Главная // Актуальные документы // ГОСТ Р (Государственный стандарт)СПРАВКА
Источник публикации
М.: ФГБУ "РСТ", 2022
Примечание к документу
Документ включен в
Перечень документов в области стандартизации, в результате применения которых на добровольной основе обеспечивается соблюдение требований Федерального
закона от 30.12.2009 N 384-ФЗ "Технический регламент о безопасности зданий и сооружений" (
Приказ Росстандарта от 02.04.2020 N 687).
Документ
введен в действие с 01.01.2022.
Название документа
"ГОСТ Р 59958-2021. Национальный стандарт Российской Федерации. Грунты. Метод определения пределов прочности и модуля деформации при испытании сосредоточенной нагрузкой"
(утв. и введен в действие Приказом Росстандарта от 21.12.2021 N 1825-ст)
"ГОСТ Р 59958-2021. Национальный стандарт Российской Федерации. Грунты. Метод определения пределов прочности и модуля деформации при испытании сосредоточенной нагрузкой"
(утв. и введен в действие Приказом Росстандарта от 21.12.2021 N 1825-ст)
Утвержден и введен в действие
агентства по техническому
регулированию и метрологии
от 21 декабря 2021 г. N 1825-ст
НАЦИОНАЛЬНЫЙ СТАНДАРТ РОССИЙСКОЙ ФЕДЕРАЦИИ
ГРУНТЫ
МЕТОД ОПРЕДЕЛЕНИЯ ПРЕДЕЛОВ ПРОЧНОСТИ И МОДУЛЯ ДЕФОРМАЦИИ
ПРИ ИСПЫТАНИИ СОСРЕДОТОЧЕННОЙ НАГРУЗКОЙ
Soils. Test method for determination of the strength
and deformation modulus experiencing a point load
ГОСТ Р 59958-2021
Дата введения
1 января 2022 года
1 РАЗРАБОТАН Акционерным обществом "Научно-исследовательский центр "Строительство" (АО "НИЦ "Строительство") - Научно-исследовательским проектно-изыскательским и конструкторско-технологическим институтом оснований и подземных сооружений имени Н.М. Герсеванова (НИИОСП им. Н.М. Герсеванова) при участии Общества с ограниченной ответственностью "ПрогрессГео" (ООО "ПрогрессГео")
2 ВНЕСЕН Техническим комитетом по стандартизации ТК 465 "Строительство"
3 УТВЕРЖДЕН И ВВЕДЕН В ДЕЙСТВИЕ
Приказом Федерального агентства по техническому регулированию и метрологии от 21 декабря 2021 г. N 1825-ст
4 ВВЕДЕН ВПЕРВЫЕ
Правила применения настоящего стандарта установлены в статье 26 Федерального закона от 29 июня 2015 г. N 162-ФЗ "О стандартизации в Российской Федерации". Информация об изменениях к настоящему стандарту публикуется в ежегодном (по состоянию на 1 января текущего года) информационном указателе "Национальные стандарты", а официальный текст изменений и поправок - в ежемесячном информационном указателе "Национальные стандарты". В случае пересмотра (замены) или отмены настоящего стандарта соответствующее уведомление будет опубликовано в ближайшем выпуске ежемесячного информационного указателя "Национальные стандарты". Соответствующая информация, уведомление и тексты размещаются также в информационной системе общего пользования - на официальном сайте Федерального агентства по техническому регулированию и метрологии в сети Интернет (www.rst.gov.ru)
Настоящий стандарт разработан впервые с учетом требований федеральных законов "О техническом регулировании" от 27 декабря 2002 г.
N 184-ФЗ и "Технический регламент о безопасности зданий и сооружений" от 30 декабря 2009 г.
N 384-ФЗ.
Настоящий стандарт разработан коллективом авторов под руководством канд. техн. наук А.Н. Труфанова, заведующего лабораторией "Методов исследований грунтов" АО НИЦ "Строительство" - НИИОСП им. Н.М. Герсеванова.
Настоящий стандарт распространяется на испытания скальных грунтов и аналогичных им техногенных грунтов и устанавливает требования к методу определения предела прочности и модуля деформации при испытании сосредоточенной нагрузкой.
В настоящем стандарте использованы нормативные ссылки на следующие стандарты:
ГОСТ 5180 Грунты. Методы лабораторного определения физических характеристик
ГОСТ 12071 Грунты. Отбор, упаковка, транспортирование и хранение образцов
ГОСТ 20522 Грунты. Методы статистической обработки результатов испытаний
ГОСТ 30416 Грунты. Лабораторные испытания. Общие положения
