Главная // Актуальные документы // ГОСТ Р (Государственный стандарт)СПРАВКА
Источник публикации
М.: ФГБУ "РСТ", 2021
Примечание к документу
Документ
введен в действие с 01.01.2022.
Название документа
"ГОСТ Р ИСО 22514-4-2021. Национальный стандарт Российской Федерации. Статистические методы. Управление процессами. Часть 4. Оценка показателей воспроизводимости и пригодности процесса"
(утв. и введен в действие Приказом Росстандарта от 28.09.2021 N 1019-ст)
"ГОСТ Р ИСО 22514-4-2021. Национальный стандарт Российской Федерации. Статистические методы. Управление процессами. Часть 4. Оценка показателей воспроизводимости и пригодности процесса"
(утв. и введен в действие Приказом Росстандарта от 28.09.2021 N 1019-ст)
Утвержден и введен в действие
по техническому регулированию
и метрологии
от 28 сентября 2021 г. N 1019-ст
НАЦИОНАЛЬНЫЙ СТАНДАРТ РОССИЙСКОЙ ФЕДЕРАЦИИ
СТАТИСТИЧЕСКИЕ МЕТОДЫ
УПРАВЛЕНИЕ ПРОЦЕССАМИ
ЧАСТЬ 4
ОЦЕНКА ПОКАЗАТЕЛЕЙ ВОСПРОИЗВОДИМОСТИ И ПРИГОДНОСТИ ПРОЦЕССА
Statistical methods. Process management. Part 4. Process
capability and performance estimation
(ISO 22514-4:2016, Statistical methods in process
management - Capability and performance - Part 4: Process
capability estimates and performance measures, IDT)
ГОСТ Р ИСО 22514-4-2021
Дата введения
1 января 2022 года
1 ПОДГОТОВЛЕН Закрытым акционерным обществом "Научно-исследовательский центр контроля и диагностики технических систем" (ЗАО "НИЦ КД") на основе собственного перевода на русский язык англоязычной версии стандарта, указанного в
пункте 4
2 ВНЕСЕН Техническим комитетом по стандартизации ТК 125 "Применение статистических методов"
3 УТВЕРЖДЕН И ВВЕДЕН В ДЕЙСТВИЕ
Приказом Федерального агентства по техническому регулированию и метрологии от 28 сентября 2021 г. N 1019-ст
4 Настоящий стандарт идентичен международному стандарту ИСО 22514-4:2016 "Статистические методы в управлении процессами. Воспроизводимость и пригодность. Часть 4. Оценка показателей воспроизводимости и пригодности процесса" (ISO 22514-4:2016 "Statistical methods in process management - Capability and performance - Part 4: Process capability estimates and performance measures", IDT).
Международный стандарт разработан Техническим комитетом ISO/TC 69.
Наименование настоящего стандарта изменено относительно наименования указанного международного стандарта для приведения в соответствие с ГОСТ Р 1.5-2012
(пункт 3.5).
Правила применения настоящего стандарта установлены в статье 26 Федерального закона от 29 июня 2015 г. N 162-ФЗ "О стандартизации в Российской Федерации". Информация об изменениях к настоящему стандарту публикуется в ежегодном (по состоянию на 1 января текущего года) информационном указателе "Национальные стандарты", а официальный текст изменений и поправок - в ежемесячном информационном указателе "Национальные стандарты". В случае пересмотра (замены) или отмены настоящего стандарта соответствующее уведомление будет опубликовано в ближайшем выпуске ежемесячного информационного указателя "Национальные стандарты". Соответствующая информация, уведомление и тексты размещаются также в информационной системе общего пользования - на официальном сайте Федерального агентства по техническому регулированию и метрологии в сети Интернет (www.rst.gov.ru)
Многие организации в своей деятельности применяют стратегию постоянного улучшения. Для ее выполнения организации необходимо оценивать воспроизводимость и пригодность своих ключевых процессов. В этом случае применимы методы, установленные в стандартах серии ИСО 22514. Основой успешного применения действий по непрерывному улучшению является постоянный анализ оценок показателей пригодности и воспроизводимости процессов.
Особенностью настоящего стандарта является то, что в нем четко определены понятия "условия воспроизводимости процесса" и "условия пригодности процесса", первичное различие которых состоит в наличии (воспроизводимость процесса) или отсутствии (пригодность процесса) статистической стабильности процесса. Поэтому при оценке пригодности и воспроизводимости применяют два набора индексов, которые приведены в соответствующих разделах настоящего стандарта. Это необходимо, так как многие организации не учитывают их различия и соответственно неверно трактуют полученные индексы.
Изложение настоящего стандарта построено по принципу от общего к частному, что позволяет получить общие формулы, а также их представление в более частном виде.
В стандарте имеется много ссылок, показывающих важность понимания процессов в деятельности любой организации, будь это производственный процесс или процесс обработки информации. В условиях конкуренции для организации важна не только цена продукции или услуг, но также и затраты, которые понесет покупатель при использовании продукции или услуги. Поэтому целью любого поставщика является непрерывное уменьшение изменчивости процессов, а не только их соответствие установленным требованиям.
Стратегия постоянного улучшения обеспечивает сокращение затрат, связанных с отказами, и повышает устойчивость развития организации в условиях конкуренции. Кроме того, снижение изменчивости процесса позволяет сократить затраты на контроль продукции и уменьшить частоту выборочного контроля.
Оценка воспроизводимости и пригодности процесса также необходима организации для контроля воспроизводимости и пригодности процессов ее поставщиков. Для этих целей настоящий стандарт будет полезен многим организациям.
Количественная оценка изменчивости процесса позволяет сделать выводы о его пригодности и соответствии установленным требованиям. Настоящий стандарт обеспечивает необходимую основу для понимания воспроизводимости и пригодности любого процесса.
Все процессы обладают некоторой присущей им изменчивостью. Настоящий стандарт не разъясняет, что является собственной изменчивостью процесса, ее возникновение и влияние на процесс. В стандарте использовано предположение, что собственная изменчивость существует и стабильна.
Владельцы процесса должны пытаться понять и определить источники изменчивости своих процессов. Для идентификации этой изменчивости могут быть использованы такие методы, как составление блок-схемы и идентификация входов и выходов процесса, использование причинно-следственной диаграммы (рыбный скелет).
Для пользователя настоящего стандарта важно понимать наличие изменчивости, которая может иметь краткосрочную или долгосрочную природу, и то, что определение воспроизводимости, использующее только краткосрочную изменчивость, может значительно отличаться от определения воспроизводимости, использующего долгосрочную изменчивость.
При анализе краткосрочной изменчивости может быть выполнено исследование, использующее только краткосрочную изменчивость, иногда называемое анализом оборудования, приведенное в ИСО 22514-3. Метод выполнения такого исследования в настоящем стандарте не рассмотрен, однако необходимо отметить, что такие исследования важны и полезны.
Следует заметить, что индексы воспроизводимости, вычисленные в соответствии с настоящим стандартом, представляют собой только точечные оценки истинных значений. Поэтому рекомендуется, по возможности, определять и записывать доверительные интервалы индексов. В настоящем стандарте установлены необходимые для этого методы.
В настоящем стандарте установлены наиболее применимые показатели воспроизводимости и пригодности процесса.
2 Обозначения и сокращения
2.1 Обозначения
В настоящем стандарте применены следующие обозначения:

- доля или пропорция;

- параметр формы распределения Вейбулла;

- коэффициент эксцесса;
c4 - константа, соответствующая подгруппе объема n (см. ИСО 7870-2);
Cp - индекс воспроизводимости процесса;
Cpk - меньший индекс воспроизводимости процесса;
CpkL - нижний индекс воспроизводимости процесса;
CpkU - верхний индекс воспроизводимости процесса;
Cpm - альтернативный индекс воспроизводимости процесса;
CR - коэффициент воспроизводимости процесса (PCF);
d2 - константа, соответствующая подгруппе объема n (см. ИСО 7870-2);
e - число Эйлера (приблизительно равно 2,718), математическая константа;
Ф(·) - функция распределения стандартного нормального распределения;

- параметр положения распределения Вейбулла;

- коэффициент асимметрии;
m - количество подгрупп;
Kl, Ku - коэффициенты, используемые при определении границ доверительного интервала индекса воспроизводимости процесса;
L - нижняя граница поля допуска;
P0,135% - процентиль уровня 0,135;

- показатель положения процесса; математическое ожидание (среднее) совокупности;
N - общий объем выборки;
n - количество значений или объем подгруппы (для контрольной карты);

- процентиль уровня

;
pL - нижняя доля несоответствующих единиц продукции;
Pp - индекс пригодности процесса;
Ppk - меньший индекс пригодности процесса;
PpkL - нижний индекс пригодности процесса;
PpkU - верхний индекс пригодности процесса;
pt - общая доля несоответствующих единиц продукции;
pU - верхняя доля несоответствующих единиц продукции;
P99,865% - процентиль уровня 99,865%;

- геометрическая постоянная (3,14...);
Qk - индекс изменчивости процесса;

- параметр распределения Рэлея;

- выборочное среднее размаха в подгруппе;
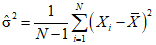
S - выборочное стандартное отклонение, выборочная статистика;
St - общее стандартное отклонение;

- выборочное среднее стандартного отклонения;
Sj - выборочное стандартное отклонение j-й подгруппы;

- истинное стандартное отклонение совокупности;

- оценка общего стандартного отклонения;
T - целевое значение;
U - верхняя граница поля допуска;

- процентиль уровня

;
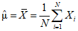
Xi - i-е значение в выборке;

- среднее арифметическое выборочных значений;

- среднее арифметическое нескольких выборочных средних;

- параметр масштаба распределения Вейбулла;
Y1, Y2 - значения, полученные по графику;

- квантиль стандартного нормального распределения уровня

<1>.
--------------------------------
<1> Интеграл плотности стандартного нормального распределения от

до

равен

.
В дополнение к приведенным выше обозначениям некоторые обозначения определены в тексте.
2.2 Сокращения
В настоящем стандарте применены следующие сокращения:
MSE <2> - средний квадрат ошибки;
PCF <3> - коэффициент воспроизводимости процесса;
PCI <4> - индексы воспроизводимости процесса.
--------------------------------
<2> MSE - mean square error.
<3> PCF - process capability fraction.
<4> PCI - process capability indices.
3 Основные принципы оценки параметров пригодности и воспроизводимости процесса
3.1 Общие положения
Рекомендации, приведенные в
4.2 -
4.6, относятся только к данным, представляющим собой результаты измерений. Они не подходят для оценок в баллах атрибутивных данных (наблюдений по альтернативному признаку), информация по обработке таких данных приведена в ИСО 22514-5.
3.2 Параметры положения
Параметром положения распределений является среднее (математическое ожидание)

или медиана
X50%. Для симметричных распределений наиболее предпочтительным параметром положения является среднее, а для несимметричных распределений - медиана.
3.3 Параметры разброса
3.3.1 Собственная изменчивость
Предпочтительным параметром собственной изменчивости процесса является стандартное отклонение

. Его часто оценивают по среднему размаху

или среднему стандартному отклонению

, полученным по карте на основе размахов (
R), или стандартному отклонению
S, когда процесс стабилен и находится в состоянии статистической управляемости в соответствии с
4.1. Методы определения оценок стандартного отклонения процесса приведены в
приложении A.
3.3.2 Общая изменчивость
Необходимо отличать стандартное отклонение, характеризующее только краткосрочные изменения процесса, и стандартное отклонение, характеризующее долгосрочные изменения процесса. Общая изменчивость - это изменчивость, присущая процессу в течение продолжительного периода времени. Методы вычисления стандартных отклонений, представляющих эти изменения, приведены в
приложении A. Очень часто, когда данные собраны в течение длительного периода времени, оценка стандартного отклонения превышает истинное за счет более существенной изменчивости процесса

.
3.3.3 Краткосрочная изменчивость
Изменчивость процесса может быть краткосрочной и быть частью общей изменчивости. Это показано на
рисунке 1. Краткосрочная изменчивость включает собственную изменчивость, а также может включать изменчивость, вызванную краткосрочным нарушением стабильности.
1 - краткосрочная изменчивость; 2 - общая изменчивость
Рисунок 1 - Краткосрочная изменчивость и ее взаимосвязь
с общей изменчивостью
Распределение, характеризующее изменчивость, может быть любым, не обязательно нормальным, как показано на
рисунке 1.
3.4 Среднеквадратическая ошибка (MSE)
При минимизации изменчивости процесса иногда в качестве предпочтительной меры изменчивости используют средний квадрат ошибки. Использование MSE совместимо со многими самостоятельными качественными методами.
3.5 Границы опорного интервала
Нижние и верхние границы опорного интервала представляют собой процентили распределения уровней 0,135% и 99,865% соответственно, которые описывают область изменений характеристик процесса. Эти процентили обозначают X0,135% и X99,865%.
3.6 Опорный интервал
Опорный интервал - интервал между верхней и нижней опорными границами. Опорный интервал включает 99,73% элементов совокупности значений исследуемой характеристики процесса, находящегося в состоянии статистической управляемости.
Показатель воспроизводимости процесса - мера собственной изменчивости процесса. Изменчивость, присущая процессу, когда он находится в состоянии статистической управляемости, является собственной изменчивостью процесса. Она характеризует изменчивость, остающуюся после устранения всех известных причин, которые можно объяснить. Если мониторинг процесса осуществляют с использованием контрольной карты, то контрольная карта показывает, что процесс находится в управляемом состоянии.
Воспроизводимость процесса часто рассматривают как долю продукции, изготовленной процессом, характеристика которой находится внутри границ поля допуска. Так как процесс находится в статистически управляемом состоянии, он может быть описан прогнозируемым распределением и может быть оценена доля продукции, характеристика которой выходит за границы поля допуска. До тех пор, пока процесс остается в состоянии статистической управляемости, изготавливаемая продукция имеет в среднем одну и ту же долю несоответствующей продукции.
Действия по управлению процессом, направленные на уменьшение изменчивости, вызванной случайными причинами, позволяют улучшить соответствие процесса требованиям спецификации.
Таким образом, необходимо:
- определить процесс и условия его эксплуатации. При изменении этих условий необходимо новое исследование процесса;
- оценить параметры краткосрочной и долгосрочной изменчивости в виде процентов от общей изменчивости процесса и минимизировать их;
- поддерживать стабильность процесса и обеспечивать его статистическую управляемость;
- оценить оставшуюся собственную изменчивость процесса;
- выбрать соответствующий параметр воспроизводимости процесса.
При анализе воспроизводимости процесса необходимо учитывать следующие условия:
- должны быть установлены все технические условия (например, требования по температуре и влажности);
- должна быть установлена и проанализирована неопределенность системы измерений (см. ИСО 22514-7);
- должна быть обеспечена возможность анализа многофакторных, многоуровневых аспектов процесса;
- должна быть зарегистрирована продолжительность сбора данных;
- должны быть установлены периодичность отбора и объем выборок, а также даты начала и конца сбора данных;
- для управления процессом должна быть использована контрольная карта;
- процесс должен находиться в состоянии статистической управляемости.
Необходимо проверить контрольную карту, данные которой были использованы для статистического контроля, и гистограмму данных со всеми установленными границами, нанесенными на нее. Необходимо проверить нормальность распределения с помощью валидированного критерия, такого как критерий Андерсона-Дарлинга
[15], или любого другого подходящего метода. Этот критерий эффективен при выявлении отклонений распределения от нормальности на хвостах распределения, он предложен в настоящем стандарте, поскольку именно эти области важны при определении оценок индексов пригодности и воспроизводимости процесса. Кроме того, может быть использована нормальная вероятностная бумага для:
a) проверки нормальности распределения;
b) выявления выбросов;
c) выявления данных, лежащих вне границ поля допуска;
d) проверки того, что все данные находятся внутри границ поля допуска;
e) выявления наличия асимметрии функции распределения;
f) подтверждения наличия "длинных хвостов" данных (т.е. определения коэффициента эксцесса);
g) выявления нецентральности распределения;
h) выявления всех необычных участков данных.
Должны быть найдены объяснения упомянутых аномалий данных и выполнены соответствующие действия с данными до вычисления параметров процесса. Исключение данных, выделяющихся относительно остальных, является неприемлемым. Такие отклонения могут быть очень информативными относительно свойств процесса и должны быть тщательно исследованы.
4.2 Воспроизводимость процесса
4.2.1 Нормальное распределение
Воспроизводимость процесса является статистической мерой собственной изменчивости процесса для заданной характеристики. Обычно метод использует опорный интервал, включающий 99,73% значений характеристики процесса, находящегося в состоянии статистической управляемости, границы которого отсекают 0,135% с каждой стороны распределения. Такой подход применяют, даже если распределение значений наблюдаемой характеристики не является нормальным. Для нормального распределения длина опорного интервала составляет шесть стандартных отклонений (см.
рисунок 2).
a - опорный интервал уровня 99,73%
Рисунок 2 - Нормальное распределение
В некоторых случаях воспроизводимость процесса оценивают для исследования особых источников изменчивости процесса, таких как многопоточный процесс (например, формовочный процесс с несколькими одновременно заполняемыми формами). В таких условиях распределение значений характеристики процесса (из всех форм) может быть приблизительно нормальным, но с большей изменчивостью, при которой стандартное отклонение составляет

