Главная // Актуальные документы // ГОСТ Р (Государственный стандарт)СПРАВКА
Источник публикации
М.: ФГБУ "РСТ", 2022
Примечание к документу
Документ включен в
Перечень документов в области стандартизации, в результате применения которых на добровольной основе обеспечивается соблюдение требований Федерального
закона от 30.12.2009 N 384-ФЗ "Технический регламент о безопасности зданий и сооружений" (
Приказ Росстандарта от 02.04.2020 N 687).
Документ
введен в действие с 01.01.2022.
Название документа
"ГОСТ Р 59937-2021. Национальный стандарт Российской Федерации. Грунты. Метод лабораторного определения характеристик прочности кольцевым срезом"
(утв. и введен в действие Приказом Росстандарта от 07.12.2021 N 1725-ст)
"ГОСТ Р 59937-2021. Национальный стандарт Российской Федерации. Грунты. Метод лабораторного определения характеристик прочности кольцевым срезом"
(утв. и введен в действие Приказом Росстандарта от 07.12.2021 N 1725-ст)
Утвержден и введен в действие
агентства по техническому
регулированию и метрологии
от 7 декабря 2021 г. N 1725-ст
НАЦИОНАЛЬНЫЙ СТАНДАРТ РОССИЙСКОЙ ФЕДЕРАЦИИ
ГРУНТЫ
МЕТОД ЛАБОРАТОРНОГО ОПРЕДЕЛЕНИЯ
ХАРАКТЕРИСТИК ПРОЧНОСТИ КОЛЬЦЕВЫМ СРЕЗОМ
Soils. Method for laboratory determination
of strength characteristics by ring shear
ГОСТ Р 59937-2021
Дата введения
1 января 2022 года
1 РАЗРАБОТАН Акционерным обществом "Научно-исследовательский центр "Строительство" (АО "НИЦ" Строительство") - Научно-исследовательский, проектно-изыскательский и конструкторско-технологический институт оснований и подземных сооружений им. Н.М. Герсеванова (НИИОСП им. Н.М. Герсеванова)
2 ВНЕСЕН Техническим комитетом по стандартизации ТК 465 "Строительство"
3 УТВЕРЖДЕН И ВВЕДЕН В ДЕЙСТВИЕ
Приказом Федерального агентства по техническому регулированию и метрологии от 7 декабря 2021 г. N 1725-ст
4 ВВЕДЕН ВПЕРВЫЕ
Правила применения настоящего стандарта установлены в статье 26 Федерального закона от 29 июня 2015 г. N 162-ФЗ "О стандартизации в Российской Федерации". Информация об изменениях к настоящему стандарту публикуется в ежегодном (по состоянию на 1 января текущего года) информационном указателе "Национальные стандарты", а официальный текст изменений и поправок - в ежемесячном информационном указателе "Национальные стандарты". В случае пересмотра (замены) или отмены настоящего стандарта соответствующее уведомление будет опубликовано в ближайшем выпуске ежемесячного информационного указателя "Национальные стандарты". Соответствующая информация, уведомление и тексты размещаются также в информационной системе общего пользования - на официальном сайте Федерального агентства по техническому регулированию и метрологии в сети Интернет (www.rst.gov.ru)
Настоящий стандарт распространяется на дисперсные грунты и устанавливает требования к методам лабораторного определения сопротивления кольцевому срезу при исследовании этих грунтов для строительства.
Настоящий стандарт не распространяется на среднезаторфованные и сильнозаторфованные грунты, торф, а также на все виды мерзлых грунтов.
В настоящем стандарте использованы нормативные ссылки на следующие стандарты:
ГОСТ 5180 Грунты. Методы лабораторного определения физических характеристик
ГОСТ 12071 Грунты. Отбор, упаковка, транспортирование и хранение образцов
ГОСТ 12536 Грунты. Методы лабораторного определения гранулометрического (зернового) и микроагрегатного состава
ГОСТ 30416 Грунты. Лабораторные испытания. Общие положения
Примечание - При пользовании настоящим стандартом целесообразно проверить действие ссылочных стандартов в информационной системе общего пользования - на официальном сайте Федерального агентства по техническому регулированию и метрологии в сети Интернет или по ежегодному информационному указателю "Национальные стандарты", который опубликован по состоянию на 1 января текущего года, и по выпускам ежемесячного информационного указателя "Национальные стандарты" за текущий год. Если заменен ссылочный стандарт, на который дана недатированная ссылка, то рекомендуется использовать действующую версию этого стандарта с учетом всех внесенных в данную версию изменений. Если заменен ссылочный стандарт, на который дана датированная ссылка, то рекомендуется использовать версию этого стандарта с указанным выше годом утверждения (принятия). Если после утверждения настоящего стандарта в ссылочный стандарт, на который дана датированная ссылка, внесено изменение, затрагивающее положение, на которое дана ссылка, то это положение рекомендуется применять без учета данного изменения. Если ссылочный стандарт отменен без замены, то положение, в котором дана ссылка на него, рекомендуется применять в части, не затрагивающей эту ссылку.
В настоящем стандарте применены термины по
ГОСТ 25100,
ГОСТ 30416, а также следующие термины с соответствующими определениями:
3.1 сопротивление вращательному срезу грунта: Сопротивление перемещению одной части грунта по отношению к его другой части под действием вращательной сдвигающей нагрузки, характеризуемое значением касательного напряжения, при котором происходит срез грунта.
3.2 прибор кольцевого среза: Прибор, применяемый для определения сопротивления срезу кольцевого образца грунта путем вращения одной части срезной камеры относительно другой.
3.3
консолидация [предварительное уплотнение] грунта: Консолидация заданным эффективным напряжением консолидации

