Главная // Актуальные документы // ГОСТ Р (Государственный стандарт)СПРАВКА
Источник публикации
М.: Стандартинформ, 2020
Примечание к документу
В соответствии с
Приказом Росстандарта от 19.12.2019 N 1417-ст данный документ
вводился в действие с 01.08.2020. В соответствии с изменением, внесенным
Приказом Росстандарта от 28.07.2020 N 421-ст, срок введения в действие данного документа перенесен на 01.01.2021.
Название документа
"ГОСТ Р 58626-2019. Национальный стандарт Российской Федерации. Системы и комплексы космические. Анализ худшего случая. Общие требования"
(утв. и введен в действие Приказом Росстандарта от 19.12.2019 N 1417-ст)
"ГОСТ Р 58626-2019. Национальный стандарт Российской Федерации. Системы и комплексы космические. Анализ худшего случая. Общие требования"
(утв. и введен в действие Приказом Росстандарта от 19.12.2019 N 1417-ст)
Утвержден и введен в действие
агентства по техническому
регулированию и метрологии
от 19 декабря 2019 г. N 1417-ст
НАЦИОНАЛЬНЫЙ СТАНДАРТ РОССИЙСКОЙ ФЕДЕРАЦИИ
СИСТЕМЫ И КОМПЛЕКСЫ КОСМИЧЕСКИЕ
АНАЛИЗ ХУДШЕГО СЛУЧАЯ
ОБЩИЕ ТРЕБОВАНИЯ
Space systems and complexes. Worst-case analysis.
General requirements
ГОСТ Р 58626-2019
| | Приказом Росстандарта от 28.07.2020 N 421-ст дата введения в действие перенесена на 01.01.2021. | |
Дата введения
1 августа 2020 года
1 РАЗРАБОТАН АО "Центральный научно-исследовательский институт машиностроения" (АО "ЦНИИмаш")
2 ВНЕСЕН Техническим комитетом по стандартизации ТК 321 "Ракетно-космическая техника"
3 УТВЕРЖДЕН И ВВЕДЕН В ДЕЙСТВИЕ
Приказом Федерального агентства по техническому регулированию и метрологии от 19 декабря 2019 г. N 1417-ст
4 ВВЕДЕН ВПЕРВЫЕ
Правила применения настоящего стандарта установлены в статье 26 Федерального закона от 29 июня 2015 г. N 162-ФЗ "О стандартизации в Российской Федерации". Информация об изменениях к настоящему стандарту публикуется в ежегодном (по состоянию на 1 января текущего года) информационном указателе "Национальные стандарты", а официальный текст изменений и поправок -
в ежемесячном информационном указателе "Национальные стандарты". В случае пересмотра (замены) или отмены настоящего стандарта соответствующее уведомление будет опубликовано в ближайшем выпуске ежемесячного информационного указателя "Национальные стандарты". Соответствующая информация, уведомление и тексты размещаются также в информационной системе общего пользования -
на официальном сайте федерального органа исполнительной власти в сфере стандартизации в сети Интернет (www.gost.ru)
Настоящий стандарт устанавливает общие требования к порядку и методам проведения анализа худшего случая для изделий космических систем (комплексов) при их создании (модернизации или модификации).
Положения настоящего стандарта применяются всеми организациями Российской Федерации, юридическими и физическими лицами, участвующими в создании (модернизации или модификации), производстве и эксплуатации изделий космических систем (комплексов) научного и социально-экономического назначения.