. Важно установить, как вычислено стандартное отклонение, а также стратегию отбора выборки, объем выборки и количество и изменчивость продукции, изготовленной между отборами выборок, поскольку все это влияет на достоверность оценки воспроизводимости процесса (см. ИСО 22514-2).
При анализе воспроизводимости обычно используют данные, приведенные на контрольной карте. Если на контрольной карте приведены линии ослабленного контроля или измененные линии контроля, реальное стандартное отклонение процесса будет больше, чем стандартное отклонение, полученное по данным контрольной карты со стандартными линиями контроля. Указанные особенности влияют на опорный интервал, поэтому важно, чтобы они были указаны при оценке индексов воспроизводимости процесса.
Воспроизводимым является процесс, у которого опорный интервал меньше границ поля допуска на указанную величину. Пример такой ситуации показан на
рисунке 3.
a - опорный интервал уровня 99,73%
Рисунок 3 - Нормальное распределение с границами
поля допуска
4.2.2 Ненормальное распределение
Если распределение значений характеристики не является нормальным или является искаженным нормальным, то опорный интервал может иметь вид, представленный на
рисунке 4. Значения
Y1 и
Y2, обычно представляющие собой квантили уровней 0,135% и 99,865%, могут быть оценены с использованием вероятностной бумаги (см.
рисунок 5 в качестве примера использования вероятностной бумаги для выявления экстремальных значений) или при помощи соответствующего программного обеспечения. Значения могут быть вычислены с использованием таблиц (см.
приложение B) или частной функции вероятностей, как предложено в
приложении C.
a - опорный интервал уровня 99,73%
Рисунок 4 - Ненормальное распределение

- наилучшая линия;

- кумулятивный процент
Рисунок 5 - Пример использования вероятностной бумаги
для выявления экстремальных значений
4.3 Параметр положения процесса
Даже если процесс можно считать воспроизводимым в соответствии с приведенным выше определением (см.
4.2.1), но мода распределения процесса смещена относительно границ поля допуска, могут появиться значения (точки) за пределами границ поля допуска. Поэтому кроме интервала изменений процесса необходимо оценить параметр положения распределения процесса.
4.4 Оценка индексов воспроизводимости процесса по результатам измерений
4.4.1 Общие положения
Индексы воспроизводимости процесса, приведенные в настоящем стандарте, представляют собой точечные оценки их истинных значений. Поэтому рекомендуется всегда по возможности определять и записывать доверительные интервалы индексов. Соответствующие методы приведены в
приложении D.
Использование индекса воспроизводимости процесса позволяет охарактеризовать состояние процесса. Существует несколько индексов. Следует уделять особое внимание при работе с ненормальными распределениями.
Индексы воспроизводимости устанавливают только для процессов, пребывающих в состоянии статистической управляемости.
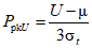
Часто используемый индекс воспроизводимости процесса представляет собой отношение разности границ поля допуска к длине опорного интервала, его обозначают Cp. Таким образом,

. (1)
Существуют другие индексы, характеризующие как положение, так и изменчивость процесса. Наиболее используемый из них индекс Cpk. Если этот индекс менее заданной величины, процесс считают неприемлемым, так как он может привести к изготовлению слишком большой доли единиц продукции с характеристиками, выходящими за границы поля допуска, и организация может быть скомпрометирована.
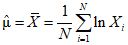
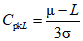
Индекс Cpk равен отношению разности границы поля допуска и параметра положения процесса к разности соответствующей естественной границы значений процесса и параметра положения процесса:

(2)
Как правило, индекс Cpk имеет меньшее значение, чем другие индексы.
Примечание - В некоторых случаях определяют оба эти значения (которые также обозначают CPU и CPL соответственно). Они позволяют получить информацию об обеих сторонах процесса.
Эти индексы дают информацию о том, насколько плотно сгруппированы значения характеристики вокруг центральной линии и возможно изготовление продукции, не соответствующей требованиям. Даже если индекс Cp принимает достаточно высокое значение, низкое значение индекса Cpk показывает, что процесс слабо сконцентрирован вокруг центральной линии и существует высокая вероятность изготовления продукции, характеристики которой выходят за границы установленных требований.
4.4.2 Индекс Cp (для нормального распределения)
Если наблюдаемые значения подчиняются нормальному распределению и получены из статистически управляемого процесса, длина опорного интервала равна

, где

- собственное стандартное отклонение процесса. Поэтому индекс
Cp можно представить в виде

.
Для определения оценки индекса
Cp необходимо определить оценку

собственного стандартного отклонения процесса

. Если оценка

определяется обычно по данным контрольной карты, то как только процесс становится статистически устойчивым (см.
4.1), оценку индекса определяют по формуле

.
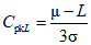
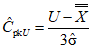
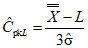
4.4.3 Индекс Cpk (для нормального распределения)
Если распределение наблюдаемых значений подчиняется нормальному распределению, квантиль
X50% (медиана) равен математическому ожиданию

. Кроме того, разности (
X99,865% -
X50%) и (
X50% -
X0,135%) равны

(каждая). Поэтому
Cpk можно записать в виде

,

.
Таким образом, оценку индекса
Cpk, используя оценку

вместо

, можно определить по формуле

,

.
При вычислении индекса воспроизводимости процесса необходимо учитывать, что параметр изменчивости процесса

соответствует ситуации, когда данные получены в состоянии статистической управляемости процесса.
Данные могут быть получены из многопоточного процесса, такого как многопоточная фасовочная машина или многошпиндельный станок, у которого рассматривают выход всех потоков одновременно. Чем ниже индекс, тем больше доля единиц продукции, не соответствующих требованиям.
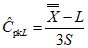
4.4.4 Индекс Cpk в случае одностороннего поля допуска
Если требования даны в виде поля допуска с единственной границей, можно вычислить только индекс Cpk. Индекс Cpk будет вычислен с использованием одной границы поля допуска, либо L, либо U.
4.5 Индексы воспроизводимости процесса для других (ненормальных) распределений
4.5.1 Общие положения
Если распределение значений характеристики не является нормальным,
уравнения (1) и
(2) справедливы, но оценка индексов становится более сложной. В настоящем стандарте приведено три способа определения границ опорного интервала.
Метод вероятностной бумаги, описанный в
4.5.2, довольно прост и не требует больших вычислений, но является достаточно грубым. Метод, приведенный в
4.5.4, для вычисления более сложен, но превосходит любой другой метод по точности.
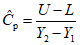
4.5.2 Метод вероятностной бумаги
По графикам, аналогичным представленному на
рисунке 4, могут быть получены оценки квантилей
X0,135% и
X99,865%. Оценки обозначены
Y1 и
Y2 соответственно, в этом случае
уравнение (1) принимает вид

.
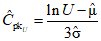
Аналогично оценка Cpk принимает вид

,

.
Если индекс Cpk меньше заданного значения, считают, что процесс изготавливает слишком большую долю продукции, не удовлетворяющей установленным требованиям. Доля несоответствующей продукции зависит от распределения и значения индекса. Связь между индексом и долей несоответствующих единиц продукции зависит от вида распределений. Следует помнить, что индексы, полученные на основе нормального распределения, следует применять только для этого распределения.
Необходимо отметить, что метод вероятностной бумаги позволяет непосредственно оценить необходимые квантили, но эти оценки могут быть не точны.
4.5.3 Метод кривых Пирсона
Метод может быть использован как альтернатива методу вероятностной бумаги. Метод описан с помощью примера (см.
приложение B). Индекс вычисляют по формуле

,
где

и

- процентили уровней 0,135% и 99,865%, оцененные по стандартизованным кривым Пирсона.
Кроме того, справедливы формулы

,

,
где

- оценка медианы.
Для использования метода необходимо установить коэффициенты асимметрии и эксцесса в дополнение к оценкам среднего и стандартного отклонения по выборке, для которой необходимо вычислить индекс.
Метод кривых Пирсона не является предпочтительным и представлен как дополнение.
Этот и аналогичный метод, основанные на кривых Джонсона, следует применять с осторожностью, особенно если этот метод представлен компьютерной программой вида "черный ящик", используемой для анализа больших наборов данных. Некоторые из возможных трудностей применения метода состоят в следующем:
- в системе распределений некоторые распределения более сложны в применении, чем другие. В некоторых случаях метод моментов может дать нестабильные или неэффективные параметры кривой;
- в случае некорректного применения метода можно получить кривые, бессмысленные в определенных диапазонах данных. Например, при использовании метода моментов небольшая ошибка в соответствии распределению Пирсона типа III, если оцениваемый порог значений наблюдаемой характеристики меньше нижней границы выходных данных процесса, делает оценки X0,135% и Cpk неверными;
- метод моментов не позволяет получить оценки изменчивости по оценкам индексов. Аналогично эти методы не позволяют получить доверительные интервалы для индексов;
- не каждое распределение данных может быть адекватно описано кривой Пирсона или Джонсона;
- критерии согласия ограничены критерием

, так как более мощные критерии не применимы при использовании систем кривых Пирсона и Джонсона;
- применение метода вида "черный ящик" без использования основных методов, в том числе без представления данных на графике и применения преобразований нормализации, не обеспечивает достаточного понимания процесса.
4.5.4 Метод идентификации распределения
В
приложении C описаны некоторые семейства функций распределения (такие, как логнормальное распределение и распределения Рэлея и Вейбулла), которые обычно используют при анализе воспроизводимости процесса. В соответствии с данным методом сначала идентифицируют соответствующее семейство распределений, затем оценивают параметры распределения, лучше всего описывающие данные с помощью некоторого результативного метода оценки, и наконец выражают квантили распределения через полученные параметры этого распределения.
Это аналогично процедуре в случае нормального распределения, где

- оцениваемый параметр, а длина интервала (
X99,865% -
X0,135%) равна

.
Для идентификации соответствующего семейства распределений могут быть использованы различные виды вероятностной бумаги.
4.6 Альтернативный метод описания и вычисления оценок индексов воспроизводимости процесса
Основой метода являются широко используемые определения
Cp и
Cpk для "идеального процесса" с нормальным распределением характеристики
X, где математическое ожидание

и дисперсия

постоянны во времени, а их оценками являются

и
S2.
Таблица 1
Индексы воспроизводимости процесса и их оценки
для нормального распределения
Индекс | Оценка |
| |
| |
| |
Cpk = min (Cpkl, CpkU) | |
Предполагается, что для "идеального процесса" долгосрочное стандартное отклонение равно краткосрочному стандартному отклонению.
Для нормального распределения существует точное соотношение между нижней долей несоответствующих единиц продукции
CpkL и верхней долей несоответствующих единиц продукции
CpkU. Это соотношение использовано в
4.8 для вычисления доли единиц продукции, не удовлетворяющих требованиям, на основе нижнего и верхнего индексов воспроизводимости процесса. Соотношение показано в
таблице 2.
Если параметры воспроизводимости процесса необходимо распространить на характеристики, подчиняющиеся другим (ненормальным) распределениям, доля несоответствующих единиц продукции может быть преобразована в индекс воспроизводимости путем использования соотношений, приведенных в
таблице 2. Эти методы могут быть применены на практике, если характеристика продукции является количественной.
Таблица 2
Эквивалентные формулы индексов воспроизводимости процесса
и их оценки для нормального распределения
pU и
pL - доли несоответствующих значений характеристики соответственно за верхней и нижней границами поля допуска, а

- соответствующие оценки. Формулы, приведенные в
таблице, могут быть применены к любому распределению.
Предполагается, что пользователь располагает знаниями о форме распределения благодаря информации о процессе изготовления продукции или некоторой выборочной оценке, полученной с помощью вероятностной бумаги.
Для часто используемых распределений (нормального, логнормального, Рэлея и Вейбулла) необходимые соотношения и формулы приведены в
приложении C.
4.7 Другие индексы воспроизводимости для непрерывных данных
4.7.1 Коэффициент воспроизводимости процесса (PCF)
Показатель PCF представляет собой величину, обратную к индексу Cp

.
Его иногда выражают в процентах и обозначают CR (%).
4.7.2 Индексы в случае одной границы поля допуска, когда другая граница поля допуска не задана
4.7.2.1 Общие положения
Иногда требования даны в виде поля допуска с единственной границей, например установлено максимальное значение. В этом случае можно вычислить только индексы Cpk или Ppk.
Возможны ситуации, когда границы поля допуска не заданы или неизвестны. Однако, если целевое или номинальное значение для характеристики продукции или параметра процесса задано, могут быть использованы следующие меры. Они направлены на уменьшение изменчивости процесса вокруг целевого значения.
4.7.2.2 Средний квадрат ошибки
Средний квадрат ошибки характеризует положение и изменчивость процесса. Средний квадрат ошибки вычисляют по следующей формуле:

.
Для вычисления MSE необходимо определить оценки стандартного отклонения процесса и

, используя выборочные данные, представленные на контрольной карте.
4.7.2.3 Индекс Qk
Для вычисления индекса
Qk используют средний квадрат ошибки (см.
4.7.2.2), но выражают его как коэффициент вариации
для T /= 0.
Важное свойство этого индекса состоит в том, что при увеличении отклонения характеристики процесса от ее целевого значения значение индекса увеличивается, при увеличении изменчивости процесса значение индекса также увеличивается. Чем меньше значение индекса, тем лучше функционирует процесс.
4.7.2.4 Индекс Cpm
Для вычисления индекса Cpm, так же как и индекса Qk, используют заданное целевое значение и MSE. В своем простейшем виде индекс Cpm равен:

.
Эта формула подразумевает, что T является центральной точкой между U и L, и поэтому позже было введено уточнение, которое позволило применять метод в случае, когда T не является точкой между U и L центральной:

.
По сравнению с индексами Cp и Cpk в данном случае для описания ситуации необходим только один индекс.
Индекс Cpm иногда называют индексом Тагути из-за включения MSE в знаменатель.
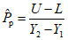
4.8 Оценка доли несоответствующей продукции (нормальное распределение)
Доли единиц продукции, не соответствующих требованиям (pL и pU), т.е. имеющих значения характеристики менее L или более U, можно оценить, используя свойства стандартного нормального распределения. Стандартизованные отклонения имеют вид:

,

,
где

и

- доли распределения, превышающие

и

соответственно в стандартном нормальном распределении.
Кроме того, производительность процесса может быть вычислена как 100% минус общий процент несоответствующих единиц в случае статистической управляемости процесса.
Если характеристике статистически управляемого и стабильного процесса соответствует CpkU = 0,86 и CpkL = 0,91, доля единиц продукции за пределами требований может быть вычислена в соответствии со следующим методом.
a) Вычисляют "верхнее" стандартизованное отклонение

:

.
b) Вычисляют "нижнее" стандартизованное отклонение

:

.
c) Используя таблицу стандартного нормального распределения, находят значения

и

долей распределения вне границ поля допуска
U и
L,

и

соответственно.
Для удобства и простоты использования в
таблице 3 приведены значения оцениваемой доли несоответствующих единиц. В
таблице 3 указаны в соответствии с
CpkU или
CpkL индексы воспроизводимости процесса (PCI).
Таблицу 3 не следует использовать для определения
Cp и
Cpk по атрибутивным данным.
Для вышеупомянутого примера, где
CpkU = 0,86 и
CpkL = 0,91, оценки долей единиц продукции вне границ поля допуска
U и
L могут быть найдены непосредственно по
таблице 3 (0,0049 и 0,0032).
Таблица 3
Доля нормального распределения, остающегося на хвостах
вне границ поля допуска в зависимости от CpkU или CpkL
(PCI в таблице)
PCI | 0,00 | 0,01 | 0,02 | 0,03 | 0,04 | 0,05 | 0,06 | 0,07 | 0,08 | 0,09 |
1,6 | 7,9·10-07 | 6,8·10-07 | 5,9·10-07 | 5,0·10-07 | 4,3·10-07 | 3,7·10-07 | 3,2·10-07 | 2,7·10-07 | 2,3·10-07 | 2,0·10-07 |
1,5 | 3,4·10-06 | 3,0·10-06 | 2,6·10-06 | 2,2·10-06 | 1,9·10-06 | 1,7·10-06 | 1,4·10-06 | 1,2·10-06 | 1,1·10-06 | 9,2·10-07 |
1,4 | 1,3·10-05 | 1,2·10-05 | 1,0·10-05 | 8,9·10-06 | 7,8·10-06 | 6,8·10-06 | 5,9·10-06 | 5,2·10-06 | 4,5·10-06 | 3,9·10-06 |
1,3 | 4,8·10-05 | 4,2·10-05 | 3,7·10-05 | 3,3·10-05 | 2,9·10-05 | 2,6·10-05 | 2,3·10-05 | 2,0·10-05 | 1,7·10-05 | 1,5·10-05 |
1,2 | 0,0002 | 0,0001 | 0,0001 | 0,0001 | 0,0001 | 0,0001 | 0,0001 | 0,0001 | 0,0001 | 0,0001 |
1,1 | 0,0005 | 0,0004 | 0,0004 | 0,0003 | 0,0003 | 0,0003 | 0,0003 | 0,0002 | 0,0002 | 0,0002 |
1,0 | 0,0013 | 0,0012 | 0,0011 | 0,0010 | 0,0009 | 0,0008 | 0,0007 | 0,0007 | 0,0006 | 0,0005 |
0,9 | 0,0035 | 0,0032 | 0,0029 | 0,0026 | 0,0024 | 0,0022 | 0,0020 | 0,0018 | 0,0016 | 0,0015 |
0,8 | 0,0082 | 0,0075 | 0,0069 | 0,0064 | 0,0059 | 0,0054 | 0,0049 | 0,0045 | 0,0041 | 0,0038 |
0,7 | 0,0179 | 0,0166 | 0,0154 | 0,0143 | 0,0132 | 0,0122 | 0,0113 | 0,0104 | 0,0096 | 0,0089 |
0,6 | 0,0359 | 0,0336 | 0,0314 | 0,0294 | 0,0274 | 0,0256 | 0,0239 | 0,0222 | 0,0207 | 0,0192 |
0,5 | 0,0668 | 0,0630 | 0,0594 | 0,0559 | 0,0526 | 0,0495 | 0,0465 | 0,0436 | 0,0409 | 0,0384 |
0,4 | 0,1151 | 0,1093 | 0,1038 | 0,0985 | 0,0934 | 0,0885 | 0,0838 | 0,0793 | 0,0749 | 0,0708 |
0,3 | 0,1841 | 0,1762 | 0,1685 | 0,1611 | 0,1539 | 0,1469 | 0,1401 | 0,1335 | 0,1271 | 0,1210 |
0,2 | 0,2743 | 0,2643 | 0,2546 | 0,2451 | 0,2358 | 0,2266 | 0,2177 | 0,2090 | 0,2005 | 0,1922 |
0,1 | 0,3821 | 0,3707 | 0,3594 | 0,3483 | 0,3372 | 0,3264 | 0,3156 | 0,3050 | 0,2946 | 0,2843 |
0,0 | 0,5000 | 0,4880 | 0,4761 | 0,4641 | 0,4522 | 0,4404 | 0,4286 | 0,4168 | 0,4052 | 0,3936 |
5.1 Общие положения
Пригодность процесса относительно характеристики есть достигнутое распределение результатов. Единственное важное различие между пригодностью и воспроизводимостью процесса состоит в том, что для анализа пригодности процесса нет требований относительно наличия у процесса состояния статистической управляемости и применения для управления процессом контрольной карты. Для анализа пригодности процесса необходимы следующие условия:
- должны быть четко установлены все технические условия, например требования к температуре и влажности;
- должны быть определены неопределенность системы измерений и оценка ее пригодности (см. ИСО 22514-7);
- должна быть обеспечена возможность анализа многофакторных и многоуровневых аспектов процесса;
- данные должны быть собраны и зарегистрированы в течение установленного периода времени;
- должна быть установлена частота отбора выборки, а также даты начала и окончания сбора данных;
- процесс не должен быть контролируемым с помощью контрольной карты;
- процесс не должен быть в состоянии статистической управляемости; в частности, полученные ранее данные, последовательность которых неизвестна, могут быть использованы для анализа пригодности процесса.
Индексы пригодности процесса приведены ниже. Они аналогичны индексам воспроизводимости, в них использованы общие соотношения, установленные
уравнениями (1) и
(2), индексы пригодности обозначают
Pp,
PpkU и
PpkL соответственно.
5.2 Индексы пригодности процесса на основе данных измерений (для нормального распределения)
5.2.1 Индекс Pp
Если наблюдаемые значения подчиняются нормальному распределению, длина опорного интервала равна

, где

- общее стандартное отклонение. Поэтому индекс
Pp может быть представлен в виде

.
Для определения оценки индекса
Pp необходимо определить оценку

общего стандартного отклонения

. На практике

представляет собой оценку стандартного отклонения (
St) по всей совокупности данных.
5.2.2 Индекс Ppk
Если наблюдаемые значения подчиняются нормальному распределению, медиана
X50% равна среднему распределения

. Каждая разность (
X99,865% -
X50%) и (
X50% -
X0,135%) равна

. Поэтому индекс
Ppk является меньшим из двух значений
и

.
Оценка Ppk имеет вид

.

.
Чем ниже индекс, тем больше доля единиц продукции, не удовлетворяющих требованиям.
5.3 Индексы пригодности процесса для других (ненормальных) распределений
5.3.1 Общие положения
Способы определения оценок индексов, приведенные в данном подразделе для характеристик, не подчиняющихся нормальному распределению, аналогичны приведенным в
4.5 для индексов воспроизводимости.
5.3.2 Метод вероятностной бумаги
По графикам, аналогичным приведенным на
рисунке 5, могут быть определены оценки процентилей
X0,135% и
X99,865%. Оценки обозначены
Y1 и
Y2 соответственно. В этом случае формула для оценки
Pp принимает вид

.
Аналогично формула для оценки Ppk имеет вид

,

.
Если индекс меньше заданного значения, считают, что процесс изготавливает слишком большую долю единиц продукции, не удовлетворяющую установленным требованиям. Доля несоответствующих единиц продукции зависит от распределения и значения индекса. Связь индекса с долей несоответствующих единиц продукции зависит от вида распределения. Не следует интерпретировать индексы на основе границ, соответствующих нормальному распределению и, следовательно, применимых только для этого распределения.
Следует учитывать, что метод вероятностной бумаги позволяет непосредственно оценить процентили на хвостах распределения и что эти оценки могут быть неточны. Кроме того, метод вероятностной бумаги, хотя и очень прост, является достаточно грубым, поэтому предпочтительно применение вычислительных процедур (см.
приложение C).
5.3.3 Метод кривых Пирсона
В качестве альтернативы методу вероятностной бумаги иногда используют стандартизованные кривые Пирсона. Метод описан с помощью примера (см.
приложение B). Оценку индекса вычисляют, используя формулу

,
где

и

- оценки процентилей уровней 0,135% и 99,865%, определенные по стандартизованным кривым Пирсона.
Кроме того,

,

,
где

- оценка медианы.
Чтобы использовать этот метод, кроме среднего и стандартного отклонения для используемого набора данных необходимо определить коэффициенты асимметрии и эксцесса.
Этот метод не является предпочтительным и представлен здесь для полноты (см.
4.5.3, комментарии по использованию этого метода).
5.3.4 Метод идентификации распределения
Описание некоторых семейств функций распределения, таких как логарифмически нормальное распределение, распределения Рэлея и Вейбулла, которые часто используют для исследования пригодности процесса, приведено в
приложении C. Комментарии к методу приведены в
4.5.4.
5.4 Другие индексы пригодности для данных измерений
Все индексы, введенные для анализа воспроизводимости процесса, имеют аналоги для исследования пригодности процесса. Любое стандартное отклонение характеризует общую изменчивость

вместо собственной изменчивости

.
5.5 Оценка доли единиц продукции, не соответствующих требованиям (для нормального распределения)
Для определения оценки доли единиц продукции, не удовлетворяющих требованиям, может быть использован метод, аналогичный приведенному в
4.8. Для этого достаточно заменить

и

на

и

соответственно.
Таблица 3 также может быть использована для определения доли единиц продукции, не удовлетворяющих требованиям. Необходимо использовать
таблицу 3 с
PpkU или
PpkL вместо

или

.
6 Отчетность об индексах воспроизводимости и пригодности процесса
Если для количественной оценки индексов воспроизводимости (или пригодности) процесса используют соответствующие статистики, то они должны быть занесены в отчет в соответствии с требованиями настоящего стандарта. Должны быть установлены метод оценки и количество значений, используемых в качестве основы для вычислений.
Таблица 4
Пример отчета об оценках индексов воспроизводимости процесса
Индекс воспроизводимости (или пригодности) процесса | Cp = 2,01 |
Меньший индекс воспроизводимости (или пригодности) процесса | Cpk = 1,90 |
Доверительный интервал | 1,54 < Cpk < 2,26 |
Количество значений, используемых для вычислений | 100 |
Неопределенность измерений | 0,002 мм |
Дополнительно: | |
- частота отбора выборки | 30 мин |
- время и продолжительность сбора данных | |
- модель распределения | Нормальное распределение |
- технические условия (партии, операции, инструменты) | |
Кроме того, отчет о проведенном исследовании должен содержать следующую информацию:
a) место, где проводилось исследование, и вид процесса, частью которого является машина (станок);
b) лица, выполнявшие исследование и измерения;
c) время выполнения исследования, включая дату, время начала и окончания, журнал всех перерывов;
d) номера всех машин и процессов;
e) наименование компонента и его номер;
f) измеренная характеристика (характеристики) компонента;
g) требования к характеристике (характеристикам) и факторы, которые были постоянны;
h) условия окружающей среды;
i) необработанные данные;
j) нестандартные условия.
Для каждой измеряемой характеристики должна быть зафиксирована в отчете (или предоставлена) следующая информация:
- модель распределения;
- расчетные индексы.
В отчете также должно быть зафиксировано следующее:
- контрольная карта данных;
- вычисления по карте или гистограмма данных;
- вероятностный график данных;
- выборочное среднее;
- выборочное стандартное отклонение;
- оценка процента несоответствующих единиц продукции;
- доверительные интервалы вычисленных индексов;
- неопределенность измерений/воспроизводимость процесса измерений.
(справочное)
ОЦЕНКА СТАНДАРТНОГО ОТКЛОНЕНИЯ
A.1 Общие положения
Для вычисления индексов, рассмотренных в настоящем стандарте, необходимо оценить стандартное отклонение. Рассматривают два типа стандартного отклонения. Первый тип - краткосрочное или мгновенное (собственное) стандартное отклонение. Такое стандартное отклонение обычно вычисляют по статистике, полученной на основе данных контрольной карты (см.
A.2). Второй тип - оценка общего стандартного отклонения (см.
A.3).
Если процесс имеет более одного режима или состояния, разброс должен быть вычислен с помощью методов, приведенных в ИСО 22514-2 или ИСО 22514-8.
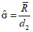
A.2 Собственное стандартное отклонение
A.2.1 Оценка, использующая средний размах
Собственное стандартное отклонение процесса (данные должны быть взяты из контрольной карты, используемой для управления процессом) может быть оценено на основе данных контрольной карты по следующей формуле:

,
Таблица A.1
Коэффициенты для оценки стандартного отклонения процесса
Объем подгруппы (n) | d2 | c4 |
2 | 1,128 | 0,7979 |
3 | 1,693 | 0,8862 |
4 | 2,059 | 0,9213 |
5 | 2,326 | 0,9400 |
6 | 2,534 | 0,9515 |
7 | 2,704 | 0,9594 |
8 | 2,847 | 0,9650 |
9 | 2,970 | 0,9693 |
10 <a> | 3,078 | 0,9727 |
<a> Для объемов выборки более 10-го значения d2 и c4 могут быть найдены в справочной литературе <1>. |
--------------------------------
<1> Значения
d2 и
c4 для
n до 25 приведены в
таблице 2 ГОСТ Р ИСО 7870-2-2015.
A.2.2 Оценка, использующая среднее стандартное отклонение
Если контрольную карту стандартного отклонения используют для мониторинга изменчивости подгруппы, собственная оценка стандартного отклонения процесса может быть определена по следующей формуле:

,
A.2.3 Оценка, использующая стандартное отклонение подгруппы
Если для каждой подгруппы вычислено стандартное отклонение подгруппы, оценка собственного стандартного отклонения имеет вид
где m - количество подгрупп по n наблюдений в каждой.
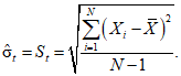
A.3 Оценка общего стандартного отклонения
Если данные получены при наблюдении за процессом, который не находится в состоянии статистической управляемости, или если контрольные карты не были использованы, для вычисления стандартного отклонения не следует использовать метод, приведенный в
A.2. Необходимо применять следующую формулу:
Это уравнение полезно использовать, когда у процесса имеются изменения среднего, вызванные объяснимыми причинами, которые не могут быть устранены, и эта изменчивость должна быть учтена вместе с причинами случайной изменчивости. Этот параметр изменчивости подходит для использования при вычислении индексов пригодности процесса.
При рассмотрении многопоточных процессов, таких как формовочный пресс с несколькими одновременно наполняемыми формами, желательно анализировать данные со всех форм как выход единственного процесса. Данные отдельной формы могут соответствовать нормальному распределению. В действительности часто распределения, соответствующие разным формам формовочного пресса, различны вследствие присущих им особенностей. Если предполагается, что данные всех потоков процесса могут быть описаны нормальным распределением, данное уравнение позволяет получить наилучшую оценку изменчивости процесса.
(справочное)
ОЦЕНКА ПАРАМЕТРОВ ВОСПРОИЗВОДИМОСТИ И ПРИГОДНОСТИ ПРОЦЕССА
С ИСПОЛЬЗОВАНИЕМ КРИВЫХ ПИРСОНА. ПРОЦЕДУРА И ПРИМЕР <1>
--------------------------------
B.1 Границы поля допуска
Верхняя граница поля допуска U = 0,30.
Нижняя граница поля допуска L = 0,20.
B.2 Статистики процесса
Процесс является статистически управляемым.
Оценка среднего

.
Оценка стандартного отклонения

.
Коэффициент асимметрии

(округление до первого знака после запятой).
Коэффициент эксцесса

(округление до первого знака после запятой).
B.3 Определение процентиля уровня 0,135%
При положительном коэффициенте асимметрии используют
таблицу B.1, при отрицательном -
таблицу B.2. Процентиль уровня 0,135% после интерполяции равен
P0,135% = 3,056.
B.4 Определение процентиля уровня 99,865%
При положительном коэффициенте асимметрии используют
таблицу B.2, при отрицательном -
таблицу B.1. Процентиль уровня 99,865% после интерполяции равен
P99,865% = 4,656.
B.5 Определение стандартизованной медианы по таблице B.3
При положительном коэффициенте асимметрии необходимо изменить знак на противоположный, при отрицательном коэффициенте асимметрии сохраняют положительный знак. Стандартизованная медиана после интерполяции равна P50% = -0,0675.
B.6 Вычисление оценки процентиля уровня 0,135%

