Главная // Актуальные документы // ГОСТ Р (Государственный стандарт)СПРАВКА
Источник публикации
М.: Стандартинформ, 2020
Примечание к документу
Документ
введен в действие с 01.01.2021.
Название документа
"ГОСТ Р 58990-2020. Национальный стандарт Российской Федерации. Турбины авиационных газотурбинных двигателей. Методика расчета характеристик турбины на среднем диаметре"
(утв. и введен в действие Приказом Росстандарта от 28.08.2020 N 588-ст)
"ГОСТ Р 58990-2020. Национальный стандарт Российской Федерации. Турбины авиационных газотурбинных двигателей. Методика расчета характеристик турбины на среднем диаметре"
(утв. и введен в действие Приказом Росстандарта от 28.08.2020 N 588-ст)
Утвержден и введен в действие
Приказом Федерального
агентства по техническому
регулированию и метрологии
от 28 августа 2020 г. N 588-ст
НАЦИОНАЛЬНЫЙ СТАНДАРТ РОССИЙСКОЙ ФЕДЕРАЦИИ
ТУРБИНЫ АВИАЦИОННЫХ ГАЗОТУРБИННЫХ ДВИГАТЕЛЕЙ
МЕТОДИКА РАСЧЕТА ХАРАКТЕРИСТИК ТУРБИНЫ НА СРЕДНЕМ ДИАМЕТРЕ
Turbines of aircraft gas turbine engines.
The method of calculation of turbine
characteristics at the middle diameter
ГОСТ Р 58990-2020
Дата введения
1 января 2021 года
1 РАЗРАБОТАН Федеральным государственным унитарным предприятием "Центральный институт авиационного моторостроения имени П.И. Баранова" (ФГУП "ЦИАМ им. П.И. Баранова")
2 ВНЕСЕН Техническим комитетом по стандартизации ТК 323 "Авиационная техника"
3 УТВЕРЖДЕН И ВВЕДЕН В ДЕЙСТВИЕ Приказом Федерального агентства по техническому регулированию и метрологии от 28 августа 2020 г. N 588-ст
4 ВВЕДЕН ВПЕРВЫЕ
Правила применения настоящего стандарта установлены в статье 26 Федерального закона от 29 июня 2015 г. N 162-ФЗ "О стандартизации в Российской Федерации". Информация об изменениях к настоящему стандарту публикуется в ежегодном (по состоянию на 1 января текущего года) информационном указателе "Национальные стандарты", а официальный текст изменений и поправок - в ежемесячном информационном указателе "Национальные стандарты". В случае пересмотра (замены) или отмены настоящего стандарта соответствующее уведомление будет опубликовано в ближайшем выпуске ежемесячного информационного указателя "Национальные стандарты". Соответствующая информация, уведомление и тексты размещаются также в информационной системе общего пользования - на официальном сайте Федерального агентства по техническому регулированию и метрологии в сети Интернет (www.gost.ru)
Настоящий стандарт распространяется на охлаждаемые и неохлаждаемые турбины авиационных газотурбинных двигателей и устанавливает методику поверочного расчета характеристик турбины на среднем диаметре с использованием электронно-вычислительных машин (ЭВМ).
В настоящем стандарте применены следующие обозначения:
aкр - критическая скорость, м/с;
a - диаметр окружности, вписанной в горловом сечении решетки, м;
c, w - скорость потока в абсолютном и относительном движении, м/с;

- скорость изоэнтропического истечения в ступени, м/с;
D - диаметр, м;
d - толщина выходной кромки профиля, м;
F - площадь, м2;
G - расход, кг/с;
Gв - расход охлаждающего воздуха, кг/с;
Gгор - расход рабочего тела в горловом сечении лопаточного венца, кг/с;
Gг - расход рабочего тела (газа) в осевом зазоре, кг/с;

- относительный расход охлаждающего воздуха, отнесенный к расходу газа в горловом сечении первого соплового аппарата;
H - теплоперепад, Дж/кг;

- относительный теплоперепад ступени турбины;
h - высота лопатки, м;
K - степень конфузорности;
Kг, Kв - показатель адиабаты газа, воздуха;
L - удельная работа, Дж/кг;
l - хорда профиля, м;
Nu, Nт - мощность без учета, с учетом потерь в радиальном зазоре, Вт;
N - число лопаточных венцов;