В настоящем стандарте использованы нормативные ссылки на следующие стандарты:
ГОСТ 2.105 Единая система конструкторской документации. Общие требования к текстовым документам
ГОСТ 27.002 Надежность в технике. Термины и определения
ГОСТ Р 58629 Системы и комплексы космические. Анализ видов, последствий и критичности отказов изделий и процессов. Общие требования
Примечание - При пользовании настоящим стандартом целесообразно проверить действие ссылочных стандартов в информационной системе общего пользования - на официальном сайте Федерального агентства по техническому регулированию и метрологии в сети Интернет или по ежегодному информационному указателю "Национальные стандарты", который опубликован по состоянию на 1 января текущего года, и по выпускам ежемесячного информационного указателя "Национальные стандарты" за текущий год. Если заменен ссылочный стандарт, на который дана недатированная ссылка, то рекомендуется использовать действующую версию этого стандарта с учетом всех внесенных в данную версию изменений. Если заменен ссылочный стандарт, на который дана датированная ссылка, то рекомендуется использовать версию этого стандарта с указанным выше годом утверждения (принятия). Если после утверждения настоящего стандарта в ссылочный стандарт, на который дана датированная ссылка, внесено изменение, затрагивающее положение, на которое дана ссылка, то это положение рекомендуется применять без учета данного изменения. Если ссылочный стандарт отменен без замены, то положение, в котором дана ссылка на него, рекомендуется применять в части, не затрагивающей эту ссылку.
В настоящем стандарте применены термины по
ГОСТ 27.002, а также следующие термины с соответствующими определениями:
3.1 анализ худшего случая: Формализованная процедура анализа, включающая в себя количественную оценку изменения значений выходных параметров объекта анализа, в зависимости от всех возможных значений его внутренних и входных параметров.
3.2 внутренний параметр изделия (составной части изделия): Параметр изделия (составной части изделия), определяющий свойство, присущее его конструкции.
3.3 входной параметр изделия (составной части изделия): Параметр внутренний, внешней или внутренней среды, определяющий изменение выходных параметров изделия (составных частей изделия).
3.4 выходной параметр изделия (составной части изделия): Параметр изделия (составной части изделия) характеризующий его функцию.
3.5
изделие: Предмет или набор предметов производства, подлежащих изготовлению в организации (на предприятии) по конструкторской документации. Примечания 1 Изделиями могут быть: устройства, средства, машины, агрегаты, аппараты, приспособления, оборудование, установки, инструменты, механизмы, системы и др. 2 Число изделий может измеряться в штуках, (экземплярах). 3 К изделиям допускается относить завершенные и незавершенные предметы производства, в том числе заготовки. |
3.6
космическая система; КС: Совокупность одного или несколько космических комплексов и специальных комплексов, предназначенных для решения целевых задач. |
3.7 космический комплекс (комплекс): Совокупность составных частей и входящих в их состав систем, агрегатов, приборов, обеспечивающих функционирование и выполнение целевых задач по использованию космического пространства в соответствии с тактико-техническим заданием (техническим заданием) на комплекс.
Примечания
1 В качестве составной части комплекса могут быть: ракета, ракета-носитель, разгонный блок (блок выведения), космический аппарат, космическая головная часть, орбитальный самолет, стартовый комплекс, технический комплекс, система дистанционного управления и контроля, средства наземного автоматизированного комплекса управления, наземного комплекса управления, наземного специального комплекса, полигонного измерительного комплекса, измерительного комплекса космодрома, корабельного командно-измерительного комплекса и поисково-спасательного комплекса для данного комплекса, командный пункт, автоматизированная система охраны, комплекс наземного технологического оборудования, система электроснабжения объектов, автономные технические системы объектов, учебно-тренировочные средства, специализированные средства подготовки космонавтов в объеме согласованных тактико-технических заданий на пилотируемые космические комплексы и т.п.
2 В качестве системы могут быть: двигательная установка, бортовая система управления, бортовая система энергоснабжения, система навигации и т.п., которые входят в состав комплекса и (или) его составных частей.
3 В качестве агрегата (прибора) комплекса могут быть: двигатель, автомат стабилизации, рулевая машинка и т.п., которые входят в состав составных частей и (или) систем.
3.8 параметр внешней (внутренней) среды: Характеристика внешней (внутренней) среды, соответствующая режимам эксплуатации изделия и отображающая физическую величину.