, кольцевого образца грунта до завершения фильтрации поровой воды, которая проводится перед испытанием на срез.
3.4
угол внутреннего трения грунта: Угол наклона прямой зависимости сопротивления срезу грунта от вертикального давления

к оси абсцисс.
3.5
сцепление грунта удельное: Параметр прямой зависимости сопротивления грунтов срезу от вертикального давления

, определяемый как отрезок прямой на оси ординат.
4.1 Настоящий стандарт регламентирует порядок проведения лабораторных консолидированно-дренированных испытаний кольцевых образцов грунтов методом вращательного среза для определения характеристик прочности при их исследованиях для строительства.
4.2 Методика лабораторных испытаний грунтов, оборудование и приборы, способы изготовления образцов для исследований должны соответствовать требованиям
ГОСТ 30416.
4.3 Для проведения испытаний на образцах ненарушенного сложения необходимо обеспечить сохранение природной структуры и влажности грунтов. Отбор монолитов и подготовку образцов для испытаний следует проводить в соответствии с
ГОСТ 12071.
4.4 Определение физических характеристик испытуемых грунтов влажности, плотности, плотности частиц, влажности на границах текучести и раскатывания следует выполнять по
ГОСТ 5180. Изучение гранулометрического состава грунтов - по
ГОСТ 12536. Для испытуемых образцов грунта должны быть вычислены: плотность скелета грунта, коэффициент пористости, степень влажности, число пластичности и показатель текучести (для связных дисперсных грунтов).
4.5 Процесс выполнения испытаний и их результаты записывают в журнале, рекомендуемая
форма которого приведена в приложении А. При автоматизации испытаний результаты выводят на компьютер в форме паспорта (протокола) испытания.
4.6 В отчет об испытаниях включают следующие основные сведения:
- наименование выполненных испытаний;
- данные по идентификации образца (сведения о площадке, номер буровой скважины, глубину отбора, номер пробы, номер испытания, и т.п.);
- сведения о методе подготовки образца (ненарушенного или нарушенного сложения, предварительное водонасыщение);
- характеристики образца (начальные размеры, физические характеристики до проведения среза и после окончания);
- данные по методике испытаний;
- результаты испытаний (таблицы с числовыми значениями нагрузок и деформаций, графики испытаний, числовые значения полученных характеристик).
При необходимости допускается приводить другую дополнительную информацию.
5.1 Вращательный срез кольцевого образца грунта, предварительно нагруженного нормальной к плоскости среза нагрузкой, для определения эффективных значений угла внутреннего трения