- коэффициент релаксации;

- коэффициент восстановления полного давления;

- сумма углов, град;
nоб - частота вращения ротора, об/мин;
P - усилие, Н;
p - давление, Н/м2;
R - газовая постоянная, Дж/кг·К;
r - радиус, м;
Re - число Рейнольдса;
T - температура, К;
t - шаг решетки, м;
u - окружная скорость, м/с;

- параметр турбины;
Z - число лопаток в лопаточном венце;
Zл - число гребней лабиринтного уплотнения;

,

- углы потока в абсолютном или относительном движении;

- коэффициент избытка воздуха;

- угол атаки набегающего потока во входном сечении венца;

- ширина щели;

- радиальный зазор, мм;

- угол отгиба;

- шаг, погрешность;

- коэффициент потерь в радиальном зазоре;

- коэффициент потерь;

- коэффициент полезного действия (КПД);

- коэффициент приведенной скорости;

- динамическая вязкость, Па·с;

- удельная теплоемкость при постоянном давлении, Дж/кг·К;

- газодинамическая функция температуры;

- газодинамическая функция давления;

- приведенная плотность потока массы;

- коэффициент в формуле расхода;

- плотность газа, кг/м
3;

,

- коэффициент скорости в сопловой или рабочей решетках;

- перепад давления в турбине;

- относительная величина.
Нижние индексы:
l - первый лопаточный венец;
ад - адиабатический;
а - аксиальный; в осевом направлении;
в - воздух;
вт - вторичные; во втулочном сечении;
г - газ;
гор - горловой;
д. гор - до горлового сечения;
з - зазор;
к - конструктивный;
кр - кромочный; критический;
л - лабиринт;
нар - в наружном сечении;
нач - начальное значение параметра;
охл - охлаждение;
опт - оптимальный;
п - первичный;
пр - профильные;
п. гор - после горлового сечения;
пер - перемычка;
пред - предельный;
см - смешение;
ср - средний;
t - изоэнтропический;
u - в окружном направлении;
u1 - в окружном направлении перед рабочим колесом;
т - относится к ступени, мощностной;
р.т - расчетная точка;
щ - щель;
ос - осевой;

- суммарный;

- относится к турбине;
тр - трение;
ут - утечки;
эф - эффективный;
max, min - наибольшее, наименьшее значение параметра;
0 - перед турбиной, во входном сечении венца;
1 - за сопловым аппаратом;
гор 1 - в горловом сечении соплового аппарата;
1с - за сопловым аппаратом в абсолютном движении;
1с. см - за сопловым аппаратом после смешения рабочего тела и охлаждающего воздуха;
1w - перед рабочим колесом в относительном движении;
2 - за рабочим колесом;
гор 2 - в горловом сечении рабочего колеса;
2w - за рабочим колесом в относительном движении;
2w см - за рабочим колесом после смешения рабочего тела и охлаждающего воздуха;
2с - за рабочим колесом в абсолютном движении;
u1 - в окружном направлении перед рабочим колесом;
i = l,..., N - порядковый номер лопаточного венца;

- порядковый номер ступени турбины.
Верхние индексы:
0 - в начальном приближении; в автомодельной области по числу Re; без учета потерь в радиальном зазоре;
n, n - 1 - номер последовательного приближения, расчета;
* - относится к параметрам заторможенного потока.
3 Общие положения в расчете характеристик охлаждаемых турбин
Газодинамический расчет характеристик охлаждаемых газовых турбин проводится на среднем диаметре по одномерной теории.
При подмешивании охлаждающего воздуха к основному потоку учитываются:
- увеличение расхода рабочего тела в лопаточных венцах;
- дополнительные потери

в потоке рабочего тела;
- изменение температуры смеси газа и воздуха за венцами.
Подвод охлаждающего воздуха в лопаточные венцы осуществляется до и после горлового сечения.
3.1 Приведенный расход охлаждающего воздуха через подводящие каналы системы охлаждения зависит:
- от конструктивной схемы охлаждения, определяющей потери полного давления

в системе охлаждения;
- отношения давления воздуха
pв в месте его выдува в проточную часть турбины к давлению