3.9
параметр изделия: Характеристика изделия, отображающая физическую величину. [ГОСТ 19919-74, статья 6] |
3.10
составная часть изделия (СЧ): Изделие, выполняющее определенные функции в составе другого изделия. Примечание - Понятие "Составная часть изделия" следует применять в отношении конкретного изделия, в состав которого она входит. СЧ может быть любым видом изделия по конструкторско-функциональным характеристикам (деталь, сборочная единица, комплекс и комплект). |
3.11
характеристика (characteristic): Отличительное свойство. Примечания 1 Характеристика может быть присущей или присвоенной. 2 Характеристика может быть качественной или количественной. 3 Существуют различные классы характеристик, такие как: a) физические (например, механические, электрические, химические или биологические характеристики); b) органолептические (например, связанные с запахом, осязанием, вкусом, зрением, слухом); c) этические (например, вежливость, честность, правдивость); d) характеристики, связанные со временем (например, пунктуальность, безотказность, доступность, непрерывность); e) эргономические (например, физиологические характеристики, связанные с безопасностью человека); f) функциональные (например, максимальная скорость самолета). |
3.12 экспериментальная отработка космического комплекса (изделия): Совокупность работ по подготовке и проведению испытаний в условиях, близких к реальным, на моделях, макетах, опытных образцах с целью достижения и подтверждения (проверки) соответствия характеристик комплекса (изделий) требованиям, заданным в тактико-техническом задании (техническом задании), обеспечения работоспособности изделий, определения запасов их ресурса.
Примечание - В эту совокупность входят работы по имитационному моделированию, математическому и программному обеспечению, баллистическому обоснованию, по отработке технологических процессов, а также работы, проводимые на основе опытно-теоретических методов.
В настоящем стандарте применены следующие сокращения:
АВПКО - анализ видов, последствий и критичности отказов;
АВПО - анализ видов, последствий отказов;
АХС - анализ худшего случая;
КД - конструкторская документация;
РД - рабочая документация;
СЧ - составная часть;
ТЗ - техническое задание;
ТТЗ - тактико-техническое задание.
5.1 Проведение АХС для изделий космических систем (комплексов) (далее по тексту - изделий) является СЧ процесса обеспечения надежности и безопасности при их создании (модернизации или модификации). Данные работы должны быть запланированы и включены в состав программ обеспечения надежности и документов сквозного планирования, выпускаемых для конкретных изделий.
5.2 АХС является развитием АВПКО (АВПО), выполняемого в соответствии с
ГОСТ Р 58629, в части детализации работ, связанных с оценками предельных значений допусков параметров, относящихся к ключевым характеристикам критичных элементов, из числа имеющих физические величины.
5.3 Необходимость проведения АХС устанавливается заказчиком в ТТЗ (ТЗ) при наличии максимальной, связанной с надежностью и безопасностью, тяжести последствий возможных критичных отказов изделия, определяемой согласно
ГОСТ Р 58629, а также при условии, что критичный элемент, тяжесть последствий отказа которого признана максимальной, является точкой единичного отказа.
5.4 Основной целью проведения АХС является подтверждение соответствия установленных предельных значений допусков выходных параметров, относящихся к ключевым характеристикам изделия и его СЧ всем возможным значениям входных параметров.
В процессе проведения АХС должны быть решены следующие задачи:
- на основании данных проектной и рабочей КД проведена предварительная оценка влияния на значения выходных параметров, относящихся к целевым функциональным характеристикам изделия и их СЧ, возможных значений входных параметров изделия;
- на основании данных РД проведена предварительная оценка влияния на значения внутренних параметров изделия и его СЧ, возможных значений параметров технологических процессов, включая влияние параметров, характеризующих состояние производственных и рабочих сред;
- в процессе проведения наземной экспериментальной отработки и летных испытаний произведен сбор и обработка экспериментальных данных по значениям параметров, полученным по результатам проведения испытаний изделия и их СЧ, отработки технологических процессов и изготовления опытных образцов;
- проведена оценка влияния на значения выходных параметров, относящихся к целевым функциональным характеристикам изделия, возможных значений входных параметров, с учетом фактических данных, полученным по результатам экспериментальной отработки и летных испытаний.
5.5 Результаты проведения АХС для изделия его СЧ в целом должны быть включены в состав отчетных документов, указанных в
разделе 6.
Оформленные отчетные документы по проведению АХС для СЧ изделия должны быть согласованы с головной организацией-разработчиком, составившей ТЗ на разработку указанной СЧ, и переданы ей для использования в качестве исходных данных при проведении АХС изделия более высокого структурного уровня.
