Главная // Актуальные документы // ГОСТ Р (Государственный стандарт)СПРАВКА
Источник публикации
М.: ФГБУ "РСТ", 2022
Примечание к документу
Документ
введен в действие с 01.05.2022.
Название документа
"ГОСТ Р 70037-2022. Национальный стандарт Российской Федерации. Дороги автомобильные общего пользования. Материалы геосинтетические. Методика испытаний по определению сопротивления вытягиванию геосинтетических материалов из грунта"
(утв. и введен в действие Приказом Росстандарта от 10.03.2022 N 126-ст)
"ГОСТ Р 70037-2022. Национальный стандарт Российской Федерации. Дороги автомобильные общего пользования. Материалы геосинтетические. Методика испытаний по определению сопротивления вытягиванию геосинтетических материалов из грунта"
(утв. и введен в действие Приказом Росстандарта от 10.03.2022 N 126-ст)
Утвержден и введен в действие
агентства по техническому
регулированию и метрологии
от 10 марта 2022 г. N 126-ст
НАЦИОНАЛЬНЫЙ СТАНДАРТ РОССИЙСКОЙ ФЕДЕРАЦИИ
ДОРОГИ АВТОМОБИЛЬНЫЕ ОБЩЕГО ПОЛЬЗОВАНИЯ
МАТЕРИАЛЫ ГЕОСИНТЕТИЧЕСКИЕ
МЕТОДИКА ИСПЫТАНИЙ ПО ОПРЕДЕЛЕНИЮ СОПРОТИВЛЕНИЯ
ВЫТЯГИВАНИЮ ГЕОСИНТЕТИЧЕСКИХ МАТЕРИАЛОВ ИЗ ГРУНТА
Automobile roads of general use. Geosynthetic materials.
Method for measuring geosynthetic pullout resistance in soil
ГОСТ Р 70037-2022
Дата введения
1 мая 2022 года
1 РАЗРАБОТАН Автономной некоммерческой организацией "Научно-исследовательский институт транспортно-строительного комплекса" (АНО "НИИ ТСК")
2 ВНЕСЕН Техническим комитетом по стандартизации ТК 418 "Дорожное хозяйство"
3 УТВЕРЖДЕН И ВВЕДЕН В ДЕЙСТВИЕ
Приказом Федерального агентства по техническому регулированию и метрологии от 10 марта 2022 г. N 126-ст
4 ВВЕДЕН ВПЕРВЫЕ
Правила применения настоящего стандарта установлены в статье 26 Федерального закона от 29 июня 2015 г. N 162-ФЗ "О стандартизации в Российской Федерации". Информация об изменениях к настоящему стандарту публикуется в ежегодном (по состоянию на 1 января текущего года) информационном указателе "Национальные стандарты", а официальный текст изменений и поправок - в ежемесячном информационном указателе "Национальные стандарты". В случае пересмотра (замены) или отмены настоящего стандарта соответствующее уведомление будет опубликовано в ближайшем выпуске ежемесячного информационного указателя "Национальные стандарты". Соответствующая информация, уведомление и тексты размещаются также в информационной системе общего пользования - на официальном сайте Федерального агентства по техническому регулированию и метрологии в сети Интернет (www.rst.gov.ru)
Настоящий стандарт распространяется на геосинтетические материалы, применяемые при строительстве, реконструкции, капитальном ремонте автомобильных дорог общего пользования и сооружений на них, и устанавливает методику испытаний по определению сопротивления вытягиванию для геосинтетических материалов (за исключением геосотовых материалов) из грунта. Настоящий стандарт применим к геосинтетическим материалам, сопротивление вытягиванию которых из грунта не превышает 250 кН/м.
В настоящем стандарте использованы нормативные ссылки на следующие стандарты:
ГОСТ 12.1.019 Система стандартов безопасности труда. Электробезопасность. Общие требования и номенклатура видов защиты
ГОСТ 12.4.252 Система стандартов безопасности труда. Средства индивидуальной защиты рук. Перчатки. Общие технические требования. Методы испытаний
ГОСТ 5180-2015 Грунты. Методы лабораторного определения физических характеристик
ГОСТ 12071 Грунты. Отбор, упаковка, транспортирование и хранение образцов
ГОСТ 22733 Грунты. Метод лабораторного определения максимальной плотности
ГОСТ 32824 Дороги автомобильные общего пользования. Песок природный. Технические требования
ГОСТ ISO 9862 Материалы геосинтетические. Порядок отбора и подготовки образцов для испытаний
ГОСТ Р 55028 Дороги автомобильные общего пользования. Материалы геосинтетические для дорожного строительства. Классификация, термины и определения
ГОСТ Р 55030 Дороги автомобильные общего пользования. Материалы геосинтетические для дорожного строительства. Метод определения прочности при растяжении