на входе в систему охлаждения;
- отношения температуры воздуха

на входе в систему охлаждения к температуре

рабочего тела в горловом сечении первого соплового аппарата турбины

.
Давление в месте выдува охлаждающего воздуха можно принять равным давлению во внешнем потоке газа (pв = pг).
3.2 В турбине с определенной схемой охлаждения, работающей автономно (испытание турбины на стенде), температуры могут выбираться независимо от других определяющих параметров. Режим работы зависит от

,

и отношения давлений

.
Приведенный расход газа зависит от

,

и режима работы системы охлаждения, т.е.

.
Относительный расход охлаждающего воздуха зависит от

,

и отношений давлений и температур

.
При выпуске охлаждающего воздуха в проточную часть появляются дополнительные потери

, в основном зависящие от конструктивных параметров схемы выдува и относительного расхода охлаждающего воздуха

.
В коэффициент

лопаточного венца можно ввести увеличение профильных потерь от повышенной турбулентности внешнего потока.
Характеристика работающей автономно охлаждаемой турбины представляется зависимостями параметров
от независимых переменных

.
3.3 При работе турбины в системе двигателя параметры
определяются характеристикой компрессора (и вентилятора) и законом регулирования двигателя. Характеристика турбины на линии совместных режимов работы может быть представлена зависимостями параметров
от одного независимого переменного

.
В двигателе возможно отключение подачи охлаждающего воздуха и скачкообразное изменение

на линии совместных режимов работы.
3.4 В данной методике, в узком диапазоне изменения

,

(например, вблизи расчетной точки) принимаются постоянными

,
что является упрощенным заданием характеристики системы охлаждения.
4 Расчет характеристик турбины
Расчет характеристик турбины проводят последовательно для всех лопаточных венцов, начиная с первого соплового аппарата первой ступени. В каждом лопаточном венце последовательными приближениями определяют скорость течения рабочего тела.
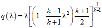
Теплоемкость газа в процессе расширения - переменная, определяемая показателем адиабаты в зависимости от температуры T в диапазоне от 200 до 1900 К, рассчитывается по формуле

, (1)
справедливой для коэффициента избытка воздуха в газе

.
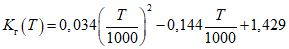
Динамическая вязкость газа аппроксимируется в диапазоне изменения температуры T от 873 до 1800 К и рассчитывается по формуле

. (2)
4.1 Исходные данные для расчета
4.1.1 Общее число лопаточных венцов - N.
4.1.2 В каждом лопаточном венце задаются: число лопаток
Z; в выходном сечении средний диаметр
D и высота лопатки
h; хорда профиля
l; толщина выходной кромки
d; конструктивный угол во входном сечении венца

; эффективный угол в выходном сечении венца

, площадь горлового сечения
Fгор.
Площадь горлового сечения лопаточного венца при переменном по радиусу угле

рассчитывают по формуле

, (3)
а при постоянном по радиусу угле

- по формуле

. (4)
4.1.3 На входе в турбину задаются параметры газа

,

,

(угол потока),
Rг (показатель адиабаты
Kг рассчитывают для каждого венца внутри программы).
4.1.4 Параметры охлаждающего воздуха, подмешиваемого к основному потоку:
- до горлового сечения

;
- после горлового сечения

.
Показатель адиабаты Kв, газовая постоянная воздуха Rв.
Дополнительные потери в охлаждаемой решетке

следует определять перед расчетом характеристики.
В неохлаждаемой решетке

;

.
Для каждого лопаточного венца задается оптимальная величина

, при которой коэффициент профильных потерь

минимален. Величина

в дозвуковых решетках может быть принята равной 0,9 для сопловых и 0,8 для рабочих решеток.
4.1.5 Влияние угла атаки рассчитывают по формуле

. (5)
В области положительных углов атаки (i > 0) можно принять Ai>0 = 0,8, в области отрицательных углов атаки (i < 0) можно принять Ai<0 = 0,05 - 0,1.
Для расчета потерь на перетекание в радиальном зазоре задаются:
- тип рабочих лопаток - бандажированные или безбандажные;
- величины радиального зазора