При разработке изделия и его СЧ одной организацией-разработчиком, отдельно оформленные для СЧ отчетные документы допускается не составлять.
5.6 Проведение АХС должно производиться совместно со следующими работами:
- проведением расчетов по определению функциональных и физических характеристик изделия и их СЧ (прочностных, тепловых, баллистических, размерных цепей и других расчетов);
- анализом нагрузок на изделия электронной компонентной базы и разработкой карт рабочих режимов;
- разработкой технологических процессов, включая разработку контрольных карт, определением планов контроля, значений параметров технологических режимов, параметров производственной и рабочих сред;
- анализом и обработкой результатов проведения технического контроля и испытаний изделия и их СЧ на этапах наземной экспериментальной отработки и летных испытаний;
- анализом и обработкой результатов проведения отработки технологических процессов.
5.7 Критерием наличия худшего случая является выход значений целевых функциональных (выходных) параметров изделия за пределы установленных диапазонов допусков при любых возможных значениях входных параметров, определяемых конструктивными характеристиками, режимами эксплуатации (применения) и технологии изготовления изделия (СЧ изделия), со значением вероятности равным или выше нормы значения вероятности, установленной для изделия (СЧ изделия).
5.8 Описание методов проведения оценки допусков параметров приведено в
приложении А.
5.9 Проведение АХС должно производиться подразделениями организации, ответственными за разработку КД с привлечением других необходимых специалистов, под методическим руководством служб надежности.
5.10 Результаты проведения АХС, оформленные в виде отчетных документов, подлежат экспертизе и рассмотрению в установленном заказчиком порядке, совместно с другими материалами по обеспечению надежности.
6 Порядок и методы проведения анализа худшего случая
6.1.1 Работы, связанные с проведением АХС осуществляются на следующих этапах создания изделия:
- разработки эскизного проекта;
- разработки РД на опытные изделия комплекса и макеты;
- этапах наземной экспериментальной отработки и летных испытаний.
6.1.2 Проведение АХС должно осуществляться на основании:
- проектной и рабочей КД;
- определенного порядка и режимов эксплуатации (применения) изделия и его СЧ;
- результатов проведения АВПКО (АВПО), включая перечень СЧ изделия и программного обеспечения, отнесенных к категории критичных, состава, контролепригодности и допустимых значений их ключевых характеристик;
- результатов изготовления и проведения наземных и летных испытаний.
6.2 Анализ худшего случая при разработке эскизного проекта изделия
6.2.1 При разработке эскизного проекта изделия в части проведения АХС должны быть выполнены следующие работы:
- определен предварительный состав ключевых функциональных и физических характеристик изделия и его СЧ;
- определены предварительные допустимые диапазоны допусков для входных и выходных параметров ключевых функциональных и физических характеристик;
- определены допустимые значения вероятностей, определяющих нахождение значений входных и выходных параметров в пределах установленных допусков;
- составлен перечень методик для оценки допусков параметров, включая перечень методик, которые необходимо разработать на дальнейших этапах создания изделия.
6.2.2 Определение предварительного состава ключевых функциональных и физических характеристик изделия и его СЧ, включая относящиеся к ним входные и выходные параметры, должно проводится на основании результатов проведения предварительного АВПКО (АВПО), выполняемого функциональным методом в соответствии с требованиями
ГОСТ Р 58629.
Предварительный состав входных и выходных параметров изделия и его СЧ определяется требованиями соответствующих ТТЗ (ТЗ), а также принятыми конструктивно-компоновочными решениями, направленными на решение целевых задач, и зависит от степени детализации конструкции изделия и его СЧ, прорабатываемой в рамках разработки эскизного проекта, а также уровня разукрупнения, принятого при проведении АВПКО (АВПО).
6.2.3 Предварительные допустимые диапазоны допусков для входных и выходных параметров ключевых функциональных и физических характеристик изделия и его СЧ устанавливают на основании анализа требований ТТЗ (ТЗ), рассматриваемых вариантов конструктивно-компоновочных решений и результатов выполнения расчетных работ.
