,460 |
3 | 7,940 |
4 | 8,320 |
5 | 8,510 |
6 | 27,500 |
7 | 28,800 |
2 | 620 | 1 | 0,250 |
2 | 0,470 |
3 | 1,820 |
4 | 2,000 |
5 | 2,190 |
6 | 2,450 |
7 | 2,690 |
3 | 740 | 1 | 0,074 |
2 | 0,107 |
3 | 0,129 |
4 | 0,144 |
5 | 0,240 |
6 | 0,251 |
7 | 0,288 |
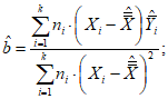
Б.8 Параметры

и

уравнения кривой усталости

(Б.1)
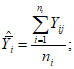
где

;
Y = lg
N.
Значение
SlgN определяют с помощью линейного регрессионного анализа, пренебрегая изменением дисперсии долговечности на рассматриваемом участке кривой усталости

. Формулы для расчета
SlgN:

(Б.2)
Точность расчета должна быть не ниже шести знаков.
Б.9 Результаты регрессионного анализа представлены в таблице Б.3.
Таблица Б.3
| | | rY/X | SlgN | n |
2,79 | 6,11 | 10,6 | -0,93 | 0,32 | 21 |
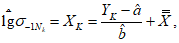
Б.10 Контрольный уровень напряжения

для базы
Nk = 2·10
6 рассчитывают по формуле

(Б.3)
где

(Б.4)

,
Yk = lg
Nk,
U(P = 0,005) = -2,58,
Yk = lgNk = lg(2·106) = 6,3,
тогда

.
Б.11 При расчете

с использованием
формулы (Б.4) и номограммы (
рисунок А.1, приложение А) при
SlgN = 0,32,
m = 10,6,
P1 = 0,005 и
Nk = 2·10
6 имеем:
Тогда

и

.
Б.12 Выбирают контрольные нормативы:
P1 = 0,005;
Nk = 2·10
6,

, равные расчетным.
Число испытываемых лопаток в контрольной партии
n = 6, при этом

, что соответствует рекомендуемым значениям.
Б.13 Обозначения, принятые в расчете:

- среднее значение независимой переменной
X или

;

- среднее значение независимой переменной
Y или lg
N;
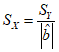
SY = SY регр - среднее квадратическое отклонение (СКО) SlgN вокруг линии регрессии;

- СКО логарифма напряжений

;

- показатель наклона кривой усталости;

- отношение модуля выборочного значения коэффициента уравнения
B к его СКО (отношение Стьюдента), характеризующее значимость коэффициента;
R = rY/X - коэффициент корреляции между Y и X, характеризующий тесноту линейной связи.
(рекомендуемое)
ОПРЕДЕЛЕНИЕ РАСЧЕТНОГО ЗНАЧЕНИЯ КОЛИЧЕСТВА ЛОПАТОК
ДЛЯ ИСПЫТАНИЯ НА УСТАЛОСТЬ
В.1 Для случая, когда в контролируемой выборке из n лопаток не должно содержаться ни одной дефектной лопатки, используется биномиальное распределение числа дефектных деталей выборки для построения оперативной характеристики.
В.2 Значения

,
P2 при заданных значениях
P1 следует выбирать по таблице В.1. Для всех
n принято

.
Таблица В.1
P1 | | P2 | | P2 | | P2 |
n = 1 | n = 2 | n = 3 |
0,0035 | 0,0040 | 0,90 | 0,0070 | 0,68 | 0,010 | 0,54 |
0,0050 | 0,0055 | 0,0100 | 0,015 |
0,0100 | 0,0100 | 0,0200 | 0,030 |
0,0200 | 0,0190 | 0,0380 | 0,059 |
Окончание таблицы В.1
P1 | | P2 | | P2 | | P2 |
n = 4 | n = 5 | n = 6 |
0,0035 | 0,014 | 0,44 | 0,0170 | 0,37 | 0,020 | 0,32 |
0,0050 | 0,020 | 0,0250 | 0,030 |
0,0100 | 0,038 | 0,0490 | 0,058 |
0,0200 | 0,078 | 0,0096 | 0,118 |
В.3 На основании анализа предшествующего контроля лопаток на усталость рекомендуется выбирать значения:
P1 = 0,0035 ... 0,0100;

;

;
n = 6.
| | ИС МЕГАНОРМ: примечание. Код ОКС дан в соответствии с официальным текстом документа. | |
УДК 629.7.036.3-226.2:620.178.32.006.354 | |
Ключевые слова: газотурбинные двигатели, лопатки, периодические испытания, усталость |