Примечание - При пользовании настоящим стандартом целесообразно проверить действие ссылочных стандартов в информационной системе общего пользования - на официальном сайте Федерального агентства по техническому регулированию и метрологии в сети Интернет или по ежегодному информационному указателю "Национальные стандарты", который опубликован по состоянию на 1 января текущего года, и по выпускам ежемесячного информационного указателя "Национальные стандарты" за текущий год. Если заменен ссылочный стандарт, на который дана недатированная ссылка, то рекомендуется использовать действующую версию этого стандарта с учетом всех внесенных в данную версию изменений. Если заменен ссылочный стандарт, на который дана датированная ссылка, то рекомендуется использовать версию этого стандарта с указанным выше годом утверждения (принятия). Если после утверждения настоящего стандарта в ссылочный стандарт, на который дана датированная ссылка, внесено изменение, затрагивающее положение, на которое дана ссылка, то это положение рекомендуется применять без учета данного изменения. Если ссылочный стандарт отменен без замены, то положение, в котором дана ссылка на него, рекомендуется применять в части, не затрагивающей эту ссылку.
В настоящем стандарте применены следующие термины с соответствующими определениями:
3.1 испытательная установка: Комплекс оборудования для испытания образца определенным методом, содержащий все необходимые для проведения испытания детали, устройства, механизмы, датчики.
3.2 нагрузочное устройство: Машина, состоящая из силовой рамы, механизма создания нагрузки (гидравлический, электрогидравлический, механический, электромеханический или иной), инденторов для испытания образца.
3.3 коэффициент анизотропии скального грунта при одноосном сжатии сосредоточенной нагрузкой Kа, доли ед.: Отношение средних значений предела прочности при одноосном сжатии для серий образцов, изготовленных в двух взаимно перпендикулярных направлениях Rс,A и Rс,B, полученных при испытаниях одним методом в одном состоянии.
4.1 Метод предназначен для определения характеристик прочности и деформируемости скальных грунтов и аналогичных им техногенных грунтов (по
ГОСТ 25100) на одноосное сжатие при инженерных изысканиях и исследованиях грунтов для строительства в водонасыщенном состоянии, воздушно-сухом состоянии и при природной влажности.
4.2 Общие требования к лабораторным испытаниям грунтов, оборудованию и приборам, лабораторным помещениям и способы изготовления образцов для испытаний приведены в
ГОСТ 30416. Дополнительные требования приведены в стандартах на конкретные методы испытаний.
4.3 Способы отбора, хранения и транспортирования монолитов для испытаний должны обеспечить сохранение их структуры и влажности в соответствии с
ГОСТ 12071 и
ГОСТ 30416.
4.4 Метод применяют в случаях, когда структурно-текстурные особенности грунта не позволяют провести (или провести в достаточном объеме) испытания по определению прочности при одноосном сжатии плоскими плитами, либо в случаях, когда необходимо одновременно определить прочность при одноосном растяжении.
5.1 Сущность метода при определении параметров прочности заключается в измерении максимальной разрушающей силы, приложенной точечно (конусными, сферическими инденторами) к образцу через встречно направленные инденторы.
5.2 Испытания на деформируемость заключаются в измерении деформаций образца при его ступенчатом нагружении и разгружении через инденторы без разрушения.
6.1 Оборудование для определения параметров прочности
6.1.1 Испытательная установка состоит из нагрузочного устройства и силоизмерительного устройства (динамометр, датчик силы, манометр или датчик давления и соответствующее устройство пересчета).
6.1.2 Устройство нагрузочное, представляющее собой машину для испытания или пресс любой конструкции, максимальное усилие которой не менее чем на 30% превышает предельную нагрузку на образец, обеспечивающее встречно-соосное приложение нагрузки к образцу через металлические инденторы точечного нагружения [сферические инденторы диаметром (15 +/- 0,05) мм или конусные инденторы в виде усеченного конуса с углом (60 +/- 2)° и радиусом скругления вершины (7,5 +/- 0,05) мм], имеющие твердость по Роквеллу 60 - 65 HRC. Допускаемое отклонение соосности инденторов - не более 0,2 мм.