.
B.7 Вычисление оценки процентиля уровня 99,865%

.
B.8 Вычисление оценки медианы

.
B.9 Вычисление индексов воспроизводимости процесса

,

,

.
Кривые Пирсона (стандартизованные хвосты) P0,135% (процентиль уровня 0,135%) для  . P99,865% (процентиль уровня 99,865 %) для  . |
Коэффициент эксцесса  | Коэффициент асимметрии  |
0,0 | 0,1 | 0,2 | 0,3 | 0,4 | 0,5 | 0,6 | 0,7 | 0,8 | 0,9 | 1,0 | 1,1 | 1,2 | 1,3 | 1,4 | 1,5 | 1,6 | 1,7 | 1,8 | 1,9 | 2,0 | |
-1,4 | 1,512 | 1,421 | 1,317 | 1,206 | 1,092 | 0,979 | 0,868 | 0,762 | | | | | | | | | | | | | | -1,4 |
-1,2 | 1,727 | 1,619 | 1,496 | 1,364 | 1,230 | 1,100 | 0,975 | 0,858 | 0,747 | | | | | | | | | | | | | -1,2 |
-1,0 | 1,966 | 1,840 | 1,696 | 1,541 | 1,384 | 1,232 | 1,089 | 0,957 | 0,836 | | | | | | | | | | | | | -1,0 |
-0,8 | 2,210 | 2,072 | 1,912 | 1,736 | 1,555 | 1,377 | 1,212 | 1,062 | 0,927 | 0,804 | 0,692 | | | | | | | | | | | -0,8 |
-0,6 | 2,442 | 2,298 | 2,129 | 1,941 | 1,740 | 1,539 | 1,348 | 1,175 | 1,023 | 0,887 | 0,766 | 0,656 | | | | | | | | | | -0,6 |
| | |
-0,4 | 2,653 | 2,506 | 2,335 | 2,141 | 1,930 | 1,711 | 1,496 | 1,299 | 1,125 | 0,974 | 0,841 | 0,723 | 0,616 | | | | | | | | | -0,4 |
-0,2 | 2,839 | 2,692 | 2,522 | 2,329 | 2,116 | 1,887 | 1,655 | 1,434 | 1,235 | 1,065 | 0,919 | 0,791 | 0,677 | 0,574 | | | | | | | | -0,2 |
0,0 | 3,000 | 2,856 | 2,689 | 2,500 | 2,289 | 2,059 | 1,817 | 1,578 | 1,356 | 1,163 | 1,000 | 0,861 | 0,739 | 0,630 | 0,531 | | | | | | | 0,0 |
0,2 | 3,140 | 2,986 | 2,834 | 2,653 | 2,447 | 2,220 | 1,976 | 1,726 | 1,485 | 1,269 | 1,086 | 0,933 | 0,801 | 0,686 | 0,583 | | | | | | | 0,2 |
0,4 | 3,261 | 3,088 | 2,952 | 2,785 | 2,589 | 2,368 | 2,127 | 1,873 | 1,619 | 1,382 | 1,178 | 1,008 | 0,865 | 0,742 | 0,634 | 0,536 | | | | | | 0,4 |
| | |
0,6 | 3,366 | 3,164 | 3,045 | 2,896 | 2,714 | 2,502 | 2,267 | 2,015 | 1,754 | 1,502 | 1,277 | 1,087 | 0,931 | 0,799 | 0,658 | 0,583 | 0,489 | | | | | 0,6 |
0,8 | 3,458 | 3,222 | 3,118 | 2,986 | 2,821 | 2,622 | 2,396 | 2,148 | 1,887 | 1,625 | 1,381 | 1,172 | 1,000 | 0,857 | 0,736 | 0,629 | 0,533 | | | | | 0,8 |
1,0 | 3,539 | 3,266 | 3,174 | 3,058 | 2,910 | 2,727 | 2,512 | 2,271 | 2,013 | 1,748 | 1,491 | 1,262 | 1,072 | 0,917 | 0,787 | 0,675 | 0,575 | 0,484 | | | | 1,0 |
1,2 | 3,611 | 3,300 | 3,218 | 3,115 | 2,983 | 2,817 | 2,616 | 2,385 | 2,132 | 1,876 | 1,602 | 1,357 | 1,149 | 0,979 | 0,840 | 0,721 | 0,617 | 0,524 | | | | 1,2 |
1,4 | 3,674 | 3,327 | 3,254 | 3,161 | 3,043 | 2,893 | 2,708 | 2,488 | 2,243 | 1,981 | 1,713 | 1,456 | 1,230 | 1,045 | 0,894 | 0,768 | 0,659 | 0,562 | 0,475 | | | 1,4 |
| | |
1,6 | 3,731 | 3,349 | 3,282 | 3,199 | 3,092 | 2,957 | 2,787 | 2,581 | 2,345 | 2,089 | 1,821 | 1,556 | 1,316 | 1,113 | 0,950 | 0,815 | 0,701 | 0,600 | 0,510 | | | 1,6 |
1,8 | 3,782 | 3,367 | 3,306 | 3,229 | 3,133 | 3,011 | 2,855 | 2,664 | 2,438 | 2,189 | 1,925 | 1,664 | 1,404 | 1,185 | 1,008 | 0,863 | 0,743 | 0,638 | 0,546 | 0,461 | | 1,8 |
2,0 | 3,828 | 3,382 | 3,325 | 3,255 | 3,167 | 3,055 | 2,914 | 2,736 | 2,524 | 2,283 | 2,023 | 1,755 | 1,494 | 1,261 | 1,068 | 0,913 | 0,785 | 0,676 | 0,580 | 0,494 | | 2,0 |
2,2 | 3,870 | 3,395 | 3,342 | 3,277 | 3,196 | 3,093 | 2,964 | 2,800 | 2,600 | 2,369 | 2,116 | 1,850 | 1,584 | 1,339 | 1,132 | 0,964 | 0,828 | 0,714 | 0,615 | 0,526 | 0,445 | 2,2 |
2,4 | 3,908 | 3,405 | 3,356 | 3,295 | 3,220 | 3,126 | 3,006 | 2,855 | 2,669 | 2,448 | 2,202 | 1,940 | 1,673 | 1,420 | 1,198 | 1,018 | 0,873 | 0,752 | 0,649 | 0,557 | 0,475 | 2,4 |
| | |
2,6 | 3,943 | 3,415 | 3,367 | 3,311 | 3,241 | 3,153 | 3,043 | 2,904 | 2,730 | 2,521 | 2,283 | 2,026 | 1,760 | 1,501 | 1,267 | 1,073 | 0,918 | 0,791 | 0,683 | 0,589 | 0,504 | 2,6 |
2,8 | 3,975 | 3,423 | 3,378 | 3,324 | 3,259 | 3,177 | 3,075 | 2,946 | 2,784 | 2,586 | 2,358 | 2,107 | 1,844 | 1,581 | 1,338 | 1,131 | 0,965 | 0,830 | 0,717 | 0,620 | 0,533 | 2,8 |
3,0 | 4,004 | 3,430 | 3,387 | 3,326 | 3,274 | 3,198 | 3,103 | 2,983 | 2,831 | 2,646 | 2,427 | 2,183 | 1,924 | 1,661 | 1,410 | 1,191 | 1,013 | 0,870 | 0,752 | 0,651 | 0,562 | 3,0 |
3,2 | 4,031 | 3,436 | 3,395 | 3,346 | 3,288 | 3,216 | 3,127 | 3,015 | 2,874 | 2,699 | 2,491 | 2,254 | 2,000 | 1,738 | 1,483 | 1,253 | 1,063 | 0,911 | 0,787 | 0,681 | 0,590 | 3,2 |
3,4 | 4,056 | 3,441 | 3,402 | 3,356 | 3,300 | 3,233 | 3,149 | 3,043 | 2,911 | 2,747 | 2,549 | 2,321 | 2,072 | 1,813 | 1,555 | 1,317 | 1,115 | 0,953 | 0,822 | 0,712 | 0,618 | 3,4 |
| | |
3,6 | 4,079 | 3,446 | 3,408 | 3,364 | 3,311 | 3,247 | 3,168 | 3,069 | 2,945 | 2,790 | 2,602 | 2,383 | 2,140 | 1,884 | 1,626 | 1,381 | 1,169 | 0,996 | 0,858 | 0,744 | 0,646 | 3,6 |
3,8 | 4,101 | 3,450 | 3,414 | 3,371 | 3,321 | 3,259 | 3,184 | 3,091 | 2,974 | 2,829 | 2,651 | 2,440 | 2,205 | 1,953 | 1,695 | 1,446 | 1,224 | 1,041 | 0,895 | 0,775 | 0,674 | 3,8 |
4,0 | 4,121 | 3,454 | 3,419 | 3,378 | 3,329 | 3,271 | 3,200 | 3,111 | 3,001 | 2,864 | 2,695 | 2,494 | 2,265 | 2,018 | 1,762 | 1,510 | 1,281 | 1,088 | 0,932 | 0,807 | 0,702 | 4,0 |
4,2 | 4,140 | 3,458 | 3,423 | 3,384 | 3,337 | 3,281 | 3,213 | 3,129 | 3,025 | 2,895 | 2,735 | 2,543 | 2,321 | 2,080 | 1,827 | 1,574 | 1,338 | 1,135 | 0,971 | 0,839 | 0,730 | 4,2 |
4,4 | 4,157 | 3,461 | 3,428 | 3,389 | 3,344 | 3,290 | 3,225 | 3,145 | 3,047 | 2,923 | 2,771 | 2,588 | 2,374 | 2,138 | 1,889 | 1,636 | 1,396 | 1,184 | 1,011 | 0,872 | 0,758 | 4,4 |
| | |
4,6 | 4,174 | 3,464 | 3,431 | 3,394 | 3,350 | 3,299 | 3,236 | 3,160 | 3,066 | 2,949 | 2,805 | 2,629 | 2,424 | 2,194 | 1,948 | 1,697 | 1,453 | 1,234 | 1,052 | 0,905 | 0,786 | 4,6 |
4,8 | 4,189 | 3,466 | 3,435 | 3,399 | 3,356 | 3,306 | 3,246 | 3,173 | 3,084 | 2,972 | 2,835 | 2,668 | 2,470 | 2,246 | 2,005 | 1,756 | 1,510 | 1,285 | 1,094 | 0,939 | 0,815 | 4,8 |
5,0 | 4,204 | 3,469 | 3,438 | 3,403 | 3,362 | 3,313 | 3,256 | 3,186 | 3,100 | 2,994 | 2,863 | 2,703 | 2,513 | 2,296 | 2,059 | 1,813 | 1,566 | 1,336 | 1,137 | 0,975 | 0,844 | 5,0 |
5,2 | 4,218 | 3,471 | 3,441 | 3,406 | 3,367 | 3,320 | 3,264 | 3,197 | 3,114 | 3,013 | 2,888 | 2,735 | 2,562 | 2,342 | 2,111 | 1,867 | 1,621 | 1,387 | 1,181 | 1,010 | 0,874 | 5,2 |
5,4 | 4,231 | 3,473 | 3,444 | 3,410 | 3,371 | 3,326 | 3,272 | 3,207 | 3,128 | 3,031 | 2,911 | 2,765 | 2,589 | 2,386 | 2,160 | 1,920 | 1,675 | 1,438 | 1,225 | 1,047 | 0,904 | 5,4 |
5,6 | 4,243 | 3,475 | 3,446 | 3,413 | 3,375 | 3,331 | 3,279 | 3,216 | 3,140 | 3,047 | 2,933 | 2,793 | 2,624 | 2,427 | 2,206 | 1,970 | 1,727 | 1,489 | 1,270 | 1,085 | 0,935 | 5,6 |
5,8 | 4,255 | 3,477 | 3,448 | 3,416 | 3,379 | 3,336 | 3,286 | 3,225 | 3,152 | 3,062 | 2,952 | 2,818 | 2,656 | 2,465 | 2,260 | 2,019 | 1,778 | 1,539 | 1,316 | 1,123 | 0,966 | 5,8 |
6,0 | 4,266 | 3,478 | 3,451 | 3,419 | 3,383 | 3,341 | 3,292 | 3,233 | 3,162 | 3,076 | 2,970 | 2,841 | 2,685 | 2,501 | 2,292 | 2,065 | 1,827 | 1,588 | 1,361 | 1,162 | 0,999 | 6,0 |
6,2 | 4,276 | 3,480 | 3,453 | 3,422 | 3,386 | 3,345 | 3,297 | 3,240 | 3,172 | 3,089 | 2,987 | 2,863 | 2,713 | 2,535 | 2,332 | 2,109 | 1,874 | 1,635 | 1,407 | 1,202 | 1,031 | 6,2 |
6,4 | 4,286 | 3,481 | 3,454 | 3,424 | 3,389 | 3,349 | 3,303 | 3,247 | 3,181 | 3,100 | 3,003 | 2,883 | 2,739 | 2,567 | 2,369 | 2,151 | 1,919 | 1,682 | 1,452 | 1,242 | 1,065 | 6,4 |
| | |
6,6 | 4,296 | 3,483 | 3,456 | 3,426 | 3,392 | 3,353 | 3,308 | 3,254 | 3,189 | 3,111 | 3,017 | 2,902 | 2,763 | 2,597 | 2,405 | 2,191 | 1,962 | 1,727 | 1,496 | 1,282 | 1,099 | 6,6 |
6,8 | 4,305 | 3,484 | 3,458 | 3,429 | 3,395 | 3,357 | 3,312 | 3,260 | 3,197 | 3,122 | 3,030 | 2,919 | 2,785 | 2,624 | 2,438 | 2,229 | 2,004 | 1,771 | 1,540 | 1,323 | 1,134 | 6,8 |
7,0 | 4,313 | 3,485 | 3,459 | 3,431 | 3,398 | 3,360 | 3,316 | 3,265 | 3,204 | 3,131 | 3,043 | 2,936 | 2,806 | 2,651 | 2,469 | 2,265 | 2,044 | 1,814 | 1,583 | 1,363 | 1,169 | 7,0 |
7,2 | 4,322 | 3,486 | 3,461 | 3,432 | 3,400 | 3,363 | 3,321 | 3,270 | 3,211 | 3,140 | 3,054 | 2,951 | 2,825 | 2,675 | 2,499 | 2,300 | 2,083 | 1,855 | 1,625 | 1,403 | 1,204 | 7,2 |
7,4 | 4,330 | 3,487 | 3,462 | 3,434 | 3,403 | 3,366 | 3,324 | 3,275 | 3,218 | 3,148 | 3,065 | 2,965 | 2,843 | 2,698 | 2,527 | 2,333 | 2,120 | 1,895 | 1,666 | 1,443 | 1,240 | 7,4 |
| | |
7,6 | 4,337 | 3,488 | 3,464 | 3,436 | 3,405 | 3,369 | 3,328 | 3,280 | 3,224 | 3,156 | 3,075 | 2,978 | 2,860 | 2,720 | 2,554 | 2,364 | 2,155 | 1,933 | 1,706 | 1,482 | 1,276 | 7,6 |
7,8 | 4,344 | 3,489 | 3,465 | 3,437 | 3,407 | 3,372 | 3,331 | 3,284 | 3,229 | 3,164 | 3,085 | 2,990 | 2,876 | 2,740 | 2,579 | 2,394 | 2,189 | 1,970 | 1,744 | 1,521 | 1,311 | 7,8 |
8,0 | 4,351 | 3,490 | 3,466 | 3,439 | 3,409 | 3,374 | 3,335 | 3,289 | 3,235 | 3,171 | 3,094 | 3,002 | 2,891 | 2,759 | 2,603 | 2,422 | 2,221 | 2,005 | 1,782 | 1,559 | 1,347 | 8,0 |
8,2 | 4,358 | 3,491 | 3,467 | 3,440 | 3,411 | 3,377 | 3,338 | 3,292 | 3,240 | 3,177 | 3,103 | 3,013 | 2,906 | 2,777 | 2,625 | 2,449 | 2,252 | 2,040 | 1,818 | 1,596 | 1,382 | 8,2 |
8,4 | 4,365 | 3,492 | 3,468 | 3,442 | 3,412 | 3,379 | 3,340 | 3,296 | 3,244 | 3,183 | 3,111 | 3,023 | 2,919 | 2,794 | 2,646 | 2,475 | 2,282 | 2,073 | 1,854 | 1,632 | 1,418 | 8,4 |
| | |
8,6 | 4,371 | 3,492 | 3,469 | 3,443 | 3,414 | 3,381 | 3,343 | 3,300 | 3,249 | 3,189 | 3,118 | 3,033 | 2,932 | 2,810 | 2,666 | 2,499 | 2,310 | 2,104 | 1,888 | 1,667 | 1,452 | 8,6 |
8,8 | 4,377 | 3,493 | 3,470 | 3,444 | 3,416 | 3,383 | 3,346 | 3,303 | 3,253 | 3,195 | 3,125 | 3,042 | 2,943 | 2,825 | 2,685 | 2,522 | 2,337 | 2,135 | 1,921 | 1,702 | 1,486 | 8,8 |
9,0 | 4,382 | 3,494 | 3,471 | 3,445 | 3,417 | 3,385 | 3,348 | 3,306 | 3,257 | 3,200 | 3,132 | 3,051 | 2,955 | 2,839 | 2,703 | 2,544 | 2,363 | 2,164 | 1,953 | 1,736 | 1,520 | 9,0 |
9,2 | 4,388 | 3,495 | 3,472 | 3,447 | 3,418 | 3,387 | 3,351 | 3,309 | 3,261 | 3,205 | 1,138 | 3,059 | 2,965 | 2,853 | 2,720 | 2,565 | 2,388 | 2,192 | 1,984 | 1,768 | 1,553 | 9,2 |
9,4 | 4,393 | 3,495 | 3,473 | 3,448 | 3,420 | 3,388 | 3,353 | 3,312 | 3,265 | 3,209 | 3,144 | 3,067 | 2,975 | 2,866 | 2,738 | 2,585 | 2,411 | 2,219 | 2,014 | 1,800 | 1,586 | 9,4 |
| | |
9,6 | 4,398 | 3,496 | 3,473 | 3,449 | 3,421 | 3,390 | 3,355 | 3,315 | 3,268 | 3,214 | 3,150 | 3,075 | 2,985 | 2,878 | 2,752 | 2,604 | 2,434 | 2,245 | 2,042 | 1,831 | 1,617 | 9,6 |
9,8 | 4,403 | 3,496 | 4,474 | 3,450 | 3,422 | 3,392 | 3,357 | 3,317 | 3,272 | 3,218 | 3,156 | 3,082 | 2,994 | 2,890 | 2,766 | 2,622 | 2,456 | 2,271 | 2,070 | 1,861 | 1,648 | 9,8 |
10,0 | 4,408 | 3,497 | 3,475 | 3,451 | 3,424 | 3,393 | 3,359 | 3,320 | 3,275 | 3,222 | 3,161 | 3,088 | 3,003 | 2,901 | 2,780 | 2,639 | 2,476 | 2,295 | 2,097 | 1,890 | 1,679 | 10,0 |
10,2 | | | | | 3,425 | 3,395 | 3,361 | 3,322 | 3,278 | 3,226 | 3,166 | 3,095 | 3,011 | 2,911 | 2,793 | 2,655 | 2,496 | 2,318 | 2,123 | 1,918 | 1,708 | 10,2 |
10,4 | | | | | | 3,396 | 3,363 | 3,325 | 3,281 | 3,230 | 3,171 | 3,101 | 3,019 | 2,921 | 2,806 | 2,671 | 2,515 | 2,340 | 2,148 | 1,945 | 1,737 | 10,4 |
| | |
10,6 | | | | | | | 3,364 | 3,327 | 3,283 | 3,233 | 3,175 | 3,107 | 3,026 | 2,930 | 2,818 | 2,686 | 2,533 | 2,361 | 2,172 | 1,972 | 1,765 | 10,6 |
10,8 | | | | | | | | 3,329 | 3,286 | 3,237 | 3,179 | 3,112 | 3,033 | 2,940 | 2,829 | 2,700 | 2,551 | 2,382 | 2,196 | 1,998 | 1,793 | 10,8 |
11,0 | | | | | | | | | 3,289 | 3,240 | 3,184 | 3,118 | 3,040 | 2,948 | 2,840 | 2,714 | 2,567 | 2,401 | 2,218 | 2,023 | 1,819 | 11,0 |
11,2 | | | | | | | | | | 3,243 | 3,188 | 3,123 | 3,046 | 2,956 | 2,851 | 2,727 | 2,583 | 2,420 | 2,240 | 2,047 | 1,845 | 11,2 |
11,4 | | | | | | | | | | | 3,191 | 3,128 | 3,053 | 2,964 | 2,861 | 2,739 | 2,598 | 2,438 | 2,261 | 2,070 | 1,870 | 11,4 |
| | |
11,6 | | | | | | | | | | | 3,195 | 3,132 | 3,058 | 2,972 | 2,870 | 2,751 | 2,613 | 2,456 | 2,281 | 2,093 | 1,895 | 11,6 |
11,8 | | | | | | | | | | | | 3,137 | 3,064 | 2,979 | 2,879 | 2,762 | 2,627 | 2,473 | 2,301 | 2,115 | 1,919 | 11,8 |
12,0 | | | | | | | | | | | | 3,141 | 3,070 | 2,986 | 2,888 | 2,773 | 2,641 | 2,489 | 2,320 | 2,136 | 1,942 | 12,0 |
12,2 | | | | | | | | | | | | | 3,075 | 2,993 | 2,896 | 2,784 | 2,653 | 2,505 | 2,338 | 2,157 | 1,965 | 12,2 |
Кривые Пирсона (стандартизованные хвосты) P99,865% (процентиль уровня 99,865%) для  . P0,135% (процентиль уровня 0,135%) для  |
