Главная // Актуальные документы // ГОСТ Р (Государственный стандарт)СПРАВКА
Источник публикации
М.: Стандартинформ, 2020
Примечание к документу
Документ
введен в действие с 01.06.2020.
Название документа
"ГОСТ Р 58803-2020. Национальный стандарт Российской Федерации. Автотранспортные средства. Системы помощи водителю при принятии решения о смене полосы движения. Общие технические требования и методы испытаний"
(утв. и введен в действие Приказом Росстандарта от 07.02.2020 N 34-ст)
"ГОСТ Р 58803-2020. Национальный стандарт Российской Федерации. Автотранспортные средства. Системы помощи водителю при принятии решения о смене полосы движения. Общие технические требования и методы испытаний"
(утв. и введен в действие Приказом Росстандарта от 07.02.2020 N 34-ст)
Утвержден и введен в действие
по техническому регулированию
и метрологии
от 7 февраля 2020 г. N 34-ст
НАЦИОНАЛЬНЫЙ СТАНДАРТ РОССИЙСКОЙ ФЕДЕРАЦИИ
АВТОТРАНСПОРТНЫЕ СРЕДСТВА
СИСТЕМЫ ПОМОЩИ ВОДИТЕЛЮ ПРИ ПРИНЯТИИ РЕШЕНИЯ
О СМЕНЕ ПОЛОСЫ ДВИЖЕНИЯ
ОБЩИЕ ТЕХНИЧЕСКИЕ ТРЕБОВАНИЯ И МЕТОДЫ ИСПЫТАНИЙ
Motor vehicles. Lane change assist systems. General
technical requirements and test methods
ГОСТ Р 58803-2020
Дата введения
1 июня 2020 года
1 РАЗРАБОТАН Федеральным государственным унитарным предприятием "Центральный ордена Трудового Красного Знамени научно-исследовательский автомобильный и автомоторный институт "НАМИ" (ФГУП "НАМИ")
2 ВНЕСЕН Техническим комитетом по стандартизации ТК 056 "Дорожный транспорт"
3 УТВЕРЖДЕН И ВВЕДЕН В ДЕЙСТВИЕ
Приказом Федерального агентства по техническому регулированию и метрологии от 7 февраля 2020 г. N 34-ст
4 ВВЕДЕН ВПЕРВЫЕ
Правила применения настоящего стандарта установлены в статье 26 Федерального закона от 29 июня 2015 г. N 162-ФЗ "О стандартизации в Российской Федерации". Информация об изменениях к настоящему стандарту публикуется в ежегодном (по состоянию на 1 января текущего года) информационном указателе "Национальные стандарты", а официальный текст изменений и поправок - в ежемесячном информационном указателе "Национальные стандарты". В случае пересмотра (замены) или отмены настоящего стандарта соответствующее уведомление будет опубликовано в ближайшем выпуске ежемесячного информационного указателя "Национальные стандарты". Соответствующая информация, уведомление и тексты размещаются также в информационной системе общего пользования - на официальном сайте Федерального агентства по техническому регулированию и метрологии в сети Интернет (www.gost.ru)
Система помощи водителю при смене полосы движения предназначена для оказания помощи водителю при смене полосы движения путем выполнения указанного маневра по команде водителя. Системы помощи водителю при смене полосы движения устанавливаются на транспортных средствах, оборудованных системой удержания транспортных средств в занимаемой полосе движения, отвечающей требованиям
ГОСТ Р 58804.
Система помощи водителю при смене полосы движения активируется водителем и автоматически выполняет маневр смены полосы движения при наличии условий, позволяющих выполнение этого маневра. Транспортные средства, которые используются, главным образом, при междугородных перевозках по шоссе, выиграют от оснащения системами помощи водителю при смене полосы движения, особенно в условиях монотонного движения.
Система функционирует в рамках ограниченных условий, определенных ниже, и не способна освободить водителя от необходимости контроля дорожной обстановки. Ответственность за безопасность движения несет водитель. При наличии системы помощи водителю при смене полосы движения водитель может в любое время скорректировать функцию содействия вручную, например, во избежание столкновения с неожиданно появившимся на дороге препятствием или в случае наезда на него.
Настоящий стандарт распространяется на транспортные средства (ТС) категорий M и N в соответствии с
[1], оборудованные системами помощи водителю при смене полосы движения (СПСПД) и устанавливает общие требования к СПСПД и методы их испытаний.
В настоящем стандарте использованы нормативные ссылки на следующие стандарты:
ГОСТ Р 58804-2020 Автотранспортные средства. Системы удержания транспортного средства в занимаемой полосе движения. Общие технические требования и методы испытаний
ГОСТ Р 58807-2020 Системы предупреждения о выходе из полосы движения. Общие технические требования и методы испытания
ГОСТ Р 51256 Технические средства организации дорожного движения. Разметка дорожная. Классификация. Технические требования
Примечание - При пользовании настоящим стандартом целесообразно проверить действие ссылочных стандартов в информационной системе общего пользования - на официальном сайте Федерального агентства по техническому регулированию и метрологии в сети Интернет или по ежегодному информационному указателю "Национальные стандарты", который опубликован по состоянию на 1 января текущего года, и по выпускам ежемесячного информационного указателя "Национальные стандарты" за текущий год. Если заменен ссылочный стандарт, на который дана недатированная ссылка, то рекомендуется использовать действующую версию этого стандарта с учетом всех внесенных в данную версию изменений. Если заменен ссылочный стандарт, на который дана датированная ссылка, то рекомендуется использовать версию этого стандарта с указанным выше годом утверждения (принятия). Если после утверждения настоящего стандарта в ссылочный стандарт, на который дана датированная ссылка, внесено изменение, затрагивающее положение, на которое дана ссылка, то это положение рекомендуется применять без учета данного изменения. Если ссылочный стандарт отменен без замены, то положение, в котором дана ссылка на него, рекомендуется применять в части, не затрагивающей эту ссылку.
В настоящем стандарте применены следующие термины с соответствующими определениями:
3.1 рулевое управление: Все оборудование, предназначенное для изменения направления движения ТС.
Примечание - К рулевому управлению, в котором рулевые усилия частично или полностью обеспечиваются за счет мускульной силы водителя, относятся все элементы, в которых рулевое усилие преобразуется при помощи механических, гидравлических или электрических устройств.
Рулевое управление может состоять из:
- органа рулевого управления;
- рулевого привода;
- управляемых колес;
- в соответствующих случаях - из устройства энергопитания.
3.2 орган рулевого управления: Часть рулевого управления, которая служит для приложения управляющего воздействия и которая может приводиться в действие с помощью или без помощи непосредственного воздействия со стороны водителя.
3.3 рулевой привод: Все элементы, обеспечивающие функциональную связь между органами управления и ходовыми колесами.