Допускается применение инденторов в виде усеченного конуса с углом (60 +/- 2)° и радиусом закругления (5 +/- 0,05) мм. При этом следует проводить сравнительные испытания с применением стандартных инденторов с радиусом скругления вершины (15 +/- 0,05) мм на тех же разновидностях грунтов с расчетом коэффициента пересчета на радиус.
6.1.3 Устройство силоизмерительное (динамометр, датчик силы, манометр или датчик давления и соответствующее устройство пересчета), входящее в состав испытательной установки или используемое при проведении испытания, должно иметь предел допускаемой приведенной погрешности измерения нагрузки при прямом ходе не более +/- 1% (усилий, давлений от номинального предела измерений). Используемые силоизмерительные устройства должны быть подобраны таким образом, чтобы предел допускаемой погрешности не превышал 10% среднего значения разрушающего усилия серии образцов грунта. Поскольку разрушение происходит быстро, установка должна иметь достаточное быстродействие, для того чтобы фиксировать максимальное усилие при испытании.
Примечание - При использовании средств измерений усилия, основанных на тензометрических датчиках, номинал датчика должен не менее чем в два раза (на 100%) превышать разрушающее усилие, так как данные датчики не предназначены для измерения "ударных" нагрузок и при мгновенном разрушении образца на нагрузках, близких к номиналу тензометрических датчиков, тарировка датчика может значительно искажаться.
6.1.4 Бумага масштабно-координатная или устройство, приспособление, позволяющее измерить площадь поверхности раскола в проекции на плоскость с точностью до 5%.
6.2 Дополнительное оборудование для определения модуля деформации
Устройство для измерения деформации, представляющее собой датчик, индикатор, размещенный по оси нагружения, или два датчика, индикатора, вынесенные в стороны симметрично оси. При испытании прочных и очень прочных грунтов (Rс >= 50 МПа) датчики перемещения, индикаторы должны иметь дискретность измерения (цену деления) не более 0,002 мм. При испытании пород с пределом прочности Rс < 50 МПа допускается использовать датчики перемещения, индикаторы с дискретностью (ценой деления) 0,01 мм.
7.1 Образцы неправильной формы изготовляют откалыванием, отпиливанием или подбирают по размерам в соответствии с 7.2, при необходимости - с подшлифовкой. По специальному заданию для определения коэффициента анизотропии Kа изготовляют серии образцов для испытаний в двух взаимно перпендикулярных направлениях (например, по слоистости и перпендикулярно слоистости). При этом определяют пределы прочности Rс,A и Rс,B.
7.2 Образцы изготовляют (или подбирают на испытании) таким образом, чтобы высота образца H, мм, по отношению к среднему значению длины и ширины образца Aср, мм, или диаметра цилиндрического образца D, мм, находилась в пределах 0,3Aср < H < Aср. Высоту образца измеряют между точками приложения нагрузки с точностью +/- 0,1 мм. Высота образца H должна быть не менее 10 мм. Рекомендуемые размеры образца (A, B) - от 30 до 85 мм. Образцы не должны иметь на торцах резких неровностей, углублений, в которых при испытании может происходить концентрация напряжений.
7.3 Подготовленные для испытания образцы одной серии должны иметь близкие размеры. Допускается различие площадей поверхностей разрушения образцов одной серии не более чем в 2,5 раза.
7.4 Для устойчивого положения между инденторами образца неправильной формы на двух противоположных его поверхностях в точках приложения нагрузки выбирают или подготовляют любыми средствами примерно параллельные площадки размерами не менее 10 x 10 мм.
7.5 Число образцов неправильной формы для каждой серии испытаний должно быть не менее десяти. При использовании образцов правильной формы (дисков из керна скважин, выпиленных прямоугольных параллелепипедов) число образцов допускается сократить до шести при условии обеспечения требуемого коэффициента вариации по результатам серии испытаний.
7.6 Измерение каждого из линейных размеров образца (высота, длина, ширина или высота и диаметр для цилиндрических образцов) проводят в трех местах, записывают среднее значение. Точки приложения нагрузки при обмере образцов перед испытанием маркируют.