Примечание - При пользовании настоящим стандартом целесообразно проверить действие ссылочных стандартов в информационной системе общего пользования - на официальном сайте Федерального агентства по техническому регулированию и метрологии в сети Интернет или по ежегодному информационному указателю "Национальные стандарты", который опубликован по состоянию на 1 января текущего года, и по выпускам ежемесячного информационного указателя "Национальные стандарты" за текущий год. Если заменен ссылочный стандарт, на который дана недатированная ссылка, то рекомендуется использовать действующую версию этого стандарта с учетом всех внесенных в данную версию изменений. Если заменен ссылочный стандарт, на который дана датированная ссылка, то рекомендуется использовать версию этого стандарта с указанным выше годом утверждения (принятия). Если после утверждения национального стандарта в ссылочный стандарт, на который дана датированная ссылка, внесено изменение, затрагивающее положение, на которое дана ссылка, то это положение рекомендуется применять без учета данного изменения. Если ссылочный стандарт отменен без замены, то положение, в котором дана ссылка на него, рекомендуется применять в части, не затрагивающей эту ссылку.
В настоящем стандарте применены термины по
ГОСТ Р 55028,
ГОСТ Р 55030, а также следующий термин с соответствующим определением:
3.1 вытягивание: Усилие, характеризующее физическое взаимодействие армирующего элемента и грунта.
4 Требования к испытательному оборудованию, средствам измерений, вспомогательным устройствам, материалам
При проведении испытаний применяют следующие испытательное оборудование, средства измерений, вспомогательные устройства и материалы:
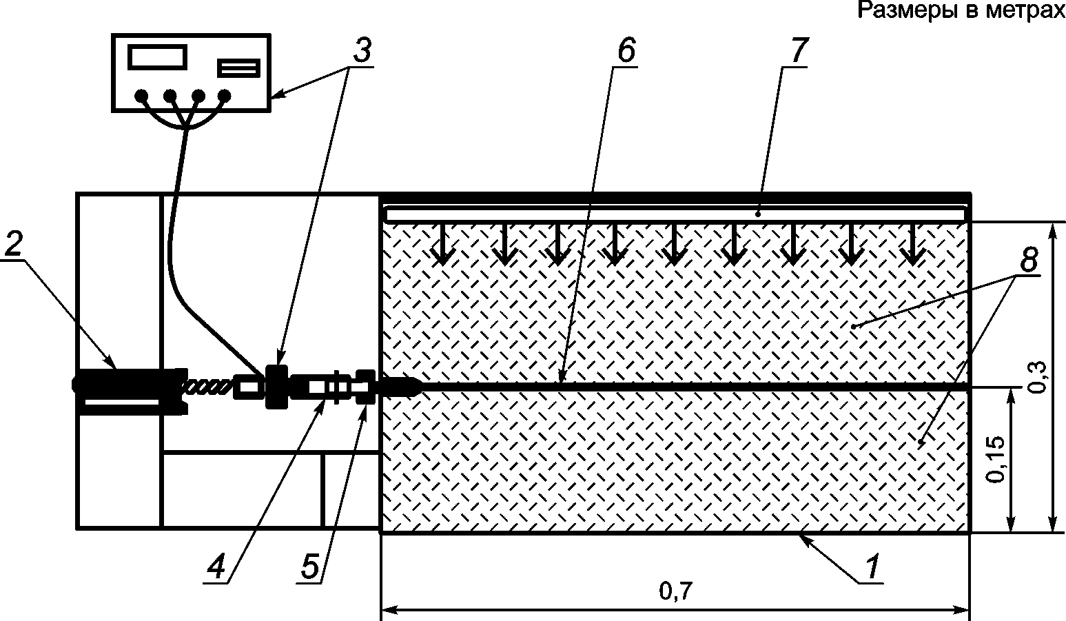
а) установка для испытания геосинтетических материалов при воздействии вытягивающего усилия (см.
рисунок 1), включающая следующие элементы:
- форма для грунта с габаритными размерами, не менее: длина - 0,70 м, ширина - 0,40 м, высота - 0,30 м;
- устройство нагружения, создающее равномерное давление на горизонтальную поверхность формы для грунта, с верхним пределом нагружения не менее 400 кПа;
- средство измерения давления на горизонтальную поверхность формы с верхним пределом измерений не менее 400 кПа с ценой деления не менее 5 кПа;
- устройство вытягивающее, создающее усилие до 50 кН со скоростью перемещения (2,0 +/- 0,1) мм/мин;
- динамометр с верхним пределом измерений не менее 50 кН с относительной погрешностью не более 1%;
- муфта, обеспечивающая соединение устройства для формирования вытягивающего усилия и устройства для крепления образца геосинтетического материала;
- устройство для крепления образца геосинтетического материала - зажим тисочного типа, шириной не менее 200 мм. Зажим должен обеспечивать соединение образца с устройством вытягивания без проскальзывания, не вызывая разрывов или ослабления материала;
б) оборудование для подготовки грунта:
- устройство для уплотнения грунта;
- инструменты для выравнивания и инструменты для размещения и удаления грунта по
ГОСТ 19596.
Примечание - В качестве устройства для уплотнения может быть использовано устройство нагружения;
в) инструменты и средства измерений для подготовки образцов геосинтетических материалов по
ГОСТ ISO 9862;
Примечание - В случае проектирования конструкций автомобильных дорог и дорожных сооружений с применением геосинтетических материалов при проведении испытаний может быть использован песчаный грунт с объекта строительства (или с карьера), отобранный по
ГОСТ 12071.
1 - форма для грунта; 2 - устройство для формирования
вытягивающего усилия; 3 - динамометр; 4 - муфта;
5 - устройство для крепления образца геосинтетического
материала тисочного типа; 6 - образец геосинтетического
материала; 7 - устройство нагружения; 8 - грунт
Рисунок 1 - Схема установки для испытания геосинтетических
материалов при воздействии вытягивающего усилия
Испытания по определению сопротивления вытягиванию геосинтетических материалов из грунта выполняют методом косвенных измерений на основании результатов измерений силы, при которой происходит вытягивание образца геосинтетического материала из уплотненного грунта под воздействием внешнего давления, и ширины образца.