Примечание - Привод подразделяется на две независимые функциональные части: привод управления и энергетический привод.
В тех случаях, когда термин "привод" используется в настоящем стандарте самостоятельно, он означает как привод управления, так и энергетический привод. Проводится различие между механическими, электрическими и гидравлическими приводами или их сочетаниями в зависимости от способа передачи сигналов и/или энергии.
3.4 привод управления: Все элементы, посредством которых осуществляется передача сигналов, обеспечивающих и контролирующих функционирование рулевого управления.
3.5 энергетический привод: Все элементы, посредством которых осуществляется передача энергии, необходимой для обеспечения поворота управляемых колес.
3.6 управляемые колеса: Колеса ТС, положение которых по отношению к продольной оси ТС может меняться посредством рулевого управления с целью изменения направления движения ТС.
3.7 устройство энергопитания: Элементы рулевого управления, обеспечивающие его энергией и регулирующие ее подачу, а также, в соответствующих случаях, служащие для ее выработки и аккумулирования.
Примечание - В него входят также любые резервуары для рабочего вещества и линии возврата, за исключением двигателя ТС или его соединений с источником энергии.
3.8 источник энергии: Часть устройства энергопитания, которая вырабатывает необходимый вид энергии.
3.9 система содействия водителю в осуществлении рулевого управления: Система, дополняющая рулевое управление и обеспечивающая помощь водителю в осуществлении рулевого управления ТС, при неизменном сохранении контроля над ТС со стороны водителя.
3.10 система удержания ТС в занимаемой полосе движения; СУПД: Система содействия водителю в осуществлении рулевого управления, обеспечивающая приведение в действие рулевого управления в соответствии с управляющими сигналами, инициируемыми на борту ТС, с учетом сигналов, поступающих от пассивных элементов инфраструктуры, для обеспечения удержания ТС в пределах выбранной полосы движения.
3.11 система помощи водителю при смене полосы движения; СПСПД: Система содействия водителю в осуществлении рулевого управления, которая включается/активируется водителем и которая может обеспечивать выполнение одного маневра для перемещения ТС в поперечном направлении (например, смену полосы движения по команде водителя).
3.12 усилие на рулевом колесе: Сила, действующая на орган рулевого управления с целью изменения направления движения ТС.
3.13 рулевое усилие: Все силы, действующие в рулевом приводе.
3.14 установленная максимальная скорость VSmax: Максимальная скорость, на которую рассчитаны СУПД или СПСПД.
3.15 установленная минимальная скорость VSmin: Минимальная скорость, на которую рассчитаны СУПД или СПСПД.
3.16 установленное максимальное боковое ускорение aySmax: Максимальное боковое ускорение, на которое рассчитаны СУПД или СПСПД.
3.17 режим СПСПД "выключено": Состояние СПСПД, при котором исключена возможность воздействия этой системы на рулевое управление.
3.18 режим ожидания СПСПД: Состояние СПСПД, при котором она приведена в действие, но не все условия для ее активирования (например, условия функционирования системы, преднамеренные действия водителя) выполнены.
Примечание - В этом режиме система не может осуществлять воздействие на рулевое управление.
3.19 активный режим СПСПД (СПСПД активирована): Состояние СПСПД, при котором она приведена в действие и непрерывно или прерывисто воздействует на рулевое управление, или готова к такому воздействию при поступлении соответствующих управляющих сигналов.
3.20 концепция безопасности: Описание мер, предусмотренных конструкцией электронной системы управления, для обеспечения ее надлежащего функционирования и надежного срабатывания даже в случае повреждения электрической цепи.
3.21 электронная система управления: Сочетание блоков, предназначенных для содействия в обеспечении определенной функции управления ТС на основе электронной обработки данных.
Примечание - Электронная система управления программируется при помощи соответствующего программного обеспечения и состоит из таких дискретных функциональных компонентов, как датчики, электронные блоки управления и исполнительные механизмы, которые связаны через линии передачи. Электронная система управления может содержать механические, электропневматические или электрогидравлические элементы.
3.22 комплексная электронная система управления: Совокупность электронных систем управления, в которых функция управления может корректироваться электронной системой или функцией управления более высокого уровня.
Примечание - Корректируемая функция становится частью комплексной электронной системы управления.
3.23 система или функция управления более высокого уровня: Система или функция, способная задействовать дополнительные средства обработки сигнала и/или управления с целью изменения поведения ТС посредством подачи команды об изменении обычной(ых) функции(й) системы управления ТС.
3.24 блоки: Наименее крупные из частей, составляющих компоненты электронной системы управления, которые считаются едиными неделимыми элементами для целей идентификации, анализа или замены.
3.25 линии передачи: Средства, используемые для взаимного соединения блоков с целью передачи сигналов, массивов данных или подачи энергии.
Примечание - Соответствующее оборудование обычно является электрическим, но может быть частично механическим, пневматическим или гидравлическим.
3.26 диапазон управления: Значения выходных переменных, в пределах которых электронная система может осуществлять управление.
3.27 пределы функциональных возможностей: Внешние физические границы параметров, внутри которых система способна осуществлять управление.
3.28 процедура смены полосы: Процедура, которая начинается в момент, когда указатели поворота включаются вследствие преднамеренного действия водителя, и завершается в тот момент, когда указатели поворота выключаются.
Примечание - Она состоит из следующих операций:
- включение указателей поворота вследствие преднамеренного действия водителя;
- боковое смещение ТС в сторону края полосы движения;
- маневр по смене полосы;
- возобновление функции удержания ТС в пределах полосы движения;
- выключение указателей поворота.
3.29 маневр по смене полосы: Часть процедуры смены полосы.
Примечание - Маневр по смене полосы:
- начинается в тот момент, когда внешний край протектора шины переднего колеса ТС, находящийся ближе всего к разметке полосы движения, касается внутреннего края разметки полосы, в сторону которой совершает маневр данное ТС;
- завершается в тот момент, когда задние колеса ТС полностью пересекли разметку этой полосы движения.
4.1 Применение СПСПД не должно оказывать какого-либо негативного воздействия на функционирование рулевого управления.
4.2 Магнитные и электрические поля не должны снижать эффективности СПСПД. Это требование считается выполненным, если СПСПД соответствует требованиям
[2] путем применения:
- поправок серии 03 для ТС без соединительной системы для зарядки перезаряжаемой системы аккумулирования электрической энергии (тяговых батарей);
- поправок серии 04 для ТС с соединительной системой для зарядки перезаряжаемой системы аккумулирования электрической энергии (тяговых батарей).
4.3 Водитель должен быть проинформирован о наличии СПСПД на ТС и ее ограниченном функционале в руководстве по эксплуатации. Руководство по эксплуатации должно включать следующую информацию: "Система помощи водителю при смене полосы движения предоставляет помощь водителю только в рамках ограниченных условий и не способна освободить водителя от необходимости контроля дорожной обстановки. Ответственность за безопасность движения несет водитель".