;
- хорда профиля на периферии lнар;
- эффективный угол в выходном сечении рабочего венца на периферии

;
- в бандажированных лопатках число Zл гребней лабиринтного уплотнения.
Характеристику турбины с переменным по режимам работы радиальным зазором

можно определить параметрически, просчитав ее для нескольких значений радиального зазора.
4.1.6 Область расчета характеристики задается начальными значениями приведенных скоростей первой ступени

и

, шагами изменения параметров

,

и числами точек расчета
N1 по

и
N2 по

.
4.1.7 Задаются требуемые относительные точности расчета

при достижении

,

и

- при расчете

в горловом сечении венца. Рекомендуется принимать

, а

. Коэффициент релаксации

при расчете

в венце может быть принят

.
4.2 Последовательность расчета характеристик
4.2.1 Параметры, постоянные при расчете характеристик:
- геометрические константы

; (6)
- сумма углов лопаточного венца

; (7)
- степень конфузорности решетки

; (8)
- относительная толщина выходной кромки лопатки

. (9)
Коэффициенты потерь трения

и кромочных потерь

лопаточного венца в области, автомодельной по числу
Re, при отсутствии угла атаки на входе, диапазона углов отгиба

от 10° до 20°, близкой к оптимальной густоте решетки, для оптимальных режимов течения

, рассчитывают по формулам:

; (10)

. (11)
Здесь области определения переменных:
Относительные расходы рабочего тела:
- в горловом сечении лопаточного венца

; (12)
- за венцом в осевом зазоре

. (13)
4.2.2 Приведенную окружную скорость первого рабочего колеса

следует изменять в цикле с шагом

.
Истинный показатель адиабаты рабочего тела рассчитывают по формуле

. (14)
Число оборотов ротора рассчитывают по формуле

. (15)
4.2.3 Приведенную скорость течения в выходном сечении соплового аппарата первой ступени

следует изменять в цикле с шагом

.
4.2.4 Расчет турбины выполняют, начиная с первого соплового аппарата.
4.2.5 Параметры потока газа лопаточного венца в начальном приближении:
- истинный показатель адиабаты рабочего тела в сопловом аппарате (рабочем колесе)

;
- критическая скорость при

,


; (16)
- плотность рабочего тела по параметрам заторможенного потока

. (17)
Начальное приближение для приведенной скорости

всех лопаточных венцов, кроме первого, рассчитывают по формулам:
- при расчете первой точки характеристики по

для газа постоянной плотности

; (18)
- при расчете последующих точек характеристики

с использованием результатов предыдущей
n - 1 точки характеристики данного венца

(19)
4.2.6 Угол выхода потока из сопловой (рабочей) решетки:
-

рассчитывают по формуле

; (20)
-

рассчитывают по формуле, справедливой для плоского адиабатического течения в решетке с тонкими кромками и незначительными потерями в косом срезе решетки

. (21)
4.2.7 Число Рейнольдса потока в лопаточном венце рассчитывают в следующей последовательности:

; (22)

; (23)

; (24)

. (25)
4.2.8 Расчет коэффициента потерь в выходном сечении венца
Коэффициенты потерь трения

и кромочных

рассчитывают по
формуле (10).
В области 10
4 <
Re <= 10
6 коэффициент профильных потерь увеличивается на

.
При отклонении значения

от оптимального значения

для данной решетки коэффициент профильных потерь для выходного сечения венца увеличивается по приближенной экспериментальной зависимости

, (26)
где


,

;

- оптимальное значение

(ориентировочно

,

).
Коэффициенты a1 и a2:
при

для сопловых решеток:
a1 = 0,3;
a2 = -0,015;
для рабочих решеток: a1 = 0,28; a2 = +0,035;
при

для сопловых и рабочих решеток:
a1 = 0,01;
a2 = -0,01.
Коэффициент профильных потерь (

при угле атаки
i = 0) без влияния скорости потока

. (27)
При наличии угла атаки на входе коэффициент профильных потерь увеличивается на

, (28)
где

,

,
Коэффициент профильных потерь при наличии угла атаки

. (29)
Коэффициент профильных потерь в горловом сечении рассчитывают по приближенной зависимости без влияния скорости потока