6.2.4 Допустимые значения вероятностей, определяющие нахождение значений входных и выходных параметров в пределах установленных допусков устанавливаются на основании требований ТТЗ (ТЗ), а также по результатам проведения работ по нормированию показателей надежности для СЧ изделия.
6.2.5 Определение состава входных и выходных параметров изделия и его СЧ, их допустимых диапазонов допусков должно производиться с учетом:
- степени критичности соответствующих элементов, установленной в рамках проведения АВПКО (АВПО) в соответствии с требованиями
ГОСТ Р 58629;
- физической сущности входных и выходных параметров изделия и его СЧ, особенностей их конструктивных элементов, и характер воздействующих факторов внешней и внутренней среды при эксплуатации (применении) изделия;
- наличия и возможности получения данных по фактическим значениям входных и выходных параметров изделия и его СЧ в объеме, обеспечивающем достоверность статистических оценок;
- предполагаемого состава технологических процессов изготовления, сборки и регулировки изделия и его СЧ и соответствующего им набора параметров, определяющих технологические режимы, состояние производственных и рабочих сред;
- состав и точность имеющихся типовых методов оценки параметров, возможность их применения.
6.2.6 По результатам вышеуказанных работ должен быть составлен перечень методик, необходимых для проведения оценки допусков параметров, включая методики, которые необходимо разработать на дальнейших этапах создания изделия и его СЧ.
6.2.7 Результаты вышеперечисленных работ должны быть включены в состав материалов эскизного проекта, относящихся к обеспечению надежности, которые должны быть разработаны, согласованы и утверждены в установленном заказчиком порядке.
Материалы эскизного проекта должны содержать:
- предварительный перечень ключевых функциональных и физических характеристик изделия и его СЧ и допустимые диапазоны допусков для их входных и выходных параметров;
- перечень значений вероятностей, определяющих нахождение значений входных и выходных параметров в пределах установленных допусков;
- перечень методик для оценки допусков параметров, включая перечень методик, которые необходимо разработать на дальнейших этапах создания изделия.
6.3 Анализ худшего случая при разработке рабочей документации изделия
6.3.1 При разработке РД изделия, в части проведения АХС, должны быть выполнены следующие работы:
- определен состав всех ключевых функциональных и физических характеристик изделия и его СЧ, а также всех входных и выходных параметров, определяющих указанные характеристики с допустимыми диапазонами допусков;
- определен перечень критичных технологических процессов и всех технологических параметров, определяющих эти процессы с допустимыми диапазонами допусков;
- разработаны методики оценки допусков параметров изделия и его СЧ, включая методики оценки влияния параметров технологических процессов на внутренние параметры изделия и его СЧ;
- проведена оценка допусков входных и выходных параметров изделия и его СЧ и технологических процессов, при необходимости разработаны предложения по их уточнению;
- произведена проверка разработанных программ и методик испытаний изделия и его СЧ, в части наличия проверок на функционирование при сочетании предельных значений параметров.
6.3.2 Определение состава всех ключевых функциональных и физических характеристик изделия, включая относящиеся к ним входные и выходные параметры с допустимыми диапазонами их допусков, должно проводиться на основании результатов проведения основного АВПКО (АВПО), выполненного в соответствии с требованиями
ГОСТ Р 58629, а также на основании данных, приведенных в рабочей КД.
6.3.3 Перечень критичных технологических процессов, а также допустимые значения их параметров, определяют на основании результатов проведения АВПКО (АВПО), выполненного для процессов в соответствии с требованиями
ГОСТ Р 58629, а также на основании данных по технологическим режимам, параметрам внешних производственных и рабочих сред и другим данным, указанным в технологической документации.
6.3.4 Разработку методик оценки допусков параметров изделия и его СЧ рекомендуется проводить на основании методов, приведенных в
приложении А.
Выбор метода оценки должен производиться с учетом:
- точности оценки соответствующего метода;
- детерминированных или стохастических связей между входными и выходными параметрами, относящимся к ключевым функциональным и физическим характеристикам изделия и его СЧ;
- наличия и полноты исходных данных, обеспечивающих достоверность статистических оценок;
- наличия ограничений по временным и другим ресурсам.
