Главная // Актуальные документы // ГОСТ Р (Государственный стандарт)СПРАВКА
Источник публикации
М.: ФГБУ "РСТ", 2021
Примечание к документу
Документ
введен в действие с 01.01.2022.
Название документа
"ГОСТ Р ИСО 21832-2021. Национальный стандарт Российской Федерации. Воздух рабочей зоны. Металлы и металлоиды в частицах, находящихся в воздухе. Требования к оценке процедур измерения"
(утв. и введен в действие Приказом Росстандарта от 03.09.2021 N 920-ст)
"ГОСТ Р ИСО 21832-2021. Национальный стандарт Российской Федерации. Воздух рабочей зоны. Металлы и металлоиды в частицах, находящихся в воздухе. Требования к оценке процедур измерения"
(утв. и введен в действие Приказом Росстандарта от 03.09.2021 N 920-ст)
Утвержден и введен в действие
агентства по техническому
регулированию и метрологии
от 3 сентября 2021 г. N 920-ст
НАЦИОНАЛЬНЫЙ СТАНДАРТ РОССИЙСКОЙ ФЕДЕРАЦИИ
ВОЗДУХ РАБОЧЕЙ ЗОНЫ
МЕТАЛЛЫ И МЕТАЛЛОИДЫ В ЧАСТИЦАХ, НАХОДЯЩИХСЯ В ВОЗДУХЕ.
ТРЕБОВАНИЯ К ОЦЕНКЕ ПРОЦЕДУР ИЗМЕРЕНИЯ
Workplace air. Metals and metalloids in airborne particles.
Requirements for evaluation of measuring procedures
(ISO 21832:2018, IDT)
ГОСТ Р ИСО 21832-2021
Дата введения
1 января 2022 года
1 ПОДГОТОВЛЕН Акционерным обществом "Научно-исследовательский институт охраны атмосферного воздуха" (АО "НИИ Атмосфера") на основе собственного перевода на русский язык англоязычной версии стандарта, указанного в
пункте 4
2 ВНЕСЕН Техническим комитетом по стандартизации ТК 457 "Качество воздуха"
3 УТВЕРЖДЕН И ВВЕДЕН В ДЕЙСТВИЕ
Приказом Федерального агентства по техническому регулированию и метрологии от 3 сентября 2021 г. N 920-ст
4 Настоящий стандарт идентичен международному стандарту ИСО 21832:2018 "Воздух рабочей зоны. Металлы и металлоиды в частицах, находящихся в воздухе. Требования к оценке процедур измерения" (ISO 21832:2018 "Workplace air - Metals and metalloids in airborne particles - Requirements for evaluation of measuring procedures", IDT).
При применении настоящего стандарта рекомендуется использовать вместо ссылочных международных и европейских стандартов соответствующие им национальные стандарты, сведения о которых приведены в дополнительном
приложении ДА
5 ВВЕДЕН ВПЕРВЫЕ
Правила применения настоящего стандарта установлены в статье 26 Федерального закона от 29 июня 2015 г. N 162-ФЗ "О стандартизации в Российской Федерации". Информация об изменениях к настоящему стандарту публикуется в ежегодном (по состоянию на 1 января текущего года) информационном указателе "Национальные стандарты", а официальный текст изменений и поправок - в ежемесячном информационном указателе "Национальные стандарты". В случае пересмотра (замены) или отмены настоящего стандарта соответствующее уведомление будет опубликовано в ближайшем выпуске информационного указателя "Национальные стандарты". Соответствующая информация, уведомление и тексты размещаются также в информационной системе общего пользования - на официальном сайте Федерального агентства по техническому регулированию и метрологии в сети Интернет (www.gost.ru)
Здоровье работников многих отраслей промышленности подвергается риску при вдыхании воздуха, содержащего токсичные металлы и металлоиды. Специалистам в области промышленной гигиены и охраны труда необходимо определять эффективность мероприятий, предпринимаемых для контроля вредных воздействий на работников, что обычно достигается путем определения содержания этих аэрозолей в воздухе рабочей зоны. В настоящем стандарте приведен доступный метод определения ультрамалых количеств широкого спектра металлов и металлоидов в воздухе рабочей зоны для оценки их воздействия на работников промышленных предприятий. Он предназначен для учреждений, занимающихся вопросами безопасности и гигиены труда; специалистов по промышленной гигиене и других специалистов в области общественного здравоохранения; аналитических лабораторий; промышленных предприятий, использующих указанные металлы и металлоиды.
Настоящий стандарт обеспечивает основу для оценки эффективности процедуры измерения металлов и металлоидов в соответствии с общими требованиями к выполнению измерения химических веществ в воздухе рабочей зоны в соответствии с ИСО 20581. Настоящий стандарт предоставляет возможность производителям и пользователям процедуры измерения содержания металлов и металлоидов в частицах, находящихся в воздухе, применять последовательный подход к валидации метода. Подробная информация приведена в
приложении B.
Настоящий стандарт может быть использован и в качестве основы для оценки эффективности процедуры измерения других химических веществ, которые присутствуют в воздухе, например капель серной кислоты.
Настоящий стандарт основан на положениях ЕН 13890:2009
[14], опубликованном Европейским комитетом по стандартизации (CEN).
Настоящий стандарт определяет требования к рабочим характеристикам процедур измерения концентрации металлов и металлоидов в частицах, находящихся в воздухе рабочей зоны, предварительно отобранных на подходящую подложку. Настоящий стандарт устанавливает метод оценки неопределенностей, связанных со случайными и систематическими ошибками, и их объединения для расчета расширенной неопределенности процедуры измерений в соответствии с ИСО 20581.
Настоящий стандарт применим к процедурам измерения, в которых отбор проб и анализ проводят на отдельных этапах, при этом указаны требования, предъявляемые к рабочим характеристикам отбора, транспортирования и хранения проб, так как они приведены в ЕН 13205-1 и ИСО 15767.
Настоящий стандарт не применим к процедурам измерения металлов или металлоидов, присутствующих в виде неорганического газа или пара (например, ртути, мышьяка) или к процедурам измерения металлов и металлоидов в соединениях, которые могут содержать смеси частиц/пара (например, триоксида мышьяка).
В настоящем стандарте использованы нормативные ссылки на следующие стандарты. Для датированных ссылок применяют только указанное издание ссылочного стандарта, для недатированных - последнее издание (включая все изменения).
ISO 3696, Water for analytical laboratory use - Specification and test methods (Вода для лабораторного анализа. Технические условия)
ISO 7708, Air quality - Particle size fraction definitions for health-related sampling (Качество воздуха. Определение гранулометрического состава частиц при санитарно-гигиеническом контроле)
ISO 13137, Workplace atmospheres - Pumps for personal sampling of chemical and biological agents - Requirements and test methods (Воздух рабочей зоны. Насосы для индивидуального отбора проб химических и биологических веществ. Требования и методы испытаний)
ISO 18158, Workplace air - Terminology (Воздух на рабочем месте. Терминология)
ISO 20581:2016, Workplace air - General requirements for the performance of procedures for the measurement of chemical agents (Воздух рабочей зоны. Общие требования к методам определения содержания химических веществ)
EN 13205-1, Workplace exposure - Assessment of sampler performance for measurement of airborne particle concentrations - Part 1: General requirements (Воздух рабочей зоны. Оценка характеристик приборов для определения содержания твердых частиц. Часть 1. Общие требования)
В настоящем стандарте применены термины по ИСО 18158, а также следующие термины с соответствующими определениями.
ИСО и МЭК содержат терминологические базы данных для использования в стандартизации по следующим адресам:
- электропедия МЭК, которая доступна по адресу: http://www.elctropedia.org/
- платформа онлайн-просмотра ИСО, которая доступна по адресу: http://www.iso.org/odp
3.1 проба для испытания (test sample): Проба, подготовленная для удовлетворения всех конкретных условий испытания.
[ИСО 11323:2010, 5.6]
3.2 раствор для испытания (test solution): Раствор, приготовленный в процессе растворения пробы и, при необходимости, подвергнутый любым дополнительным операциям, необходимым для последующего анализа.
[ИСО 8518:2001, 3.4.4]
Для процедур измерения, которые включает в себя процесс растворения пробы, инструментальный предел обнаружения (ИПО) определяют путем анализа холостых растворов. Для всех процедур измерения пределы обнаружения (ПО) и пределы количественного определения (ПКО) определяют путем анализа лабораторных холостых проб. Как правило, ПО и ПКО рассчитывают как трехкратное и десятикратное стандартное отклонение холостых измерений соответственно. Определенные ПКО затем оценивают в соответствии с требованиями к рабочим характеристикам, указанным в
5.2.1. В ИСО 18158 определены эти термины.
Аналитическое извлечение определяют различными методами в зависимости от характера оцениваемой процедуры измерения. Затем аналитическое извлечение оценивают в соответствии с требованиями к характеристикам эффективности, указанным в
5.2.2.
Для процедуры измерения растворимых соединений металлов и металлоидов аналитическое извлечение определяют анализом лабораторных холостых проб с добавлением стандартного рабочего раствора (за исключением процедур, включающих разработанный эмпирический метод растворения пробы, см.
A.1.1, для которого оно принято равным 100%).
Для процедуры измерения общего содержания металлов и металлоидов, которая включает растворение пробы, аналитическое извлечение определяют путем анализа чистых соединений, стандартных образцов или эталонных проб воздуха.
Для процедуры измерения общего содержания металлов и металлоидов, которая включает анализ пробы на пробоотборной подложке, аналитическое извлечение определяют путем анализа эталонных проб воздуха, анализа проб воздуха рабочей зоны, охарактеризованных путем последующего анализа с использованием стандартной процедуры, или это оценивается теоретически.
Неопределенность измерения оценивают с использованием структурированного подхода. Во-первых, для идентификации отдельных случайных и систематических составляющих неопределенности процедуры измерения строят причинно-следственную диаграмму. После упрощения с целью устранения любого двойного учета полученную диаграмму используют для определения составляющих неопределенности, учитываемых в расширенной неопределенности. Каждую из этих составляющих неопределенности затем оценивают или рассчитывают на основе экспериментальных данных, объединяют для получения оценки неопределенности процедуры измерения в целом и умножают на соответствующий коэффициент охвата для расчета расширенной неопределенности в соответствии с указаниями в
приложении C. В соответствии с
5.2.3 определенную расширенную неопределенность оценивают на основании общих требований к эффективности, указанных в ИСО 20581.
Примечание - Пример расчета расширенной неопределенности приведен в
приложении E.
5.1 Описание метода
5.1.1 Область применения
Область применения процедуры измерения должна включать, как минимум, следующую информацию:
a) металлы и металлоиды, на которые распространена процедура измерения;
b) аналитический(ие) метод(ы), используемый(ые) в процедуре измерения;
c) диапазон значений концентрации металлов и металлоидов в воздухе, для которого было показано, что процедура измерения соответствует критериям приемлемости для расширенной неопределенности, приведенным в ИСО 20581, вместе с соответствующим рекомендуемым объемом отобранного воздуха (например, от 0,01 до 0,5 мг/м3 для объема пробы воздуха 960 дм3);
d) все возможные формы и состояния металлов и металлоидов, для которых представленный способ подготовки пробы является неэффективным;
e) любые известные мешающие влияния.
Если процедура для измерения содержания конкретного металла или металлоида, который отвечает требованиям настоящего стандарта, отсутствует, следует использовать процедуру измерения, которая имеет характеристики эффективности, наиболее соответствующие указанным требованиям.
5.1.2 Эффективность метода
Для всех металлов и металлоидов, включенных в область применения, процедура измерения должна содержать исчерпывающую информацию об эффективности метода, включая следующее:
a) ПКО и, при необходимости, ПО процедуры измерения;
b) аналитическое извлечение для всех испытуемых материалов, для которых доказана эффективность метода пробоподготовки;
c) все случайные и систематические составляющие неопределенности процедуры измерения, а также их оценочные или экспериментально определенные значения и полученная в результате расширенная неопределенность;
d) полные сведения о любых мешающих влияниях, включая исчерпывающую информацию о минимизации их воздействия.
5.1.3 Информация по безопасности
Процедура измерения должна предоставлять информацию об угрозах безопасности, связанных с реагентами и оборудованием, используемыми в анализе.
5.1.4 Пробоотборники
В ходе процедуры измерения должны быть:
- использованы пробоотборники, предназначенные для отбора соответствующей фракции частиц в воздухе, согласно ИСО 7708, применимые к предельным значениям профессионального воздействия для металлов и металлоидов (например, пробоотборник вдыхаемой, торакальной или респирабельной фракции);
- представлены данные о том, что пробоотборники должны соответствовать положениям ЕН 13205-1;
- предусмотрены, если необходимо, такие меры для процедур, не включающих растворение пробы, как калибровка применяемого аналитического прибора [например, рентгенофлуоресцентная спектрометрия (РФС)].
5.1.5 Насосы для отбора проб
При проведении процедуры измерения следует использовать насосы для отбора проб, которые соответствуют положениям ИСО 13137.
5.1.6 Другие требования
При необходимости в процедуре измерения должны быть указаны другие требования (например, к подложке для отбора).
5.2 Требования к характеристикам эффективности
5.2.1 Предел количественного определения (ПКО)
Для каждого металла и металлоида, включенных в область применения процедуры измерения, должен быть определен нижний предел рабочего диапазона, который будет удовлетворительным для предполагаемой задачи измерения. Например, если задачей измерения является проверка соответствия долгосрочным предельным значениям профессионального воздействия (ПЗПВ), для расчета наименьшего количества металла или металлоида, когда оно должно быть определено при концентрации 0,1·ПЗПВ, используют формулу