. (30)
Коэффициент вторичных потерь:
- в выходном сечении

; (31)
- в горловом сечении

. (32)
Суммарный коэффициент потерь:
- в выходном сечении венца

; (33)
- в горловом сечении (при

)

. (34)
Если значение

сильно возрастает

, то осуществляется переход к следующей точке характеристики по

, начиная с
4.2.3, или точке характеристики по

, начиная с
4.2.26.
4.2.9 Коэффициент скорости:
- в выходном сечении венца

; (35)
- в горловом сечении венца

. (36)
4.2.10 Текущий расход газа в горловом сечении соплового (рабочего) венца
Коэффициент восстановления полного давления в венце рассчитывают по формуле

, (37)
где
Расход рабочего тела в горловом сечении соплового (рабочего) венца рассчитывают по формуле

. (38)
4.2.11 Критический расход газа в горловом сечении лопаточного венца
Критический режим течения соответствует максимальной плотности тока

в горловом сечении решетки. При

расход газа в венце достигает максимального значения
Gгор.кр.
Критический расход газа в венце рассчитывается последовательно.
Начальное значение коэффициента потерь без учета влияния скорости потока

. (39)
Коэффициент скорости

. (40)
Приведенную скорость, соответствующую критическому расходу, вычисляют по формуле

(41)
где

;

.
Уточненный коэффициент потерь в горловом сечении

. (42)
Уточненный коэффициент скорости

. (43)
Коэффициент восстановления полного давления в венце рассчитывают по формуле

, (44)
где

Критический расход газа в венце рассчитывают по формуле

. (45)
Если в венце приведенная скорость больше критической

, то текущий расход рабочего тела приравнивается к критическому, т.е.
Gгор1 =
Gгор1кр.
В первом венце по заданному значению

рассчитывают расход рабочего тела в горловом сечении первого соплового аппарата
4.2.12 Анализ режимов течения в венце
Если заданный расход газа через данный лопаточный венец больше критического (Gгорi > Gгор.крi), то в венце "невозможный режим" течения газа.
Рассчитывают наличие "запертых по расходу" лопаточных венцов, расположенных вверх по потоку от рассматриваемого.
Если вверх по течению нет "запертых по расходу" лопаточных венцов, тогда уточняется расход газа в первом венце турбины:
- при немонотонной сходимости методом хорд с использованием результатов предыдущих приближений n и n - 1

; (46)
- при монотонной сходимости

. (47)
Уточненное значение

первого венца находится для показателя адиабаты
Kгl интерполяцией функции

заданной таблично на отрезке

по значению

. (48)
Величина

уточняется по формуле

. (49)
Если вверх по течению есть "запертые по расходу" лопаточные венцы, тогда находится ближайший к рассматриваемому вверх по потоку лопаточный венец с номером
i1. В найденном венце
i1 уточняется приведенная скорость

с использованием результатов предыдущего приближения:

(50)
Расчет повторяется для уточненной величины

, начиная с венца
i1 по
4.2.6.
4.2.13 Расходы рабочего тела в лопаточных венцах турбины с учетом подмешивания воздуха
Расход охлаждающего воздуха в сопловом аппарате, рабочем колесе:

; (51)

; (52)

; (53)

. (54)
Расход газа перед турбиной
Gг.0 = Gгор1l - Gв1д.гор. (55)
Температура газа перед турбиной

. (56)
Расход рабочего тела в горловом сечении i лопаточного венца
Gгорi = Gгi-1 + Gвiд.гор. (57)
Расход рабочего тела после смешения в осевом зазоре i лопаточного венца
Gгi = Gгорi + Gвiп.гор. (58)
4.2.14 Параметры потока газа перед турбиной определяются приближенно:

; (59)

; (60)

; (61)

; (62)

; (63)

; (64)

. (65)
4.2.15 Приведенная скорость в горловом сечении лопаточного венца (кроме первого)
Если расход газа в горловом сечении лопаточного венца меньше максимального (
Gгор <=
Gгор.кр) и не достигнута требуемая относительная точность расчета расхода газа

, то последовательными приближениями уточняется величина

.
При

вводится поправка:
- при первом приближении методом хорд

; (66)
- начиная со второго приближения при монотонной сходимости методом касательных