Примечание - По согласованию с заказчиком допускается использование других методов, не указанных в
приложении А.
6.3.5 По результатам проведения оценки допусков входных и выходных параметров должны быть определены уточненные значения указанных допусков и вероятности нахождения возможных значений входных и выходных параметров в их пределах.
Оценка допусков входных и выходных параметров должна производиться расчетным методом, на основании справочных данных, а также данных, полученных при создании и эксплуатации ранее разработанных изделий-аналогов.
При проведении оценок, связанных с изменениями выходных параметров покупных комплектующих изделий межотраслевого применения следует использовать данные по их допускаемым значениям, указанные в технических условиях, или в других документах, устанавливающих технические требования к указанным изделиям.
6.3.6 В рамках проведения работ, связанных с оценкой допусков входных и выходных параметров, должна быть проведена оценка допусков внутренних параметров конструктивных элементов изделия и допусков параметров технологических процессов, связанных с изготовлением указанных элементов. В состав параметров технологических процессов должны быть включены:
- параметры технологических режимов;
- параметры рабочих сред;
- параметры внешней среды;
- параметры, связанные с точностью технологического оборудования, оснастки и инструмента;
- параметры, определяющие точность контрольно-измерительного оборудования и принятых методов измерения.
Оценка внутренних допусков конструктивных элементов изделия и допусков параметров технологических процессов должна производиться расчетным методом, на основании данных, полученных при изготовлении изделий-аналогов, с учетом фактических результатов, полученных при отработке технологических процессов.
6.3.7 При выходе значений параметров за пределы установленных допусков должны быть разработаны рекомендации по корректировке рабочей конструкторской и технологической документации в части уточнения диапазонов допусков параметров, или, при необходимости, уточнения конструктивно-компоновочных и технологических решений.
6.3.8 В целях экспериментального подтверждения соответствия предельных значений допусков входных и выходных параметров должно быть запланировано проведение испытаний изделия и их СЧ с проверкой их функционирования при предельных значениях допусков указанных параметров.
Проверка программ и методик испытаний в рамках АХС должна включать:
- проверку полноты перечня проверяемых выходных параметров и их измеряемых значений;
- проверку полноты перечня и установленных предельных значений входных параметров;
- проверку возможностей испытательного оборудования в части воспроизведения предельных режимов эксплуатации изделия;
- проверку соответствия точности контрольно-измерительного оборудования;
- проверку объема испытаний и соответствующего ему объема измерений и регистрации данных, обеспечивающего требуемую достоверность статистических оценок.
6.3.9 Результаты вышеперечисленных работ должны быть включены в отчет о проведении АХС, оформленного, согласованного и утвержденного в соответствии с
ГОСТ 2.105 и в установленном заказчиком порядке.
Допускается результаты проведения АХС включать в состав следующих отчетных документов, оформленных, согласованных и утвержденных в установленном заказчиком порядке:
- в состав соответствующих расчетных материалов и расчета надежности, включая методики и результаты оценки допусков входных и выходных параметров и допустимых вероятностей, определяющих нахождение значений входных и выходных параметров в пределах установленных допусков;
- в состав перечней критичных элементов, оформленных в соответствии с требованиями
ГОСТ Р 58629, включая параметры ключевых характеристик и значения их допусков.
6.4 Анализ худшего случая по результатам наземной экспериментальной отработки и летных испытаний
6.4.1 АХС на этапах наземной экспериментальной отработки и летных испытаний должен включать в себя проведение следующих работ:
- уточняющую оценку состава ключевых функциональных и физических характеристик изделия и его СЧ, относящихся к ним входных и выходных параметров и допустимых диапазонов их допусков;
- уточняющую оценку параметров технологических процессов и их допустимых диапазонов допусков;
- разработку, при необходимости, предложений по уточнению пределов допусков входных и выходных параметров.
6.4.2 Уточнение состава ключевых функциональных и физических характеристик изделия и его СЧ и соответствующих им входных и выходных параметров должно быть проведено в случае выявления в процессе проведения работ на этапах наземной экспериментальной отработки и летных испытаний отказов, не учтенных в ходе проведения согласно
ГОСТ Р 58629 основного АВПКО (АВПО).