, (1)
где mlow - нижний предел требуемого аналитического диапазона массы металла или металлоида, мкг;

- ПЗПВ для металла или металлоида, мг/м
3;
qv,a - расчетная скорость потока пробоотборника, дм3/мин;
ts,min - минимальное время отбора, мин.
Для тех процедур, которые включают растворение пробы, нижний предел требуемого рабочего диапазона рассчитывают для каждого металла и металлоида, мкг/см
3, путем деления нижнего предела требуемого рабочего диапазона, мкг, на объем испытуемого раствора, см
3. При испытании в соответствии с
8.1.2.1 определенные ПКО должны быть ниже, чем результирующие значения.
Для тех процедур, которые не включают растворение пробы, при испытании в соответствии с
8.1.2.2 определенные ПКО для каждого металла и металлоида должны быть меньше, чем нижний предел требуемого рабочего диапазона, мкг.
5.2.2 Аналитическое извлечение
При испытании в соответствии с одной из методик, указанных в
8.2, среднее аналитическое извлечение должно составлять не менее 90% для всех типов материалов, включенных в диапазон применения процедуры измерения, а коэффициент вариации аналитического извлечения должен быть менее 5%.
Примечание - Термин "коэффициент вариации" применен вместо понятия "относительное стандартное отклонение".
5.2.3 Расширенная неопределенность
Расширенная неопределенность процедуры измерения должна соответствовать требованиям, приведенным в ИСО 20581.
6.1 Реагенты
В ходе анализа могут быть использованы исключительно реагенты аналитической степени чистоты и вода, соответствующая требованиям ИСО 3696 для воды 2-го класса (удельная электропроводность менее 0,1 мСм/м, т.е. удельное сопротивление более 0,01 МОм·м, при температуре 25 °C).
Используемая вода должна быть получена из той системы очистки, которая производит деионизованную воду с удельным сопротивлением более 0,18 МОм·м (как правило, производители систем очистки воды указывают удельное сопротивление воды как 18 МОм·см).
Следует использовать стандартные растворы с концентрацией определяемых металлов и металлоидов, прослеживаемые к национальным и/или международным эталонам.
При применении коммерческих стандартных растворов следует соблюдать срок годности, рекомендуемый или указанный производителем.
6.3 Материалы для испытаний
Для каждого металла или металлоида необходимо использовать материалы для испытаний, являющиеся представительными для веществ, которые могут присутствовать в воздухе рабочей зоны.
Материалы для испытаний должны быть чистыми соединениями известного состава, сертифицированными стандартными образцами (CRM) или другими четко охарактеризованными материалами (например, материалами, охарактеризованными при межлабораторном сличении).
При использовании CRM следует соблюдать инструкции поставщика.
При установленном ПЗПВ для конкретного соединения данное соединение должно быть включено в перечень стандартных образцов.
Для процедуры измерения, предназначенной для общего применения, перечень стандартных образцов должен включать соединения и материалы промышленного назначения, а также соединения и материалы, которые могут быть получены в результате трудовой деятельности.
Примечание 1 - Важно, чтобы размер частиц стандартных образцов был максимально приближен к размеру анализируемых частиц, поскольку по сравнению с крупными объемными материалами вдыхаемые частицы часто намного меньше и легче растворимы.
Примечание 2 - CRM, которые были охарактеризованы в отношении применения растворения пробы конкретным методом, могут не подходить для использования в качестве материала для испытания.
6.4 Контрольные пробы воздуха
В качестве контрольных проб следует использовать пробы, отобранные на фильтр (например, взвешенные в воздухе частицы, уловленные на фильтрах с использованием системы одновременного отбора нескольких проб), имеющие установленную или измеренную загрузку определяемого металла или металлоида. Загрузка должна быть в пределах рабочего диапазона метода.
Когда не требуется растворение пробы, следует рассматривать специальные методы для подготовки контрольных проб воздуха (см.
A.3).
Используют типичное лабораторное оборудование в целом и в частности следующее:
7.1 Система для нанесения известного объема стандартного раствора на подложки для отбора пробы с точностью 1%.
7.2 Аналитические весы, способные взвешивать 0,01 мг, откалиброванные гирями, прослеживаемыми к соответствующему национальному эталону, проверенные перед использованием с помощью контрольной гири.
7.3 Прибор или приборы для анализа каждого определяемого металла или металлоида.
8.1 Пределы обнаружения и количественного определения
8.1.1 Инструментальный предел обнаружения (ИПО)
Для процедур измерения, которые включают растворение пробы, анализируют калибровочный холостой раствор не менее десяти раз в условиях повторяемости.
Если отсутствует измеряемый отклик аналитического прибора, готовят испытательный раствор с определенными значениями концентраций металлов или металлоидов относительно инструментальных пределов обнаружения путем разбавления стандартных растворов
(6.2) с соответствующим коэффициентом. Анализируют испытательный раствор не менее десяти раз в условиях повторяемости.
Примечание - ИПО используется для выявления изменений в эффективности прибора, но не совпадает с пределом обнаружения метода. ИПО, вероятно, будет ниже, чем предел обнаружения метода, потому что он учитывает только изменчивость между отдельными инструментальными показаниями; результаты определения, полученные по одному раствору, не учитывают вклад в изменчивость от матрицы или пробы.
8.1.2 Пределы обнаружения и количественного определения метода
8.1.2.1 Для тех процедур измерения, которые включают растворение пробы, готовят не менее 10 испытательных лабораторных холостых растворов, следуя методу подготовки пробы, описанному в процедуре измерения, и анализируют испытательные растворы на наличие определяемых металлов или металлоидов в условиях повторяемости.
Если аналитический прибор не может измерить отклик, добавляют 10 лабораторных проб с соответствующим объемом рабочего стандартного раствора, содержащего соответствующие установленные массы определенных металлов или металлоидов, таким образом, чтобы полученные из них испытательные растворы имели концентрации, близкие к пределам обнаружения. Готовят испытательные растворы из лабораторных проб, содержащих рабочий стандартный раствор, следуя методу подготовки пробы, описанному в процедуре измерения, и анализируют испытательные растворы на наличие металлов или металлоидов в условиях повторяемости.
Рассчитывают предел обнаружения и предел количественного определения для каждого определяемого металла или металлоида как трехкратное и десятикратное стандартное отклонение соответственно
[22].
8.1.2.2 Для тех процедур измерения, которые не включают растворение пробы, анализируют не менее 10 лабораторных проб в условиях повторяемости.
Рассчитывают предел обнаружения и предел количественного определения для каждого определяемого металла или металлоида как трехкратное и десятикратное стандартное отклонение соответственно.
8.1.2.3 Сравнивают полученные пределы количественного определения с требованиями
5.2.1.
8.2 Аналитическое извлечение
8.2.1 Общие положения
Для определения аналитического извлечения применяют разные методы испытания в зависимости от используемого метода пробоподготовки. Они подробно изложены в 8.2.2,
8.2.3 и
8.2.4 и
приложении A.
8.2.2 Процедуры измерения растворимых соединений металлов и металлоидов
8.2.2.1 Процедуры измерения, включающие растворение пробы разработанным эмпирическим методом
Если отсутствуют ограничения (см.
A.1.2) для процедур, включающих растворение пробы, аналитическое извлечение принимают равным 100% для растворимых соединений металлов и металлоидов (см.
A.1.1) на основе разработанного эмпирического метода.
8.2.2.2 Другие процедуры измерения
Для тех процедур измерения, которые не включают растворение пробы на основе разработанного эмпирического метода или для которых может возникнуть проблема химической совместимости между аналитом и подложкой, готовят минимум шесть повторяющихся испытательных проб, добавив лабораторные холостые растворы с соответствующим объемом рабочего стандартного раствора, содержащего установленную массу определенного металла или металлоида. Затем для приготовления испытательных растворов из проб используют метод растворения пробы и анализируют полученные растворы, применяя аналитический метод, описанный в процедуре измерения.
Для определения аналитического извлечения во всем рабочем диапазоне процедуры измерения повторяют испытание с лабораторными холостыми растворами с добавками других масс определенного металла или металлоида.
Рассчитывают среднее аналитическое извлечение и коэффициент вариации для каждого из проведенных испытаний и сравнивают результаты с требованиями
5.2.2. Если требования не выполнены, применяют корректирующие меры (например, используют альтернативную подложку для отбора), если это возможно, и проводят повторное испытание на предмет определения аналитического извлечения.
8.2.3 Процедуры измерения общего содержания металлов и металлоидов, которые включают растворение пробы
8.2.3.1 Определение аналитического извлечения с использованием чистых соединений
Готовят минимум шесть испытательных растворов из каждого соединения из выбранных чистых соединений
(6.3), используя метод пробоподготовки, представленный в процедуре измерения. Используют массу чистого соединения, которую можно взвесить с точностью не менее 1%. Анализируют испытательные растворы, как описано в процедуре измерения.
Примечание - Как правило, отсутствует необходимость включать водорастворимые соединения в количество испытуемых соединений.
Предпочитают использовать наименьшую массу чистого соединения, которую можно легко взвесить, увеличивая объем реагентов и регулируя конечный объем испытуемого раствора таким образом, чтобы эксперимент был максимально представительным для анализа проб воздуха рабочей зоны.
8.2.3.2 Определение аналитического извлечения с использованием стандартных образцов
Следуют тому порядку проведения испытания, который приведен в
8.2.3.1 для чистых соединений. Используют соответствующую массу каждого из выбранных стандартных образцов
(6.3), принимая во внимание содержание каждого определяемого металла или металлоида и инструкции поставщика о минимальном количестве материала, которые требуются для однородности образца.
Предпочитают использовать наименьшую массу стандартного образца, которую можно легко взвесить, увеличивая объем реагентов и регулируя конечный объем исследуемого раствора таким образом, чтобы эксперимент был как можно более представительным для анализа проб воздуха рабочей зоны.
8.2.3.3 Определение аналитического извлечения с использованием контрольных проб воздуха
Используют испытательные растворы как минимум из шести контрольных проб воздуха
(6.4), применяя методику, описанную в процедуре измерения.
8.2.3.4 Сравнение результатов с критериями приемлемости
Рассчитывают среднее аналитическое извлечение и коэффициент вариации для каждого из проведенных испытаний и сравнивают результаты с требованиями
5.2.2. Если требования к испытуемому материалу не выполнены, испытание на определение аналитического извлечения может быть повторено с использованием материала с меньшим размером частиц и/или большего объема реагентов. Если требования не выполнены, материалы типа, аналогичного соответствующему испытательному материалу, должны быть исключены из области применения процедуры измерения.
8.2.4 Процедуры измерения, которые не связаны с растворением пробы
8.2.4.1 Экспериментальное определение аналитического извлечения
8.2.4.1.1 Контрольные пробы воздуха
Анализируют минимум шесть контрольных проб воздуха
(6.4), используя методику, описанную в процедуре измерения.
8.2.4.1.2 Пробы воздуха рабочей зоны
Анализируют минимум шесть проб воздуха рабочей зоны, используя метод, описанный в процедуре измерения. Затем повторно анализируют пробы, используя независимую процедуру измерения с установленным аналитическим извлечением, чтобы получить эталонные значения для каждого определяемого металла или металлоида.
8.2.4.1.3 Сравнение результатов с критериями приемлемости
Рассчитывают среднее аналитическое извлечение и коэффициент вариации для каждого из проведенных испытаний и сравнивают результаты с требованиями
5.2.2. Если требования не выполняются, необходимо убедиться, что ограничения процедуры измерения полностью приведены в области ее применения.
8.2.4.2 Теоретическая оценка аналитического извлечения
Оценивают аналитическое извлечение путем теоретического рассмотрения принципов применяемой процедуры и сравнивают результаты с требованиями аналитического извлечения в
5.2.2.
Примечание - Например, максимальная загрузка пробы для количественного определения металлов и металлоидов в воздухе с помощью рентгеновской флуоресцентной спектрометрии может быть оценена теоретически согласно
[20].
8.3 Неопределенность измерения
8.3.1 Идентификация случайных и систематических составляющих неопределенности
В
таблице B.1 приведен перечень случайных и систематических составляющих неопределенности, которые следует учитывать.
8.3.2 Оценка отдельных составляющих неопределенности
8.3.2.1 Общие положения
Для каждой из значимых составляющих неопределенности, приведенных в
8.3.1, оценивают отдельные неопределенности или рассчитывают их на основе экспериментальных данных, как определено в
8.3.2.2 -
8.3.2.6, в соответствии с указаниями, приведенными в
приложении C.
При возможности, конвертируют диапазон +/-
A в систематическую составляющую неопределенности, равную