4.4 СПСПД как комплексная электронная система управления должна удовлетворять требованиям
приложения А.
5.1 В начале каждого нового цикла запуска двигателя СПСПД должна находиться в режиме "выключено".
Это требование не применяют в случае, когда новый цикл запуска двигателя выполняется автоматически (например, при работе системы "старт/стоп").
5.2 ТС оснащается устройством, позволяющим водителю активировать (режим ожидания) и деактивировать (режим "выключено") СПСПД. В этих целях можно использовать такое же устройство, как и в случае СУПД.
Возможность деактивировать СПСПД (режим "выключено") должна быть выполнима в любой момент времени одним действием водителя, после чего активация СПСПД (режим ожидания) должна быть возможна только в результате соответствующего преднамеренного действия водителя.
5.3 Активация СПСПД водителем возможна только на дорогах, на которых движение велосипедистов и пешеходов запрещено, и которые оснащены соответствующим физическим барьером, разделяющим потоки ТС, движущиеся в противоположных направлениях, и имеют не менее двух полос для движения в каждом направлении.
СПСПД должна обеспечивать проверку выполнения этих условий посредством использования не менее двух независимых технических средств.
В случае перехода с дороги, на которой разрешено использование СПСПД, на дорогу, на которой использование СПСПД не допускается, СПСПД должна отключаться автоматически.
5.4 Переход от автоматизированного управления к ручному управлению
Усилие, прилагаемое водителем к органу рулевого управления, должно преодолевать усилие, развиваемое СПСПД. Рулевое усилие, необходимое водителю для того, чтобы взять на себя управление траекторией движения ТС, обеспечиваемого до этого СПСПД, не должно превышать 50 Н.
СПСПД может оставаться включенной (режим ожидания) при условии, что при переходе от автоматизированного управления к ручному управлению приоритет отдается действиям водителя.
5.5 Боковое ускорение, создаваемое СПСПД в ходе маневра по смене полосы, не должно:
- превышать 1 м/с2 в дополнение к боковому ускорению, возникающему в результате кривизны полосы;
- приводить к превышению максимальных значений общего бокового ускорения ТС, указанных в
ГОСТ Р 58804.
- превышать на 5 м/с3 в течение 0,5 с среднее значение изменения бокового ускорения вследствие функционирования СПСПД.
5.6 Человеко-машинный интерфейс (ЧМИ) СПСПД
5.6.1 Если СПСПД находится в режиме ожидания (т.е. готова к действию), то водителю подается соответствующий оптический сигнал.
5.6.2 Когда СПСПД осуществляет процедуру смены полосы, водителю подается соответствующий оптический сигнал.
| | ИС МЕГАНОРМ: примечание. В официальном тексте документа, видимо, допущена опечатка: имеется в виду п. 5.9.8, а не 5.14.8. | |
5.6.3 Когда процедура смены полосы прекращается в соответствии с
5.14.8, СПСПД четко информирует водителя об этом при помощи соответствующего оптического предупреждающего сигнала и, дополнительно, при помощи звукового или тактильного предупреждающего сигнала. В том случае, если действие по прекращению процедуры смены полосы инициировано водителем, достаточно оптического предупреждающего сигнала.
5.6.4 Сигнал о сбое в работе СПСПД должен подаваться водителю оптическим предупреждающим сигналом. Однако если СПСПД деактивируется водителем вручную, то индикация сигнала должна быть прекращена.
Если неисправность СПСПД проявляется в ходе маневра по смене полосы, то водитель информируется о неисправности с помощью оптического и звукового или тактильного предупреждающего сигнала.
5.6.5 СПСПД должна предусматривать возможность выявления ситуации, когда рулевое управление находится под контролем водителя, и должна обеспечивать предупреждения в соответствии с принципами, указанными ниже.
Если по истечении периода продолжительностью не более 3 с водитель не возобновляет контроль над рулевым управлением, то подается оптический предупреждающий сигнал. Этот сигнал должен быть таким же, как и сигнал, указанный в
ГОСТ Р 58804-2020 (пункт 4.9).
Предупреждающий сигнал остается включенным до тех пор, пока водитель не возобновит контроль над рулевым управлением или пока СПСПД не будет деактивирована вручную или автоматически.
5.6.6 Оптические предупреждающие сигналы должны быть видимыми даже в дневное время суток и должны отличаться от других предупреждений; удовлетворительное состояние сигналов должно легко проверяться водителем с его места; несрабатывание любого элемента предупреждающих устройств не должно приводить к ограничению функционирования СПСПД.
Если не указано иное, то все оптические сигналы должны отличаться один от другого (должны применяться различные обозначения, цвета, частота мигания, надписи и т.п.).
5.6.7 Звуковые предупреждающие сигналы подаются при помощи постоянного или прерывистого звукового сигнала либо голосовой информацией на русском языке.
Звуковое предупреждение должно легко распознаваться водителем.
5.7 ТС, оснащенное СПСПД, должно быть оснащено также СУПД, отвечающей требованиям
ГОСТ Р 58804.
5.8 Когда СПСПД активирована (в режиме ожидания), СУПД должна стремиться вывести ТС в центр полосы движения, что должно быть продемонстрировано испытательной лабораторией в ходе проведения испытаний.
5.9 Процедура смены полосы
5.9.1 Процедура смены полосы может быть инициирована СПСПД только в том случае, если СУПД уже включена.
5.9.2 Процедура смены полосы предполагает необходимость включения водителем вручную указателя поворота, показывающего в сторону той полосы движения, на которую он намерен перестроиться, и начинается сразу же после этого.
5.9.3 Когда начинается процедура смены полосы, СУПД отключается, а функция удержания ТС в пределах полосы, осуществляемая до этого СУПД, начинает выполняться СПСПД до того момента, в который начинается маневр по смене полосы.
5.9.4 Боковое перемещение ТС в сторону необходимой полосы движения начинается не ранее, чем через 1 с после начала процедуры смены полосы. Кроме того, боковое перемещение ТС для приближения к разметке полосы движения и боковое перемещение, необходимое для завершения маневра по смене полосы, должны быть выполнены в виде одного непрерывного движения.
Маневр по смене полосы должен начинаться не ранее чем через 3 с и не позднее чем через 5 с после преднамеренного действия водителя, описанного в
5.9.2.
5.9.5 Маневр по смене полосы должен быть завершен менее чем за:
- 5 с в случае ТС категории M1 и N1;
- 10 с в случае ТС категории M2, M3, N2 и N3.
5.9.6 После завершения маневра по смене полосы функция СУПД по удержанию ТС в пределах полосы возобновляется автоматически.