Коэффициент эксцесса  | Коэффициент асимметрии  |
0,0 | 0,1 | 0,2 | 0,3 | 0,4 | 0,5 | 0,6 | 0,7 | 0,8 | 0,9 | 1,0 | 1,1 | 1,2 | 1,3 | 1,4 | 1,5 | 1,6 | 1,7 | 1,8 | 1,9 | 2,0 | |
-1,4 | 1,512 | 1,584 | 1,632 | 1,655 | 1,653 | 1,626 | 1,579 | 1,516 | | | | | | | | | | | | | | -1,4 |
-1,2 | 1,727 | 1,813 | 1,871 | 1,899 | 1,895 | 1,861 | 1,803 | 1,726 | 1,636 | | | | | | | | | | | | | -1,2 |
-1,0 | 1,966 | 2,065 | 2,134 | 2,170 | 2,169 | 2,131 | 2,061 | 1,966 | 1,856 | | | | | | | | | | | | | -1,0 |
-0,8 | 2,210 | 2,320 | 2,400 | 2,446 | 2,454 | 2,422 | 2,349 | 2,241 | 2,108 | 1,965 | 1,822 | | | | | | | | | | | -0,8 |
-0,6 | 2,442 | 2,560 | 2,648 | 2,704 | 2,726 | 2,708 | 2,646 | 2,540 | 2,395 | 2,225 | 2,052 | 1,885 | | | | | | | | | | -0,6 |
| | |
-0,4 | 2,653 | 2,774 | 2,869 | 2,934 | 2,969 | 2,968 | 2,926 | 2,837 | 2,699 | 2,518 | 2,314 | 2,114 | 1,928 | | | | | | | | | -0,4 |
-0,2 | 2,839 | 2,961 | 3,060 | 3,133 | 3,179 | 3,194 | 3,173 | 3,109 | 2,993 | 2,824 | 2,608 | 2,373 | 2,152 | 1,952 | | | | | | | | -0,2 |
0,0 | 3,000 | 3,123 | 3,224 | 3,303 | 3,358 | 3,387 | 3,385 | 3,345 | 3,259 | 3,116 | 2,914 | 2,665 | 2,405 | 2,169 | 1,960 | | | | | | | 0,0 |
0,2 | 3,140 | 3,261 | 3,364 | 3,447 | 3,510 | 3,550 | 3,564 | 3,546 | 3,488 | 3,378 | 3,206 | 2,970 | 2,690 | 2,412 | 2,167 | | | | | | | 0,2 |
0,4 | 3,261 | 3,381 | 3,484 | 3,570 | 3,639 | 3,688 | 3,715 | 3,715 | 3,681 | 3,603 | 3,468 | 3,264 | 2,993 | 2,687 | 2,398 | 2,149 | | | | | | 0,4 |
| | |
0,6 | 3,366 | 3,485 | 3,588 | 3,676 | 3,749 | 3,805 | 3,843 | 3,858 | 3,844 | 3,793 | 3,693 | 3,529 | 3,290 | 2,984 | 2,658 | 2,366 | 2,119 | | | | | 0,6 |
0,8 | 3,458 | 3,575 | 3,678 | 3,768 | 3,844 | 3,905 | 3,951 | 3,978 | 3,981 | 3,953 | 3,883 | 3,758 | 3,561 | 3,283 | 2,945 | 2,609 | 2,322 | | | | | 0,8 |
1,0 | 3,539 | 3,654 | 3,757 | 3,847 | 3,926 | 3,991 | 4,044 | 4,080 | 4,096 | 4,087 | 4,043 | 3,952 | 3,797 | 3,561 | 3,243 | 2,881 | 2,547 | 2,269 | | | | 1,0 |
1,2 | 3,611 | 3,724 | 3,826 | 3,917 | 3,997 | 4,066 | 4,124 | 4,167 | 4,194 | 4,208 | 4,177 | 4,115 | 3,998 | 3,808 | 3,529 | 3,172 | 2,798 | 2,476 | | | | 1,2 |
1,4 | 3,674 | 3,786 | 3,887 | 3,978 | 4,060 | 4,131 | 4,193 | 4,243 | 4,278 | 4,296 | 4,290 | 4,252 | 4,168 | 4,020 | 3,789 | 3,463 | 3,075 | 2,705 | 2,399 | | | 1,4 |
| | |
1,6 | 3,731 | 3,842 | 3,942 | 4,033 | 4,115 | 4,189 | 4,253 | 4,308 | 4,351 | 4,378 | 4,386 | 4,367 | 4,311 | 4,200 | 4,015 | 3,736 | 3,364 | 2,961 | 2,609 | | | 1,6 |
1,8 | 3,782 | 3,891 | 3,990 | 4,081 | 4,164 | 4,239 | 4,307 | 4,365 | 4,414 | 4,449 | 4,468 | 4,472 | 4,431 | 4,352 | 4,209 | 3,979 | 3,646 | 3,238 | 2,840 | 2,511 | | 1,8 |
2,0 | 3,828 | 3,936 | 4,034 | 4,125 | 4,208 | 4,285 | 4,354 | 4,416 | 4,468 | 4,511 | 4,539 | 4,549 | 4,532 | 4,479 | 4,372 | 4,189 | 3,907 | 3,522 | 3,095 | 2,719 | | 2,0 |
2,2 | 3,870 | 3,976 | 4,073 | 4,164 | 4,248 | 4,325 | 4,396 | 4,460 | 4,517 | 4,564 | 4,600 | 4,620 | 4,619 | 4,587 | 4,510 | 4,369 | 4,137 | 3,796 | 3,370 | 2,949 | 2,603 | 2,2 |
2,4 | 3,908 | 4,013 | 4,109 | 4,199 | 4,283 | 4,361 | 4,433 | 4,500 | 4,559 | 4,611 | 4,653 | 4,682 | 4,693 | 4,678 | 4,627 | 4,521 | 4,336 | 4,047 | 3,648 | 3,201 | 2,808 | 2,4 |
| | |
2,6 | 3,943 | 4,046 | 4,142 | 4,231 | 4,315 | 4,394 | 4,467 | 4,535 | 4,597 | 4,653 | 4,700 | 4,736 | 4,757 | 4,756 | 4,725 | 4,649 | 4,506 | 4,269 | 3,916 | 3,471 | 3,033 | 2,6 |
2,8 | 3,975 | 4,077 | 4,172 | 4,261 | 4,344 | 4,423 | 4,498 | 4,567 | 4,631 | 4,690 | 4,741 | 4,783 | 4,812 | 4,824 | 4,809 | 4,758 | 4,650 | 4,460 | 4,160 | 3,745 | 3,280 | 2,8 |
3,0 | 4,004 | 4,105 | 4,199 | 4,287 | 4,371 | 4,450 | 4,525 | 4,596 | 4,662 | 4,723 | 4,777 | 4,824 | 4,860 | 4,882 | 4,881 | 4,850 | 4,771 | 4,623 | 4,376 | 4,007 | 3,544 | 3,0 |
3,2 | 4,031 | 4,131 | 4,224 | 4,312 | 4,396 | 4,475 | 4,550 | 4,622 | 4,689 | 4,752 | 4,810 | 4,861 | 4,903 | 4,932 | 4,944 | 4,929 | 4,875 | 4,762 | 4,563 | 4,247 | 3,813 | 3,2 |
3,4 | 4,056 | 4,155 | 4,247 | 4,335 | 4,418 | 4,498 | 4,573 | 4,645 | 4,714 | 4,779 | 4,839 | 4,893 | 4,940 | 4,976 | 4,997 | 4,996 | 4,963 | 4,880 | 4,723 | 4,461 | 4,072 | 3,4 |
| | |
3,6 | 4,079 | 4,177 | 4,269 | 4,356 | 4,439 | 4,518 | 4,594 | 4,667 | 4,737 | 4,803 | 4,865 | 4,922 | 4,973 | 5,015 | 5,044 | 5,055 | 5,038 | 4,980 | 4,859 | 4,647 | 4,311 | 3,6 |
3,8 | 4,101 | 4,197 | 4,288 | 4,375 | 4,458 | 4,537 | 4,614 | 4,687 | 4,757 | 4,825 | 4,888 | 4,948 | 5,002 | 5,049 | 5,085 | 5,106 | 5,103 | 5,066 | 4,976 | 4,806 | 4,524 | 3,8 |
4,0 | 4,121 | 4,217 | 4,307 | 4,393 | 4,476 | 4,555 | 4,631 | 4,705 | 4,776 | 4,845 | 4,910 | 4,972 | 5,029 | 5,080 | 5,122 | 5,150 | 5,159 | 5,139 | 5,075 | 4,943 | 4,712 | 4,0 |
4,2 | 4,140 | 4,234 | 4,324 | 4,410 | 4,492 | 4,571 | 4,648 | 4,722 | 4,794 | 4,863 | 4,929 | 4,993 | 5,052 | 5,107 | 5,153 | 5,189 | 5,208 | 5,202 | 5,159 | 5,059 | 4,873 | 4,2 |
4,4 | 4,157 | 4,251 | 4,340 | 4,425 | 4,508 | 4,587 | 4,663 | 4,737 | 4,809 | 4,879 | 4,947 | 5,012 | 5,074 | 5,131 | 5,181 | 5,223 | 5,250 | 5,257 | 5,232 | 5,159 | 5,012 | 4,4 |
| | |
4,6 | 4,174 | 4,267 | 4,355 | 4,440 | 4,522 | 4,601 | 4,677 | 4,752 | 4,824 | 4,895 | 4,963 | 5,029 | 5,093 | 5,152 | 5,207 | 5,253 | 5,288 | 5,305 | 5,295 | 5,244 | 5,131 | 4,6 |
4,8 | 4,189 | 4,281 | 4,369 | 4,454 | 4,535 | 4,614 | 4,691 | 4,765 | 4,838 | 4,909 | 4,978 | 5,045 | 5,110 | 5,172 | 5,229 | 5,280 | 5,321 | 5,346 | 5,349 | 5,318 | 5,233 | 4,8 |
5,0 | 4,204 | 4,295 | 4,383 | 4,467 | 4,548 | 4,627 | 4,703 | 4,778 | 4,851 | 4,922 | 4,992 | 5,060 | 5,126 | 5,190 | 5,249 | 5,303 | 5,350 | 5,383 | 5,396 | 5,381 | 5,320 | 5,0 |
5,2 | 4,218 | 4,308 | 4,395 | 4,479 | 4,560 | 4,638 | 4,715 | 4,789 | 4,862 | 4,934 | 5,004 | 5,073 | 5,141 | 5,206 | 5,267 | 5,325 | 5,376 | 5,415 | 5,437 | 5,436 | 5,395 | 5,2 |
5,4 | 4,231 | 4,321 | 4,407 | 4,490 | 4,571 | 4,649 | 4,725 | 4,800 | 4,873 | 4,945 | 5,016 | 5,086 | 5,154 | 5,220 | 5,284 | 5,344 | 5,399 | 5,443 | 5,474 | 5,483 | 5,460 | 5,4 |
5,6 | 4,243 | 4,332 | 4,418 | 4,501 | 4,581 | 4,659 | 4,736 | 4,810 | 4,884 | 4,956 | 5,027 | 5,097 | 5,166 | 5,233 | 5,299 | 5,361 | 5,418 | 5,468 | 5,505 | 5,525 | 5,516 | 5,6 |
5,8 | 4,255 | 4,343 | 4,429 | 4,511 | 4,591 | 4,669 | 4,745 | 4,820 | 4,893 | 4,966 | 5,037 | 5,108 | 5,177 | 5,246 | 5,312 | 5,376 | 5,436 | 5,491 | 5,533 | 5,561 | 5,565 | 5,8 |
6,0 | 4,266 | 4,354 | 4,439 | 4,521 | 4,600 | 4,678 | 4,754 | 4,829 | 4,902 | 4,975 | 5,046 | 5,117 | 5,188 | 5,257 | 5,325 | 5,390 | 5,452 | 5,511 | 5,558 | 5,593 | 5,608 | 6,0 |
6,2 | 4,276 | 4,364 | 4,448 | 4,530 | 4,609 | 4,695 | 4,763 | 4,837 | 4,911 | 4,983 | 5,055 | 5,126 | 5,197 | 5,267 | 5,336 | 5,403 | 5,467 | 5,529 | 5,581 | 5,621 | 5,645 | 6,2 |
6,4 | 4,286 | 4,373 | 4,457 | 4,538 | 4,618 | 4,703 | 4,771 | 4,845 | 4,919 | 4,991 | 5,063 | 5,135 | 5,206 | 5,276 | 5,346 | 5,414 | 5,480 | 5,542 | 5,600 | 5,646 | 5,678 | 6,4 |
| | |
6,6 | 4,296 | 4,382 | 4,466 | 4,547 | 4,626 | 4,710 | 4,778 | 4,853 | 4,926 | 4,999 | 5,071 | 5,143 | 5,214 | 5,285 | 5,356 | 5,425 | 5,492 | 5,557 | 5,618 | 5,669 | 5,706 | 6,6 |
6,8 | 4,305 | 4,391 | 4,474 | 4,554 | 4,633 | 4,717 | 4,785 | 4,860 | 4,933 | 5,006 | 5,078 | 5,150 | 5,222 | 5,293 | 5,364 | 5,434 | 5,503 | 5,569 | 5,634 | 5,688 | 5,732 | 6,8 |
7,0 | 4,313 | 4,399 | 4,481 | 4,562 | 4,640 | 4,724 | 4,792 | 4,867 | 4,940 | 5,013 | 5,085 | 5,157 | 5,229 | 5,301 | 5,372 | 5,443 | 5,513 | 5,581 | 5,648 | 5,706 | 5,754 | 7,0 |
7,2 | 4,322 | 4,406 | 4,489 | 4,569 | 4,647 | 4,730 | 4,799 | 4,873 | 4,946 | 5,019 | 5,091 | 5,164 | 5,236 | 5,308 | 5,380 | 5,451 | 5,522 | 5,591 | 5,658 | 5,722 | 5,775 | 7,2 |
7,4 | 4,330 | 4,414 | 4,496 | 4,576 | 4,654 | 4,736 | 4,805 | 4,879 | 4,952 | 5,025 | 5,097 | 5,170 | 5,242 | 5,314 | 5,387 | 5,459 | 5,530 | 5,601 | 5,669 | 5,736 | 5,792 | 7,4 |
| | |
7,6 | 4,337 | 4,421 | 4,503 | 4,582 | 4,660 | 4,742 | 4,811 | 4,885 | 4,958 | 5,031 | 5,103 | 5,175 | 5,248 | 5,320 | 5,393 | 5,466 | 5,538 | 5,609 | 5,679 | 5,749 | 5,808 | 7,6 |
7,8 | 4,344 | 4,428 | 4,509 | 4,588 | 4,666 | 4,747 | 4,817 | 4,890 | 4,963 | 5,036 | 5,109 | 5,181 | 5,253 | 5,326 | 5,399 | 5,472 | 5,545 | 5,617 | 5,688 | 5,760 | 5,823 | 7,8 |
8,0 | 4,351 | 4,434 | 4,515 | 4,594 | 4,672 | 4,753 | 4,822 | 4,896 | 4,969 | 5,041 | 5,114 | 5,186 | 5,259 | 5,331 | 5,404 | 5,478 | 5,551 | 5,624 | 5,696 | 5,771 | 5,836 | 8,0 |
8,2 | 4,358 | 4,441 | 4,521 | 4,600 | 4,677 | 4,758 | 4,827 | 4,901 | 4,974 | 5,046 | 5,118 | 5,191 | 5,263 | 5,336 | 5,410 | 5,483 | 5,557 | 5,631 | 5,704 | 5,775 | 5,847 | 8,2 |
8,4 | 4,365 | 4,447 | 4,527 | 4,605 | 4,682 | 4,762 | 4,832 | 4,905 | 4,978 | 5,051 | 5,123 | 5,195 | 5,268 | 5,341 | 5,414 | 5,488 | 5,562 | 5,637 | 5,710 | 5,783 | 5,858 | 8,4 |
| | |
8,6 | 4,371 | 4,452 | 4,532 | 4,611 | 4,687 | 4,767 | 4,837 | 4,910 | 4,983 | 5,055 | 5,127 | 5,200 | 5,272 | 5,345 | 5,419 | 5,493 | 5,587 | 5,642 | 5,717 | 5,790 | 5,867 | 8,6 |
8,8 | 4,377 | 4,458 | 4,538 | 4,616 | 4,692 | 4,772 | 4,841 | 4,914 | 4,987 | 5,059 | 5,132 | 5,204 | 5,276 | 5,349 | 5,423 | 5,497 | 5,572 | 5,647 | 5,722 | 5,797 | 5,875 | 8,8 |
9,0 | 4,382 | 4,463 | 4,543 | 4,621 | 4,697 | 4,776 | 4,845 | 4,918 | 4,991 | 5,063 | 5,135 | 5,208 | 5,280 | 5,353 | 5,427 | 5,501 | 5,576 | 5,652 | 5,727 | 5,803 | 5,883 | 9,0 |
9,2 | 4,388 | 4,468 | 4,548 | 4,625 | 4,701 | 4,780 | 4,850 | 4,923 | 4,995 | 5,067 | 5,139 | 5,211 | 5,284 | 5,357 | 5,431 | 5,505 | 5,580 | 5,656 | 5,732 | 5,808 | 5,890 | 9,2 |
9,4 | 4,393 | 4,473 | 4,552 | 4,630 | 4,705 | 4,784 | 4,854 | 4,926 | 4,999 | 5,071 | 5,143 | 5,215 | 5,287 | 5,361 | 5,434 | 5,509 | 5,584 | 5,660 | 5,736 | 5,813 | 5,889 | 9,4 |
| | |
9,6 | 4,398 | 4,478 | 4,557 | 4,634 | 4,710 | 4,788 | 4,857 | 4,930 | 5,002 | 5,074 | 5,146 | 5,218 | 5,291 | 5,364 | 5,437 | 5,512 | 5,587 | 5,663 | 5,740 | 5,817 | 5,894 | 9,6 |
9,8 | 4,403 | 4,483 | 4,561 | 4,638 | 4,714 | 4,791 | 4,861 | 4,934 | 5,006 | 5,078 | 5,149 | 5,222 | 5,294 | 5,367 | 5,440 | 5,515 | 5,590 | 5,667 | 5,744 | 5,821 | 5,898 | 9,8 |
10,0 | 4,408 | 4,487 | 4,565 | 4,642 | 4,717 | 4,795 | 4,865 | 4,937 | 5,009 | 5,081 | 5,153 | 5,225 | 5,297 | 5,370 | 5,443 | 5,518 | 5,593 | 5,670 | 5,747 | 5,825 | 5,903 | 10,0 |
10,2 | | | | | 4,721 | 4,798 | 4,868 | 4,940 | 5,012 | 5,084 | 5,156 | 5,228 | 5,300 | 5,373 | 5,446 | 5,521 | 5,596 | 5,673 | 5,750 | 5,828 | 5,906 | 10,2 |
10,4 | | | | | | | 4,871 | 4,943 | 5,015 | 5,087 | 5,158 | 5,230 | 5,303 | 5,375 | 5,449 | 5,523 | 5,599 | 5,675 | 5,753 | 5,831 | 5,910 | 10,4 |
| | |
10,6 | | | | | | | 4,874 | 4,947 | 5,018 | 5,090 | 5,161 | 5,233 | 5,305 | 5,378 | 5,451 | 5,526 | 5,601 | 5,678 | 5,755 | 5,834 | 5,913 | 10,6 |
10,8 | | | | | | | | 4,949 | 5,021 | 5,092 | 5,164 | 5,236 | 5,308 | 5,380 | 5,454 | 5,528 | 5,603 | 5,680 | 5,757 | 5,836 | 5,915 | 10,8 |
11,0 | | | | | | | | | 5,024 | 5,095 | 5,166 | 5,238 | 5,310 | 5,383 | 5,456 | 5,530 | 5,605 | 5,682 | 5,760 | 5,838 | 5,918 | 11,0 |
11,2 | | | | | | | | | | 5,098 | 5,169 | 5,240 | 5,312 | 5,385 | 5,458 | 5,532 | 5,607 | 5,684 | 5,762 | 5,840 | 5,920 | 11,2 |
11,4 | | | | | | | | | | | 5,171 | 5,243 | 5,314 | 5,387 | 5,460 | 5,534 | 5,609 | 5,686 | 5,763 | 5,842 | 5,922 | 11,4 |
| | |
11,6 | | | | | | | | | | | 5,173 | 5,245 | 5,316 | 5,389 | 5,462 | 5,536 | 5,611 | 5,687 | 5,765 | 5,844 | 5,924 | 11,6 |
11,8 | | | | | | | | | | | | 5,247 | 5,318 | 5,391 | 5,464 | 5,538 | 5,613 | 5,689 | 5,767 | 5,845 | 5,925 | 11,8 |
12,0 | | | | | | | | | | | | 5,249 | 5,320 | 5,393 | 5,465 | 5,539 | 5,614 | 5,690 | 5,768 | 5,847 | 5,927 | 12,0 |
12,2 | | | | | | | | | | | | | 5,322 | 5,394 | 5,467 | 5,541 | 5,616 | 5,692 | 5,769 | 5,848 | 5,928 | 12,2 |
Кривые Пирсона (стандартизованная медиана) P50% (процентиль уровня 50%). Для  следует изменить знак |
Коэффициент эксцесса  | Коэффициент асимметрии  |
0,0 | 0,1 | 0,2 | 0,3 | 0,4 | 0,5 | 0,6 | 0,7 | 0,8 | 0,9 | 1,0 | 1,1 | 1,2 | 1,3 | 1,4 | 1,5 | 1,6 | 1,7 | 1,8 | 1,9 | 2,0 | |
-1,4 | 0,000 | 0,053 | 0,111 | 0,184 | 0,282 | 0,424 | 0,627 | 0,754 | | | | | | | | | | | | | | -1,4 |