, предполагая прямоугольное распределение вероятностей, или в систематическую составляющую неопределенности, равную

, предполагая треугольное распределение вероятности, в зависимости от ситуации.
8.3.2.2 Неопределенность, связанная с объемом пробы воздуха
Проводят оценку случайной и систематической составляющих неопределенности отобранного объема воздуха, руководствуясь рекомендациями в
C.2.
Если оценка неопределенности измерения осуществлена для общего использования опубликованного метода, оценивают наихудший случай соответствующих составляющих неопределенности.
Если оценку неопределенности измерения проводят для использования метода в конкретных условиях (например, конкретной организацией, использующей конкретное оборудование для отбора проб и протокол отбора проб), оценивают компоненты неопределенности для конкретного специфического оборудования (например, расходомер, насос для отбора проб, секундомер), принимая во внимание любые дополнительные требования протокола отбора (например, количество измерений расхода, время отбора).
8.3.2.3 Неопределенность, связанная с эффективностью отбора проб
Проводят оценку случайной и систематической составляющих неопределенности для пробоотборников аэрозоля, руководствуясь рекомендациями в
C.3.
8.3.2.4 Неопределенность, связанная с хранением и транспортированием пробы
Проводят оценку систематической составляющей неопределенности, связанную с хранением и транспортированием пробы, руководствуясь рекомендациями в
C.4.
8.3.2.5 Неопределенность, связанная с аналитическим извлечением
Проводят оценку аналитического извлечения и систематических составляющих неопределенности, связанных с аналитической изменчивостью, руководствуясь рекомендациями в
C.5.
8.3.2.6 Неопределенность, связанная с аналитической изменчивостью
Проводят оценку случайных составляющих неопределенности, связанных с аналитической изменчивостью, руководствуясь рекомендациями в
C.6.
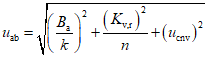
8.3.3 Расчет расширенной неопределенности
Рассчитывают расширенную неопределенность процедуры измерения путем объединения случайных и систематических составляющих неопределенности отбора и аналитической неопределенности (см.
C.7.1,
C.7.2 и
C.7.3) и умножения на коэффициент охвата, равный двум (см.
C.8).
Протокол испытаний должен включать, как минимум, следующее:
a) ссылку на настоящий стандарт;
b) идентификационные данные испытательной лаборатории, включая краткую информацию о любой соответствующей области аккредитации;
c) идентификационные данные процедуры измерения;
d) информацию об оборудовании для отбора проб, для которого оценена эффективность процедуры;
e) информацию об используемых стандартных образцах и о подготовке контрольных проб воздуха;
f) краткое описание испытательного аналитического метода, включая информацию об используемых аналитических приборах;
g) информацию об использовании методов испытаний, перечисленных в
разделе 8;
h) список определяемых металлов и/или металлоидов;
i) информацию о любой невключенной операции, которая может повлиять на результаты;
j) результаты испытаний;
k) заключение о выполнении/невыполнении критериев приемлемости и в каком объеме отобранной пробы воздуха;
l) техническое обоснование для исключения соответствующих испытаний.
(справочное)
РУКОВОДСТВО ПО ОПРЕДЕЛЕНИЮ АНАЛИТИЧЕСКОГО ИЗВЛЕЧЕНИЯ
A.1 Методики определения растворимых соединений металлов и металлоидов
A.1.1 Как правило, методики определения растворимых соединений металлов и металлоидов в частицах, находящихся в воздухе рабочей зоны, включают метод растворения пробы, основанный на опыте, т.е. растворимые соединения металлов и металлоидов определяют в соответствии с конкретным раствором выщелачивания и условиями выщелачивания, предписанными или предусмотренными для растворения проб при установлении соответствующих ПЗПВ. (Для растворимых соединений металлов и металлоидов, у которых ПЗПВ не имеет соответствующей предписанной процедуры измерения, следует использовать методику растворения пробы, приведенную в ИСО 15202-2
[5].) Это связано с тем, что растворимость, за исключением соединений, которые имеют крайне высокую или крайне низкую растворимость в воде, зависит от природы раствора для выщелачивания и других факторов, таких как размер частиц, соотношение растворенное вещество/растворитель, температура и т.д. Следовательно, по определению аналитический метод дает 100%-ное извлечение, а аналитическое смещение равно нулю.
A.1.2 Однако существуют такие обстоятельства, при которых методики определения растворимых соединений металлов и металлоидов в частицах, находящихся в воздухе рабочей зоны, могут давать неверные результаты. В частности, результаты могут быть неверными, если растворимое соединение реагирует с подложкой для отбора или загрязняющим веществом на ней с образованием нерастворимого соединения. Например, низкое извлечение будет получено для растворимых соединений серебра, если используемый фильтр загрязнен хлоридом
[15]. Поэтому следует учитывать химическую совместимость при выборе подложек для отбора проб растворимых соединений металлов и металлоидов. Дополнительная информация приведена в ИСО 15202-1
[4]. Если предполагается, что может быть проблема с химической совместимостью, следует проводить испытания для подтверждения того, что аналитическое извлечение является удовлетворительным.
A.2 Методики, которые включают растворение пробы
A.2.1 Большинство процедур измерения металлов и металлоидов в частицах, находящихся в воздухе, включают растворение пробы, например: методики, в которых анализ проводят с помощью атомно-абсорбционной спектрометрии (ААС), атомно-эмиссионной спектрометрии с индуктивно-связанной плазмой (АЭС-ИСП) и масс-спектрометрии с индуктивно-связанной плазмой (МС-ИСП). Основным источником аналитического смещения для этого типа методики обычно является неполное растворение металлов или металлоидов. Поэтому аналитическое смещение можно оценить, проверив эффективность метода растворения пробы на ряде соответствующих, положительно оцениваемых сыпучих материалов (например, стандартных образцов или чистых соединений определяемого металла или металлоида).
A.2.2 Аналитический метод, как правило, не должен демонстрировать смещение. Если существуют четко идентифицируемые типы проб, для которых процедура измерения в целом не подходит, так как метод растворения проб дает недопустимые результаты извлечения, они должны быть исключены из процедуры.
A.2.3 В некоторых случаях использование результатов, полученных в ходе анализа стандартных образцов и/или чистых соединений, может приводить к недостоверной оценке аналитического смещения, так как пробы воздуха, содержащие наименьшее количество материала с наименьшим размером частиц, значительно легче растворить. В этом случае можно получить более уместную оценку аналитического смещения, повторяя эксперименты по растворению проб на испытательных фильтрах, подготовленных путем создания однородного облака пыли из испытуемого материала и отбора повторных проб с использованием многопортового устройства для отбора проб.
A.3 Методики, которые не включают растворение проб
Некоторые процедуры измерения частиц соединений металлов и металлоидов в частицах, находящихся в воздухе рабочей зоны, включают анализ проб на подложке для отбора с использованием неразрушающего метода (например, рентгеновской флуоресцентной спектрометрии). Такие методики измерения могут демонстрировать аналитическое смещение, обусловленное физическими или химическими различиями между пробами и калибровочными материалами. Поэтому необходимо разработать специальные эксперименты для испытания этих методик или оценить аналитическое смещение путем теоретического рассмотрения происходящих процессов. В некоторых случаях может оказаться возможным изготовить испытательные пробы, пригодные для использования при оценке аналитического смещения, путем нанесения стандартных образцов или чистых соединений на подложки для отбора контролируемым образом. Однако необходимо убедиться в том, что различия в характеристиках осаждения проб между испытательными пробами и пробами воздуха рабочей зоны, которые могли бы существенно повлиять на результаты, отсутствуют.
(справочное)
ЭКСПЕРИМЕНТЫ ДЛЯ ВАЛИДАЦИИ МЕТОДА
В таблице B.1 приведен пример проведения испытания по валидации метода отбора проб и анализа металлов и металлоидов в частицах, находящихся в воздухе рабочей зоны, в соответствии с требованиями настоящего стандарта.
Таблица B.1
Задача | | Измеряемая величина | Количество проб | Требования |
Аналитическая повторяемость | Фильтры с 0,1; 0,5; 2 ПЗПВ 0,5; 2 КС-ПЗПВ | Среднеквадратичное отклонение | 6 | Коэффициент вариации менее 5% |
Инструментальный предел обнаружения (см. 8.1.1) | Холостые растворы | Трехкратное среднеквадратичное отклонение (холостой градуировочный стандартный раствор) | >= 10 | Общая масса аналита менее 0,03 ПЗПВ |
Предел обнаружения, предел количественного определения (см. 8.1.2) | Холостые растворы пробы с фильтром | Трехкратное (для ПО) и десятикратное (для ПКО) среднеквадратичное отклонение (холостые пробы или пробы с добавлением стандартного раствора при оценке ПКО) | >= 10 | ПКО меньше или равно 0,1 ПЗПВ |
Аналитическое извлечение (включая растворения частиц) (см. 8.2) | Фильтры с 0,1; 0,5; 2 ПЗПВ 0,5; 2 КС-ПЗПВ | Чистые соединения | >= 6 | Более 90% |
Воспроизводимость (включая растворения частиц) | Фильтры с 0,1 ПЗПВ до 2 ПЗПВ | a) Сертифицированные стандартные образцы (предпочтительно); b) контрольные пробы воздуха | >= 6 | Коэффициент вариации менее 5% |
| Фильтры с 0,1; 2 ПЗПВ | Испытание на хранение не менее 4 нед | >= 3 в день | Извлечение более 90% |
<a> ПЗПВ 8 ч: 0,1; 0,5; 2 ПЗПВ для 0,1 ПЗПВ x 30 мин, 0,5 ПЗПВ x 120 мин, 2 ПЗПВ x 480 мин соответственно; КС-ПЗПВ: 0,5; 2 КС-ПЗПВ для 0,5 КС-ПЗПВ x 15 мин, 2 КС-ПЗПВ x 15 мин соответственно. (КС-ПЗПВ расшифровывают как краткосрочное предельное значение профессионального воздействия.) <b> При необходимости испытание на хранение может быть сокращено (например, для As 2O 3, Cr VI). |
(справочное)
ОЦЕНКА НЕОПРЕДЕЛЕННОСТИ ИЗМЕРЕНИЯ
Процедура измерения химических веществ в частицах, находящихся в воздухе, включает два основных этапа: отбор проб и анализ.
Ниже приведен типичный, но неисключительный перечень случайных и систематических составляющих неопределенности:
a) отбор проб:
1) неопределенность, связанная с объемом пробы воздуха (см.
C.2),
2) неопределенность, связанная с эффективностью отбора проб (см.
C.3),
3) неопределенность, связанная с хранением и транспортированием пробы (см.
C.4),
b) анализ:
1) неопределенность, связанная с аналитическим извлечением (см.
C.5),
2) неопределенность, связанная с прецизионностью аналитической процедуры (см.
C.6.3.1 или
C.6.4.1),
4) неопределенность, связанная с разбавлением растворов проб, если это применимо (см.
C.6.3.4 или
C.6.4.4),
5) неопределенность, связанная с дрейфом отклика прибора (см.
C.6.3.5 или
C.6.4.5),
6) неопределенность, связанная с холостой подложкой (см.
C.6.5).
Дополнительные указания, не содержащиеся в этом приложении, см. в ссылках
[17],
[18] и Руководстве ИСО/МЭК 98-3
[9].
C.2 Неопределенность, связанная с объемом пробы воздуха
См. ИСО 20581:2016, C.2.1.
C.3 Неопределенность, связанная с эффективностью отбора проб
Этап отбора проб пробоотборником для частиц в воздухе должен следовать положениям об отборе соответствующей фракции частиц, связанных со здоровьем, как приведено в ИСО 7708. Методы отбора проб в аэрозоле имеют случайные и систематические составляющие неопределенности, которые возникают из-за того, насколько близко используемые пробоотборники соответствуют требуемым правилам отбора проб.
В документах
[12] и
[13] представлены две методики испытаний для определения правильности отбора требуемой аэрозольной фракции. В методике, приведенной в
[12], это делается путем определения кривой средней эффективности отбора проб из отдельных значений эффективности отбора проб испытуемого пробоотборника как функции аэродинамического диаметра частиц. Эффективность отбора проб рассчитывают на основе концентрации аэрозоля, определенной с использованием проб из испытанного пробоотборника, деленной на концентрацию аэрозоля в окружающей среде, оцененную по значениям изокинетического пробоотборника по крайней мере для девяти аэродинамических размеров частиц.
В методике, представленной в
[13], это делается путем сравнения концентрации, измеренной потенциальным пробоотборником, и концентрации, измеренной валидированным (эталонным) пробоотборником, по крайней мере для трех испытательных аэрозолей с сильно различающимися распределениями частиц по размерам. Кривую эффективности отбора проб, используя методику
[13], определить невозможно.
C.3.2 Неопределенность пробоотборников аэрозоля, испытанных в соответствии с методом ЕН 13205-2
C.3.2.1 Принцип
В этой методике эффективность отбора проб определена как функция аэродинамического диаметра частиц.
C.3.2.2 Источники неопределенности эффективности отбора проб
Эффективность отбора имеет следующие составляющие неопределенности:
- калибровку системы испытания пробоотборника (см.
C.3.2.3);
- оценку концентрации отобранных аэрозолей (см.
C.3.2.4);
- смещение относительно правил по отбору проб (см.
C.3.2.5);
- отклонение потока от номинальной скорости потока (для пробоотборников вдыхаемой и торакальной фракций) (см.
C.3.2.6);
- изменчивость отдельных пробоотборников (для пробоотборников респирабельной и торакальной фракций) (см.
C.3.2.7).
C.3.2.3 Калибровка системы испытания пробоотборника
В правильно спроектированном и проведенном испытании случайные и систематические составляющие неопределенности, связанные с калибровкой испытательной системы пробоотборника, должны быть незначительными. Составляющие могут быть рассчитаны путем распределения ошибок от неопределенности, связанной с диаметром калибровочных частиц (и, возможно, путем использования калибровочных функций для размера частиц), до неопределенности, связанной с отобранной массовой долей (см. документы
[12] и
[10]).
C.3.2.4 Оценка значения концентрации отобранного аэрозоля
Случайная составляющая неопределенности, связанная со средней концентрацией отобранного аэрозоля, зависит от того, насколько полно модель, используемая для оценки эффективности отбора проб, описывает данные об эффективности отбора. Как для метода полигональной аппроксимации, так и для метода подбора кривой, описанного в
[12], случайную составляющую неопределенности рассчитывают путем распределения ошибок, как неопределенности, включенной в каждый из этих методов, так и неопределенности рассчитанной концентрации аэрозоля (см. документы
[12] и
[10]).
C.3.2.5 Смещение относительно правил по отбору проб
Вариабельность смещения концентрации аэрозоля в пробе обусловлена разницей между средней фактической эффективностью отбора проб испытуемого пробоотборника и условием отбора проб. Систематическую составляющую неопределенности средней концентрации аэрозоля в пробе, обусловленной разницей между средней кривой эффективности и пробоотбора испытуемого пробоотборника, и правила по отбору проб рассчитывают в соответствии с
[12].
C.3.2.6 Отклонение потока от номинальной скорости потока (для пробоотборников респирабельной и торакальной фракций)
Проницаемость пробоотборников при отборе нормативов по респирабельной и торакальной фракциям в значительной степени зависит от скорости потока проб. Систематическую составляющую неопределенности, связанную с отклонением потока от номинальной скорости потока, рассчитывают по ошибке в расходе и изменчивости отобранной массовой доли, как указано в
[12]. Эта составляющая неопределенности включает в себя неопределенность отобранного объема воздуха (см.
C.2).
C.3.2.7 Индивидуальная изменчивость пробоотборника (для пробоотборников респирабельной и торакальной фракций)
Случайную составляющую неопределенности, связанную с изменчивостью отдельных пробоотборников вдыхаемой, торакальной или респирабельной фракции, рассчитывают в соответствии с
[12] на основе измеренных/вычисленных среднеквадратичных отклонений значения концентрации аэрозоля, отобранного отдельными испытательными пробоотборниками.
C.3.3 Неопределенность аэрозольных пробоотборников, испытанных в соответствии с методом ЕН 13205-4
C.3.3.1 Общие принципы
В этом методе эффективность отбора проб определена путем сравнения концентрации, измеренной испытуемым и проверенным эталонным пробоотборником.
C.3.3.2 Составляющие неопределенности эффективности отбора проб
Эффективность отбора проб имеет следующие составляющие неопределенности:
- концентрацию испытательного аэрозоля (эталонное содержание), определенную с использованием утвержденного(ых) эталонного(ых) пробоотборника(ов) (см.
C.3.3.3);
- смещение пробоотборника (см.
C.3.3.5);
- изменчивость отдельных пробоотборников (для пробоотборников респирабельной и торакальной фракций) (см.
C.3.3.6);
- отклонение потока от номинальной скорости потока (пробоотборников респирабельной и торакальной фракций) (см.
C.3.3.7).
C.3.3.3 Концентрация аэрозоля (эталонное содержание), определенная с использованием утвержденного эталонного пробоотборника
Случайную составляющую неопределенности, связанную с концентрацией испытательного аэрозоля (эталонного содержания), определяют непосредственно исходя из экспериментальных данных, как указано в
[13].
C.3.3.4 Контрольный пробоотборник
Систематическую составляющую неопределенности, связанную с измерениями концентрации, выполненными с использованием эталонного пробоотборника, определяют на основе данных отчета об его испытании. Случайную составляющую неопределенности, связанную с измерениями концентрации, выполненными с использованием эталонного пробоотборника, включают в неопределенность концентрации испытательного аэрозоля (эталона) (см.
C.3.3.3).
C.3.3.5 Смещение пробоотборника
Среднее систематическое различие между испытуемом и контрольным пробоотборниками имеет случайные и систематические составляющие неопределенности, которые рассчитывают согласно с
[13].
C.3.3.6 Индивидуальная изменчивость пробоотборника (пробоотборников респирабельной и торакальной фракций)
Случайная составляющая неопределенности, связанная с изменчивостью отдельных пробоотборников, может быть определена в соответствии с
[13] при условии, что несколько пробоотборников одного типа включены в испытание характеристик эффективности.
C.3.3.7 Отклонение потока от номинальной скорости потока (пробоотборников респирабельной и торакальной фракций)
Проницаемость пробоотборников респирабельной и торакальной фракций существенно зависит от скорости потока. Систематическую составляющую неопределенности, связанную с отклонением потока от номинальной скорости потока, рассчитывают по ошибке (отклонения скорости потока) вариабельности отобранной массы, как указано в
[13]. Эта составляющая неопределенности включает в себя неопределенность отобранного объема воздуха (см.
C.2).
C.3.4 Неопределенность для аэрозольных пробоотборников
C.3.4.1 Пробоотборники вдыхаемой фракции
C.3.4.1.1 Экспериментальные данные
Определены экспериментальные данные расширенной неопределенности измерений для пробоотборников вдыхаемой фракции, которые приведены в таблице C.1.
Таблица C.1
Расширенная неопределенность измерений для пробоотборников
вдыхаемой фракции [экспериментальные данные, предоставленные
Дж. Лиденом, М. Бриссоном, частное сообщение,
13 февраля 2017 г.]
Тип пробоотборника | Процедура измерения | Скорость потока, дм3/мин | Расширенная неопределенность, % |
7-hole | MDHS 14/4 Вдыхаемая фракция пыли <a> | 2,0 | 13,9 |
IOM | MDHS 14/4 Вдыхаемая фракция пыли <a> | 2,0 | 36,8 |
GSP | BGIA # 7284 Вдыхаемая фракция пыли <b> | 3,5 | 16,2 |
CIP 10-I |  M-279 Вдыхаемая фракция пыли <c> | 10 | 47,7 |
FH37-CF | MTA/MA-014/A88 Вдыхаемая пыль, закрытый держатель 37 мм фильтра <d> | 2,0 | 34,9 |
FH37-OF | Metodserien #1010 Вдыхаемая фракция пыли, открытый держатель 37 мм фильтра <e> | 2,0 | 49,5 |
Примечание - Данные, представленные в этой таблице, относятся к расширенной (k = 2) неопределенности измерений только для пробы, исключая межлабораторную неопределенность. -------------------------------- <a> Исполнительный орган по здравоохранению и безопасности (Великобритания), http://www.hse.gov.uk <b> Институт охраны труда (Германия), https://www.dguv.de/ifa/index.jsp <c> Национальный институт исследований и безопасности (Франция), http://www.inrs.fr <d> Национальный институт безопасности и гигиены труда (Испания), http://www.insht.es <e> Шведское управление рабочей среды (Швеция), https://www.av.se |
C.3.4.1.2 Оценки для общего использования
Следующие оценки составляющих неопределенности, которые использованы в проекте Европейского союза BC/CEN/ENTR/000/2002-16 "Аналитические методы для химических веществ", могут быть применены для пробоотборников вдыхаемой фракции, не перечисленных в
таблице C.1 [19]:
- калибровка системы испытания пробоотборника (систематическая) 0,5%;
- оценка отобранной концентрации (случайная) 4%;
- смещение относительно правила по отбору проб (систематическое) 7,5%.
В
[11] приведены примеры пробоотборников вдыхаемой фракции, которые были доступны на рынке до 2004 г. и потенциально могли соответствовать требованиям ИСО 7708 и ЕН 13205-1.
C.3.4.2 Пробоотборники респирабельной фракции
C.3.4.2.1 Экспериментальные данные
Определены экспериментальные данные для расширенной неопределенности измерений выбранных пробоотборников респирабельной фракции, которые приведены в таблице C.2.
Таблица C.2
Расширенная неопределенность измерений выбранных
пробоотборников респирабельной фракции [экспериментальные
данные, предоставленные Дж. Лиденом, М. Бриссоном,
частное сообщение, 13 февраля 2017 г.]
Тип пробоотборника | Процедура измерения | Скорость потока, дм3/мин | Расширенная неопределенность, % |
Higgins-Dewell 9.5 Cyclone | BGIA # 6068 Респирабельная фракция пыли HD9.5 <a> | 2,0 | 45,8 |
Higgins-Dewell 9.5 Cyclone | MDHS 14/4 Респирабельная фракция пыли <b> | 2,2 | 18,8 |
Higgins-Dewell 9.5 Cyclone | NMAM 0600 Респирабельная фракция пыли <c> | 2,2 | 18,8 |
Higgins-Dewell 9.5 Cyclone | BGIA 6068 Респирабельная фракция пыли HD2.5 <a> | 10 | 50,5 |
Dorr-Oliver DO-10 (Nylon) | MDHS 14/4 Респирабельная фракция пыли <b> | 1,7 | |
Dorr-Oliver DO-10 (Nylon) | NMAM 0600 Респирабельная фракция пыли <c> | 1,7 | 21,5 |
GK-26.9 | MDHS 14/4 Респирабельная фракция пыли <b> | 4,2 | 18,8 |
CIP 10-R |  M-281 Респирабельная фракция пыли <e> | 10 | 39,4 |
Примечание - Данные, представленные в этой таблице, относятся к расширенной (k = 2) неопределенности измерений только для пробы, исключая межлабораторную неопределенность. -------------------------------- <a> Институт охраны труда (Германия), https://www.dguv.de/ifa/index.jsp <b> Исполнительный орган по здравоохранению и безопасности (Великобритания), http://www.hse.gov.uk <c> Национальный институт безопасности и гигиены труда (США), https://www.cdc.gov/niosh/index.htm <d> Расширенная неопределенность в 0,1 раза больше, чем ПЗПВ, составляет 20,6%; в 0,5 и 2,0 раза больше, чем ПЗПВ, - 23,2%. <e> Национальный институт исследований и безопасности (Франция), http://www.inrs.fr |
C.3.4.2.2 Оценки для общего пользования
Следующие оценки составляющих неопределенности могут быть применены для респираторных пробоотборников, не указанных в
таблице C.2, которые оптимизированы для отбора вдыхаемой фракции частиц в воздухе, в соответствии с ИСО 7708:
- калибровка системы испытания пробоотборника (систематическая) 1%;
- оценка отобранной концентрации (случайная) 1%;
- смещение относительно правила по отбору проб (систематическое) 8%;
- отклонение потока от номинального расхода для пробоотборников на основе инерции, например циклоны и импакторы:
(когда объем пробы рассчитывается из номинальной скорости потока) 3%;
(когда объем пробы рассчитывается из средней скорости потока) 6%;
- индивидуальная изменчивость пробоотборника 7%.
Оценка неопределенности, связанной со смещением относительно правила по отбору проб, приведенного выше, предполагает, что номинальная скорость потока, указанная для пробоотборника, находится в пределах 5% от оптимального значения для отбора вдыхаемой фракции частиц в воздухе. В
[11] приведены примеры респирабельных пробоотборников (без оптимальных скоростей потока), которые были доступны на рынке до 2004 года и потенциально могли соответствовать требованиям ИСО 7708 и ЕН 13205-1.
Систематическая составляющая неопределенности, связанная с отклонением от номинальной скорости потока для пробоотборников на основе инерции, выше, когда объем пробы рассчитывают исходя из средней скорости потока в отличие от расчета исходя из номинальной скорости потока, так как пробоотборники вдыхаемой фракции (на основе инерционного разделения) в значительной степени самокомпенсируются при отклонениях от номинального расхода
[23].
Систематическая составляющая неопределенности, связанная с отклонением потока от номинальной скорости потока для пробоотборников на основе седиментации (например, горизонтальный элюатор), может быть рассчитана теоретически.
C.3.5 Эффективность подложки для отбора
C.3.5.1 Фильтрующие материалы
Фильтрующие материалы должны быть выбраны таким образом, чтобы иметь высокую эффективность отбора частиц определенного диапазона размеров, и в этом случае неопределенность, связанная с эффективностью отбора, незначительна (см. ИСО 15767
[7]).
C.3.5.2 Вспененный материал
Когда в качестве подложки для отбора используют вспененный материал, эффективность отбора проб и эффективность накопления пробы взаимосвязаны, и необходимость добавлять составляющие неопределенности отсутствует.
C.4 Неопределенность, связанная с хранением и транспортировкой пробы
Металлы, металлоиды и их неорганические соединения, как правило, стабильны. Однако, при необходимости, неопределенность, связанная с хранением проб, может быть оценена путем анализа повторных проб, отобранных из испытательной атмосферы с использованием многопортового пробоотборника или подготовленных путем добавления стандартных соединений в средства для отбора проб.
Предполагая прямоугольное распределение вероятностей, неопределенность, связанную с хранением пробы, вычисляют по формуле