5.9.7 Указатель поворота остается включенным в течение всего периода осуществления маневра по смене полосы и выключается СПСПД не позднее чем через 0,5 с после восстановления функции СУПД по удержанию ТС в пределах полосы, как указано в
5.9.6.
5.9.8 Прекращение процедуры смены полосы
5.9.8.1 Процедура смены полосы прекращается СПСПД автоматически, если до начала маневра по смене полосы возникает, как минимум, одна из следующих ситуаций:
- СПСПД обнаруживает критическую ситуацию (определенную в
5.10);
- СПСПД переведена в режим ожидания или отключена водителем;
- СПСПД достигает своих граничных возможностей (например, разметка полосы более не распознается);
- СПСПД обнаружила, что водитель не осуществляет контроль над рулевым управлением в начале маневра по смене полосы;
- указатели поворота выключены водителем вручную;
- маневр по смене полосы не был начат в пределах 5 с после преднамеренного действия водителя, указанного в
5.9.2;
- боковое перемещение, описанное в
5.9.4, не является непрерывным.
5.9.8.2 Водитель должен иметь возможность прекратить процедуру смены полосы в любой момент времени, используя ручной орган управления указателем поворота.
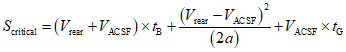
5.10 Критическая ситуация
Ситуация считается критической в том случае, если в тот момент, когда начинается маневр по смене полосы, приближающееся ТС, которое движется по сопредельной полосе, будет вынуждено притормозить с замедлением более 3 м/с2 через 0,4 с после начала маневра по смене полосы с целью обеспечить расстояние между двумя ТС, не меньшее того, которое ТС при смене полосы проходит за 1 с.
Результирующее критическое расстояние в начале маневра по смене полосы вычисляют по формуле

, (1)
где Vrear - фактическая скорость приближающегося ТС или 130 км/ч, в зависимости от того, которая из величин ниже;
VACSF - фактическая скорость ТС, оборудованного СПСПД, км/ч;
a - замедление приближающегося ТС, м/с2 (для настоящего стандарта a = 3 м/с2);
tB - момент времени после начала маневра по смене полосы, в который начинается замедление приближающегося ТС (для настоящего стандарта tB = 0,4 с);
tG - интервал, оставшийся между ТС после замедления приближающегося ТС (для настоящего стандарта tG = 1 с).
5.11 Минимальное расстояние и минимальная рабочая скорость
5.11.1 СПСПД должна быть в состоянии обнаруживать ТС, приближающиеся сзади по сопредельной полосе, на минимальном расстоянии
Srear, как указано ниже.
Минимальное расстояние Srear указывается изготовителем ТС. Указанное значение должно быть не менее 55 м.
| | ИС МЕГАНОРМ: примечание. В официальном тексте документа, видимо, допущена опечатка: имеется в виду разд. 6, а не 5. | |
Указанное значение проверяют в соответствии с испытанием, предусмотренным в
разделе 5, с использованием (в качестве приближающегося ТС) двухколесного ТС категории L
3 в соответствии с
[1].
Минимальную рабочую скорость VSmin, до которой СПСПД может осуществлять маневр по смене полосы, рассчитывают на основе минимального расстояния Srear по формуле

, (2)
где Srear - минимальное расстояние, указанное изготовителем, м;
Vapp - скорость приближающегося ТС, км/ч (для настоящего стандарта Vapp = 130 км/ч, т.е. 36,1 м/с);
a - замедление приближающегося ТС, м/с2 (для настоящего стандарта a = 3 м/с2);
tB - момент времени после начала маневра, в который начинается замедление приближающегося ТС (для настоящего стандарта tB = 0,4 с);
tG - интервал, оставшийся между ТС, после замедления приближающегося ТС (для настоящего стандарта tG = 1 с);
VSmin - результирующая минимальная скорость для активации СПСПД, м/с.
Если эксплуатация ТС осуществляется в стране, где максимально допустимая скорость составляет менее 130 км/ч, это ограничение скорости может использоваться в качестве альтернативы
Vapp в
формуле (2) для расчета минимальной рабочей скорости
VSmin. В этом случае ТС должно быть оснащено средством обнаружения страны, в которой эксплуатируется данное ТС, и иметь информацию об общей максимально допустимой скорости движения в этой стране.
СПСПД разрешается выполнять маневр по смене полосы движения при более низких скоростях, чем расчетная VSmin, при соблюдении следующих условий:
- система обнаружила другое ТС на сопредельной полосе, на которую намерено перейти данное ТС, на расстоянии менее Srear;
- в соответствии с
5.10 ситуация не считается критической (например, при небольшой разнице в скоростях и при
Vapp < 130 км/ч);
- заявленное значение
Srear превышает расчетное значение
Scritical, указанное в
5.10.
5.11.2 Площадь обнаружения СПСПД ТС на уровне грунта должна быть такой, как показано на
рисунке 1.
Рисунок 1 - Площадь обнаружения
5.11.3 После каждого нового цикла запуска двигателя ТС (помимо тех запусков, которые выполняются автоматически, например работа систем "старт/стоп") СПСПД, предназначенная для выполнения маневра по смене полосы, будет заблокирована до того момента, пока СПСПД не обнаружит движущийся объект на расстоянии, которое превышает минимальное расстояние
Srear, заявленное изготовителем (см.
5.11.1).
5.11.4 СПСПД должна быть в состоянии обнаруживать утрату чувствительности датчика (например, по причине скопившейся грязи, льда или снега). При обнаружении утраты чувствительности датчика СПСПД, предназначенная для выполнения маневра по смене полосы, будет заблокирована. Состояние СПСПД сигнализируется водителю не позднее того момента, в который начинается процедура смены полосы. В этом случае используется предупреждающий сигнал, который указан в
5.6.4 (неисправность СПСПД).
5.12 СПСПД проверяют посредством проведения на испытательном полигоне испытаний, указанных в
разделе 6. В случае ситуаций вождения, которые не охватываются испытаниями, указанными в
разделе 6, безопасная работа СПСПД подтверждается изготовителем ТС на основании
приложения А.
5.13 Вместе с пакетом документации, требуемой в соответствии с
приложением А, испытательной лаборатории должны быть предоставлены следующие данные:
- условия, при которых СПСПД может быть активирована, и граничные значения для ее функционирования (граничные условия). Изготовитель ТС приводит значения
VSmax,
VSmin и
aySmax для каждого диапазона скорости, как указано в ГОСТ Р 58804-2020
(пункт 5.1);
- способ обнаружения СПСПД осуществления водителем контроля над рулевым управлением;
- способ перехода от автоматизированного управления к ручному управлению и прекращения или отмены процедуры смены полосы;
- способ проверки с помощью электронно-коммуникационного интерфейса состояния сигнала, предупреждающего о неисправности СПСПД, и правильность версии программного обеспечения, отражающего рабочие характеристики СПСПД;
- применяемая (или используемая) версия программного обеспечения, отражающего рабочие характеристики СПСПД. Соответствующая документация должна обновляться каждый раз, когда в версию программного обеспечения вносятся изменения;
- диапазон работы датчика на протяжении срока его службы. Диапазон работы датчика должен быть таким, чтобы ухудшение его параметров не могло отрицательно сказаться на выполнении требований, установленных в
5.11.3 и
5.11.4.