-1,2 | 0,000 | 0,039 | 0,082 | 0,132 | 0,196 | 0,284 | 0,412 | 0,591 | 0,727 | | | | | | | | | | | | | -1,2 |
-1,0 | 0,000 | 0,031 | 0,065 | 0,103 | 0,151 | 0,212 | 0,297 | 0,419 | 0,586 | | | | | | | | | | | | | -1,0 |
-0,8 | 0,000 | 0,026 | 0,054 | 0,085 | 0,123 | 0,169 | 0,231 | 0,317 | 0,439 | 0,598 | 0,681 | | | | | | | | | | | -0,8 |
-0,6 | 0,000 | 0,023 | 0,047 | 0,073 | 0,104 | 0,142 | 0,190 | 0,254 | 0,343 | 0,468 | 0,616 | 0,653 | | | | | | | | | | -0,6 |
| | |
-0,4 | 0,000 | 0,020 | 0,041 | 0,064 | 0,091 | 0,122 | 0,161 | 0,212 | 0,280 | 0,375 | 0,504 | 0,633 | 0,616 | | | | | | | | | -0,4 |
-0,2 | 0,000 | 0,018 | 0,037 | 0,058 | 0,081 | 0,108 | 0,141 | 0,183 | 0,237 | 0,311 | 0,413 | 0,542 | 0,638 | 0,574 | | | | | | | | -0,2 |
0,0 | 0,000 | 0,017 | 0,034 | 0,053 | 0,073 | 0,097 | 0,126 | 0,161 | 0,206 | 0,266 | 0,347 | 0,456 | 0,579 | 0,621 | 0,531 | | | | | | | 0,0 |
0,2 | 0,000 | 0,015 | 0,032 | 0,049 | 0,068 | 0,089 | 0,114 | 0,145 | 0,183 | 0,233 | 0,299 | 0,388 | 0,501 | 0,605 | 0,582 | | | | | | | 0,2 |
0,4 | 0,000 | 0,014 | 0,029 | 0,045 | 0,063 | 0,082 | 0,105 | 0,132 | 0,165 | 0,208 | 0,263 | 0,336 | 0,433 | 0,545 | 0,607 | 0,536 | | | | | | 0,4 |
| | |
0,6 | 0,000 | 0,013 | 0,028 | 0,043 | 0,059 | 0,077 | 0,097 | 0,122 | 0,151 | 0,188 | 0,235 | 0,297 | 0,379 | 0,481 | 0,579 | 0,579 | 0,489 | | | | | 0,6 |
0,8 | 0,000 | 0,013 | 0,026 | 0,040 | 0,055 | 0,072 | 0,091 | 0,113 | 0,140 | 0,172 | 0,213 | 0,266 | 0,336 | 0,425 | 0,527 | 0,590 | 0,533 | | | | | 0,8 |
1,0 | 0,000 | 0,012 | 0,025 | 0,038 | 0,053 | 0,068 | 0,086 | 0,106 | 0,130 | 0,159 | 0,196 | 0,242 | 0,301 | 0,379 | 0,474 | 0,563 | 0,569 | 0,484 | | | | 1,0 |
1,2 | 0,000 | 0,011 | 0,024 | 0,036 | 0,050 | 0,065 | 0,082 | 0,100 | 0,122 | 0,148 | 0,181 | 0,222 | 0,274 | 0,341 | 0,426 | 0,520 | 0,576 | 0,524 | | | | 1,2 |
1,4 | 0,000 | 0,011 | 0,023 | 0,035 | 0,048 | 0,062 | 0,078 | 0,095 | 0,116 | 0,140 | 0,169 | 0,206 | 0,252 | 0,310 | 0,385 | 0,474 | 0,554 | 0,555 | 0,475 | | | 1,4 |
| | |
1,6 | 0,000 | 0,010 | 0,022 | 0,034 | 0,046 | 0,060 | 0,074 | 0,091 | 0,110 | 0,132 | 0,159 | 0,192 | 0,233 | 0,285 | 0,351 | 0,432 | 0,518 | 0,564 | 0,510 | | | 1,6 |
1,8 | 0,000 | 0,010 | 0,021 | 0,032 | 0,044 | 0,057 | 0,072 | 0,087 | 0,105 | 0,126 | 0,151 | 0,180 | 0,217 | 0,264 | 0,323 | 0,396 | 0,480 | 0,549 | 0,540 | 0,461 | | 1,8 |
2,0 | 0,000 | 0,009 | 0,020 | 0,031 | 0,043 | 0,055 | 0,069 | 0,084 | 0,101 | 0,120 | 0,143 | 0,171 | 0,204 | 0,246 | 0,299 | 0,365 | 0,443 | 0,521 | 0,552 | 0,494 | | 2,0 |
2,2 | 0,000 | 0,009 | 0,020 | 0,030 | 0,042 | 0,054 | 0,067 | 0,081 | 0,097 | 0,115 | 0,137 | 0,162 | 0,193 | 0,231 | 0,279 | 0,338 | 0,410 | 0,488 | 0,544 | 0,522 | 0,445 | 2,2 |
2,4 | 0,000 | 0,009 | 0,019 | 0,029 | 0,040 | 0,052 | 0,065 | 0,078 | 0,094 | 0,111 | 0,131 | 0,155 | 0,183 | 0,218 | 0,261 | 0,315 | 0,381 | 0,456 | 0,524 | 0,538 | 0,475 | 2,4 |
| | |
2,6 | 0,000 | 0,008 | 0,018 | 0,029 | 0,039 | 0,051 | 0,063 | 0,076 | 0,091 | 0,107 | 0,126 | 0,148 | 0,175 | 0,207 | 0,246 | 0,295 | 0,355 | 0,426 | 0,498 | 0,539 | 0,503 | 2,6 |
2,8 | 0,000 | 0,008 | 0,018 | 0,028 | 0,038 | 0,049 | 0,061 | 0,074 | 0,088 | 0,104 | 0,122 | 0,143 | 0,167 | 0,197 | 0,233 | 0,278 | 0,333 | 0,398 | 0,470 | 0,526 | 0,522 | 2,8 |
3,0 | 0,000 | 0,008 | 0,017 | 0,027 | 0,037 | 0,048 | 0,059 | 0,072 | 0,085 | 0,101 | 0,118 | 0,138 | 0,161 | 0,189 | 0,222 | 0,263 | 0,313 | 0,374 | 0,443 | 0,506 | 0,530 | 3,0 |
3,2 | 0,000 | 0,008 | 0,017 | 0,027 | 0,037 | 0,047 | 0,058 | 0,070 | 0,083 | 0,098 | 0,114 | 0,133 | 0,155 | 0,181 | 0,212 | 0,250 | 0,296 | 0,352 | 0,417 | 0,483 | 0,525 | 3,2 |
3,4 | 0,000 | 0,008 | 0,017 | 0,026 | 0,036 | 0,046 | 0,057 | 0,068 | 0,081 | 0,095 | 0,111 | 0,129 | 0,150 | 0,174 | 0,203 | 0,239 | 0,281 | 0,333 | 0,394 | 0,460 | 0,513 | 3,4 |
| | |
3,6 | 0,000 | 0,007 | 0,016 | 0,025 | 0,035 | 0,045 | 0,056 | 0,067 | 0,079 | 0,093 | 0,108 | 0,125 | 0,145 | 0,168 | 0,196 | 0,228 | 0,268 | 0,316 | 0,373 | 0,437 | 0,495 | 3,6 |
3,8 | 0,000 | 0,007 | 0,016 | 0,025 | 0,034 | 0,044 | 0,054 | 0,066 | 0,078 | 0,091 | 0,105 | 0,122 | 0,141 | 0,163 | 0,188 | 0,219 | 0,256 | 0,301 | 0,354 | 0,415 | 0,475 | 3,8 |
4,0 | 0,000 | 0,007 | 0,015 | 0,025 | 0,034 | 0,043 | 0,053 | 0,064 | 0,076 | 0,089 | 0,103 | 0,119 | 0,137 | 0,158 | 0,182 | 0,211 | 0,246 | 0,288 | 0,337 | 0,395 | 0,455 | 4,0 |
4,2 | 0,000 | 0,007 | 0,015 | 0,024 | 0,033 | 0,043 | 0,053 | 0,063 | 0,075 | 0,087 | 0,101 | 0,116 | 0,133 | 0,153 | 0,176 | 0,204 | 0,236 | 0,276 | 0,322 | 0,376 | 0,435 | 4,2 |
4,4 | 0,000 | 0,007 | 0,015 | 0,024 | 0,033 | 0,042 | 0,052 | 0,062 | 0,073 | 0,085 | 0,099 | 0,113 | 0,130 | 0,149 | 0,171 | 0,197 | 0,228 | 0,265 | 0,308 | 0,359 | 0,416 | 4,4 |
| | |
4,6 | 0,000 | 0,007 | 0,015 | 0,023 | 0,032 | 0,041 | 0,051 | 0,061 | 0,072 | 0,084 | 0,097 | 0,111 | 0,127 | 0,145 | 0,167 | 0,191 | 0,220 | 0,255 | 0,296 | 0,344 | 0,399 | 4,6 |
4,8 | 0,000 | 0,006 | 0,015 | 0,023 | 0,032 | 0,041 | 0,050 | 0,060 | 0,071 | 0,082 | 0,095 | 0,109 | 0,124 | 0,142 | 0,162 | 0,186 | 0,213 | 0,246 | 0,285 | 0,330 | 0,382 | 4,8 |
5,0 | 0,000 | 0,006 | 0,014 | 0,023 | 0,031 | 0,040 | 0,049 | 0,059 | 0,070 | 0,081 | 0,093 | 0,107 | 0,122 | 0,139 | 0,158 | 0,181 | 0,207 | 0,238 | 0,274 | 0,317 | 0,367 | 5,0 |
5,2 | 0,000 | 0,006 | 0,014 | 0,022 | 0,031 | 0,040 | 0,049 | 0,058 | 0,069 | 0,080 | 0,092 | 0,105 | 0,119 | 0,136 | 0,155 | 0,176 | 0,201 | 0,231 | 0,265 | 0,306 | 0,353 | 5,2 |
5,4 | 0,000 | 0,006 | 0,014 | 0,022 | 0,030 | 0,039 | 0,048 | 0,057 | 0,068 | 0,078 | 0,090 | 0,103 | 0,117 | 0,133 | 0,151 | 0,172 | 0,196 | 0,224 | 0,257 | 0,295 | 0,340 | 5,4 |
5,6 | 0,000 | 0,006 | 0,014 | 0,022 | 0,030 | 0,039 | 0,047 | 0,057 | 0,067 | 0,077 | 0,089 | 0,101 | 0,115 | 0,131 | 0,148 | 0,168 | 0,191 | 0,218 | 0,249 | 0,285 | 0,328 | 5,6 |
5,8 | 0,000 | 0,006 | 0,014 | 0,022 | 0,030 | 0,038 | 0,047 | 0,056 | 0,066 | 0,076 | 0,087 | 0,100 | 0,113 | 0,128 | 0,145 | 0,164 | 0,186 | 0,212 | 0,242 | 0,277 | 0,317 | 5,8 |
6,0 | 0,000 | 0,006 | 0,014 | 0,021 | 0,029 | 0,038 | 0,046 | 0,055 | 0,065 | 0,075 | 0,086 | 0,098 | 0,111 | 0,126 | 0,142 | 0,161 | 0,182 | 0,207 | 0,235 | 0,268 | 0,307 | 6,0 |
6,2 | 0,000 | 0,006 | 0,013 | 0,021 | 0,029 | 0,037 | 0,046 | 0,055 | 0,064 | 0,074 | 0,085 | 0,097 | 0,110 | 0,124 | 0,140 | 0,158 | 0,178 | 0,202 | 0,229 | 0,261 | 0,298 | 6,2 |
6,4 | 0,000 | 0,006 | 0,013 | 0,021 | 0,029 | 0,037 | 0,045 | 0,054 | 0,063 | 0,073 | 0,084 | 0,096 | 0,108 | 0,122 | 0,137 | 0,155 | 0,175 | 0,197 | 0,223 | 0,254 | 0,289 | 6,4 |
| | |
6,6 | 0,000 | 0,006 | 0,013 | 0,021 | 0,028 | 0,037 | 0,045 | 0,054 | 0,063 | 0,073 | 0,083 | 0,094 | 0,107 | 0,120 | 0,135 | 0,152 | 0,171 | 0,193 | 0,218 | 0,247 | 0,281 | 6,6 |
6,8 | 0,000 | 0,006 | 0,013 | 0,021 | 0,028 | 0,036 | 0,044 | 0,053 | 0,062 | 0,072 | 0,082 | 0,093 | 0,105 | 0,118 | 0,133 | 0,150 | 0,168 | 0,189 | 0,213 | 0,241 | 0,273 | 6,8 |
7,0 | 0,000 | 0,005 | 0,013 | 0,020 | 0,028 | 0,036 | 0,044 | 0,053 | 0,061 | 0,071 | 0,081 | 0,092 | 0,104 | 0,117 | 0,131 | 0,147 | 0,165 | 0,185 | 0,209 | 0,236 | 0,267 | 7,0 |
7,2 | 0,000 | 0,005 | 0,013 | 0,020 | 0,028 | 0,036 | 0,044 | 0,052 | 0,061 | 0,070 | 0,080 | 0,091 | 0,103 | 0,115 | 0,129 | 0,145 | 0,162 | 0,182 | 0,205 | 0,230 | 0,260 | 7,2 |
7,4 | 0,000 | 0,005 | 0,013 | 0,020 | 0,027 | 0,035 | 0,043 | 0,052 | 0,060 | 0,070 | 0,079 | 0,090 | 0,101 | 0,114 | 0,128 | 0,143 | 0,160 | 0,179 | 0,201 | 0,226 | 0,254 | 7,4 |
| | |
7,6 | 0,000 | 0,005 | 0,012 | 0,020 | 0,027 | 0,035 | 0,043 | 0,051 | 0,060 | 0,069 | 0,079 | 0,089 | 0,100 | 0,113 | 0,126 | 0,141 | 0,157 | 0,176 | 0,197 | 0,221 | 0,249 | 7,6 |
7,8 | 0,000 | 0,005 | 0,012 | 0,020 | 0,027 | 0,035 | 0,043 | 0,051 | 0,059 | 0,068 | 0,078 | 0,088 | 0,099 | 0,111 | 0,124 | 0,139 | 0,155 | 0,173 | 0,193 | 0,217 | 0,243 | 7,8 |
8,0 | 0,000 | 0,005 | 0,012 | 0,019 | 0,027 | 0,034 | 0,042 | 0,050 | 0,059 | 0,068 | 0,077 | 0,087 | 0,098 | 0,110 | 0,123 | 0,137 | 0,153 | 0,170 | 0,190 | 0,213 | 0,238 | 8,0 |
8,2 | 0,000 | 0,005 | 0,012 | 0,019 | 0,027 | 0,034 | 0,042 | 0,050 | 0,058 | 0,067 | 0,076 | 0,086 | 0,097 | 0,109 | 0,121 | 0,135 | 0,151 | 0,168 | 0,187 | 0,209 | 0,234 | 8,2 |
8,4 | 0,000 | 0,005 | 0,012 | 0,019 | 0,026 | 0,034 | 0,042 | 0,050 | 0,058 | 0,067 | 0,076 | 0,086 | 0,096 | 0,108 | 0,120 | 0,134 | 0,149 | 0,165 | 0,184 | 0,205 | 0,229 | 8,4 |
| | |
8,6 | 0,000 | 0,005 | 0,012 | 0,019 | 0,026 | 0,034 | 0,041 | 0,049 | 0,057 | 0,066 | 0,075 | 0,085 | 0,095 | 0,107 | 0,119 | 0,132 | 0,147 | 0,163 | 0,181 | 0,202 | 0,225 | 8,6 |
8,8 | 0,000 | 0,005 | 0,012 | 0,019 | 0,026 | 0,033 | 0,041 | 0,049 | 0,057 | 0,066 | 0,075 | 0,084 | 0,094 | 0,106 | 0,118 | 0,131 | 0,145 | 0,161 | 0,179 | 0,199 | 0,221 | 8,8 |
9,0 | 0,000 | 0,005 | 0,012 | 0,019 | 0,026 | 0,033 | 0,041 | 0,049 | 0,057 | 0,065 | 0,074 | 0,084 | 0,094 | 0,105 | 0,116 | 0,129 | 0,143 | 0,159 | 0,176 | 0,196 | 0,218 | 9,0 |
9,2 | 0,000 | 0,005 | 0,012 | 0,019 | 0,026 | 0,033 | 0,040 | 0,048 | 0,056 | 0,065 | 0,073 | 0,083 | 0,093 | 0,104 | 0,115 | 0,128 | 0,142 | 0,157 | 0,174 | 0,193 | 0,214 | 9,2 |
9,4 | 0,000 | 0,005 | 0,012 | 0,019 | 0,026 | 0,033 | 0,040 | 0,048 | 0,056 | 0,064 | 0,073 | 0,082 | 0,092 | 0,103 | 0,114 | 0,127 | 0,140 | 0,155 | 0,172 | 0,190 | 0,211 | 9,4 |
| | |
9,6 | 0,000 | 0,005 | 0,012 | 0,019 | 0,025 | 0,033 | 0,040 | 0,048 | 0,055 | 0,064 | 0,072 | 0,082 | 0,091 | 0,102 | 0,113 | 0,125 | 0,139 | 0,153 | 0,170 | 0,188 | 0,208 | 9,6 |
9,8 | 0,000 | 0,005 | 0,012 | 0,018 | 0,025 | 0,032 | 0,040 | 0,047 | 0,055 | 0,063 | 0,072 | 0,081 | 0,091 | 0,101 | 0,112 | 0,124 | 0,137 | 0,152 | 0,168 | 0,185 | 0,205 | 9,8 |
10,0 | 0,000 | 0,005 | 0,011 | 0,018 | 0,025 | 0,032 | 0,040 | 0,047 | 0,055 | 0,063 | 0,071 | 0,080 | 0,090 | 0,100 | 0,111 | 0,123 | 0,136 | 0,150 | 0,166 | 0,183 | 0,202 | 10,0 |
10,2 | 0,000 | | | | | 0,032 | 0,039 | 0,047 | 0,054 | 0,063 | 0,071 | 0,080 | 0,089 | 0,099 | 0,110 | 0,122 | 0,135 | 0,149 | 0,164 | 0,181 | 0,200 | 10,2 |
10,4 | 0,000 | | | | | 0,032 | 0,039 | 0,047 | 0,054 | 0,062 | 0,071 | 0,079 | 0,089 | 0,099 | 0,109 | 0,121 | 0,133 | 0,147 | 0,162 | 0,179 | 0,197 | 10,4 |
| | |
10,6 | 0,000 | | | | | | 0,039 | 0,046 | 0,054 | 0,062 | 0,070 | 0,079 | 0,088 | 0,098 | 0,109 | 0,120 | 0,132 | 0,146 | 0,160 | 0,177 | 0,195 | 10,6 |
10,8 | 0,000 | | | | | | | 0,046 | 0,054 | 0,061 | 0,070 | 0,078 | 0,088 | 0,097 | 0,108 | 0,119 | 0,131 | 0,144 | 0,159 | 0,175 | 0,192 | 10,8 |
11,0 | 0,000 | | | | | | | | 0,053 | 0,061 | 0,069 | 0,078 | 0,087 | 0,097 | 0,107 | 0,118 | 0,130 | 0,143 | 0,157 | 0,173 | 0,190 | 11,0 |
11,2 | 0,000 | | | | | | | | | 0,061 | 0,069 | 0,078 | 0,087 | 0,096 | 0,106 | 0,117 | 0,129 | 0,142 | 0,156 | 0,171 | 0,188 | 11,2 |
11,4 | 0,000 | | | | | | | | | | 0,069 | 0,077 | 0,086 | 0,095 | 0,105 | 0,116 | 0,128 | 0,141 | 0,154 | 0,169 | 0,186 | 11,4 |
| | |
11,6 | 0,000 | | | | | | | | | | 0,068 | 0,077 | 0,086 | 0,095 | 0,104 | 0,116 | 0,127 | 0,139 | 0,153 | 0,168 | 0,184 | 11,6 |
11,8 | 0,000 | | | | | | | | | | | 0,076 | 0,085 | 0,094 | 0,104 | 0,115 | 0,126 | 0,138 | 0,152 | 0,166 | 0,182 | 11,8 |
12,0 | 0,000 | | | | | | | | | | | 0,076 | 0,085 | 0,094 | 0,104 | 0,114 | 0,125 | 0,137 | 0,150 | 0,165 | 0,181 | 12,0 |
12,2 | 0,000 | | | | | | | | | | | | 0,084 | 0,093 | 0,103 | 0,113 | 0,124 | 0,136 | 0,149 | 0,163 | 0,179 | 12,2 |
(справочное)
ИДЕНТИФИКАЦИЯ РАСПРЕДЕЛЕНИЯ
C.1 Общие положения
Иногда вид распределения известен или может быть обоснованно выбран и проверен с помощью критериев согласия. В этом случае на основе выбранного распределения определяют оценки его параметров и используют их для определения соответствующих квантилей, на основе которых оценивают воспроизводимость процесса. Доли единиц продукции, соответствующих и не соответствующих требованиям, могут быть оценены непосредственно.
Метод иллюстрирован на основе некоторых часто применяемых распределений.
C.2 Нормальное распределение
Если
X1, ...,
XN - выборка из нормального распределения со средним

