Главная // Актуальные документы // ГОСТ Р (Государственный стандарт)СПРАВКА
Источник публикации
М.: ФГБУ "РСТ", 2021
Примечание к документу
Документ
введен в действие с 01.02.2022.
Название документа
"ГОСТ Р 59728-2021. Национальный стандарт Российской Федерации. Средства защиты от рентгеновского излучения в медицине. Методы контроля"
(утв. и введен в действие Приказом Росстандарта от 08.10.2021 N 1093-ст)
"ГОСТ Р 59728-2021. Национальный стандарт Российской Федерации. Средства защиты от рентгеновского излучения в медицине. Методы контроля"
(утв. и введен в действие Приказом Росстандарта от 08.10.2021 N 1093-ст)
Утвержден и введен в действие
агентства по техническому
регулированию и метрологии
от 8 октября 2021 г. N 1093-ст
НАЦИОНАЛЬНЫЙ СТАНДАРТ РОССИЙСКОЙ ФЕДЕРАЦИИ
СРЕДСТВА ЗАЩИТЫ ОТ РЕНТГЕНОВСКОГО ИЗЛУЧЕНИЯ В МЕДИЦИНЕ
МЕТОДЫ КОНТРОЛЯ
Protective devices against X-radiation
in medicine. Control methods
ГОСТ Р 59728-2021
Дата введения
1 февраля 2022 года
1 РАЗРАБОТАН Федеральным государственным бюджетным учреждением "Российский институт стандартизации" (ФГБУ "РСТ"), Обществом с ограниченной ответственностью "ЕДС Групп" (ООО "ЕДС Групп") и Обществом с ограниченной ответственностью "Медтехстандарт" (ООО "Медтехстандарт")
2 ВНЕСЕН Техническим комитетом по стандартизации ТК 011 "Медицинские приборы, аппараты и оборудование"
3 УТВЕРЖДЕН И ВВЕДЕН В ДЕЙСТВИЕ
Приказом Федерального агентства по техническому регулированию и метрологии от 8 октября 2021 г. N 1093-ст
4 ВВЕДЕН ВПЕРВЫЕ
Правила применения настоящего стандарта установлены в статье 26 Федерального закона от 29 июня 2015 г. N 162-ФЗ "О стандартизации в Российской Федерации". Информация об изменениях к настоящему стандарту публикуется в ежегодном (по состоянию на 1 января текущего года) информационном указателе "Национальные стандарты", а официальный текст изменений и поправок - в ежемесячном информационном указателе "Национальные стандарты". В случае пересмотра (замены) или отмены настоящего стандарта соответствующее уведомление будет опубликовано в ближайшем выпуске ежемесячного информационного указателя "Национальные стандарты". Соответствующая информация, уведомление и тексты размещаются также в информационной системе общего пользования - на официальном сайте Федерального агентства по техническому регулированию и метрологии в сети Интернет (www.rst.gov.ru)
Настоящий стандарт распространяется на индивидуальные и передвижные средства защиты от рентгеновского излучения (СЗ), используемые при рентгенологических исследованиях в целях обеспечения безопасности персонала.
В настоящем стандарте представлена система контроля СЗ, включающая методы и средства контроля, требования к квалификации персонала, проводящего контроль.
Настоящий стандарт устанавливает методы определения свинцового эквивалента СЗ в диапазоне от 0,1 до 2,0 мм Pb в зависимости от области применения СЗ.
В настоящем стандарте использованы нормативные ссылки на следующие стандарты:
ГОСТ Р 8.568 Государственная система обеспечения единства измерений. Аттестация испытательного оборудования. Основные положения
ГОСТ Р 58973 Оценка соответствия. Правила к оформлению протоколов испытаний
ГОСТ Р МЭК 61267 Аппараты рентгеновские медицинские диагностические. Условия излучения при определении характеристик
Примечание - При пользовании настоящим стандартом целесообразно проверить действие ссылочных стандартов в информационной системе общего пользования - на официальном сайте Федерального агентства по техническому регулированию и метрологии в сети Интернет или по ежегодному информационному указателю "Национальные стандарты", который опубликован по состоянию на 1 января текущего года, и по выпускам ежемесячного информационного указателя "Национальные стандарты" за текущий год. Если заменен ссылочный стандарт, на который дана недатированная ссылка, то рекомендуется использовать действующую версию этого стандарта с учетом всех внесенных в данную версию изменений. Если заменен ссылочный стандарт, на который дана датированная ссылка, то рекомендуется использовать версию этого стандарта с указанным выше годом утверждения (принятия). Если после утверждения настоящего стандарта в ссылочный стандарт, на который дана датированная ссылка, внесено изменение, затрагивающее положение, на которое дана ссылка, то это положение рекомендуется применять без учета данного изменения. Если ссылочный стандарт отменен без замены, то положение, в котором дана ссылка на него, рекомендуется применять в части, не затрагивающей эту ссылку.
В настоящем стандарте применены следующие термины с соответствующими определениями:
3.1
аккредитация: Подтверждение соответствия третьей стороной, относящееся к органу по оценке соответствия и служащее официальным признанием его компетентности для выполнения конкретных задач по оценке соответствия. |