6.1 Испытания проводят на гладкой сухой асфальтовой или бетонной поверхности, обеспечивающей оптимальное сцепление. Температура окружающей среды должна находиться в диапазоне от 0 °C до 35 °C.
Испытания проводят в условиях видимости, которые приемлемы для безопасного движения ТС с требуемой испытательной скоростью.
6.2 Маркировка полосы движения
Маркировка полосы движения на дороге, используемой для проведения испытаний, должна быть выполнена в соответствии с одной из схем, приведенных в
[3] (приложение 3) или в ГОСТ Р 58807-2020
(приложение А). Маркировка должна находиться в надлежащем состоянии и должна быть изготовлена из материалов по
ГОСТ Р 51256 для видимой маркировки полосы движения. Схему маркировки полосы движения, используемой в ходе испытаний, указывают в протоколе испытаний.
Для целей испытаний, предусмотренных настоящим стандартом, ширина полосы движения должна составлять не менее 3,5 м.
При помощи надлежащей документации изготовитель ТС должен доказать соответствие установленным требованиям для всех других схем маркировки полосы движения, указанных в
[3] (приложении 3) или в ГОСТ Р 58807-2020
(приложение А). Подобная документация прилагается к протоколу испытаний в качестве добавления.
6.3 Точность измерения скорости ТС
Все значения скорости ТС должны соблюдаться с допуском +/- 2 км/ч.
6.4 Состояние ТС
6.4.1 Масса во время испытаний
ТС испытывают в тех условиях нагрузки, которые согласованы изготовителем с испытательной лабораторией. После начала процедуры испытаний никаких изменений нагрузки не допускается. При помощи надлежащей документации изготовитель ТС должен доказать, что система функционирует во всех условиях нагрузки.
6.4.2 Испытания ТС проводят при тех значениях давления в шинах, которые рекомендованы изготовителем ТС.
6.4.3 Боковое ускорение
Положение, которое соответствует центру масс и в котором измеряется боковое ускорение, определяют по согласованию между изготовителем ТС и испытательной лабораторией. Это положение указывают в протоколе испытаний.
Боковое ускорение измеряют без учета дополнительного воздействия, обусловленного движением кузова ТС (например, колебания подрессоренной массы).
6.5 Процедуры испытаний
Для всех значений испытательной скорости ТС за основу принимается Vapp = 130 км/ч, если не указано иное.
Приближающееся ТС является ТС массового производства, если не указано иное.
Изготовитель ТС должен представить испытательной лаборатории доказательства того, что требования выполняются во всем диапазоне скоростей. Такими доказательствами может служить документация, прилагаемая к протоколу испытаний.
6.5.1 Функциональное испытание со сменой полосы
6.5.1.1 Испытуемое ТС движется по полосе прямого испытательного трека, имеющего не менее двух полос движения в одном направлении с дорожной разметкой по обе стороны полосы. Скорость ТС составляет (
VSmin + 10) км/ч.
СПСПД активируется (в режиме ожидания).
Другое ТС приближается сзади в целях активации СПСПД, как указано в
5.11.3.
Приближающееся ТС должно затем полностью обогнать испытуемое ТС.
После этого водителем инициируется переход на соседнюю полосу.
В ходе испытания регистрируют боковое ускорение и изменение бокового ускорения.
6.5.1.2 Испытание считают выполненным, если:
- боковое перемещение ТС в сторону разметки начинается не ранее чем через 1 с после начала процедуры смены полосы;
- боковое перемещение ТС для приближения к разметке полосы движения и боковое перемещение, необходимое для завершения маневра по смене полосы, представляет собой одно непрерывное движение;
- зарегистрированное значение бокового ускорения не превышает 1 м/с2;
- среднее значение изменения бокового ускорения в течение 0,5 с не превышает 5 м/с3;
- измеренное время между началом процедуры смены полосы и началом маневра по смене полосы составляет от 3 до 5 с;
- СПСПД предоставляет водителю информацию, указывающую на выполнение процедуры смены полосы;
- маневр по смене полосы выполняется менее чем за 5 с для ТС категорий M1 и N1 и менее чем за 10 с для ТС категорий M2, M3, N2, N3;
- СУПД автоматически возобновляет работу после завершения маневра по смене полосы;
- указатель поворота отключается не ранее завершения маневра по смене полосы и не позднее чем через 0,5 с после возобновления работы СУПД.
6.5.1.3 Испытание в соответствии с
6.5.1.1 повторяют со сменой полосы при движении в противоположном направлении.
6.5.2 Испытание с минимальной скоростью активации VSmin
6.5.2.1 Для минимальной скорости активации VSmin в рамках соответствующего испытания за основу принимается Vapp = 130 км/ч.
Испытуемое ТС движется по полосе прямого испытательного трека, имеющего не менее двух полос движения в одном и том же направлении с дорожной разметкой по обе стороны полосы.
Скорость ТС составляет (VSmin - 10) км/ч.
СПСПД активируется (в режиме ожидания).
Другое ТС приближается сзади в целях активирования СПСПД, как указано в
5.11.3.
Приближающееся ТС должно затем полностью обогнать испытуемое ТС.
После этого водитель инициирует процедуру смены полосы.
Испытание считают выполненным, если маневра по смене полосы не проводится.
6.5.2.2 Испытание с минимальной скоростью активации VSmin, рассчитываемой на основе общей максимально допустимой скорости движения в конкретной стране менее 130 км/ч.
В случае если
VSmin рассчитывается исходя из общей максимально допустимой скорости движения в конкретной стране, а не на основе
Vapp = 130 км/ч, как указано в
5.11.1, то проводят испытания, описанные ниже. Для этой цели допускается имитация результатов определения страны эксплуатации по согласованию между изготовителем ТС и испытательной лабораторией.
6.5.2.2.1 Испытуемое ТС движется по полосе прямого испытательного трека, имеющего не менее двух полос движения в одном и том же направлении с дорожной разметкой по обе стороны полосы.
Скорость ТС составляет (VSmin - 10) км/ч.
СПСПД активируется (в режиме ожидания).
Другое ТС приближается сзади в целях активирования СПСПД, как указано в
5.11.3.
Приближающееся ТС должно затем полностью обогнать испытуемое ТС.