7.7 Ось нагружения образца инденторами должна быть ориентирована относительно строения (слоистости) породы в соответствии с заданным направлением растяжения породы и должна быть удалена от ближайшей боковой поверхности образца на расстояние не меньшее половины высоты образца и располагаться вблизи центра тяжести образца. Схема разметки образца для испытаний приведена на рисунке 1.
а - горизонтальный цилиндрический образец; б - вертикальный
цилиндрический образец; в - образец в форме прямоугольного
параллелепипеда; г - образец неправильной формы
H - высота образца; D - диаметр образца;
A1, A2, Aср - измеренные и среднее значения ширины образца
соответственно; L - расстояние от точки приложения
нагрузки до края образца
Рисунок 1 - Схемы разметки образцов для испытаний
сосредоточенной нагрузкой
7.8 Определение прочности скальных грунтов и аналогичных им техногенных грунтов (по
ГОСТ 25100) на одноосное сжатие проводят в водонасыщенном состоянии. Для этого подготовленные образцы замачивают в воде не менее чем на 24 ч или проводят их водонасыщение вакуумированием. Водонасыщение вакуумированием заключается в поочередном замачивании образца при разрежении 70 - 90 кПа относительно атмосферного давления (этап воздухоудаления) и под атмосферным давлением (этап водонасыщения). Время каждого этапа должно составлять не менее 0,5 ч. Процедуры воздухоудаления в разреженной среде и водонасыщения при атмосферном давлении повторяют не менее трех раз.
7.9 Для определения коэффициента размягчаемости
Ksof скального грунта в воде проводят параллельные испытания образцов-плиток в воздушно-сухом и водонасыщенном состоянии, затем проводят расчет
Ksof по
ГОСТ 25100.
7.10 По специальному заданию допускается проводить испытания образцов с естественной влажностью (например, для определения категории грунта по трудности разработки).
8.1 Проведение испытания для определения прочностных характеристик
8.1.1 Образец размещают намеченными точками приложения нагрузки по оси нагружения образца
(7.7) между инденторами испытательной установки. Рекомендуемая схема установки приведена на рисунке 2.
1 - силовая рама; 2 - нижний шток либо основание;
3, 4 - вкладыш со сферическим индентором или конусный
индентор; 5 - верхний шток; 6 - образец
Рисунок 2 - Установка для испытания грунтов
сосредоточенной нагрузкой
8.1.2 Образец нагружают через инденторы равномерно до разрушения со скоростью 0,1 - 0,5 кН/с.
8.1.3 Фиксируют (записывают) максимальное значение разрушающей образец силы P, кН.
8.1.4 Испытание признают действительным при разрыве образца на две или три части по поверхности, проходящей через ось нагружения.
8.1.5 Проекции поверхностей раскола на плоскость переносят на масштабно-координатную бумагу или заносят в устройство, приспособление, позволяющее измерить площадь проекции. Определяют значение площади поверхности (суммарную величину поверхностей) раскола (разрыва) образца S, см2, с точностью до 0,1 см2.
8.1.6 При необходимости определяют влажность пробы после испытаний. Для этого дробят обломки образцов до частиц размером не более 10 мм, помещают в бюксы и взвешивают. Дробленую породу помещают в бюксы не позднее чем через 10 мин, а взвешивают не позднее чем через 30 мин после выполнения испытания. Дальнейшие операции - по
ГОСТ 5180. Влажность фиксируют в журнале испытаний.
8.2 Проведение испытания для определения модуля деформации
8.2.1 Предварительно определяют прочность испытаниями в соответствии с
8.1.
8.2.2 Образец для определения модуля деформации размещают намеченными точками приложения нагрузки между инденторами испытательной установки.
8.2.3 Определяют значения двух ступеней нагрузок и по таблице 1.
Таблица 1
 , МПа | P1, кН | P2, кН |
| 0,30 | 0,50 |
| 0,50 | 0,75 |
| 0,50 | 1,00 |
| 1,00 | 2,00 |
| 1,00 | 2,50 |
| 1,00 | 3,00 |
8.2.4 За условный нуль
P0 принимают и не учитывают в расчетах нагрузку, равную общей массе подвижных элементов, передающих свою нагрузку на образец, если она составляет до 30 Н, и учитывают, если детали установки передают на образец