3.2
аттестация испытательного оборудования: Определение нормированных точностных характеристик испытательного оборудования, их соответствия требованиям нормативно-технической документации и установление пригодности этого оборудования к эксплуатации. |
3.3
декларация о соответствии [техническим регламентам Таможенного союза]: Документ, которым изготовитель (уполномоченное изготовителем лицо, поставщик, продавец) удостоверяет соответствие выпускаемой в обращение продукции требованиям технических регламентов Таможенного союза. |
3.4 защитная эффективность средств защиты: Способность средств защиты предохранять персонал и пациентов от действия опасного и вредного производственного фактора.
3.5
испытания: Экспериментальное определение количественных и (или) качественных характеристик свойств объекта испытаний как результата воздействия на него, при его функционировании, при моделировании объекта и (или) воздействий. Примечание - Определение включает оценивание и (или) контроль. |
3.6
испытательное оборудование: Средство испытаний, представляющее собой техническое устройство для воспроизведения условий испытаний. |
3.7
КАЧЕСТВО ИЗЛУЧЕНИЯ: УСЛОВИЯ ИЗЛУЧЕНИЯ, при которых РАДИАЦИОННЫЕ ПОЛЯ содержат незначительное количество РАССЕЯННОГО ИЗЛУЧЕНИЯ. Примечание - Это определение более конкретное, чем приведенное в МЭК 60788. |
3.8 кратность ослабления излучения: Отношение значения кермы в воздухе, измеренного в неослабленном пучке излучения, к значению кермы в воздухе, ослабленной свинцовой пластиной или защитным материалом.
3.9
метод измерений: Прием или совокупность приемов сравнения измеряемой величины с ее единицей или соотнесения со шкалой в соответствии с реализованным принципом измерений. |
3.10
метод испытаний: Правила применения определенных принципов и средств испытаний. |
3.11
нормативная документация: Документы, регламентирующие требования безопасности, качества, а также предполагаемую эффективность предусмотренного применения и методы контроля соответствия медицинского изделия этим требованиям. |
3.12
органолептический контроль: Контроль, при котором первичная информация воспринимается органами чувств. |
3.13
рентгеновский аппарат: Совокупность технических средств, предназначенных для получения и использования рентгеновского излучения, состоящая из рентгеновского генератора и устройств и принадлежностей, относящихся к нему. [ГОСТ 25272-82, статья 1] |
3.14
рентгеновский излучатель: Совокупность рентгеновской трубки и защитного кожуха. [ГОСТ 25272-82, статья 20] |
3.15 свинцовый эквивалент: Показатель защитной эффективности материала, равный толщине свинцовой пластины в миллиметрах, во столько же раз ослабляющий керму в воздухе рентгеновского излучения, как и данный материал.
3.16 средство защиты от рентгеновского излучения: Средство, используемое для защиты человека от вредного воздействия ионизирующего излучения.
3.17
средство измерений: Техническое средство, предназначенное для измерений. |
3.18
эксплуатационная документация производителя (изготовителя): Документы, предназначенные для ознакомления потребителя с конструкцией медицинского изделия, регламентирующие условия и правила эксплуатации (использование по назначению, техническое обслуживание, текущий ремонт, хранение и транспортировка), гарантированные производителем (изготовителем) значения основных параметров, характеристик (свойств) медицинского изделия, гарантийные обязательства, а также сведения о его утилизации или уничтожении. |
4 Обеспечение контроля качества. Контроль качества и управление качеством средств защиты в процессе эксплуатации
Настоящий раздел определяет методы управления качеством и мероприятия, позволяющие контролировать качество эксплуатации СЗ, а также безопасность персонала и пациентов при проведении рентгенологических исследований.
Эти мероприятия следует выполнять после того, как пользователь убедится, что параметры СЗ являются приемлемыми (например, соответствуют условиям контракта на поставку).
Результаты приемочных испытаний сравнивают со значениями, установленными в контракте на поставку, в нормативной документации (НД) и/или эксплуатационной документации (ЭД).
В случае несоответствия результатов испытаний установленным пределам принимают меры по устранению несоответствия.
Персонал медицинской организации, ответственный за техническое состояние СЗ, осуществляет функции по обеспечению проведения контроля качества, в соответствии с периодичностью и требованиями, установленными нормативной документацией.
Оценку параметров СЗ на предмет соответствия НД и/или ЭД проводят в процессе периодических испытаний. Общая схема системы контроля показана на рисунке 1.
Рисунок 1 - Общая схема проведения контроля качества