Уточнение перечня критичных элементов, состава функциональных и физических характеристик изделия и его СЧ, определяющих их входных и выходных параметров должно быть проведено на основании результатов проведения наземных и/или летных испытаний, а также результатов проведения, согласно
ГОСТ Р 58629, уточняющего АВПКО (АВПО).
6.4.3 Уточняющую оценку диапазонов допусков входных и выходных параметров, относящихся к ключевым функциональным и физическим характеристикам изделия и его СЧ, проводят по результатам наземных и/или летных испытаний изделий и их СЧ и результатам проведения уточняющего АВПКО (АВПО).
Оценка должна проводиться с использованием расчетно-экспериментальных или экспериментальных методов и на основании разработанных методик оценки допусков параметров, с использованием фактических данных по значениям входных и выходных параметров, полученным в процессе проведения наземных и/или летных испытаний.
6.4.4 В процессе проведения уточняющей оценки диапазонов допусков входных и выходных параметров изделия и его СЧ, должна быть также проведена уточняющая оценка допустимых диапазонов допусков внутренних параметров конструктивных элементов изделия и параметров соответствующих им технологических процессов.
Оценка должна проводиться с использованием расчетно-экспериментальных или экспериментальных методов и на основании разработанных методик оценки допусков параметров, с использованием фактических данных, полученных по результатам отработки технологических процессов и результатам изготовления опытных образцов и макетов.
6.4.5 При выходе значений входных и выходных параметров изделий и их СЧ и параметров технологических процессов за пределы установленных допусков, должны быть разработаны рекомендации по корректировке рабочей конструкторской и технологической документации в части уточнения диапазонов допусков параметров, или, при необходимости, уточнения конструктивно-компоновочных и технологических решений.
6.4.6 Результаты работ по АХС, выполненные на этапах наземной экспериментальной отработки и летных испытаний, должны быть включены, соответственно, в состав итогового технического отчета о готовности к летным испытаниям и технического отчета о результатах выполнения программы летных испытаний, оформленных, согласованных и утвержденных в установленном заказчиком порядке.
(справочное)
МЕТОДЫ ОЦЕНКИ ДОПУСКОВ ПАРАМЕТРОВ
А.1 Под методами оценки допусков параметров понимаются методы, направленные на оценку чувствительности выходных параметров изделия от изменений его внутренних параметров, характеризующих его функциональные и физические характеристики, и изменений внутренней и внешней окружающей среды, оказывающих влияние на работу изделия.
Под изменениями выходных функциональных параметров изделия, выходящими за пределы установленных допусков, понимаются отказы, ведущие к полной и частичной потере работоспособности.
Фактические значения внутренних параметров конструкции изделия определяются точностью и степенью отработки производственных процессов, которые зависят от технологии изготовления, сборки и регулировки изделия и его СЧ, планов технического контроля, точности поддержания параметров внешних и рабочих сред, точности производственного оборудования и контрольно-измерительной аппаратуры и соблюдения технологической дисциплины.
Выходные параметры в общем случае связаны с вышеперечисленными параметрами уравнением

(А.1)
где

- выходной параметр;
x1, x2 ... xk - совокупность внутренних параметров и параметров внешней среды;
L - оператор, или закон соответствия между

и
xk.
Совокупность внутренних параметров конструкции изделия и параметров внешней среды образуют группу входных параметров для оценки выходных параметров изделия.
Оценка чувствительности выходных параметров в общем случае заключается в следующем:
- определение возможных интервалов изменений входных параметров, включая изменения, связанные с деградацией физических характеристик СЧ изделия в процессе их старения;
- установление закона соответствия между изменениями внутренних параметров, изменениями параметров внешней среды и выходными параметрами изделия;
- определение границ изменений значений выходных параметров и сопоставление их с установленными допусками.
А.2 Оценка чувствительности выходных параметров может производиться расчетным или экспериментальным путем. Проведение оценки расчетным путем предполагает наличие детерминированного закона, устанавливающего взаимосвязь между входными и выходными параметрами в аналитической форме. При отсутствии данного закона оценка чувствительности производится экспериментальным путем, на основании методов статистического моделирования.