сцепления
c и остаточных значений угла внутреннего трения

, удельного сцепления
cr.
5.2 Испытание проводят путем приложения вращательной нагрузки предварительно консолидированного образца кольцевой формы для среза одной части образца относительно другой в условиях открытого дренажа, обеспечивающего полное рассеивание избыточного порового давления в процессе испытания. Для определения значений углов внутреннего трения

и

удельных сцеплений
c и
cr необходимо выполнить не менее трех испытаний идентичных образцов при различных значениях нормального напряжения.
Примечание - Значение вертикальной нагрузки на образец грунта должно быть подобрано таким образом, чтобы исключить выдавливания грунта в зазор между подвижной и неподвижной частями срезной камеры.
5.3 По способу приложения срезающей нагрузки различают следующие схемы проведения испытаний в статическом и кинематическом режимах.
В статическом режиме срез осуществляют путем приложения ступенчато возрастающей сдвигающей нагрузки, в кинематическом режиме вращательный срез проводят с заданной постоянной скоростью углового смещения.
Примечание - По специальному заданию допускается применять другие схемы проведения испытаний.
6.1 Для проведения испытаний методом кольцевого среза используют оборудование, которое состоит из следующих основных узлов:
- камеры вращательного среза, разделенной на верхнюю и нижнюю части и обеспечивающую возможность вращательного смещения этих частей относительно друг друга. Камера должна обеспечивать фиксацию образца между двумя кольцевыми штампами и передачу на образец вертикальных сжимающих и вращательных усилий. Принципиальная конструкция камеры представлена в
приложении Б;
- механизма для вертикального нагружения образца;
- механизма для создания вращательной срезающей нагрузки;
- устройства, позволяющие проводить измерение вертикальной нагрузки и вращающего усилия, а также вертикальных деформаций образца и углового смещения;
- рабочих колец для помещения образца грунта с размерами в соответствии с
7.2;
- жестких перфорированных штампов для передачи нормальных нагрузок на образец, равномерного распределения касательных напряжений при срезе и обеспечения свободного дренажа воды.
6.2 В зависимости от положения поверхности среза могут быть применены два типа устройств: тип А - с фиксированной поверхностью среза, тип Б - где поверхность среза не фиксируется.
6.3 Конструкция камеры должна обеспечивать возможность приложения вращательного усилия по поверхности среза параллельной поверхности образца и центрированную передачу вертикальной нагрузки на штамп.
6.4 Допускается использовать различные конструкции механизма вертикального нагружения - рычажного, электромеханического, гидравлического, пневматического и др., при условии создания и поддержания постоянного нормального напряжения во время уплотнения и среза образца.
6.5 При кинематическом режиме нагружения механизм для передачи сдвигающей нагрузки должен выполнять вращение со скоростью, обеспечивающей возможность полного рассеивания порового давления во время среза.
6.6 Для равномерного распределения касательных напряжений в приборах типа B верхняя и нижняя части образца должны быть закрыты достаточно шероховатыми и зазубренными перфорированными штампами для развития сильного сцепления с образцом грунта. Зубцы должны иметь глубину от 10 до 15% от первоначальной высоты образца.
6.7 Воздействие на образец (усилие, давление, перемещение) должно производиться с точностью не менее 5%-ного значения требуемого воздействия. Устройства (приборы), создающие воздействие на образец (усилие, давление, перемещение) должны быть аттестованы.
6.8 Измерительные устройства (приборы) должны обеспечивать измерения с дискретностью (ценой деления для механических, разрешающей способностью для электронных) не менее:
- при измерении вертикальной и горизонтальной нагрузки на образец - 2% максимальной нагрузки при испытании;
- для измерения крутящего момента должны иметь точность 1% фактического значения или в пределах 0,1 Нм, в зависимости от того, какое значение больше;
- при измерении вертикальной деформации образца - 0,02% начальной высоты образца, или 0,02 мм, в зависимости от того, какое значение больше;
- угловое смещение измеряют с точностью до 1° или выше.