6 Требования безопасности и охраны окружающей среды
6.1 При выполнении испытания по определению сопротивления вытягиванию геосинтетических материалов из грунта соблюдают следующие требования:
- правила техники безопасности;
- правила по электробезопасности согласно
ГОСТ 12.1.019 и инструкции по эксплуатации оборудования.
6.3 Испытанный материал утилизируют в соответствии с рекомендациями организации-изготовителя, указанными в стандарте организации на материал.
7 Требования к условиям испытаний
При хранении образцов и выполнении испытаний соблюдают следующие условия:
- температура - (20 +/- 5) °C;
- относительная влажность воздуха - (65 +/- 20)%;
- влажность грунта должна соответствовать оптимальному значению по
ГОСТ 22733.
8 Подготовка к проведению испытаний
8.1 Общие положения
При подготовке к проведению испытаний выполняют следующие действия:
- отбор проб и подготовка образцов геосинтетического материала для испытаний;
- размещение и уплотнение нижнего слоя грунта;
- размещение образца геосинтетического материала;
- размещение и уплотнение верхнего слоя грунта;
- выбор значения нормальной нагрузки образца.
8.2 Отбор проб и подготовка образцов геосинтетического материала для испытаний
Вырезают три образца для испытаний в продольном направлении таким образом, чтобы образцы не являлись непосредственным продолжением друг друга. Длина образцов должна в пять раз превышать их ширину. При размещении в форме должен быть обеспечен выступ материала на длину (0,30 +/- 0,05) м от края формы для его фиксации и центрирования в форме. Размер образца: длина - (1,00 +/- 0,05) м, ширина - (0,20 +/- 0,01) м. При испытаниях георешетки определяют целое число элементов (ребер) в направлении, которые умещаются на ширине 200 мм.
8.3 Размещение и уплотнение грунта
Определяют массу навески грунта, необходимую для заполнения формы при максимальной плотности на высоту 15 см, в соответствии с
ГОСТ 22733. Грунт уплотняют до достижения значения коэффициента уплотнения грунта (0,95 +/- 0,02). Плотность грунта определяют по трем точкам (вдоль оси испытания: по краям и середине) методом режущего кольца согласно
разделу 9 ГОСТ 5180-2015.
8.4 Размещение образца
Образец размещают в нижней части формы. Во время проведения испытания вся нижняя поверхность образца должна контактировать со слоем грунта в горизонтальной плоскости. Образец закрепляют за пределами формы. Соединяют захват с вытягивающим устройством.
8.5 Размещение и уплотнение верхнего слоя
Определяют массу навески грунта, необходимую для заполнения верхней части формы при максимальной плотности до высоты 30 см, в соответствии с
ГОСТ 22733. Грунт уплотняют до достижения значения коэффициента уплотнения грунта (0,95 +/- 0,02). Плотность грунта определяют по трем точкам (вдоль оси испытания: по краям и середине) методом режущего кольца согласно
разделу 9 ГОСТ 5180-2015.
8.6 Выбор значения нормальной нагрузки образца
К поверхности верхнего слоя грунта прикладывают нагрузку, обеспечивающую равномерное давление на всю горизонтальную поверхность формы. Испытания проводят при следующих значениях давления (нормальной нагрузки): 25, 50, 100, 200 кПа.
9 Порядок проведения испытаний
9.1 Прикладывают к образцу вытягивающее усилие при постоянной скорости смещения.
9.2 В ходе испытания измеряют максимальное вытягивающее усилие до начала его устойчивого снижения при всех заданных значениях давления на образец геосинтетического материала: 25, 50, 100, 200 кПа.
Примечание - При разрушении образца при вытягивании в зажимах результат не учитывают.
9.3 Необходимо выполнить параллельные испытания для трех образцов материала на всех уровнях давления (нормальной нагрузки).
9.4 Испытание прекращают при вытягивании образца на длину более 125 мм.
10 Обработка результатов испытаний
10.1 Вычисляют сопротивление вытягиванию Pr:
а) для геосинтетических материалов, кроме георешеток, при заданных значениях давления в системе: 25, 50, 100, 200 кПа по формуле