нагрузку.
8.2.5 Фиксируют начальное положение по устройству измерения деформации (берут первый отсчет

).
8.2.6 Нагружают образец от условного нуля до значения P1 со скоростью, позволяющей достичь заданной нагрузки за 10 - 20 с.
8.2.7 Фиксируют показание (берут второй отсчет

) по устройству измерения деформации.
8.2.8 Плавно разгружают образец до условного нуля
P0, фиксируют конечное показание по устройству измерения деформации (берут третий отсчет

).
8.2.9 Проводят аналогично второй цикл нагружения-разгружения до значения нагрузки, соответствующей
P2, получая показания

при нагрузке
P2 и

после разгрузки.
8.2.10 Для устройств измерения деформаций с двумя симметрично расположенными индикаторами вычисляют среднее значение каждого отсчета.
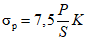
9.1 Обработка результатов испытания на прочность
9.1.1 Предел прочности при одноосном растяжении

, МПа, для каждого испытания на прочность вычисляют по формуле

, (1)
где P - разрушающая нагрузка, кН;
S - площадь поверхности скола, разрыва, см2;
K - безразмерный масштабный коэффициент, принимаемый по формуле
K = 0,51S0,25. (2)
9.1.2 Предел прочности при одноосном сжатии

, МПа, вычисляют по корреляционным зависимостям, полученным сопоставлением с результатами испытаний плоскими плитами скальных грунтов. Зависимости допускается применять в случаях, когда сравнительные испытания проводят на образцах одних петрографических (литологических) видов и подвидов грунтов, входящих в одну разновидность по прочности скальных грунтов по
ГОСТ 25100 и испытанных в том же состоянии. Допускается также использование зависимостей, приведенных в таблице 2.
Таблица 2
Типы и разновидности скальных грунтов | Зависимости |
Осадочные и вулканогенно-осадочные грунты при  более 5 МПа | |
Магматические и метаморфические грунты при  более 5 МПа | |
Вулканогенно-осадочные грунты при  | |
Аргиллиты, мергели, трепела, гипсы, прочие осадочные грунты при  | |
Магматические и метаморфические при  | |
Все типы при  | |
9.1.3 Вычисленные по корреляционным зависимостям по серии испытаний значения

, МПа, с коэффициентом вариации
V = 0,30 при коэффициенте доверительной вероятности

(по
ГОСТ 20522) соответствуют результатам испытаний на одноосное сжатие серии (не менее пяти) цилиндрических образцов при условии одинаково направленного приложения разрушающих сил при испытаниях.
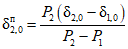
9.2 Обработка результатов испытаний на деформируемость
9.2.1 Исходными данными при обработке результатов испытания каждого образца являются значения нагрузок P1 и P2 ступеней нагружения, а также значения деформаций при нагружении и разгружении.
9.2.2 Статический контактный модуль остаточной деформации горной породы при нагружении сферическими инденторами Dk, МПа, вычисляют по формуле

, (3)
где r0 - радиус инденторов, мм;
P1 и P2 - значения нагрузок на первой и второй ступенях соответственно, кН;

,

- остаточные деформации на первой и второй ступенях соответственно, мм.
Примечание - При испытании практически несжимаемых пород (Dk > 20·103 МПа) погрешности измерения остаточных деформаций соизмеримы с абсолютными значениями самих деформаций. В таких случаях вычисление модуля Dk допускается не проводить.
9.2.3 Модуль упругости на одноосное сжатие Eсж, МПа, при нагружении сферическими инденторами вычисляют по результатам измерений на второй ступени нагружения.
9.2.4 Вычисляют приведенную остаточную деформацию

, мм, внедрения инденторов в образец по формуле

. (4)
9.2.5 Вычисляют радиус площадки контакта нагрузочных инденторов с образцом a2, мм, по формуле

, (5)
где

- упругая деформация нагрузочной системы при нагрузке
P2, которую определяют по градуировке нагрузочного устройства, мм;

- показание при нагрузке
P2, мм;

- показание после разгрузки второй ступени, мм.
9.2.6 Вычисляют модуль деформации Eсж, МПа, при сжатии по формуле

(6)
УДК 624.131:006.354 | |
Ключевые слова: грунт, скальный грунт, полускальный грунт, горная порода, прочность, предел прочности при растяжении, модуль деформации скального грунта, разрушение сосредоточенной нагрузкой, сферический индентор |