, (C.2)
где ust - относительная среднеквадратичная неопределенность, связанная с хранением пробы;

- разница между средними результатами повторных проб, проанализированными непосредственно после отбора или приготовления проб, и средними результатами проб, проанализированными после максимального времени хранения, %.
Транспортирование проб аэрозоля, как правило, имеет систематическую составляющую неопределенности, связанную с потерями с подложки для отбора во время транспортирования, которая может быть определена исходя из критерия приемлемости для верхнего предела потери проб при транспортировании, который согласно ЕН 13205-1 и ИСО 15767
[7] составляет менее 5%. Поэтому для тех методов, которые валидированы в соответствии с этими стандартами, компонент неопределенности, связанный с транспортированием, составляет

, предполагая прямоугольное распределение вероятностей.
Если в процедуре измерения указано более жесткое требование для верхнего предела потери пробы при транспортировании или если такое требование указано в протоколе отбора проб, который будет использован в сочетании с процедурой измерения, составляющая неопределенности транспортирования должна быть рассчитана исходя из диапазона приемлемых значений, предполагая прямоугольное распределение вероятностей.
Если предположить, что потери при транспортировании пробы пренебрежимо малы, эту составляющую неопределенности можно не учитывать.
C.5 Неопределенность, связанная с аналитическим извлечением
Смещение, как правило, устраняют при разработке аналитического метода, но это не всегда возможно. В соответствии с Руководством ИСО/МЭК 98-3
[9] результаты измерений должны быть скорректированы с учетом смещения, если оно является значительным. Однако это часто неосуществимо в процедурах измерения металлов и металлоидов в пробах воздуха рабочей зоны, так как аналитическая неопределенность может варьироваться в зависимости от матрицы пробы. Аналитическое извлечение, следовательно, следует оценивать и рассматривать как составляющую неопределенности.
Систематическая составляющая неопределенности аналитического извлечения может быть оценена исходя:
- из результатов анализа стандартных образцов и/или чистых соединений (см.
C.5.2);
- результатов межлабораторных сличений (см.
C.5.3);
- результатов испытаний на извлечение, проведенных на лабораторных холостых пробах (с добавлением стандартных растворов) (см.
C.5.4);
- диапазона приемлемых значений смещения (см.
C.5.5);
или его можно принять равным нулю для процедур, включающих пробоподготовку, основанную на эмпирической подготовке проб (см.
C.5.6).
C.5.2 Анализ стандартных образцов и/или чистых соединений
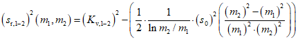
C.5.2.1 Оценка систематической составляющей неопределенности аналитического извлечения может быть проведена путем определения аналитического извлечения, когда испытание метода выполняют на установленных материалах, таких как стандартные образцы или чистые соединения металлов и металлоидов, являющиеся представителями веществ, которые могут присутствовать в воздухе рабочей зоны. Это может быть достигнуто путем повторного анализа одного стандартного образца или чистого соединения или, предпочтительно, повторного анализа нескольких стандартных образцов и/или чистых соединений. Испытательные пробы должны быть проанализированы как минимум в пяти аналитических сериях (например, в пять разных дней).
C.5.2.2 Если используется один стандартный образец или чистое соединение, относительную стандартную неопределенность аналитического извлечения (систематическая) вычисляют по формуле

, (C.3)
где uab - относительная стандартная неопределенность аналитического извлечения, %;
Ba - смещение среднего результата повторных анализов для стандартных образцов или чистого соединения от сертифицированного или номинального значения, %;
k - коэффициент охвата, используемый при расчете расширенной неопределенности (см.
C.8);
Kv,r - коэффициент вариации повторных проб, %;
n - количество проанализированных проб CRM или чистого соединения;
ucnv - относительная стандартная неопределенность сертифицированного или номинального значения, % (например, 95%-ный доверительный интервал, деленный на 1,96 для преобразования в стандартную неопределенность, затем деление на средний результат и умножение на 100, преобразует ее в относительную неопределенность).
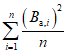
C.5.2.3 Если использовано несколько разных стандартных образцов или чистых соединений, относительную стандартную неопределенность аналитического извлечения (систематическую), как правило, вычисляют по формуле

, (C.4)
где

- среднеквадратичное смещение, %,
где Ba,i - смещение среднего результата для i-го стандартного образца или чистого соединения;
n - общее количество проанализированных стандартных образцов и/или чистых соединений;