(67)
- при немонотонной сходимости методом хорд с использованием результатов предыдущего приближения

. (68)
Уточненное значение приведенной скорости в горловом сечении венца

. (69)
При

по функции

, заданной таблично на отрезке

, для значения

(70)
интерполяцией находится уточненное значение

.
Приведенная скорость в выходном сечении лопаточного венца

, (71)
а приведенная скорость изоэнтропического течения в выходном сечении лопаточного венца

.
Расчет повторяется для уточненной величины

, начиная с
4.2.6.
4.2.16 Предельную приведенную скорость в косом срезе решетки, при которой осевая проекция скорости течения достигает скорости звука

, рассчитывают по формуле

. (72)
4.2.17 Параметры потока в сопловом аппарате
Температуру рабочего тела в горловом сечении соплового аппарата рассчитывают по формуле (в первом сопловом аппарате

задана)

, (73)
где

,
Gг0 - параметры рабочего тела во входном сечении соплового аппарата.
Давление за сопловым аппаратом

. (74)
Параметры рабочего тела с учетом изобарического смешения газа и охлаждающего воздуха в осевом зазоре вычисляют по формулам:

; (75)

; (76)

; (77)

; (78)

; (79)

; (80)

; (81)

; (82)

. (83)
Параметры рабочего тела в относительном движении перед рабочим колесом:

; (84)

; (85)

; (86)

; (87)

; (88)

; (89)

(90)
4.2.18 Параметры потока в рабочем колесе
Температуру в горловом сечении рабочего колеса рассчитывают по формуле

(91)
Давление за рабочим колесом:

; (92)

. (93)
Параметры рабочего тела в относительном движении с учетом смешения в осевом зазоре:

(94)

; (95)

; (96)

; (97)

; (98)

; (99)

; (100)

; (101)

. (102)
Параметры в абсолютном движении за ступенью:

; (103)

; (104)

(105)

; (106)

; (107)

. (108)
4.2.19 Потери от перетекания газа в радиальном зазоре
Параметры рабочего тела в периферийном сечении в осевом зазоре за сопловым аппаратом вычисляют по формулам (для закона профилирования соплового аппарата, близкого к

):

; (109)

; (110)

; (111)

. (112)
Для безбандажных ступеней коэффициент потерь от перетеканий через радиальный зазор приближенно вычисляют по формуле

, (113)
где

- относительный кольцевой радиальный зазор;

,

- плотность рабочего тела в осевом зазоре на периферии, на среднем диаметре;

- относительный шаг рабочей решетки в периферийном сечении.
Расход перетечки газа в осевом направлении рассчитывают по формуле

. (114)
Для ступеней с бандажированными рабочими лопатками расход перетечки газа через лабиринт в осевом направлении вычисляют по формуле

, (115)
где

- приведенная скорость перетечки газа в осевом зазоре, определяемая по формуле в предположении, что потери полного давления на поворот потока перед лабиринтным уплотнением над бандажной полкой равны динамическому напору

:

(116)
Zл - число гребней лабиринтного уплотнения на бандаже, коэффициент расхода лабиринтного уплотнения.

; (117)

;
Коэффициент потерь от перетекания через радиальный зазор

. (118)
4.2.20 Параметры рабочего тела на выходе из ступеней с учетом потерь в радиальном зазоре:

; (119)

; (120)

; (121)

; (122)

. (123)
4.2.21 Результаты расчета ступени:

(124)

; (125)

; (126)

; (127)

; (128)

; (129)

; (130)

; (131)

. (132)
Температура газа в конце адиабатического расширения при параметрах

,

перед ступенью и
p2 за ступенью

. (133)
Мощность ступени без учета потерь на перетекание в радиальном зазоре
Nu = Gг1c1uu1 + Gг2c2uu2. (134)
Мощность на валу с учетом потерь в радиальном зазоре

. (135)
Удельная работа ступени, приходящаяся на 1 кг рабочего тела, поступающего в горловое сечение соплового аппарата

. (136)
Первичный КПД ступени с учетом потерь в радиальном зазоре рассчитывают по формулам:

; (137)

(138)

. (139)
Мощность, соответствующая энергии охлаждающего воздуха, подводимого в сопловом аппарате и рабочем колесе ступени до и после горлового сечения, при адиабатическом расширении от начальных параметров до статического давления за ступенью:

; (140)

; (141)

; (142)

. (143)
Адиабатический теплоперепад охлаждающего воздуха в ступени по параметрам заторможенного потока

. (144)
Эффективный КПД ступени с учетом потерь в радиальном зазоре рассчитывают по формулам:

; (145)

(146)

. (147)
4.2.22 Окружные Pu и осевые Pa усилия, воздействующие на лопаточные венцы:
P1u = Gг0c0u + Gг1c1u; (148)
P1a = F0ap0 + Gг0c0a - F1ap1 - Gг1c1a; (149)
P2u = Gг1c1u + Gг2c2u; (150)
P2a = F1ap1 + Gг1c1a - F2ap2 - Gг2c2a. (151)
4.2.23 Переход к расчету следующего лопаточного венца производится, начиная с
4.2.5.
4.2.24 Результаты расчета турбины:

(средний показатель адиабаты рабочего тела при расширении в турбине);

; (152)

. (153)

(154)

; (155)

; (156)

; (157)

; (158)

; (159)

. (160)
Температура газа в конце адиабатического расширения от параметров

,

перед турбиной до
pт за турбиной

. (161)
Суммарная мощность ступеней турбины

(162)
Относительные адиабатические теплоперепады ступеней турбины:
- по статическим параметрам

; (163)
- по параметрам заторможенного потока

. (164)
Первичный КПД турбины (рассчитывают по расходу газа в горловом сечении первого соплового аппарата) рассчитывают по формулам:

; (165)

(166)

. (167)
Мощность, соответствующая энергии охлаждающего воздуха, подводимого в сопловой аппарат первой ступени за горловым сечением и в остальные лопаточные венцы до и после горловых сечений при адиабатическом расширении его от начальных параметров до статического давления за турбиной (без учета мощности, затрачиваемой на охлаждение первого соплового аппарата до горлового сечения), рассчитывается по формулам:

; (168)

. (169)
Эффективный КПД турбины (с учетом мощности охлаждающего воздуха) рассчитывают по формулам:

; (170)

(171)

. (172)
Суммарные параметры турбины:

(173)

. (174)
4.2.25 Переход к расчету следующей точки характеристики турбины по 
Рассчитывают наличие "запертых по расходу" лопаточных венцов. Если в турбине нет "запертых по расходу" лопаточных венцов, увеличивается

первого соплового аппарата, т.е.

, и расчет продолжается, начиная с
4.2.3.
Если в турбине есть "запертые по расходу" лопаточные венцы, то находится номер
i2 ближайшего к выходу из турбины "запертого по расходу" венца. В венце
i2 увеличивается приведенная скорость, т.е.

, и если при этом венец
i2 не будет "заперт по перепаду", то расчет продолжается, начиная с венца
i2 для уточненного
Kгi2, начиная с
4.2.6.
4.2.26 Переход к расчету следующей точки характеристики турбины по 
Если просчитаны все точки характеристики по

или достигнут предел расширения потока в турбине по

, то увеличивается
, т.е.

, и расчет продолжается, начиная с
4.2.2.
4.3 Оценка дополнительных потерь в охлаждаемых элементах турбинной ступени
Дополнительные потери в охлаждаемой решетке зависят от относительного расхода охлаждающего воздуха

и способа выпуска его в проточную часть. Наиболее распространенные способы: выпуск воздуха через щели на выходной кромке или выпуск на вогнутую поверхность лопаток и выпуск воздуха на входной кромке через перфорированную поверхность.
В общем случае при выпуске охлаждающего воздуха на поверхность лопатки коэффициент дополнительных потерь равен

, (175)
где

- коэффициент, учитывающий потери смешения выпускаемого воздуха с основным потоком;

- коэффициент, учитывающий уменьшение работы расширения газа из-за теплоотвода в охлаждаемые лопатки;

- коэффициент, учитывающий энергию выпускаемого воздуха;

- коэффициент, учитывающий изменение профильных потерь в охлаждаемой решетке заданной геометрии от охлаждения (неизотермичности пограничных слоев) и выпуска воздуха в проточную часть.
4.3.1 При выпуске воздуха из выходных кромок сопловых лопаток составляющие дополнительных потерь равны:

; (176)

; (177)

; (178)

; (179)

, (180)
где Cpв и Cpг - теплоемкости воздуха и газа при постоянном давлении;

и

- температура воздуха на входе в систему охлаждения и на выходе из щели;

- газодинамическая функция, соответствующая перепаду давлений в решетке;
cв и c1 - скорость выпуска воздуха из щели и скорость потока за решеткой;
Fгор и Fщ - площади горлового сечения межлопаточных каналов и выходного сечения щели.
Ориентировочно можно принять

, где
Tм - температура металла лопатки.
При умеренном сопротивлении системы охлаждения можно принять cв = 0,4 - 0,5.
Поправка к профильным потерям в охлаждаемой решетке

, (181)
где

- изменение потерь трения вследствие неизотермичности пограничного слоя на поверхности лопаток;

- изменение кромочных потерь при выпуске воздуха по сравнению с их значением

при отсутствии выпуска воздуха.
Ориентировочно величину

можно принять равной 0,005 - 0,015 (большие значения относятся к утолщенным профилям с

от 0,25 до 0,3 и повышенной глубине охлаждения).
При наличии в щели перемычек обтекаемой формы осредненную по шагу "щель - перемычка" величину

можно определить по приближенной формуле

, (182)
где lщ - длина щели;
lпер - длина перемычки;

- ширина щели;

;

соответственно при

.
При

следует полагать, что

.
4.3.2 При выпуске воздуха через щели на вогнутой поверхности:

; (183)

; (184)

, (185)
где

и
c1 - приведенные скорости основного потока в месте расположения щели и за решеткой;

- коэффициент, учитывающий относительную кинетическую энергию выпускаемого воздуха;

- коэффициент, учитывающий относительную работу расширения воздуха при выпуске его до горлового сечения;

- газодинамическая функция основного потока в зоне расположения щели.
При расположении щели вблизи выходной кромки выпускаемая пелена воздуха может заполнить закромочный след, вследствие чего кромочные потери уменьшаются. Приближенно можно положить, что

. (186)
4.3.3 При наличии утечек воздуха через переднее уплотнение ротора в зазор между сопловым аппаратом и рабочим колесом также возникают дополнительные потери. Величина этих потерь может быть определена по формуле

, (187)
где cвu и cвa - окружная и осевая составляющие скорости воздуха, попадающего в осевой зазор, т.е.

; (188)

. (189)
Предварительная закрутка воздуха по вращению рабочего колеса при выпуске его в осевой зазор может заметно уменьшить потери. Потери несколько уменьшаются также при выпуске воздуха в зазор с осевой составляющей скорости cвa > 0.
4.3.4 В случае применения одновременно нескольких способов выпуска воздуха в первом приближении их влияние на эффективность решетки можно принимать не зависящими друг от друга.
4.3.5 Аналогичным образом могут быть определены потери при выпуске воздуха из охлаждаемых рабочих лопаток, в частности при выпуске воздуха из выходных кромок рабочих лопаток, т.е.

; (190)

; (191)

, (192)
где

- относительная скорость выпуска воздуха из рабочих лопаток;

, (193)
где

- температура заторможенного основного потока в относительном движении перед рабочим колесом;

- газодинамическая функция, соответствующая относительной скорости выхода газа из рабочей решетки;
u - окружная скорость рабочих лопаток.
Относительная скорость выпуска воздуха из выходных кромок рабочих лопаток в случае отбора воздуха из-за компрессора и подачи его через пустотелый ротор может достигать величины

, что объясняется большими располагаемыми перепадами давления по тракту охлаждающего воздуха по сравнению с сопловым аппаратом. Условно это же значение

можно принять для случая предварительной закрутки охлаждающего воздуха в направлении вращения ротора.
4.3.6 При наличии закрутки охлаждающего воздуха на входе в ротор приращение КПД ступени под действием этого фактора можно рассчитать по формуле

, (194)
где cuвх и uвх - закрутка воздуха и окружная скорость вращения диска при входе воздуха в ротор.
УДК 658.513.5:006.354 | |
Ключевые слова: двигатели газотурбинные, методика, расчет характеристик, турбина |