Главная // Актуальные документы // ГОСТ Р (Государственный стандарт)СПРАВКА
Источник публикации
М.: Стандартинформ, 2021
Примечание к документу
Документ
введен в действие с 01.12.2021.
Название документа
"ГОСТ Р 8.1002-2021. Национальный стандарт Российской Федерации. Государственная система обеспечения единства измерений. Стандартные справочные данные. Параводород жидкий и газообразный. Плотность, энтальпия, энтропия, изохорная, изобарная теплоемкости и скорость звука при температурах от 14 К до 1000 К и давлениях до 100 МПа"
(утв. и введен в действие Приказом Росстандарта от 25.05.2021 N 436-ст)
"ГОСТ Р 8.1002-2021. Национальный стандарт Российской Федерации. Государственная система обеспечения единства измерений. Стандартные справочные данные. Параводород жидкий и газообразный. Плотность, энтальпия, энтропия, изохорная, изобарная теплоемкости и скорость звука при температурах от 14 К до 1000 К и давлениях до 100 МПа"
(утв. и введен в действие Приказом Росстандарта от 25.05.2021 N 436-ст)
Утвержден и введен в действие
агентства по техническому
регулированию и метрологии
от 25 мая 2021 г. N 436-ст
НАЦИОНАЛЬНЫЙ СТАНДАРТ РОССИЙСКОЙ ФЕДЕРАЦИИ
ГОСУДАРСТВЕННАЯ СИСТЕМА ОБЕСПЕЧЕНИЯ ЕДИНСТВА ИЗМЕРЕНИЙ
СТАНДАРТНЫЕ СПРАВОЧНЫЕ ДАННЫЕ
ПАРАВОДОРОД ЖИДКИЙ И ГАЗООБРАЗНЫЙ.
ПЛОТНОСТЬ, ЭНТАЛЬПИЯ, ЭНТРОПИЯ, ИЗОХОРНАЯ, ИЗОБАРНАЯ
ТЕПЛОЕМКОСТИ И СКОРОСТЬ ЗВУКА ПРИ ТЕМПЕРАТУРАХ ОТ 14 К
ДО 1000 К И ДАВЛЕНИЯХ ДО 100 МПа
State system for ensuring the uniformity of measurements.
Standard reference data. Parahydrogen, liquid and gaseous.
Density, enthalpy, entropy, isochoric, isobaric heat
capacities and speed of sound at temperatures
from 14 K up to 1000 K and pressures up to 100 MPa
ГОСТ Р 8.1002-2021
Дата введения
1 декабря 2021 года
1 РАЗРАБОТАН Главным научным метрологическим центром "Стандартные справочные данные о физических константах и свойствах веществ и материалов" (ГНМЦ "ССД")
2 ВНЕСЕН Техническим комитетом по стандартизации ТК 180 "Государственная служба стандартных справочных данных"
3 УТВЕРЖДЕН И ВВЕДЕН В ДЕЙСТВИЕ
Приказом Федерального агентства по техническому регулированию и метрологии от 25 мая 2021 г. N 436-ст
4 ВВЕДЕН ВПЕРВЫЕ
Правила применения настоящего стандарта установлены в статье 26 Федерального закона от 29 июня 2015 г. N 162-ФЗ "О стандартизации в Российской Федерации". Информация об изменениях к настоящему стандарту публикуется в ежегодном (по состоянию на 1 января текущего года) информационном указателе "Национальные стандарты", а официальный текст изменений и поправок - в ежемесячном информационном указателе "Национальные стандарты". В случае пересмотра (замены) или отмены настоящего стандарта соответствующее уведомление будет опубликовано в ближайшем выпуске ежемесячного информационного указателя "Национальные стандарты". Соответствующая информация, уведомление и тексты размещаются также в информационной системе общего пользования - на официальном сайте Федерального агентства по техническому регулированию и метрологии в сети Интернет (www.gost.ru)
Настоящий стандарт распространяется на жидкий и газообразный параводород и устанавливает методы расчетного определения значений стандартных справочных данных по плотности