4.2.1 Цель периодических испытаний состоит в подтверждении соответствия параметров СЗ требованиям ЭД и/или НД. Эти испытания проводят организации, аккредитованные в установленном порядке на данный вид деятельности, в соответствии с НД и/или ЭД.
Периодические испытания представляют собой серию измерений параметров СЗ.
Периодические испытания проводят в соответствии с НД и/или ЭД.
4.2.2 Документы и исходные данные для испытаний
Для проведения испытаний медицинская организация предоставляет персоналу, проводящему испытания, ЭД на испытуемые СЗ (паспорт или руководство по эксплуатации и др.), а также документы, подтверждающие санитарную обработку испытуемых СЗ.
4.2.3 Условия испытаний
Различают следующие виды испытаний:
- органолептический контроль;
- измерение параметров.
Необходимые данные, такие как идентификация испытуемого СЗ, используемого испытательного и вспомогательного оборудования, средств измерений, условия испытаний, должны быть занесены в протокол вместе с результатами испытания. В протокол также заносят место и дату проведения испытания, а также данные персонала, проводившего испытания.
4.2.4 Проверяемые характеристики
При периодических испытаниях проверяют следующие характеристики и параметры:
- идентификацию изделия;
- наличие маркировки на СЗ;
- наличие ЭД, содержащей наименование, заводской номер, год выпуска, свинцовый эквивалент;
- целостность СЗ и отсутствие видимых дефектов;
- свинцовый эквивалент.
При неудовлетворительных результатах периодических испытаний проводят необходимые мероприятия (см. раздел 5).
5 Необходимые мероприятия
Если результаты испытаний не соответствуют нормируемым параметрам, медицинская организация обязана:
- прекратить эксплуатацию СЗ;
- рассмотреть вопрос о дальнейшем использовании СЗ;
- рассмотреть вопрос о соблюдении правил эксплуатации СЗ персоналом медицинской организации.
6 Общие требования к испытаниям
6.1 Требования к средствам защиты
При проведении испытаний необходимо располагать ЭД на СЗ.
6.2 Общие требования к условиям испытаний и оборудованию
В процессе испытаний необходимо использовать средства измерения, испытательное и вспомогательное оборудование, соответствующие требованиям, которые предъявляют для определения конкретных параметров.
Средства измерений должны быть в государственном реестре средств измерений и иметь действующее свидетельство о поверке.
Испытательное оборудование должно быть аттестовано в соответствии с
ГОСТ Р 8.568.
6.2.1 Испытательное оборудование
6.2.1.1 Рентгеновский аппарат для проведения испытаний должен иметь следующие характеристики:
- электрическая мощность - не менее 2,4 кВт;
- диапазон анодного напряжения - не уже, чем от 40 до 100 кВ;
- диапазон анодного тока - не уже, чем от 16 до 35 мА;
- диапазон количества электричества - не уже, чем от 0,4 до 100 мАс;
- пульсации анодного напряжения - не более 4%;
- общая фильтрация - не менее 2,5 мм Al;
- отклонение анодного напряжения от установленного значения - не более 10%;
- отклонение анодного тока от установленного значения - не более 10%;
- отклонение количества электричества от установленного значения - не более 10%;
- отклонение длительности экспозиции от установленного значения - не более 10%;
- расхождение светового и рентгеновского полей - не более 2% от расстояния "фокус - входная плоскость объекта испытаний";
- коэффициент вариации кермы в воздухе по десяти измерениям не должен превышать 0,05.
Рентгеновский аппарат должен обеспечивать качество излучения RQR5 и RQR8 по
ГОСТ Р МЭК 61267.
6.2.1.2 Набор свинцовых пластин должен обеспечивать необходимый диапазон толщин свинца, предусматривающий измерение максимального значения свинцового эквивалента проверяемых СЗ с шагом не менее 0,25 мм. Размеры пластины - не менее 200 x 200 мм.
6.2.1.3 Диафрагма свинцовая должна иметь следующие характеристики:
- размеры - не менее 200 x 200 мм;
- диаметр отверстия - не более 20 мм;
- толщина - не менее 3 мм экв. Pb.
6.2.2 Вспомогательное оборудование
6.2.2.1 Оснастка (штатив) для позиционирования рентгеновского излучателя, диафрагмы, пластин, объектов испытаний, дозиметра должен позволять расположить все элементы в соответствии с геометрией измерений (см. рисунок 2).
1 - опорная плоскость фокусного пятна; 2 - излучатель;
3 - устройство формирования пучка; 4 - диафрагма;
5 - испытуемый объект или свинцовая пластина; 6 - положение
детектора дозиметра при проведении измерений;
7 - опорная плоскость детектора дозиметра
Рисунок 2 - Геометрическая схема проведения испытаний
6.2.2.2 Программное обеспечение для построения графиков (с возможностью построения линий тренда и отображения уравнения линии тренда и коэффициента достоверности аппроксимации).
6.2.3 Средства измерений
6.2.3.1 Дозиметр для измерения кермы в воздухе со следующими характеристиками:
- диапазон измерений кермы в воздухе не уже, чем от 15 нГр до 1000 Гр;
- измерение кермы в воздухе с погрешностью не более 5%;
- продольные и поперечные размеры чувствительной части детектора измерения не должны превышать диаметр отверстия свинцовой диафрагмы.
6.2.3.2 Дозиметр для измерения мощности дозы естественного фона с нижней границей диапазона измерений не более 0,1 мкЗв/ч.
6.2.3.3 Средство измерения температуры и влажности воздуха, а также атмосферного давления в помещении, в котором проводятся испытания, должен обеспечивать измерение данных характеристик в диапазонах в соответствии с
6.2.4.
6.2.3.4 Средство измерения линейных размеров с диапазоном измерения не уже чем (1 - 1000) мм с погрешностью не более 1 мм.
6.2.4 Условия выполнения испытаний:
- температура воздуха от 15 °C до 35 °C;
- относительная влажность воздуха - до 80%;
- атмосферное давление - от 86 до 106 кПа;
- мощность дозы естественного радиационного фона - не более 0,2 мкЗв/ч.
6.2.5 Помещения
Испытания проводят в помещениях, соответствующих требованиям по радиационной безопасности.
6.3 Общие требования к подготовке испытаний
Подготавливают рабочие журналы или другие записи для фиксации результатов испытаний.
Подготавливают объекты испытаний, проверяют наличие ЭД и маркировки на СЗ, идентифицируют СЗ по наименованию, заводскому номеру, году выпуска, свинцовому эквиваленту. В случае невозможности идентификации СЗ (отсутствие ЭД, маркировки) дальнейшие испытания данного СЗ не проводят.
Проверяют объект испытаний на предмет отсутствия загрязнений поверхности.
При необходимости проводят очистку.
Проводят органолептический контроль объекта испытаний на предмет наличия или отсутствия повреждений или дефектов, нарушений целостности внешнего покрытия, нарушений целостности рентгенозащитного материала, разрывов швов, дыр, углублений, изломов, нарушений целостности креплений и застежек и т.п.
Результаты органолептического контроля заносят в рабочие журналы (записи).
Устанавливают рентгеновский аппарат с помощью оснастки (штатива) в соответствии со схемой измерений (см.
рисунок 2).
Проводят подготовку рентгеновского аппарата в соответствии с ЭД.
Проводят подготовку средств измерений, включая проверку работоспособности, в соответствии с ЭД на каждое средство измерений.
С помощью оснастки (штатива) жестко фиксируют дозиметр для измерения кермы в воздухе в соответствии со схемой измерений (см.
рисунок 2). Расстояние от фокусного пятна рентгеновского излучателя до детектора дозиметра должно быть не менее 1 м. Расстояние от детектора дозиметра до пола и стен должно быть не менее 50 см.
Устанавливают диафрагму в соответствии со схемой измерений (см.
рисунок 2) и выставляют размер поля облучения на диафрагме 100 x 100 мм с помощью светового указателя. Центр диафрагмы должен совпадать с центром поля облучения.
Проводят измерение внешних условий проведения испытаний:
- температура воздуха;
- относительная влажность воздуха;
- атмосферное давление;
- мощность дозы естественного радиационного фона.
Измерения проводят в соответствии с методами измерений, установленными в ЭД на средства измерений.
Проверяют соответствие условий установленным в
6.2.4 пределам. В случае, если условия испытаний отклоняются от установленных пределов, испытания приостанавливают до устранения отклонений.
6.4 Требования техники безопасности
Работники, проводящие испытания, должны быть отнесены к персоналу группы A по радиационной безопасности, знать правила по охране труда при работе с источниками ионизирующих излучений.
6.5 Требования к квалификации обслуживающего персонала
К проведению испытаний допускаются работники, ознакомленные с ЭД на рентгеновский аппарат, средства измерений, испытательное оборудование. Также персонал должен иметь документ установленного образца, подтверждающий его обучение по испытаниям СЗ от рентгеновского излучения, по радиационной безопасности в образовательной организации в соответствии с законодательством.
7 Методика определения свинцового эквивалента
Свинцовый эквивалент СЗ измеряют для подтверждения его защитной эффективности. В случае, если измеренный свинцовый эквивалент ниже значения, установленного в ЭД и/или НД, данное СЗ не обеспечивает необходимой защиты для пациентов или персонала.
7.2 Требования к оборудованию
Для измерения свинцового эквивалента используют оборудование, перечисленное в
6.2.
7.3 Порядок проведения испытаний и обработка результатов
7.3.1 Измерение кермы в воздухе в неослабленном пучке излучения
Устанавливают на рентгеновском аппарате параметры экспозиции: 100 кВ, 32 мАс (или другие необходимые значения) и проводят экспозицию.
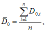
Измеряют значение кермы в воздухе (D0,i).
Повторяют экспозицию и измерение не менее 5 раз и определяют среднее значение кермы в воздухе