После этого водитель инициирует процедуру смены полосы.
Испытание считают выполненным, если маневр по смене полосы не проводится.
6.5.2.2.2 Испытуемое ТС движется по полосе прямого испытательного трека, имеющего не менее двух полос движения в одном и том же направлении с дорожной разметкой по обе стороны полосы.
Скорость ТС составляет (VSmin + 10) км/ч.
СПСПД активируется (в режиме ожидания).
Другое ТС приближается сзади в целях активирования СПСПД, как указано в
5.11.3.
Приближающееся ТС должно затем полностью обогнать испытуемое ТС.
После этого водитель инициирует процедуру смены полосы.
Испытание считают выполненным, если проводится маневр по смене полосы.
6.5.2.2.3 Изготовитель должен продемонстрировать испытательной лаборатории, что ТС может определять страну эксплуатации и что оно имеет доступ к данным об общей максимальной разрешенной скорости в этой стране.
6.5.3 Испытание на переход от автоматизированного управления к ручному управлению
6.5.3.1 Испытуемое ТС движется по полосе прямого испытательного трека, имеющего не менее двух полос движения в одном и том же направлении с дорожной разметкой по обе стороны полосы.
Скорость ТС составляет (VSmin + 10) км/ч.
СПСПД активируется (в режиме ожидания).
Другое ТС приближается сзади в целях активирования СПСПД, как указано в
5.11.3.
Приближающееся ТС должно затем полностью обогнать испытуемое ТС.
После этого водитель инициирует процедуру смены полосы.
Водитель удерживает орган рулевого управления для продолжения движения ТС по прямой.
Усилие, приложенное водителем к органу рулевого управления во время маневра с переходом от автоматизированного управления к ручному управлению, регистрируют.
6.5.3.2 Испытание считают выполненным, если измеренное усилие для перехода от автоматизированного управления к ручному управлению не превышает 50 Н.
6.5.3.3 Испытание в соответствии с
6.5.3.1 повторяют со сменой полосы при движении в противоположном направлении
6.5.4 Испытание с прекращением процедуры смены полосы
6.5.4.1 Испытуемое ТС движется по полосе прямого испытательного трека, имеющего не менее двух полос движения в одном и том же направлении с дорожной разметкой по обе стороны полосы.
Скорость ТС составляет (VSmin + 10) км/ч.
СПСПД активируется (в режиме ожидания).
Другое ТС приближается сзади в целях активирования СПСПД, как указано в
5.11.3.
Приближающееся ТС должно затем полностью обогнать испытуемое ТС.
После этого водитель инициирует процедуру смены полосы.
Испытание повторяют для каждого из следующих условий, возникновение которых предшествует началу маневра по смене полосы:
- СПСПД переведена в ручной режим водителем;
- СПСПД отключена водителем;
- скорость ТС снижается до (VSmin - 10) км/ч;
- водитель отпустил руль, и подается предупреждающий сигнал об отрыве рук от органа рулевого управления;
- указатели поворота выключены водителем вручную;
- маневр по смене полосы не был начат в течение 5 с после начала процедуры смены полосы (например, в случае если по сопредельной полосе движется другое ТС в критической ситуации, как это описано в
5.10).
6.5.4.2 Испытание считают выполненным, если в каждом из вышеуказанных случаев процедура смены полосы прекращается.
6.5.5 Испытание на проверку работы датчика
6.5.5.1 Испытуемое ТС движется по полосе прямого испытательного трека, имеющего не менее двух полос движения в одном и том же направлении с дорожной разметкой по обе стороны полосы.
Скорость ТС составляет (VSmin + 10) км/ч.
Активируется СПСПД (в режиме ожидания).
Другое ТС приближается сзади по сопредельной полосе со скоростью 120 км/ч.
Приближающееся ТС представляет собой движущийся по центру полосы мотоцикл массового производства категории L
3 в соответствии с
[1] с объемом двигателя не более 600 см
3 без переднего обтекателя или ветрового щитка.
Измеряют расстояние между задней частью испытуемого ТС и передним краем приближающегося ТС (например, при помощи дифференциальной глобальной системы определения местоположения) и регистрируют значение, соответствующее моменту обнаружения СПСПД приближающегося ТС.
6.5.5.2 Испытание считают выполненным, если СПСПД обнаруживает приближающееся ТС не позднее, чем на расстоянии, заявленном изготовителем ТС (
Srear), как это указано в
5.11.1.
6.5.6 Испытания с закрытым датчиком
6.5.6.1 Испытуемое ТС движется по полосе прямого испытательного трека, имеющего не менее двух полос движения в одном и том же направлении с дорожной разметкой по обе стороны полосы.
Скорость ТС составляет (VSmin + 10) км/ч.
СПСПД активируется (в режиме ожидания).
| | ИС МЕГАНОРМ: примечание. В официальном тексте документа, видимо, допущена опечатка: имеется в виду п. 5.11.3, а не 5.16.3. | |
Другое ТС приближается сзади в целях активирования СПСПД, как указано в
5.16.3.
Приближающееся ТС должно затем полностью обогнать испытуемое ТС.
По согласованию между изготовителем ТС и испытательной лабораторией датчик закрывают и отмечают это в протоколе испытаний. Эта операция может проводиться когда ТС неподвижно, при условии, что не выполняется никакой новый цикл запуска двигателя.
ТС движется со скоростью (VSmin + 10) км/ч, и водитель инициирует процедуру смены полосы.
6.5.6.2 Испытание считают выполненным, если СПСПД:
- определяет несрабатывание датчика;
- подает сигнал, предупреждающий водителя, как это определено в
5.11.4;
- оказывается не в состоянии выполнить маневр по смене полосы.
Изготовитель должен предоставить испытательной лаборатории удовлетворительные доказательства того, что требования, определенные в
5.11.4, выполняются при различных сценариях вождения. Такими доказательствами может служить соответствующая документация, прилагаемая к протоколу испытаний.
6.5.7 Испытания в рамках цикла запуска двигателя
Испытание состоит из трех последовательных этапов.
Скорость ТС составляет (VSmin + 10) км/ч.
6.5.7.1 Этап 1 - испытание с СПСПД, по умолчанию находящейся в режиме "выключено".
6.5.7.1.1 После выполнения водителем нового цикла запуска двигателя испытуемое ТС движется по полосе прямого испытательного трека, имеющего не менее двух полос движения в одном и том же направлении с дорожной разметкой по обе стороны полосы.
СПСПД находится в режиме "выключено".
Другое ТС приближается сзади и полностью обгоняет испытуемое ТС.
Указатель поворота, используемый для инициирования процедуры смены полосы движения, водитель должен активировать на протяжении периода более 5 с.
6.5.7.1.2 Испытание этапа 1 считают выполненным, если водитель не инициирует маневр по смене полосы.