, энтальпии
h, энтропии
s, изохорной теплоемкости
cv, изобарной теплоемкости
cp, скорости звука
w как в однофазных областях (газ, жидкость и флюид), так и на линии фазового перехода газ - жидкость (линии насыщения), а также значений давления на линии насыщения
ps.
В настоящем стандарте использованы нормативные ссылки на следующие стандарты:
ГОСТ 8.566 Государственная система обеспечения единства измерений. Межгосударственная система данных о физических константах и свойствах веществ и материалов. Основные положения
ГОСТ Р 8.614 Государственная система обеспечения единства измерений. Государственная служба стандартных справочных данных. Основные положения
Примечание - При пользовании настоящим стандартом целесообразно проверить действие ссылочных стандартов в информационной системе общего пользования - на официальном сайте Федерального агентства по техническому регулированию и метрологии в сети Интернет или по ежегодному информационному указателю "Национальные стандарты", который опубликован по состоянию на 1 января текущего года, и по выпускам ежемесячного информационного указателя "Национальные стандарты" за текущий год. Если заменен ссылочный стандарт, на который дана недатированная ссылка, то рекомендуется использовать действующую версию этого стандарта с учетом всех внесенных в данную версию изменений. Если заменен ссылочный стандарт, на который дана датированная ссылка, то рекомендуется использовать версию этого стандарта с указанным выше годом утверждения (принятия). Если после утверждения настоящего стандарта в ссылочный стандарт, на который дана датированная ссылка, внесено изменение, затрагивающее положение, на которое дана ссылка, то это положение рекомендуется применять без учета данного изменения. Если ссылочный стандарт отменен без замены, то положение, в котором дана ссылка на него, рекомендуется применять в части, не затрагивающей эту ссылку.
Стандартные справочные значения (
ГОСТ Р 8.614,
ГОСТ 8.566)

,
h,
s,
cp,
cv,
w и
ps рассчитаны по единому для жидкой и газовой фаз фундаментальному уравнению состояния (ФУС) - зависимости свободной энергии (функции Гельмгольца)
F от плотности

и температуры
T

, (1)
где f, f0 и fr - безразмерные полная свободная энергия, идеально-газовая и неидеальная составляющие свободной энергии, соответственно;

- относительная плотность,

;

- относительная температура,

.
Значения плотности

и температуры (
Tc) параводорода в критической точке приведены в
таблице А.1 приложения А.
Уравнение для идеально-газовой составляющей свободной энергии имеет следующий вид:

. (2)
Уравнение для неидеальной составляющей свободной энергии имеет следующий вид:

, (3)
где

(4)
В
формулах (3) и
(4) bj - коэффициенты уравнения состояния, значения которых вместе с показателями степеней
rj,
tj,
lj и параметрами
gj,

,

,

,

приведены в
таблице А.2 приложения А.
Плотность

в однофазных областях при заданных значениях давления
p и температуры
T определяют из решения следующего уравнения:

, (5)
где

;

.
Значения давления (
pc) и фактора сжимаемости (
zc) в критической точке, а также газовой постоянной (
R) параводорода приведены в
таблице А.1 приложения А.
Плотности газовой

и жидкой

фаз на линии насыщения при заданной температуре
T определяют из условий фазового равновесия в результате решения следующей системы уравнений:

(6)
где

- безразмерная неидеальная составляющая изобарно-изотермического потенциала (потенциала Гиббса)

. (7)
Давление на линии насыщения
ps определяют по
формуле (5) для переменной

.
Энтальпию, энтропию, изобарную и изохорную теплоемкости как в однофазных областях (для
T и

), так и на линии насыщения (для
T,

или
T,

), вычисляют по следующим формулам:
h = h0 + A3RT; (8)
s = s0 + RA4; (9)
cp = cv + R(1 + A2)2/(1 + A1); (10)
cv = cv0 + A5R; (11)

, (12)
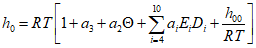
где h0, s0, cv0 - энтальпия, энтропия и изохорная теплоемкость в идеально-газовом состоянии.
Термодинамические свойства в идеально-газовом состоянии определяют по формулам, полученным из

с привлечением табличных данных (см.
[1]):

; (13)

; (14)