- относительная стандартная неопределенность измерений сертифицированных или номинальных значений, анализируемых стандартных образцов и/или чистых соединений, %.
C.5.3 Межлабораторные сличения
Оценка систематической составляющей неопределенности аналитического смещения может быть проведена по результатам межлабораторных сличений, как приведено в
[18]. Однако этот подход имеет ограниченную применимость в случае процедур измерения для металлов и металлоидов в воздухе рабочей зоны.
Результаты межлабораторного сличения, как правило, не учитывают при оценке неопределенности смещения для процедур, которые включают растворение пробы. Это связано с тем, что испытательные пробы, используемые в большинстве межлабораторных сравнений, представляют собой подложки с отобранной пробой с добавлением стандартного раствора, и анализ таких проб не позволяет проверить эффективность метода растворения проб. Однако в тех случаях, когда это не так (например, для межлабораторных сличений, в которых испытательные пробы готовят путем осаждения частиц в воздухе на подложках), или в тех случаях, когда растворение проб не вызывает сложностей (например, процедуры измерения для растворимых металлов и металлоидов), использование результатов межлабораторных сличений - это надлежащий подход для оценки неопределенности аналитического смещения.
Результаты межлабораторного сличения также можно использовать для оценки неопределенности смещения для тех методов, которые не включают растворение пробы (например, методы рентгеновской флуоресценции), но только если можно показать, что физические различия между испытательными пробами и пробами воздуха рабочей зоны не окажут существенного влияния на результаты.
Процедура оценки неопределенности аналитического извлечения из межлабораторных сличений аналогична той, которую используют для нескольких различных стандартных образцов и чистых соединений. Для предоставления качественной оценки аналитического смещения лаборатория должна участвовать в межлабораторных сравнениях не менее шести раз в течение определенного периода времени.
Относительную стандартную неопределенность (систематическую) аналитического смещения вычисляют по формуле

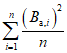
, (C.5)
где

- среднеквадратичное смещение, %,
где Ba,i - смещение результата для i-й пробы межлабораторного сравнения;
n - общее количество проанализированных проб межлабораторного сравнения;

- относительная стандартная неопределенность измерений контрольного значения

, %,
где Kv,bL - средний межлабораторный коэффициент вариации для межлабораторных сличений;
n - среднее число участников межлабораторных сличений.
Оценки неопределенности по результатам межлабораторного сличения, как правило, немного выше, чем при использовании результатов анализа стандартных образцов. Отчасти это связано с тем, что сертифицированные значения стандартных образцов более четко определены, чем номинальные или назначенные значения при межлабораторном сличении.
C.5.4 Анализ подложек для отбора с добавлением стандартных растворов
Оценка систематической составляющей неопределенности аналитического смещения может быть проведена по результатам анализа подложек для отбора с добавлением стандартных растворов, во многом аналогично результатам межлабораторных сравнений. Однако этот подход применим к тем методам, по которым определяют растворимые металлы и металлоиды, и к тем методам, которые не включают растворение пробы, но только в том случае, если можно показать, что любые физические различия между пробами для испытаний и пробами воздуха рабочей зоны не окажут существенного влияния на результаты.
В лабораторные холостые пробы должны быть добавлены установленные объемы стандартного раствора, содержащего один или несколько определенных аналитов, при нескольких различных уровнях содержания аналита в рабочем диапазоне метода. Пробы для испытания должны быть проанализированы как минимум в пяти аналитических сериях (например, в пять разных дней).
Относительную стандартную неопределенность (систематическую) аналитического смещения вычисляют по формуле

, (C.6)
где

- среднеквадратичное смещение, %,
где Ba,i - смещение среднего результата для i-й добавки от его номинального значения;
n - номер добавки, на которой определено смещение;

- относительная стандартная неопределенность измерений номинальных значений добавок, %.
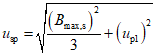
При условии, что один и тот же стандартный раствор использован при добавлении в среду для отбора проб и при приготовлении калибровочных растворов, принимая прямоугольное распределение вероятностей для смещения объема раствора, дозируемого микропипеткой, и предполагая, что влияние температуры на дозируемый объем носит незначительный характер, относительную неопределенность номинального значения добавки, в свою очередь, вычисляют по формуле

, (C.7)
где Bmax,s - максимальное смещение объема раствора, дозируемого микропипеткой, используемой для его добавления на подложку, %;
up1 - относительная неопределенность объема раствора, дозируемого микропипеткой, используемой для его добавления на подложку, %.
C.5.5 Допустимый диапазон смещения
Те из методов, которые входят в широкий диапазон матриц проб, определяют допустимый диапазон смещения, в пределах которого должно быть продемонстрировано, что метод работает при использовании в конкретной лаборатории для конкретного применения
[4],
[5] и
[6]. В таких случаях относительная стандартная неопределенность аналитического смещения (систематическая) может быть оценена исходя из приемлемого диапазона, предполагая прямоугольное распределение вероятностей, по формуле

, (C.8)
где uab - относительная стандартная неопределенность аналитического смещения, %;
Bmax,m - максимальное смещение, указанное в методе, %.
C.5.6 Процедуры, включающие разработанный метод подготовки на основе опыта
Неопределенность аналитического извлечения можно принять равной нулю для тех процедур измерения, которые включают в себя разработанный, основанный на опыте метод подготовки пробы, такой как методики для растворимых металлов и металлоидов в воздухе рабочей зоны, так как аналитическое извлечение составляет по определению 100% (см.
A.1).
C.6 Неопределенность, связанная с аналитической изменчивостью
Оценка неопределенности, связанной с аналитической изменчивостью, может быть проведена по данным аналитической прецизионности, полученным либо в условиях повторяемости (см.
C.6.3), либо в условиях воспроизводимости (см.
C.6.4). В обоих случаях необходимо проводить отдельные оценки неопределенности для любых источников систематической ошибки, где это применимо (например, систематическая составляющая неопределенности, связанная с концентрацией калибровочных стандартов) (см.
C.6.3.2 и
C.6.4.2), функцией калибровки (см.
C.6.3.3 и
C.6.4.3), разбавлением раствора пробы (см.
C.6.3.4 и
C.6.4.4) и дрейфом отклика прибора (см.
C.6.3.5 и
C.6.4.5). Когда аналитическую прецизионность определяют по данным внутрилабораторной прецизионности (например, с использованием данных контроля качества), то включают в расчет большинство случайных и систематических составляющих неопределенности. Более подробная информация приведена в
[8].
C.6.2 Диапазон загрузок проб, при которых должна быть оценена аналитическая изменчивость
Для каждого металла и металлоида, для которого должна быть проведена оценка аналитической изменчивости, загрузку подложки пробой рассчитывают с учетом задачи измерения, для которой должна быть оценена эффективность процедуры. Полученные значения загрузки должны гарантировать, что достигнуто достаточное время отбора проб и отобрано необходимое количество металла или металлоида для того, чтобы гарантировать сбор данных для оценки расширенной неопределенности для соответствующих диапазонов измерения (см. ИСО 20581).
В таблицах C.3 и
C.4 приведены условия, при которых должна быть указана аналитическая изменчивость для всесторонней оценки эффективности процедуры измерений для сравнения с ПЗПВ. Тем не менее во многих случаях может быть выполнено сокращенное испытание. В этом случае рекомендуемая процедура должна начинаться с рассмотрения двух значений экстремальной загрузки (указанных жирным курсивом в таблицах C.3 и
C.4), и при ее проведении должны использовать результаты для оценки неопределенности процедуры измерения. Если данное требование к неопределенности по ИСО 20581 будет выполнено для обоих значений экстремальной загрузки, то они будут соблюдены во всех случаях, и дальнейшие значения загрузки не следует рассматривать.
Таблица C.3
Условия для расчета загрузки проб
при сравнении с кратковременными ПЗПВ
Время отбора пробы | Концентрация металлов или металлоидов в воздухе |
Низкое | Высокое |
15 мин | 0,5 ПЗПВ x 15 мин | 2 ПЗПВ x 15 мин |
При несоблюдении данного требования необходимо будет проверить эффективность процедуры измерения при других значениях загрузки до тех пор, пока не будет получена достаточная информация о времени отбора проб и диапазонах измерения, для которых соблюдены требования ИСО 20581.
Загрузки проб должны быть рассчитаны для номинальной скорости потока используемых пробоотборников, то есть скорости потока, предназначенной для сбора предполагаемой фракции частиц в воздухе.
Примечание - При необходимости можно также протестировать другие промежуточные загрузки пробы, например при отборе проб в течение 4 ч или при содержании 1 ПЗПВ.
Таблица C.4
Условия для расчета загрузки проб для сравнения
со средневзвешенными по времени ПЗПВ за период 8 ч
Время отбора пробы | Концентрация металлов или металлоидов в воздухе |
Низкое | Среднее | Высокое |
30 мин | 0,1 ПЗПВ x 30 мин | 0,5 ПЗПВ x 30 мин | 2 ПЗПВ x 30 мин |
120 мин | 0,1 ПЗПВ x 120 мин | 0,5 ПЗПВ x 120 мин | 2 ПЗПВ x 120 мин |
480 мин | 0,1 ПЗПВ x 480 мин | 0,5 ПЗПВ x 480 мин | 2 ПЗПВ x 480 мин |
| | | |
C.6.3 Оценка с использованием данных повторяемости
C.6.3.1 Аналитическая прецизионность
C.6.3.1.1 Оценка по данным, полученным исходя из анализа подложек для отбора с добавлением стандартного раствора
Для каждой из загрузок проб, при которых должна быть определена аналитическая изменчивость (см.
C.6.2), оценка аналитической прецизионности может быть проведена путем добавления шести лабораторных холостых проб с соответствующим объемом рабочего стандартного раствора, содержащего указанную массу каждого определенного металла и металлоида, а также путем подготовки и анализа проб для испытаний, как описано в процедуре измерения, и расчета коэффициента вариации.
C.6.3.1.2 Оценка по данным, полученным путем интерполяции среднеквадратичного отклонения
В качестве альтернативы для каждой из загрузок проб, при которой должна быть определена аналитическая изменчивость (см.
C.6.2), оценка аналитической прецизионности может быть проведена на основе данных, полученных при конкретной загрузке пробы или в диапазоне загрузок проб, используя метод интерполяции, описанный в
приложении D. Это наиболее востребовано при оценке аналитической прецизионности в случае опубликованных методов, для которых имеются ограниченные данные о характеристиках эффективности метода.
C.6.3.1.3 Теоретическая оценка
В некоторых случаях можно оценить аналитическую прецизионность при каждой требуемой загрузке пробы теоретически (например, для метода рентгенофлуоресцентной спектрометрии оценка аналитической прецизионности может быть проведена путем подсчета статистики с использованием экспериментально определенных данных о чувствительности).
C.6.3.2 Калибровочные стандартные растворы
C.6.3.2.1 Коммерческие стандартные растворы
C.6.3.2.1.1 Систематическая составляющая неопределенности, связанная с содержанием целевого компонента в коммерческом стандартном растворе, может быть оценена по диапазону сертифицированного значения, указанного изготовителем. Предполагая прямоугольное распределение вероятностей, относительную стандартную неопределенность, связанную с концентрацией стандартного раствора, вычисляют по формуле

, (C.9)
где uss1 - относительная неопределенность, связанная с концентрацией коммерческого стандартного раствора, %;
Bmax,ss1 - максимальное отклонение концентрации коммерческого стандартного раствора от доверительного интервала, указанного в сертификате, предоставленном производителем, %.
C.6.3.2.1.2 Систематическая составляющая неопределенности, связанная с содержанием целевого компонента в стандартном растворе, может быть оценена исходя из 95%-ного доверительного интервала сертифицированного значения и коэффициента охвата, указанного изготовителем. Например, для стандартного раствора (1000 +/- 3) мг/дм3 относительная стандартная неопределенность равна 0,3/k, где k - коэффициент охвата.
C.6.3.2.2 Стандартные растворы, изготовленные на заказ
Оценка систематической составляющей неопределенности, связанной с концентрацией изготовленного на заказ стандартного раствора, может быть проведена по неопределенности весов, используемых для взвешивания чистого соединения, на основе которого приготовлен раствор, и для максимального смещения значения емкости мерной колбы, в которой он был подготовлен. Предполагая прямоугольное распределение вероятностей и то, что влияние температуры на объем раствора и вклад неопределенности используемого чистого соединения пренебрежимо малы, систематическую составляющую неопределенности можно вычислить по формуле