и дисперсией

, оценки

и

получают по формулам

,

.
Оценки индексов воспроизводимости процесса определяют по следующим формулам настоящего стандарта:

,

,

.
Таким образом,

.
Оценки доли единиц продукции, значения контролируемой характеристики которых менее L и более U, определяют по формулам

,

.
Здесь Ф(·) - функция распределения стандартного нормального распределения.
Фактические вычисления

и

могут быть выполнены в соответствии с
4.8.
C.3 Логарифмически нормальное распределение
C.3.1 Общие положения
Логарифмически нормальное распределение с параметрами

и

имеет функцию плотности вероятностей:

,
где
X > 0, и ln - знак натурального логарифма, т.е. логарифма по основанию e. Если
X имеет логарифмически нормальное распределение с параметрами

и

, то ln
X подчиняется нормальному распределению со средним

и дисперсией

.
Если
X1, ....,
XN - выборка из логнормального распределения, то данные могут быть преобразованы к нормальному распределению, т.е. к выборке ln
X1, ..., ln
XN, которая подчиняется нормальному распределению. Тогда могут быть использованы методы в соответствии с
C.2. Альтернативно вычисления могут быть сделаны непосредственно на исходных величинах. Эти два метода приведены в
C.3.2 и
C.3.3. В обоих случаях оценки параметров являются функциями логарифма исходных данных и имеют вид

,

.
C.3.2 Логнормальное распределение. Преобразование к нормальному распределению
Верхнюю и нижнюю границы поля допуска преобразуют в ln
U и ln
L. Применяют формулы в соответствии с
C.2. Оценки

,

и

принимают вид

,

,

.
Для получения оценок доли единиц продукции, не соответствующих требованиям, необходимо оценки

и

подставить в соответствующие формулы
раздела C.2.
C.3.3 Логнормальное распределение. Исходный масштаб
Квантили логнормального распределения имеют вид

,
где Ф-1(·) - функция, обратная к функции распределения стандартного нормального распределения. В частности,

,

,

,

,

,

.
Оценки, полученные данным методом оценки индексов, отличаются от оценок, полученных методом преобразования (см.
C.3.2). Владелец процесса, характеристика единиц продукции которого подчиняется логнормальному распределению, обычно хорошо ориентируется в полученных оценках индексов, но при их интерпретации не следует использовать границы, полученные для данных, подчиняющихся нормальному распределению.
Оценки доли единиц продукции, не соответствующей требованиям, вычисляют, используя границы поля допуска и функцию логнормального распределения. Таким образом,

,

.
Эти оценки точно совпадают с оценками, полученными в соответствии с
C.3.2.
C.4 Распределение Рэлея
Это распределение используют обычно для описания положения, эксцентриситета и других параметров в двумерных задачах. В этих ситуациях обычно имеется единственная граница поля допуска U.
Функция распределения Рэлея имеет вид

,
где
X > 0, а

- положительный параметр. Если
X1, ...,
XN - выборка из распределения Рэлея, оценка параметра

имеет вид
Оценку доли единиц продукции, не соответствующих требованиям, определяют по формуле

.
C.5 Распределение Вейбулла
Это универсальное распределение. Его часто используют при анализе данных, собранных в процессе исследования надежности, когда исследуемые образцы являются неоднородными, а измерения не описываются нормальным распределением. Распределение Вейбулла имеет три параметра:
1)

- параметр масштаба;
2)

- параметр формы;
3)

- параметр положения, который часто равен нулю.
В некоторых случаях при исследовании воспроизводимости процесса, когда данные не подчиняются нормальному распределению, для описания данных и вычисления воспроизводимости или пригодности процесса может быть использовано распределение Вейбулла.
Функция распределения Вейбулла

.
Таким образом, квантили распределения Вейбулла

.
В частности, могут быть вычислены процентили X0,135%, X50% и X99,865%, а затем индексы воспроизводимости процесса. Доли единиц продукции, не удовлетворяющих требованиям:

,

.
Для определения оценок pL и pU в эти выражения подставляют оценки параметров распределения.
C.6 Полунормальное распределение
Полунормальное распределение часто используют для описания характеристики, на которую установлены геометрические допуски. Эта ситуация с односторонними требованиями. Их обычно применяют, когда установлены геометрические характеристики, форма и координаты.
Функция плотности вероятности полунормального распределения с параметрами

и

имеет вид

,
где

.
Полунормальное распределение пропорционально нормальному распределению. Оценки долей распределения могут быть найдены с помощью стандартных таблиц нормального распределения с умножением соответствующего табличного значения на 2.
C.7 Другие распределения
Выше были приведены наиболее часто применяемые распределения. Однако существует много других распределений, которые описаны в справочной литературе по статистике.
(справочное)
D.1 Нормальное распределение
D.1.1 Общие положения
При вычислении индекса воспроизводимости процесса важно помнить, что вычисленное значение является лишь оценкой истинного индекса. Обычно большее количество данных, используемых для вычисления оценки индекса, позволяет получить более достоверную оценку. В следующих разделах данного приложения приведены пояснения этого факта и методы определения доверительных интервалов для индексов.
Вычисление границ доверительного интервала имеет смысл только в случае, когда параметром положения в распределении является математическое ожидание, а не медиана.
D.1.2 Нормальное распределение. Аналитический метод
Доверительный интервал, соответствующий доверительной вероятности

, имеет вид

,

,

,
где

- квантиль стандартного нормального распределения уровня

. Для вычислений должно быть использовано не менее 50 значений.
Примечание - Здесь предполагается, что для вычисления индексов была использована оценка стандартного отклонения по общему объему выборки (N).
D.1.3 Нормальное распределение. Табличный метод оценки индекса Cp
D.1.3.1 Общие положения
Пример метода определения доверительного интервала для индекса
Cp приведен в
D.1.3.2.
Метод требует определения коэффициентов
Kl и
Ku по
таблице D.1. Коэффициенты зависят от количества наблюдений, использованных для получения оценки
Cp. Умножение оценки индекса на эти коэффициенты позволяет получить границы доверительного интервала. Для определения границ доверительного интервала следует использовать не менее 50 значений.
Таблица D.1
Коэффициенты для определения границ
доверительного интервала индекса Cp
Уровень доверия | Коэффициент | Общий объем выборки N |
50 | 75 | 100 | 150 | 300 |
90% | Kl | 0,83 | 0,86 | 0,88 | 0,90 | 0,93 |
Ku | 1,16 | 1,13 | 1,12 | 1,09 | 1,07 |
95% | Kl | 0,80 | 0,84 | 0,86 | 0,89 | 0,92 |
Ku | 1,20 | 1,16 | 1,14 | 1,11 | 1,08 |
99% | Kl | 0,75 | 0,79 | 0,82 | 0,85 | 0,90 |
Ku | 1,26 | 1,21 | 1,18 | 1,15 | 1,11 |
Пример - Доверительный интервал для Cp с уровнем доверия 95% имеет вид
.
D.1.3.2 Процедура и пример
a) Записывают значение оценки Cp и общий объем выборки

и
N = 100.
b) Выбирают необходимый уровень доверия
Уровень доверия - 95%.

,

.
d) Определяют границы доверительного интервала:

,
0,86·1,20 <= Cp <= 1,14·1,20,
1,03 <= Cp <= 1,37.
D.2 Доверительные интервалы для других распределений
Доверительные интервалы для других индексов (не графические оценки) могут быть найдены для ненормальных распределений так же, как и для нормального распределения.
[1] | ISO 3534-1, Statistics - Vocabulary and symbols - Part 1: General statistical terms and terms used in probability |
[2] | ISO 3534-2, Statistics - Vocabulary and symbols - Part 2: Applied statistics |
[3] | ISO 5479, Statistical interpretation of data - Tests for departure from the normal distribution |
[4] | ISO 7870-1, Control charts - Part 1: General guidelines |
[5] | ISO 7870-2, Control charts - Part 2: Shewhart control charts |
[6] | ISO 9000, Quality management systems - Fundamentals and vocabulary |
[7] | ISO/IEC 12207, Information technology - Software life cycle processes |
[8] | AUTOMOTIVE INDUSTRY ACTION GROUP. Statistical process control (SPC) - Reference material. AIAG, 2005 |
[9] | Chou Y., Owen D.B., Borrego S.A. Lower Confidence Limits on Process Capability Indices. J. Qual. Technol. 1990, 22 (3), p. 225 |
| Clements J.A. Process capability calculations for non-normal distributions. Quality Process. 1989, 22, pp. 95 - 100 |
[11] | Duncan A.J. Quality control and industrial statistics. Richard D. Irwin, Inc, 1986 |
[12] | Kotz S., & Johnson N.L. Process Capability Indices. Chapman & Hall, 1993 |
[13] | Kotz S., & Lovelace C.R. Process Capability Indices in Theory and Practice. Hodder Arnold, 1998 |
[14] | Rodriguez R.N. Recent Developments in Process Capability Analysis. J. Qual. Technol. 1992, 24 (4), p. 179 |
| Stephens M.A. Anderson-Darling Test for Goodness of Fit. In: Encyclopedia of Statistical Sciences, (Johnson N.L., & Kotz S. eds.). Wiley Interscience, Vol. 1, 1982, pp. 81 - 5. |
УДК 658.562.012.7:65.012.122:006.352 | |
Ключевые слова: статистические методы в управлении процессами, границы поля допуска, границы опорного интервала, индекс воспроизводимости процесса, индекс пригодности процесса, доверительный интервал, объем выборки |