, (15)
где

;
Ei и
Di - функции от

, имеющие следующий вид:

. (16)
Энтальпия и энтропия идеального газа при
T = 0 К равны нулю; для энтальпии учитывают также теплоту сублимации идеального кристалла при
T = 0 К (см.
[1]).
Комплексы
A0 -
A5 в
формулах (5) -
(12) определяют по следующим соотношениям, полученным из
уравнения (3) для
fr с использованием известных дифференциальных уравнений термодинамики:

; (17)

; (18)

; (19)

; (20)

; (21)

, (22)
где

(23)

(24)

(25)

(26)
Стандартные справочные данные расчетных контрольных значений термодинамических свойств параводорода на линии насыщения и в однофазной области приведены в
таблицах Б.2 и
В.1 (приложения Б и В).
4 Расширенные неопределенности расчетных значений стандартных справочных данных по свойствам параводорода
Расширенные неопределенности с доверительной вероятностью 95% расчетных значений термодинамических свойств плотности

и давления

определяют в соответствии с оценками, приведенными в
[1].
В соответствии с
[1] расширенные неопределенности расчетных значений давления и плотностей на линии насыщения составляют

; в околокритической области (

и

)

.
Расширенные неопределенности расчетных значений плотности

в однофазных областях в зависимости от диапазонов температур и давлений представлены в таблице 1.
Таблица 1
Расширенные неопределенности расчетных значений
плотности

параводорода в однофазных областях
 , К |  , МПа |  , % |
14 <= T < 250 | 0,1 <= P <= 40 | 0,10 |
14 <= T < 250 | 40 < P <= 100 | 1,0 |
250 <= T <= 450 | 0,1 <= P <= 100 | 0,04 |
450 < T <= 700 | 0,1 <= P <= 100 | 0,50 |
700 < T <= 1000 | 0,1 <= P <= 100 | 1,0 |
Для околокритической области (см.
[1]) вместо

приводят значения

, поэтому значения

определяют в соответствии с теорией переноса ошибок по формуле

. (27)
Расширенные неопределенности расчетных значений других термодинамических свойств определяют в соответствии с теорией переноса ошибок через

по следующим выражениям:
- для энтальпии

; (28)
- для остальных свойств {y} (энтропии, изохорной и изобарной теплоемкостей, скорости звука)

, (29)
где

- идеально-газовая составляющая в зависимости только от температуры;
yr =
y -
y0;

- неопределенность значения
y0:

,

.
Расширенные неопределенности контрольных значений стандартных справочных данных параводорода представлены в
таблицах Б.2 и
В.1 (приложения Б и В).
(обязательное)
ОСНОВНЫЕ ФИЗИЧЕСКИЕ ПАРАМЕТРЫ И КОЭФФИЦИЕНТЫ УРАВНЕНИЙ
ДЛЯ ОПРЕДЕЛЕНИЯ ЗНАЧЕНИЙ СТАНДАРТНЫХ СПРАВОЧНЫХ ДАННЫХ
ПО СВОЙСТВАМ ПАРАВОДОРОДА
Таблица А.1
Основные физические параметры параводорода
Физический параметр, размерность | Значение |
Молярная масса M, кг/кмоль | 2,01590 |
Газовая постоянная R, кДж/(кг·К) | 4,12445 |
Параметры в тройной точке: | |
давление pt, МПа | 0,007041 |
температура Tt, К | 13,8033 |
Параметры в критической точке: | |
давление pc, МПа | 1,2858 |
температура Tc, К | 32,938 |
плотность  , кг/м 3 | 31,323 |
фактор сжимаемости zc | 0,302161126 |
Таблица А.2
Коэффициенты, показатели степеней и параметры уравнения
для неидеальной составляющей ФУС параводорода
j | bj | rj | tj | gj | lj | | | | |
1 | -7,33375 | 1 | 0,6855 | 0 | 0 | - | - | - | - |
2 | 0,01 | 4 | 1 | 0 | 0 | - | - | - | - |
3 | 2,60375 | 1 | 1 | 0 | 0 | - | - | - | - |
4 | 4,66279 | 1 | 0,489 | 0 | 0 | | | | |
5 | 0,682390 | 2 | 0,774 | 0 | 0 | - | - | - | - |
6 | -1,47078 | 2 | 1,133 | 0 | 0 | - | - | - | - |
7 | 0,135801 | 3 | 1,386 | 0 | 0 | - | - | - | - |
8 | -1,05327 | 1 | 1,619 | -1 | 1 | - | - | - | - |
9 | 0,328239 | 3 | 1,162 | -1 | 1 | - | - | - | - |
10 | -0,0577833 | 2 | 3,96 | -1 | - | 1,7437 | 0,194 | 1,5487 | 0,8048 |
11 | 0,0449743 | 1 | 5,276 | -1 | - | 0,5516 | 0,2019 | 0,1785 | 1,5248 |
12 | 0,0703464 | 3 | 0,99 | -1 | - | 0,0634 | 0,0301 | 1,28 | 0,6648 |
13 | -0,0401766 | 1 | 6,791 | -1 | - | 2,1341 | 0,2383 | 0,6319 | 0,6832 |
14 | 0,119510 | 1 | 3,19 | -1 | - | 1,777 | 0,3253 | 1,7104 | 1,493 |
Таблица А.3
для термодинамических свойств параводорода
в идеально-газовом состоянии, энтальпия h00 и энтропия s00
k | | |
1 | -1,4485891134 | - |
2 | 1,884521239 | - |
3 | 1,5 | - |
4 | 4,30256 | 15,1496751472 |
5 | 13,0289 | 25,0925982148 |
6 | -47,7365 | 29,4735563787 |
7 | 50,0013 | 35,4059141417 |
8 | -18,6261 | 40,724998482 |
9 | 0,993973 | 163,7925799988 |
10 | 0,536078 | 309,2173173842 |
h00 = 377,08 кДж/кг; s00 = 7,977 кДж/(кг·К) |
(обязательное)
ТАБЛИЦЫ КОНТРОЛЬНЫХ СТАНДАРТНЫХ ЗНАЧЕНИЙ
ТЕРМОДИНАМИЧЕСКИХ СВОЙСТВ ПАРАВОДОРОДА НА КРИВОЙ НАСЫЩЕНИЯ
Таблица Б.1
Обозначения и размерности термодинамических свойств
и их неопределенностей параводорода, представленных
Наименование показателя | Обозначение | Размерность |
Температура | T | К |
Давление | p | МПа |
Давление насыщения | ps | МПа |
Плотность | | кг/м3 |
Энтальпия | h | кДж/кг |
Энтропия | s | кДж/(кг·К) |
Изохорная теплоемкость | cv | кДж/(кг·К) |
Изобарная теплоемкость | cp | кДж/(кг·К) |