6.5.7.2 Этап 2 - проверка того, что маневр по смене полосы не может быть выполнен СПСПД, в том случае если она не выявила никакого движущегося объекта на расстоянии, равном или превышающем расстояние
Srear, как указано в
5.11.3.
6.5.7.2.1 После выполнения водителем нового цикла запуска двигателя испытуемое ТС движется по полосе прямого испытательного трека, имеющего не менее двух полос движения в одном и том же направлении с дорожной разметкой по обе стороны полосы.
СПСПД активируется вручную (в режиме ожидания).
Затем водитель инициирует процедуру смены полосы.
6.5.7.2.2 Испытание этапа 2 считают выполненным, если маневр по смене полосы не начинается (поскольку предварительное условие, указанное в
5.11.3, не выполнено).
6.5.7.3 Этап 3 - испытание с условиями, в которых возможна смена полосы движения.
При испытании проверяется, что маневр по смене полосы возможен только после того, как СПСПД выявила движущийся объект на расстоянии, равном или превышающем расстояние
Srear, как указано в
5.11.3.
6.5.7.3.1 По завершении этапа 2 испытания к испытуемому ТС сзади по сопредельной полосе приближается другое ТС в целях активирования СПСПД, как указано в
5.11.3.
Измеряют расстояние между задней частью испытуемого ТС и передним краем приближающегося ТС (например, при помощи дифференциальной глобальной системы определения местоположения) и регистрируют значение, соответствующее моменту обнаружения СПСПД приближающегося ТС.
После того, как приближающееся сзади ТС полностью обогнало испытуемое ТС, водитель инициирует процедуру смены полосы.
6.5.7.3.2 Испытание этапа 3 считают выполненным, если:
- выполняется маневр по смене полосы;
- приближающееся ТС обнаруживается не позднее, чем на расстоянии, заявленном изготовителем ТС (Srear).
(обязательное)
ТРЕБОВАНИЯ В ОТНОШЕНИИ БЕЗОПАСНОСТИ КОМПЛЕКСНЫХ ЭЛЕКТРОННЫХ
СИСТЕМ УПРАВЛЕНИЯ ТРАНСПОРТНЫМ СРЕДСТВОМ
А.1 Общие положения
В настоящем приложении определены требования в отношении проверки безопасности комплексных электронных систем управления ТС (см.
А.2.3) применительно к СПСПД.
В настоящем приложении не указаны критерии рабочих параметров для СПСПД, но описаны применяемые методы проектирования конструкции и информирования, которые должны доводиться до сведения испытательной лаборатории, ответственной за проведение испытаний.
Данная информация должна свидетельствовать о том, что СПСПД в рабочем состоянии и в случае неисправности отвечает всем требованиям настоящего стандарта.
А.2.1 Комплектация
Изготовитель ТС предоставляет комплект документов, описывающих конструкцию СПСПД и средства ее соединения с другими системами ТС, в котором должны быть разъяснены функция(и) СПСПД и концепция безопасности, предусмотренные изготовителем. Документация должна быть краткой и свидетельствовать о том, что при проектировании и разработке использованы специальные знания из всех областей, имеющих отношение к работе системы. В целях проведения периодических технических осмотров в документации указывают способ проверки текущего состояния СПСПД.
Должна быть доступна документация двух видов:
- комплект документов для сертификации СПСПД, содержащий материалы, перечисленные в А.2 (за исключением указанных в
А.2.4.4), которые передают испытательной лаборатории и органу по сертификации. Эти документы используют в качестве основных справочных материалов для процесса проверки, предусмотренного в
А.3. Испытательная лаборатория и орган по сертификации должны обеспечить доступность этих документов в течение 10 лет с момента окончательного прекращения производства ТС;
- дополнительные материалы и данные анализа, указанные в
А.2.4.4, которые могут храниться у изготовителя, но должны быть представлены для проверки при подтверждении соответствия СПСПД. Изготовитель должен обеспечить доступ к этим документам в течение 10 лет с момента окончательного прекращения производства ТС.
А.2.2 Описание функций СПСПД
Представляют описание, в котором приведено разъяснение всех функций СПСПД, связанных с управлением ТС, и методов, используемых для достижения ее целей, включая указание механизма(ов), при помощи которого(ых) осуществляется управление ТС.
Каждая описанная функция, которая позволяет переход от автоматизированного управления к ручному управлению, идентифицируется; в этом случае представляют описание изменений в ее действии.
А.2.2.1 Представляют перечень всех вводимых и принимаемых переменных и определяют диапазон их работы.
А.2.2.2 Представляют перечень всех выходных переменных, контролируемых СПСПД, и в каждом случае указывают, осуществляется ли непосредственное управление ТС или управление через другую систему ТС. Определяют диапазон управления применительно к каждой из таких переменных.
А.2.2.3 Указывают пределы, определяющие границы функциональных возможностей, если это необходимо с учетом рабочих параметров СПСПД.
А.2.3 Компоновка и схематическое описание системы
А.2.3.1 Перечень компонентов
Представляют перечень, в котором перечисляют все блоки СПСПД с указанием других систем ТС, необходимых для обеспечения данной функции управления, а также краткое схематическое описание этих блоков с указанием их сочетания и с четким освещением аспектов установки и взаимного подсоединения оборудования.
А.2.3.2 Функции блоков
Должны быть кратко охарактеризованы функции каждого блока СПСПД и указаны сигналы, обеспечивающие его соединение с другими блоками или с другими системами ТС. Это может быть сделано при помощи блок-схемы с соответствующей маркировкой или иного схематического описания, либо при помощи текста, сопровождающего такую схему.
А.2.3.3 Соединения
Соединения в рамках СПСПД обозначают при помощи принципиальной схемы электрических линий передачи, схемы пневматического или гидравлического передающего оборудования и упрощенной диаграммной схемы механических соединений. Обозначают также линии передачи к другим системам и от них.
А.2.3.4 Сигнальная ориентация и очередность сигналов
Обеспечивают четкое соответствие между этими линиями передачи и сигналами, передаваемыми между блоками.
В каждом случае, когда очередность может повлиять на эксплуатационные качества или безопасность применительно к настоящему стандарту, указывают очередность сигналов на мультиплексных информационных каналах.
А.2.3.5 Идентификация блоков
Каждый блок четко и недвусмысленно идентифицируют (например, посредством маркировки аппаратных и программных средств по их содержанию) для обеспечения надлежащего соответствия между программными средствами и документацией.
Если различные функции сочетаются в рамках единого блока или единого компьютера, но указаны на многочисленных элементах блок-схемы с целью обеспечения ясности и легкости их понимания, то используют единую идентификационную маркировку аппаратных средств.
При помощи этой идентификации изготовитель подтверждает, что поставляемое оборудование соответствует требованиям настоящего стандарта.