, (C.10)
где uss2 - относительная неопределенность, связанная с концентрацией изготовленного на заказ стандартного раствора, %;
Kv,b - коэффициент вариации весов, используемых для взвешивания чистого соединения для приготовления исходного стандартного раствора, %;
Bmax,f - максимальное смещение значения емкости мерной колбы, в которой исходный стандартный раствор изготовлен, от доверительного интервала, указанного в сертификате, предоставленном производителем, %;
uVf - относительная неопределенность объема мерной колбы, %.
C.6.3.2.3 Контрольные пробы воздуха
Если контрольные пробы воздуха (см.
6.4) используют для калибровки в тех процедурах, которые не включают растворение пробы, необходимо учитывать систематическую составляющую неопределенности, связанную с загрузкой пробы.
C.6.3.3 Градуировочная кривая
Случайная составляющая неопределенности, связанная с градуировочной кривой, может быть рассчитана на основе параметров, полученных с помощью линейной регрессии методом наименьших квадратов
[16].
Допустимая оценка случайной составляющей неопределенности, связанной с градуировочной кривой, составляет 2% и может быть использована в большинстве случаев. Это значение применено в проекте EC BC/CEN/ENTR/000/2002-16
[19].
C.6.3.4 Разбавление растворов проб (если применимо)
Если растворы проб разбавляют перед проведением анализа, необходимо учитывать случайные и систематические составляющие неопределенности, связанные с процессом разбавления.
Случайная составляющая неопределенности представляет собой относительную неопределенность объема раствора, дозируемого микропипеткой, используемой для разбавления растворов проб, которую вычисляют по формуле

, (C.11)
где udi,r - случайная составляющая неопределенности (относительной неопределенности), связанная с разбавлением растворов проб, %;
up2 - относительная неопределенность объема раствора, дозируемого микропипеткой, используемой для разбавления растворов проб, %;
uVf - относительная неопределенность объема мерной колбы, %.
Предполагая прямоугольные распределения вероятностей для смещения значения объема микропипетки и мерных колб, используемых при разбавлении растворов проб, систематическую составляющую неопределенности, связанную с разбавлением растворов проб, udi,nr, %, вычисляют по формуле

, (C.12)
где Bmax,s - максимальное смещение объема раствора, дозируемого микропипеткой, используемой для разбавления растворов проб, %;
Bmax,f - максимальное смещение значения емкости мерных колб, используемых при разбавлении растворов проб в соответствии со спецификацией производителя, %.
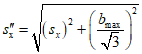
C.6.3.5 Дрейф отклика прибора
Максимальный дрейф отклика прибора, как правило, определяют методы и лабораторные процедуры измерения (часто отслеживают путем повторного анализа калибровочного раствора). Эту систематическую составляющую неопределенности также необходимо принимать во внимание. Предполагая прямоугольное распределение вероятностей, относительную стандартную неопределенность, связанную с дрейфом отклика прибора, udr, %, вычисляют по формуле

, (C.13)
где dmax - максимальный дрейф отклика прибора, разрешенный в методе или лабораторной процедуре измерения, %.
C.6.4 Оценка с использованием данных о внутрилабораторной прецизионности
C.6.4.1 Аналитическая прецизионность
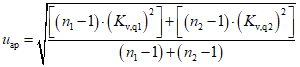
Оценка неопределенности, связанной с аналитической изменчивостью, может быть проведена на основании данных внутрилабораторной прецизионности, полученных исходя из анализа проб контроля качества, лабораторных холостых проб с добавленными низкими и высокими массами определенных металлов и металлоидов (например, массы, эквивалентные 10% и 90% рабочего диапазона процедуры измерения). Необходимо учитывать долгосрочные случайные отклонения, поэтому используемые данные должны соответствовать результатам анализа проб контроля качества, проведенного в течение нескольких месяцев.
Относительную стандартную неопределенность, связанную с аналитической прецизионностью, вычисляют по формуле

, (C.14)
где uap - относительная стандартная неопределенность, связанная с аналитической прецизионностью, %;
Kv,q1 - коэффициент вариации результатов для первой пробы контроля качества, %;
n1 - количество результатов для первой пробы контроля качества;
Kv,q2 - коэффициент вариации результатов для второй пробы контроля качества, %;
n2 - количество результатов для второй пробы контроля качества.
C.6.4.2 Концентрация градуировочных растворов
C.6.4.3 Градуировочная кривая
В условиях внутрилабораторной прецизионности случайную составляющую неопределенности, связанную с градуировочной кривой, включают в оценку аналитической прецизионности (см.
C.6.4.1), и отдельная оценка неопределенности не требуется.
C.6.4.4 Разбавление растворов проб (если применимо)
C.6.4.5 Дрейф отклика прибора
C.6.5.1 Общие положения
Если в результат оценки пробы введена поправка на холостой опыт, то или случайная составляющая неопределенности, связанная с холостой подложкой, должна быть включена в общую неопределенность, или систематическая составляющая неопределенности, если поправку на холостую подложку не вводят.
C.6.5.2 Пересчет аналитической прецизионности с учетом случайной составляющей неопределенности, связанной с холостой подложкой.
Для каждой загрузки пробы, при которой должна быть определена аналитическая изменчивость (см.
C.6.2), расчетный коэффициент вариации (см.
C.6.3.1 и
C.6.4.1) конвертируется в стандартное отклонение и объединяется со стандартным отклонением лабораторной холостой пробы с использованием формулы

, (C.15)
где s'x - стандартное отклонение измерения скорректированного на холостую пробу для массы аналита, mx;
sx - стандартное отклонение измерения массы аналита, mx;
s0 - стандартное отклонение n холостых измерений проб для массы аналита, m0.
Для каждой загрузки пробы результирующее стандартное отклонение затем преобразуется обратно в коэффициент вариации для того, чтобы получить аналитическую прецизионность скорректированного измерения.
C.6.5.3 Систематическая составляющая неопределенности, связанная с отсутствием холостой подложки
Для каждой загрузки пробы, при которой должна быть определена аналитическая изменчивость (см.
C.6.2), расчетный коэффициент вариации (см.
C.6.3.1 и
C.6.4.1) конвертируется в стандартное отклонение и объединяется с неопределенностью лабораторной холостой пробы с использованием формулы

, (C.16)
где s"x - стандартное отклонение измерения, не скорректированного на холостую пробу для массы аналита, mx;
sx - стандартное отклонение измерения массы аналита, mx;
bmax - максимальное значение для лабораторной холостой пробы, разрешенное в методе или оцененное по предыдущим данным.
Для каждой загрузки пробы результирующее стандартное отклонение затем преобразуется обратно в коэффициент вариации для того, чтобы получить аналитическую прецизионность нескорректированного измерения.
C.7 Расчет суммарной неопределенности
C.7.1 Случайные и систематические составляющие неопределенности отбора проб и анализа
Для расчета случайных и систематических составляющих неопределенности отбора проб и анализа соответствующие отдельные составляющие неопределенности объединяются в соответствии со следующими формулами:

, (C.17)

, (C.18)

, (C.19)

, (C.20)
где

,

,

и

- случайная составляющая неопределенности отбора проб, систематическая составляющая неопределенности отбора проб, случайная составляющая неопределенности анализа и систематическая составляющая неопределенности анализа, соответственно;

,

,

и

- соответствующие отдельные составляющие неопределенности;

,

,

и

- соответствующие номера отдельных составляющих неопределенности.
C.7.2 Случайные и систематические составляющие неопределенности процедуры измерения
Случайную составляющую неопределенности процедуры измерения в целом

рассчитывают по формуле

. (C.21)
Систематическую составляющую неопределенности процедуры измерения в целом

рассчитывают по формуле

, (C.22)
C.7.3 Суммарная стандартная неопределенность процедуры измерения
Суммарную стандартную неопределенность процедуры измерения uc рассчитывают по формуле

, (C.23)
C.8 Расчет расширенной неопределенности
Расширенную неопределенность процедуры измерения U рассчитывают с использованием коэффициента охвата k = 2 по формуле
U = 2·uc. (C.24)
(справочное)
ИНТЕРПОЛЯЦИЯ СРЕДНЕКВАДРАТИЧНОГО ОТКЛОНЕНИЯ
Оценку неопределенности, связанной с аналитической изменчивостью, как правило, проводят с использованием данных аналитической прецизионности, полученных в условиях повторяемости (см.
C.6.3). Однако данные повторяемости иногда доступны только с учетом ограниченного числа экспериментов или для масс аналита, не соответствующих условиям (объему пробы воздуха, ПЗПВ и т.д.), для которых требуются оценки неопределенности. Следовательно, оценить среднеквадратичные отклонения при массах, отличных от тех, для которых имеются экспериментальные данные, возможно путем интерполяции. Этого можно достичь, используя модель для расчета интерполированного значения среднеквадратичного отклонения
s(m) для массы аналита
m. При применении данной модели выдвигают различные предположения о поведении среднеквадратичного отклонения, которое является функцией массы аналита. Хотя эти допущения не проверены, интерполированное значение - это наиболее достоверная оценка среднеквадратичного отклонения в отличие от значения, рассчитанного по ограничивающему коэффициенту вариации, существующему выше определенной массы.
Модель может быть вычислена по формуле
s(m)2 = (s0)2 + (srm)2, (D.1)
где согласно формуле

. (D.2)
На практике s0 аппроксимируется s(m0) по формуле

. (D.3)
На практике sr аппроксимируется s(m)/mx. Далее приведено, каким образом выбрать mx.
Надежность этой модели существенно зависит от того, насколько объективно выбраны значения
m0 и
mx, и во многих случаях, например при оценке расширенной неопределенности процедуры измерения на основе опубликованных данных об эффективности, информация об этом отсутствует. При возможности следует выбирать
m0 таким образом, чтобы оно было близко к верхнему пределу
m, для которого стандартное отклонение
s(m) является постоянным (т.е.

). Кроме того,
mx следует выбирать так, чтобы он был близок к нижнему пределу, для которого коэффициент вариации
s(
m)/
m является постоянным (т.е.