В общем случае исследование и оценка чувствительности выходных параметров изделия и его СЧ производится следующими методами:
- метод максимума-минимума;
- метод квадратичного сложения погрешностей;
- метод граничных испытаний;
- метод моментов;
- статистические методы по результатам натурных испытаний;
- метод статистических испытаний (метод Монте-Карло).
А.3 Метод максимума-минимума (в зарубежной терминологии - Extreme Value Analysis (EVA)) заключается в вычислении максимального и минимального значения отклонения (наихудшего случая) выходного параметра сложением максимальных и минимальных значений входных параметров в соответствии с детерминированным законом, определяющим функцию объекта анализа.
Основным преимуществом метода является его простота, возможность расчета допусков без знания законов распределения внутренних параметров. К основному недостатку метода относится существенно завышенные, по сравнению с точными методами, оценки предельных значений допусков, что обусловлено низкой вероятностью сочетания наихудших значений внутренних параметров.
А.4 Метод квадратичного сложения погрешностей (в зарубежной терминологии - Root-Sum-Squared (RSS)) заключается в определении среднеквадратичного отклонения выходного параметра путем извлечения квадратного корня из суммы квадратов среднеквадратичных отклонений внутренних параметров.
Основным преимуществом метода является его простота, но данный метод имеет следующие недостатки:
- заниженные, по сравнению с точными методами, предельные значения допусков;
- достоверность только при нормальном законе распределения погрешностей;
- отсутствует возможность оценки появления крайних и средних значений выходного параметра схемы;
- отсутствует возможность определить причину выхода параметра из поля допуска, если на него влияют несколько факторов.
А.5 Метод граничных испытаний включает в себя:
- выделение внутренних параметров, оказывающих наибольшее влияние на выходной параметр;
- определение для каждого выходного параметра коэффициентов чувствительности методами численного дифференцирования;
- определение области устойчивой работы;
- определение предельных значений допусков параметров.
К достоинству метода относится то, что он позволяет определить область устойчивой работы изделия и выбрать номинальные значения входных параметров так, чтобы номинальное значение и допуск выходного параметра находились внутри этой области.
Существенным недостатком метода граничных испытаний является то, что он позволяет провести исследование при одновременном изменении только двух входных параметров элементов.
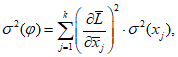
А.6 Метод моментов базируется на постулате о нормальном распределении значений параметров и включает в себя определение среднеквадратичного отклонения выходного параметра на основании следующей формулы

(А.2)
где

- коэффициент чувствительности.
Метод моментов дает абсолютно точные результаты только для линейных систем при соответствии априорного нормального распределения апостериорному.
А.7 Метод натурных испытаний заключается в статистической обработке результатов испытаний нескольких образцов с измерением фактических значений входных и выходных параметров.
Метод дает результаты с точностью, зависящей от количества испытываемых образцов и принятых планов контроля. К недостатку метода относится значительная стоимость проводимых работ.
А.8 Метод статистических испытаний (метод Монте-Карло) заменяет физический эксперимент математическим исследованием, сохраняя сущность и характер эксперимента, и использует статистические методы для обработки его результатов.
Сущность метода, в приложении его к оценке чувствительности выходных параметров, заключается в моделировании наборов случайных значений входных параметров и определении на их основании множества случайных значений выходного параметра.
Применение метода статистических испытаний обусловлено следующим:
- исследуемое изделие или его СЧ является сложным с большим числом корреляционных связей между их элементами;
- затруднено или вообще отсутствует аналитическое решение задачи;
- проведение натурных испытаний является длительным и дорогостоящим процессом;
- входные параметры меняют значения, и эти изменения могут быть представлены распределениями вероятностей с их характеристиками.
Точность метода статистических испытаний ограничивается величиной затрат машинного времени.
УДК 658.382.3:001.4:623:006.354 | |
Ключевые слова: надежность, космические системы, комплексы, анализ худшего случая, функциональная характеристика, физическая характеристика, параметр |