Идентификация позволяет определить используемый тип аппаратного и программного обеспечения, и в случае изменения их типа с изменением функций блока, предусмотренных настоящим стандартом, данную идентификацию также изменяют.
А.2.4 Концепция безопасности изготовителя
А.2.4.1 Изготовитель представляет декларацию, в которой утверждается, что стратегия, выбранная для обеспечения целевых функций СПСПД в исправном состоянии, не препятствует надежному функционированию систем, на которые распространяются требования настоящего стандарта.
А.2.4.2 В отношении программного обеспечения, используемого в СПСПД, в декларации разъясняются элементы его конфигурации и указываются использовавшиеся методы и средства проектирования. Изготовитель должен быть готов к тому, чтобы при поступлении соответствующего требования представить доказательства в отношении использования средств, при помощи которых была реализована логическая схема СПСПД в процессе проектирования и практической разработки.
А.2.4.3 Изготовитель приводит сведения о проектных условиях, которым соответствует СПСПД, для обеспечения ее надежного функционирования в случае неисправности. Возможными проектными условиями на случай неисправности СПСПД могут служить, например, следующие:
- переход к функционированию с частичным использованием СПСПД;
- переключение на отдельную дублирующую систему;
- отмена функции высокого уровня.
В случае неисправности водителя информируют о ней, например, при помощи предупреждающего сигнала либо соответствующего сообщения. Если СПСПД не отключается водителем, например, при помощи перевода переключателя зажигания (запуска) в положение "выключено" либо при помощи отключения этой конкретной функции при условии, что для этого предусмотрен специальный переключатель, то предупреждение сохраняется до тех пор, пока существует неисправность.
А.2.4.3.1 Если в соответствии с обозначенным требованием выбирают какой-либо конкретный режим функционирования при определенных условиях неисправности, то эти условия указывают и определяют соответствующие пределы эффективности.
А.2.4.3.2 Если в соответствии с обозначенным требованием выбирают вторую возможность (дублирующая система, позволяющая обеспечить управление ТС), то должны быть разъяснены принципы работы оборудования переключения, логика и уровень резервирования, а также любые резервные проверочные аспекты и определены соответствующие пределы резервной эффективности.
А.2.4.3.3 Если в соответствии с обозначенным требованием осуществляется отмена функции более высокого уровня, то все соответствующие выходные сигналы управления, связанные с этой функцией, подавляются с ограничением переходных помех.
А.2.4.4 Эта документация дополняется анализом, показывающим возможности реагирования СПСПД на любую из указанных неисправностей, влияющих на управление ТС или его безопасность.
Анализ может включать анализ режима и последствий неисправностей, анализ дерева неисправностей либо любых аналогичных процессов, имеющих отношение к безопасности СПСПД.
Изготовитель отбирает и обеспечивает применение выбранного(ых) аналитического(их) подхода(ов), который(е) во время подтверждения соответствия доводится(ятся) до сведения испытательной лаборатории и органа по сертификации.
Для каждого типа отказа СПСПД приводят перечень контролируемых параметров и указывают предупредительный сигнал, подаваемый водителю и/или сотрудникам службы, проводящей технический осмотр.
А.2.4.5 Эта документация должна включать описание мер, принимаемых для обеспечения того, чтобы СПСПД не препятствовала надежной работе ТС, когда на ее функционирование влияют такие факторы окружающей среды, как погодные явления, температурные условия, попадание пыли, проникновение воды или лед на поверхности дороги.
А.3.1 Испытательная лаборатория анализирует комплект документации с целью убедиться в том, что СПСПД:
- сконструирована так, чтобы функционировать в условиях отсутствия неисправности и в случае неисправности таким образом, чтобы это не приводило к возникновению критических рисков в области безопасности;
- соответствует в условиях отсутствия неисправности и в случае неисправности всем требованиям настоящего стандарта.
А.3.2 Испытательная лаборатория проводит оценку применения аналитического(их) подхода(ов), описанных в
А.2.4.4. Эта оценка включает:
- проверку подхода к обеспечению безопасности на уровне ТС с подтверждением того, что он предусматривает учет взаимодействия с другими системами ТС. Этот подход опирается на анализ опасностей/рисков, связанных с функционированием СПСПД;
- проверку подхода к обеспечению безопасности на системном уровне. Этот подход основан на анализе режима и последствий неисправностей, анализе дерева неисправностей либо любых аналогичных процессов, имеющих отношение к безопасности СПСПД;
- проверку планов и результатов валидации, проведенной изготовителем. В процессе валидации может использоваться, например, аппаратно-программное моделирование, эксплуатационные испытания ТС в дорожных условиях или любые аналогичные испытания, приемлемые для целей валидации.
Освидетельствование должно включать контроль отдельных рисков и неисправностей, выбранных испытательной лабораторией для подтверждения ясности и логичности предоставленного изготовителем разъяснения концепции безопасности, а также проверки приемлемости и выполнения планов валидации.
А.3.3 Функциональные возможности СПСПД, указанные в документах, предусмотренных в
А.2, проверяются следующим образом:
А.3.3.1 Проверка функции СПСПД
Испытательная лаборатория проводит испытания СПСПД в условиях отсутствия неисправностей путем проверки отдельных функций из числа заявленных изготовителем согласно
А.2.2.
Эти испытания должны включать сценарии, в рамках которых при выполнении проверяемой функции осуществляется переход от автоматизированного управления к ручному управлению.
А.3.3.2 Проверка концепции безопасности (см. А.2.4)
Проводится проверка поведения СПСПД в условиях неисправности любого отдельного блока посредством подачи соответствующих выходных сигналов на электрические блоки или механические элементы с целью имитации воздействия внутренних неисправностей в рамках этого блока.
Проверку проводят, как минимум, в отношении одного отдельного блока, однако поведение СПСПД в случае неисправности сразу нескольких блоков не проверяют.
Испытательная лаборатория должна убедиться в том, что проверка охватывает ситуации, которые могут оказать воздействие на управляемость ТС, и соответствующее информирование пользователей (аспекты ЧМИ).
Результаты проверки должны соответствовать документально подтвержденному резюме анализа неисправности таким образом, чтобы была обоснована адекватность концепции безопасности и методов ее применения.
| ECE/TRANS/WP.29/78/Rev.4 | Сводная резолюция о конструкции транспортных средств (СР.3) |
| Правила ООН N 10 | Единообразные предписания, касающиеся официального утверждения транспортных средств в отношении электромагнитной совместимости |
| Правила ООН N 130 | Единообразные предписания, касающиеся официального утверждения механических транспортных средств в отношении системы предупреждения о выходе из полосы движения |
УДК 656.13:006.354 | |
Ключевые слова: система помощи водителю при смене полосы движения, системы помощи водителю, рулевое управление |