Скорость звука | w | м/с |
Относительная неопределенность термодинамических свойств, исключая энтальпию | | % |
Абсолютная неопределенность энтальпии | | кДж/кг |
Примечание 1 - В таблице Б.2, где представлены контрольные стандартные значения термодинамических свойств ( y) параводорода на линии насыщения, обозначения y' и y" - свойства насыщенной жидкости и насыщенного пара, соответственно. Примечание 2 - Запись yE +/- n в таблице Б.2 нужно интерпретировать как y10 +/-n. |
Таблица Б.2
Контрольные стандартные значения термодинамических свойств
параводорода на кривой насыщения
T | ps, | | | h' | h" | s' | s" |
| | | | | | |
14,00 | 0,78840E-02 | 76,819 | 0,13878E+00 | 324,7 | 775,2 | 4,9913 | 37,1695 |
0,10 | 0,10 | 0,10 | 1,1 | 0,1 | 0,11 | 0,02 |
17,00 | 0,32886E-01 | 74,220 | 0,49070E+00 | 347,5 | 801,0 | 6,4381 | 33,1197 |
0,10 | 0,10 | 0,10 | 0,8 | 0,1 | 0,09 | 0,02 |
20,00 | 0,93414E-01 | 71,136 | 0,12440E+01 | 374,4 | 821,6 | 7,8489 | 30,2104 |
0,10 | 0,10 | 0,10 | 0,6 | 0,1 | 0,07 | 0,02 |
22,00 | 0,16350E+00 | 68,743 | 0,20708E+01 | 395,4 | 831,3 | 8,8014 | 28,6140 |
0,10 | 0,10 | 0,10 | 0,4 | 0,1 | 0,06 | 0,02 |
25,00 | 0,32917E+00 | 64,485 | 0,40178E+01 | 432,8 | 837,7 | 10,2877 | 26,4815 |
0,10 | 0,10 | 0,10 | 0,2 | 0,2 | 0,04 | 0,02 |
30,00 | 0,82319E+00 | 53,977 | 0,10871E+02 | 521,3 | 812,8 | 13,1878 | 22,9032 |
| 0,10 | 0,10 | 0,10 | 0,2 | 0,2 | 0,02 | 0,02 |
32,50 | 0,12059E+01 | 42,109 | 0,20884E+02 | 606,3 | 744,9 | 15,6398 | 19,9055 |
0,10 | 0,10 | 0,10 | 0,3 | 0,3 | 0,02 | 0,02 |
Окончание таблицы Б.2
T | | | | | w' | w" |
| | | | | |
14,00 | 5,158 | 6,236 | 6,981 | 10,559 | 1256,9 | 307,6 |
0,22 | 0,10 | 0,28 | 0,10 | 0,23 | 0,10 |
17,00 | 5,400 | 6,357 | 8,062 | 11,063 | 1190,1 | 333,4 |
0,12 | 0,10 | 0,36 | 0,10 | 0,27 | 0,11 |
20,00 | 5,637 | 6,450 | 9,569 | 11,920 | 1118,6 | 353,5 |
0,11 | 0,10 | 0,37 | 0,11 | 0,28 | 0,11 |
22,00 | 5,811 | 6,541 | 10,865 | 12,884 | 1059,2 | 363,7 |
0,11 | 0,10 | 0,39 | 0,11 | 0,29 | 0,11 |
25,00 | 6,048 | 6,776 | 13,561 | 15,480 | 951,2 | 374,0 |
0,11 | 0,11 | 0,44 | 0,13 | 0,30 | 0,12 |
30,00 | 6,471 | 7,624 | 26,648 | 32,583 | 693,0 | 377,2 |
0,14 | 0,12 | 0,67 | 0,25 | 0,33 | 0,14 |
32,50 | 7,386 | 8,600 | 143,809 | 197,370 | 461,0 | 369,4 |
0,16 | 0,10 | 1,45 | 0,79 | 0,27 | 0,14 |
(обязательное)
ТАБЛИЦЫ КОНТРОЛЬНЫХ СТАНДАРТНЫХ ЗНАЧЕНИЙ
ТЕРМОДИНАМИЧЕСКИХ СВОЙСТВ ПАРАВОДОРОДА В ОДНОФАЗНОЙ ОБЛАСТИ
Таблица В.1
Контрольные стандартные значения термодинамических свойств
параводорода в однофазной области
p | | h | s | cv | cp | w |
| | | | | |
T = 14,0 К |
0,1 | 76,898 | 325,7 | 4,9787 | 5,163 | 6,971 | 1259,6 |
| 0,10 | 1,1 | 0,11 | 0,2 | 0,3 | 0,2 |
0,5 | 77,234 | 330,2 | 4,9251 | 5,185 | 6,932 | 1270,9 |