равен коэффициенту вариации аналитического метода).
Если в диапазоне масс (m1, m2) установлен средний коэффициент вариации или как постоянный в диапазоне, то коэффициент вариации Kv,1-2 можно рассчитать по формуле

. (D.4)
С другой стороны, если коэффициент вариации установлен только для конкретной массы m3, то коэффициент вариации Kv,3 можно рассчитать по формуле

. (D.5)
Для двух случаев коэффициента вариации Kv,1-2 в диапазоне масс от m1 до m2 или Kv,3 для одной массы m3 соответствующее значение sr вычисляют по формуле

, (D.6)
или по формуле

. (D.7)
Рассчитанное значение sr является приближенным на основе разреженных данных и зависит от тех фактических значений m0, m1 и m2 или m0 и m3, для которых установлена аналитическая прецизионность.
Для того чтобы рассчитать стандартное отклонение
sv при любой массе
my, значение
sr(
sr,1-2 или
sr,3) по
формулам (D.6) или
(D.7) подставляют в формулу
(sy)2 = (Kv,y·my)2 = (s0)2 - (sr·my)2. (D.8)
Ниже приведен пример интерполяции среднеквадратичного отклонения для кристаллического кремнезема методом дифракции рентгеновских лучей
[21].
Предел обнаружения метода (ПОМ) равен 5 мкг, s0 = 5/3 мкг, Kv,1-2 = 0,08, m1 = 50 мкг и m2 = 200 мкг. Рассчитанное значение sr,1-2 равно 0,078. Интерполированное стандартное отклонение в диапазоне от 5 до 200 мкг кристаллического кремния приведено в таблице D.1.
Таблица D.1
Интерполированное среднеквадратичное
отклонение и коэффициент вариации
Масса аналита mx, мкг | Среднеквадратичное отклонение sx, мкг | Коэффициент вариации Kv, % |
5 | 1,71 | 34,2 |
10 | 1,82 | 18,4 |
25 | 2,54 | 10,2 |
50 | 4,2 | 8,4 |
60 | 4,9 | 8,2 |
80 | 6,4 | 8,0 |
100 | 7,9 | 7,9 |
150 | 11,8 | 7,8 |
200 | 15,6 | 7,8 |
(справочное)
ПРИМЕР ДЛЯ ОЦЕНКИ РАСШИРЕННОЙ НЕОПРЕДЕЛЕННОСТИ
В таблицах E.1 -
E.3 приведены примеры для оценки расширенной неопределенности для процедуры измерения хрома в воздухе, когда растворение пробы происходит с помощью HNO
3/HClO
4 (см.
[9]).
Таблица E.1
Оценка расширенной неопределенности
Параметр | Ссылка | Данные | Неопределенность, % |
Отбор пробы (случайная) | Анализ (случайная) | Отбор пробы (систематическая) | Анализ (систематическая) |
Объем пробы воздуха | |
Калибровка расходомера при условии использования массового расходомера | - | - | - | - | 0,6 | - |
Показание расходомера при условии использования массового расходомера | - | - | 2,0 | - | - | - |
Стабильность потока насоса, т.е. в соответствии с ИСО 13137, +/- 5% | - | 5% | - | - | 2,9 | - |
Минимальное время отбора пробы, установленное в методе | - | 30 мин | - | - | 1,4 | - |
Максимальное время отбора пробы, установленное в методе | - | 480 мин | - | - | 0,1 | - |
Эффективность отбора проб, пробоотборники вдыхаемой фракции (ЕН 13205-2) | |
Калибровка испытательной системы пробоотборника | | - | - | - | 0,5 | - |
Оценка отобранной концентрации | | - | 4 | - | - | - |
Отклонение от правила по отбору проб | | - | - | - | 7,5 | - |
Хранение и транспортирование пробы | |
Хранение при условии отсутствия потерь | | - | - | - | - | - |
Транспортирование, требования ЕН 13205-1 и [7] с потерями менее 5% | | 5% | - | - | 2,9 | - |
Аналитическое извлечение (подложки для отбора с добавлением стандартных растворов) | |
Среднеквадратичное отклонение значений смещения | - | - | - | - | - | 3,8 |
Неопределенность объема раствора, дозируемого микропипеткой (2%) | - | 2% | - | - | - | - |
Расчетная относительная неопределенность номинального значения добавки | - | - | - | - | - | 2,1 |
ПКО, указанный в процедуре, мкг | - | 1 мкг | - | - | - | - |
Среднеквадратичное отклонение холостого значения, мкг, рассчитанное по ПКО | - | 0,1 мкг | - | - | - | - |
Средняя аналитическая прецизионность по диапазону масс аналита, % (относительное стандартное отклонение) | - | 1,9% | - | - | - | - |
Масса нижнего предела диапазона аналита, по которому определена прецизионность | - | 12 мкг | - | - | - | - |
Масса верхнего предела диапазона аналита, по которому определена прецизионность | - | 960 мкг | - | - | - | - |
Аналитическая прецизионность при 0,1 ПЗПВ (0,5 мг/м3) для объема проб воздуха 60 дм3 | | 0,11 мкг | - | - | - | - |
Аналитическая прецизионность при 2 ПЗПВ (0,5 мг/м3) для объема проб воздуха 960 дм3 | | 18 мкг | - | - | - | - |
Аналитическая прецизионность при 0,1 ПЗПВ (0,5 мг/м3) для объема проб воздуха 60 дм3 | | 0,15 мкг | - | 5,1 | - | - |
Аналитическая прецизионность при 2 ПЗПВ (0,5 мг/м3) для объема проб воздуха 960 дм3 | | 18 мкг | - | 1,9 | - | - |
Стандартные растворы (концентрация сертифицирована с точностью до +/- 0,5%) | | 0,5% | - | - | - | 0,3 |
Функция калибровки (типичная неопределенность 2%) | | 2% | - | 2 | - | - |
Разбавление растворов проб (без разбавления) | | - | - | - | - | - |
Дрейф отклика прибора (максимально допустимый дрейф +/- 5%) | | 5% | - | - | - | 2,9 |
Неопределенность для измерений при 0,1 ПЗПВ (0,05 мг/м3) с объемом пробы воздуха 60 дм3 |
Суммарные случайные и систематические составляющие неопределенности | | - | 4,5 | 5,5 | 8,7 | 5,2 |
Неопределенность для измерений при 2 ПЗПВ (1 мг/м3) с объемом пробы воздуха 960 дм3 |
Суммарные случайные и систематические составляющие неопределенности | | - | 4,5 | 2,7 | 8,6 | 5,2 |
Таблица E.2
Неопределенность для измерений при 0,1 ПЗПВ (0,05 мг/м3)
с объемом пробы воздуха 60 дм3
Составляющая неопределенности | Ссылки на соответствующий раздел | Неопределенность, % |
Суммарная случайная составляющая неопределенности | | 7,1 |
Суммарная систематическая составляющая неопределенности | | 10,1 |
Суммарная стандартная составляющая неопределенности процедуры измерения | | 12,3 |
Расширенная неопределенность | | 24,7 |
Таблица E.3
Неопределенность для измерений при ПЗПВ (1 мг/м
3)
с объемом пробы воздуха 960 дм3
Составляющая неопределенности | Ссылки на соответствующий раздел | Неопределенность, % |
Суммарная случайная составляющая неопределенности | | 5,2 |
Суммарная систематическая составляющая неопределенности | | 10,0 |
Суммарная стандартная составляющая неопределенности процедуры измерения | | 11,3 |
Расширенная неопределенность | | 22,6 |
(справочное)
СВЕДЕНИЯ О СООТВЕТСТВИИ ССЫЛОЧНЫХ ЕВРОПЕЙСКИХ
И МЕЖДУНАРОДНЫХ СТАНДАРТОВ НАЦИОНАЛЬНЫМ СТАНДАРТАМ
Таблица ДА.1
Обозначение ссылочного международного, европейского стандарта | Степень соответствия | Обозначение и наименование соответствующего национального стандарта |
ISO 3696 | MOD | ГОСТ Р 52501-2005 (ИСО 3696:1987) "Вода для лабораторного анализа. Технические условия" |
ISO 7708 | IDT | ГОСТ Р ИСО 7708-2006 "Качество воздуха. Определение гранулометрического состава частиц при санитарно-гигиеническом контроле" |
ISO 13137 | IDT | ГОСТ Р ИСО 13137-2016 "Воздух рабочей зоны. Насосы для индивидуального отбора проб химических и биологических веществ. Требования и методы испытаний" |
ISO 18158 | - | |
ISO 20581:2016 | - | |
EN 13205-1 | - | |
<*> Соответствующий национальный стандарт отсутствует. До его принятия рекомендуется использовать перевод на русский язык данного международного стандарта. Примечание - В настоящей таблице использованы следующие условные обозначения степени соответствия стандартов: - IDT - идентичные стандарты; - MOD - модифицированные стандарты. |
[1] | ISO 3534-1:2006 | Statistics - Vocabulary and symbols - Part 1: General statistical terms and terms used in probability |
[2] | ISO 8518:2001 | Workplace air - Determination of particulate lead and lead compounds - Flame or electrothermal atomic absorption spectrometric method |
[3] | ISO 11323:2010 | Iron ore and direct reduced iron - Vocabulary |
| ISO 15202-1 | Workplace air - Determination of metals and metalloids in airborne particulate matter by inductively coupled plasma atomic emission spectrometry - Part 1: Sampling |
| ISO 15202-2 | Workplace air - Determination of metals and metalloids in airborne particulate matter by inductively coupled plasma atomic emission spectrometry - Part 2: Sample preparation |
| ISO 15202-3 | Workplace air - Determination of metals and metalloids in airborne particulate matter by inductively coupled plasma atomic emission spectrometry - Part 3: Analysis |
| ISO 15767 | Workplace atmospheres - Controlling and characterizing uncertainty in weighing collected aerosols |
| ISO 21748 | Guidance for the use of repeatability, reproducibility and trueness estimates in measurement uncertainty evaluation |
| ISO/IEC Guide 98-3 | Uncertainty of measurement - Part 3: Guide to the expression of uncertainty in measurement (GUM: 1995) |
| CEN/TR 13205-3 | Workplace exposure - Assessment of sampler performance for measurement of airborne particle concentrations - Part 3: Analysis of sampling efficiency data |
| CEN/TR 15230 | Workplace atmospheres - Guidance for sampling of inhalable, thoracic and respirable aerosol fractions |
| EN 13205-2 | Workplace exposure - Assessment of sampler performance for measurement of airborne particle concentrations - Part 2: Laboratory performance test based on determination of sampling efficiency |
| EN 13205-4 | Workplace exposure - Assessment of sampler performance for measurement of airborne particle concentrations - Part 4: Laboratory performance test based on comparison of concentrations |
| EN 13890:2009 | Workplace exposure - Procedures for measuring metals and metalloids in airborne particles - Requirements and test methods |
| Berufsgenossenschaftliches Institut  Arbeitsschutz (BGIA). Project BC/CEN/ENTR/000/2002-16, Analytical methods for chemical agents - Final report. BGIA, Sankt Augustin, June 2005 |
| Drake P.L., Mercy A.D., Ashley K. Evaluation of a standardized method for determining soluble silver in workplace air samples. J. Environ. Monitor. 8, 2006, pp 134 - 139 |
| EuraChem. Quantifying uncertainty in analytical measurement. Available from: https://eurachem.org/index.php/publications/guides/quam |
| European Cooperation for Accreditation. Expression of Uncertainty of Measurement in calibration, EA-4/02. Available from: www.european-accreditation.org |
|  G., Kenny L.C. Comparison of measured respirable dust sampler penetration curves with sampling conventions. Ann. Occ. Hyg. 35(5), 1991, pp. 485-504 |
| Nordtest. Handbook for calculation of measurement uncertainty in environmental laboratories, Version 3.1, (May 2012). Nordtest Technical Report NT TR 537-Edition 3.1, November 2012. Available from: http://www.nordtest.info/index.php/technical-reports/item/handbook-for-calculation-of-measurement-uncertainty-in-environmental-laboratories-nt-tr-537-edition-3.html |
| United Kingdom Health and Safety Executive (HSE). Methods for the Determination of Hazardous Substances, MDHS 12/2 - Chromium and inorganic compounds of chromium in air: Laboratory method using atomic absorption spectrometry. HSE Books, Sudbury, United Kingdom, 1996, ISBN 0 7176 1181 7 |
| United Kingdom Health and Safety Executive (HSE). Methods for the Determination of Hazardous Substances. MDHS 91 - Metals and metalloids in workplace air by X-ray fluorescence spectrometry. HSE Books, Sudbury, United Kingdom, 1998, ISBN 0 7176 1557 X. Available from: http://www.hse.gov.uk/pubns/mdhs/index.htm |
| United States National Institute for Occupational Safety and Health (NIOSH). NIOSH Manual of Analytical Methods, Method 7500 - Silica, Crystalline, by XRD (filter redeposition), DHHS (NIOSH), 2003 |
УДК 504.3:006.354 | |
Ключевые слова: воздух, рабочая зона, неопределенность, химические вещества, процедура измерений, отбор проб, анализ, металлы и металлоиды |