, мГр

(1)
где i - порядковый номер измерения кермы в воздухе;
n - количество проведенных измерений кермы в воздухе;
D0,i - измеренное значение кермы в воздухе в неослабленном пучке, мГр;

- среднее значение кермы в воздухе в неослабленном пучке, мГр.
Определяют отклонение каждого
i-го измерения от среднего значения

, мГр

. (2)
Максимальное отклонение

от

не должно превышать 5%. Если отклонение превышает 5%, испытания приостанавливают до устранения причины отклонений.
Оценивают стандартную относительную неопределенность результата измерений кермы в воздухе в неослабленном пучке u0, %:

(3)
7.3.2 Измерение кермы в воздухе со свинцовыми пластинами
Устанавливают за диафрагмой свинцовую пластину толщиной
d в соответствии со схемой, указанной на
рисунке 2.
Проводят измерения кермы в воздухе
Dd,i в порядке, описанном в
7.3.1 для толщин свинца от 0,1 до 1 мм с шагом (0,1 +/- 0,05) мм.
При проведении испытаний СЗ с близкими значениями свинцового эквивалента целесообразно проводить измерения для пяти толщин свинца, охватывающих диапазон ожидаемых значений свинцового эквивалента контролируемого материала.
Оценивают стандартную относительную неопределенность результата измерений ud, %, для каждой толщины свинца по формуле

(4)
где Dd,i - измеренное значение кермы в воздухе со свинцовыми пластинами, мГр;

- среднее значение кермы в воздухе со свинцовыми пластинами, мГр.
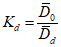
7.3.3 Определение зависимости кратности ослабления излучения от толщины свинцовых пластин
Определяют кратность ослабления Kd для свинцовой пластины толщиной d по формуле

. (5)
Строят кривую зависимости K = f(d) кратности ослабления Kd от толщины свинца d с аппроксимирующей функцией (экспоненциальная линия тренда Kd = a·eb·d, где a и b - коэффициенты) с использованием программного обеспечения для построения графиков (с возможностью построения линий тренда и отображения уравнения линии тренда и коэффициента достоверности аппроксимации). Коэффициент достоверности аппроксимации не должен отличаться от 1 более, чем на 5%.
Оценивают стандартную относительную неопределенность аппроксимации зависимости кратности ослабления Kd от толщины свинца d по формуле