| 0,10 | 1,1 | 0,11 | 0,2 | 0,3 | 0,2 |
T = 33,0 К |
0,1 | 0,75435 | 964,2 | 35,4561 | 6,212 | 10,695 | 471,4 |
| 0,10 | 0,1 | 0,02 | 0,1 | 0,1 | 0,1 |
5,0 | 62,610 | 565,7 | 12,3450 | 6,445 | 14,106 | 1031,0 |
| 0,10 | 0,2 | 0,04 | 0,1 | 0,3 | 0,2 |
50,0 | 90,705 | 977,8 | 7,7596 | 6,516 | 8,446 | 2027,4 |
| 1,00 | 27,3 | 0,72 | 0,3 | 1,2 | 1,7 |
90,0 | 100,81 | 1346,9 | 6,3216 | 6,205 | 7,455 | 2404,7 |
| 1,00 | 43,8 | 0,86 | 0,9 | 1,5 | 1,6 |
T = 150,0 К |
0,1 | 0,16155 | 2481,2 | 53,8860 | 12,081 | 16,217 | 911,8 |
| 0,10 | 0,1 | 0,01 | 0,1 | 0,1 | 0,1 |
5,0 | 7,8211 | 2461,8 | 37,4978 | 12,166 | 16,793 | 957,7 |
| 0,10 | 0,1 | 0,02 | 0,1 | 0,1 | 0,1 |
50,0 | 50,710 | 2624,9 | 27,2272 | 12,795 | 17,784 | 1557,5 |
| 1,00 | 6,1 | 0,03 | 0,2 | 0,1 | 0,8 |
100,0 | 71,233 | 3002,2 | 24,3213 | 13,270 | 17,503 | 2083,8 |
| 1,00 | 18,6 | 0,07 | 0,2 | 0,1 | 1,0 |
T = 350,0 К |
0,1 | 0,06924 | 5568,9 | 67,0928 | 10,505 | 14,631 | 1418,7 |
| 0,04 | 0,1 | 0,01 | 0,1 | 0,1 | 0,1 |
5,0 | 3,3741 | 5596,1 | 50,9285 | 10,539 | 14,721 | 1457,8 |
| 0,04 | 0,1 | 0,01 | 0,1 | 0,1 | 0,1 |
50,0 | 27,142 | 5898,6 | 41,2867 | 10,826 | 15,134 | 1816,5 |
| 0,04 | 0,3 | 0,01 | 0,1 | 0,1 | 0,1 |
100,0 | 44,639 | 6281,7 | 38,3817 | 11,097 | 15,265 | 2174,3 |
| 0,04 | 0,6 | 0,01 | 0,1 | 0,1 | 0,1 |
T = 600,0 К |
0,1 | 0,04040 | 9204,7 | 74,9329 | 10,424 | 14,549 | 1859,1 |
| 0,50 | 0,1 | 0,03 | 0,1 | 0,1 | 0,1 |
5,0 | 1,9874 | 9243,8 | 58,7959 | 10,444 | 14,572 | 1889,0 |
| 0,50 | 0,3 | 0,04 | 0,1 | 0,1 | 0,1 |
50,0 | 17,360 | 9608,3 | 49,2942 | 10,611 | 14,712 | 2153,2 |
| 0,50 | 2,5 | 0,04 | 0,1 | 0,1 | 0,2 |
100,0 | 30,565 | 10018,0 | 46,4480 | 10,777 | 14,788 | 2421,4 |
| 0,50 | 5,4 | 0,04 | 0,1 | 0,1 | 0,2 |
T = 1000,0 К |
0,1 | 0,02424 | 15093,7 | 82,4440 | 10,870 | 14,995 | 2385,7 |
| 1,00 | 0,1 | 0,06 | 0,1 | 0,1 | 0,1 |
5,0 | 1,2005 | 15137,0 | 66,3128 | 10,882 | 14,998 | 2407,6 |
| 1,00 | 0,5 | 0,07 | 0,1 | 0,1 | 0,1 |
50,0 | 11,063 | 15529,2 | 56,8489 | 10,979 | 15,024 | 2600,7 |
| 1,00 | 4,8 | 0,08 | 0,1 | 0,1 | 0,2 |
100,0 | 20,411 | 15955,4 | 54,0251 | 11,078 | 15,040 | 2801,0 |
| 1,00 | 10,0 | 0,07 | 0,1 | 0,1 | 0,2 |
| ГСССД 391-2021. Параводород жидкий и газообразный. Плотность, энтальпия, энтропия, изохорная, изобарная теплоемкости и скорость звука при температурах от 14 К до 1000 К и давлениях до 100 МПа. - М: ФГУП "ВНИИМС", 2021. - 36 с. |
УДК 546.11:537.7:006.354 | |
Ключевые слова: государственная система обеспечения единства измерений, стандартные справочные данные, жидкий и газообразный параводород, термодинамические свойства, энтальпия, энтропия, изохорная и изобарная теплоемкости, скорость звука |