(1)
где Fp - вытягивающее усилие, кН;
Wg - ширина образца, м;
б) для георешеток при заданных значениях давления в системе: 25, 50, 100, 200 кПа по формуле

(2)
где ng - число ребер на единицу ширины георешетки в направлении вытягивающего усилия;
Ng - число ребер испытуемого образца георешетки в направлении вытягивающего усилия.
10.2 Вычисляют касательное напряжение в образце материала

, МПа, при заданных значениях давления: 25, 50, 100, 200 кПа по формуле

(3)
L - длина образца, м.
10.3 Вычисляют среднее арифметическое значение касательного напряжения для трех образцов материала.
10.4 Вычисляют угол внутреннего трения в системе "грунт - геосинтетический материал - грунт"

по формуле

(4)
где

- среднее арифметическое значение касательного напряжения для трех образцов материала при одном заданном значении давления

(

, 50, 100, 200 кПа);

- заданное значение давления (

, 50, 100, 200 кПа);

- среднее арифметическое значение касательного напряжения для трех образцов материала, полученное на основании результатов испытаний при четырех значениях давления (25, 50, 100, 200 кПа);

- среднее арифметическое значение давления, равное 93,75 кПа.
10.5 Вычисляют коэффициент, характеризующий влияние материала на внутреннее трение в системе "грунт - геосинтетический материал - грунт" по формуле

(5)
где

- угол внутреннего трения грунта.
11 Оформление результатов испытаний
Результаты испытаний оформляют в виде протокола, который должен содержать:
- дату проведения измерений;
- наименование организации, проводившей испытания;
- ссылку на акт отбора проб;
- условия проведения испытаний;
- идентификацию и описание образцов геосинтетических материалов;
- коэффициенты уплотнения нижнего и верхнего слоев грунта;
- плотность в нижнем и верхнем слоях грунта;
- угол внутреннего трения грунта;
- результаты измерений и вытягивающего усилия при заданном давлении на образец геосинтетического материала;
- значения касательного напряжения в образцах материала;
- угол внутреннего трения в системе "грунт - геосинтетический материал - грунт";
- коэффициент, характеризующий влияние материала на внутреннее трение в системе "грунт - геосинтетический материал - грунт";
- максимальное вытягивающее усилие.
УДК 625.731:006.354 | |
Ключевые слова: геосинтетический материал, дорожное строительство, сопротивление вытягиванию |