, (6)
где N - число свинцовых пластин, для которых определена кратность ослабления;
R2 - коэффициент достоверности аппроксимации, полученный при построении линий тренда;
u0 - стандартная относительная неопределенность результата измерений кермы в воздухе в неослабленном пучке излучения, определенная по
формуле (3), %;
ud,max - максимальное значение относительной неопределенности результатов измерений кермы в воздухе со свинцовыми пластинами, определенное по
формуле (4), %;

- относительная погрешность толщины свинцовых пластин по ЭД, %.
7.3.4 Измерение кермы в воздухе с контролируемым материалом
Выбирают на материале для каждой из областей (передняя, задняя) не менее пяти точек контроля, отстоящих друг от друга на расстоянии:
- не более 200 мм при размерах материала более 500 x 500 мм;
- не более 100 мм при размерах материала от 200 x 200 мм до 500 x 500 мм;
- не более 50 мм при размерах материала менее 200 x 200 мм.
К вышеперечисленным точкам контроля добавляют точки, в которых были обнаружены дефекты при проведении органолептического контроля СЗ.
Для СЗ с переменной толщиной и/или перекрытием защитного материала области измерений выбирают с обеспечением контроля всех толщин защитного материала.
Устанавливают контролируемый материал в соответствии со схемой, приведенной на
рисунке 2 таким образом, чтобы каждая точка при измерении в ней находилась в центре отверстия диафрагмы.
Проводят измерения кермы в воздухе
DM,i в порядке, описанном в
7.3.1 в каждой намеченной на материале контрольной точке.
Оценивают стандартную относительную неопределенность
uM, %, результата измерений

по формуле

(7)
где DM,i - измеренное значение кермы в воздухе с контролируемым материалом, мГр;

- среднее значение кермы в воздухе с контролируемым материалом, мГр.
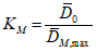
7.3.5 Определение кратности ослабления контролируемым материалом
Определяют кратность ослабления излучения контролируемым материалом KM по формуле

, (8)
где

- максимальное среднее значение из полученных во всех контрольных точках материала, мГр.
7.3.6 Определение свинцового эквивалента контролируемого материала
Полученное значение кратности ослабления излучения KM сравнивают со значениями на кривой зависимости K = f(d) кратности ослабления Kd от толщины свинца d и определяют свинцовый эквивалент dPb, мм Pb, контролируемого материала. Расчет свинцового эквивалента СЗ также можно провести по формуле

(9)
где a и b - коэффициенты в уравнении аппроксимации (определяют при построении линий тренда).
7.4 Оценивание неопределенности измерений
Расширенную относительную неопределенность свинцового эквивалента UPb, % (при коэффициенте охвата k = 2) оценивают по формуле

, (10)
где
u0 - стандартная относительная неопределенность результата измерений кермы в воздухе в неослабленном пучке излучения, определенная по
формуле (3), %;
uM - стандартная относительная неопределенность результата измерений кермы в воздухе с контролируемым материалом, определенная по
формуле (7), %;
uАППР - относительная неопределенность аппроксимации зависимости
K =
f(
d), определенная по
формуле (6), %.
За свинцовый эквивалент СЗ или контролируемого материала
dPb,экв принимают толщину свинца
dPb, определенную в соответствии с
7.3.6, с указанием расширенной неопределенности измерений в процентах +/-
UPb, определенной по
формуле (10).
СЗ считается выдержавшим испытания, если значение dPb,экв = dPb(1 - UPb/100) не меньше значений свинцового эквивалента, указанных в ЭД, НД.
По результатам испытаний оформляют протокол испытаний в соответствии с
ГОСТ Р 58973.
8 Обеспечение достоверности результатов
Обеспечение достоверности результатов проводят путем периодической (не реже 1 раза в год) проверки постоянства кратности ослабления свинцовых пластин. Допустимое отклонение Kd от значения, полученного при верификации метода в лаборатории, - не более 5%. В случае превышения предельного отклонения работу по испытаниям приостанавливают до устранения отклонений.
| | Государственная система обеспечения единства измерений. Метрология. Основные термины и определения |
| Правила государственной регистрации медицинских изделий (утвержденные постановлением Правительства Российской Федерации от 27 декабря 2012 г. N 1416) |
| от 26 июня 2008 г. N 102-ФЗ | Об обеспечении единства измерений |
УДК 621.386.8:62-784.7:006.354 | |
Ключевые слова: средства защиты, рентгеновское излучение, персонал, эксплуатация, требования, испытания |