6.9 Трение подвижной части срезной коробки необходимо определять с установленной периодичностью (не менее одного раза в год), а также в случае замены механических частей оборудования. Соответствующие тарировочные поправки должны быть внесены в паспорт оборудования (для неавтоматизированных приборов), либо автоматически учитываться программным обеспечением. При проведении испытаний следует учитывать тарировочную поправку в случае, если ее значение превышает 2% максимальной нагрузки при испытании.
6.10 Консолидация (предварительное уплотнение) образца может быть проведена непосредственно в срезном приборе или в специальном приборе уплотнителе, позволяющим проводить уплотнение при заданном давлении и сохранении природной или заданной влажности, а также в условиях полного водонасыщения.
7.1 Срезные испытания проводят на образцах грунта ненарушенного и нарушенного сложения с природной влажностью или в водонасыщенном состоянии. Образцы нарушенного сложения подготавливают в лаборатории с заданными значениями плотности и влажности (в том числе при полном водонасыщении).
Образцы просадочных грунтов испытывают в водонасыщенном состоянии, а набухающих - при природной влажности.
Примечание - Сопротивление срезу для специфических грунтов может определяться по специальным программам: для просадочных грунтов при природной влажности или влажности на границе раскатывания, если последняя превышает природную; для засоленных грунтов - на образцах предварительно выщелоченного грунта после стабилизации суффозионной осадки при заданном нормальном давлении; для набухающих грунтов - в условиях полного водонасыщения после стабилизации свободного набухания или набухания (уплотнения) при заданном нормальном давлении; для насыпных грунтов - при их максимальной, требуемой или достигаемой плотности.
7.2 При проведении испытаний по методу кольцевого среза образцы должны иметь форму цилиндрического кольца внешним диаметром
Da не менее 70 мм. Отношение внутреннего диаметра кольца
Di к внешнему диаметру
Da должно быть не менее 0,5. Минимальная высота
H грунтового кольца должна быть 15 мм для грунтов ненарушенного сложения и 5 мм для образцов из грунтовой пасты. Отношение высоты к ширине сечения образца
H/[(
Da -
Di)/2] должно быть равно или менее 1.
7.3 При вырезании образца из монолита следует избегать значительных деформаций. Торцы должны быть выровнены заподлицо с плоскостью кольца.
Испытывать образцы с включениями размером более 1/6 высоты не допускается. Неровности на поверхности образца должны быть удалены путем дальнейшей обрезки. Каверны и пустоты, размеры которых не превышают 1/6 высоты образца, допускается заполнять отобранным грунтовым материалом. Запрещается испытывать образцы с кавернами или пустотами больше указанного размера.
7.4 Образцы нарушенного сложения могут быть подготовлены в лаборатории путем уплотнения грунта слоями с заданными характеристиками плотности скелета и влажности или путем уплотнения заданной нагрузкой. Подготовка образца может проводиться как в отдельном контейнере, так и непосредственно в приборе кольцевого среза. Граница раздела слоев уплотняемых грунтов не должна совпадать с плоскостью среза в приборах типа А с фиксированной плоскостью среза.
Для глинистых грунтов при смешивании грунта с водой требуется выдержка не менее 16 ч перед уплотнением.
7.5 Для проведения срезных испытаний консолидация (предварительное уплотнение) образца может проводиться непосредственно в рабочем кольце >= срезного прибора или уплотнителе.
7.6 Замачивание образцов грунтов для испытаний в условиях полного водонасыщения проводят до появления воды на поверхности.
При этом время насыщения образцов водой должно быть не менее: для песков - 10 мин; для глинистых грунтов, в том числе для просадочных - при lp < 0,07 - 3 часа, при lp >= 0,07 - 012 - 6 часов, при lp >= 0,12 - 0,22 - 12 часов и при lp >= 0,22 - 16 часов и органо-минеральных грунтов - 36 ч, для набухающих грунтов - до достижения условной стабилизации деформации набухания - 0,1 мм за 24 ч. По окончании водонасыщения регистрируют вертикальные деформации образцов.
Примечание - Образцы набухающих грунтов, предназначенные для определения сопротивления срезу в условиях полного водонасыщения после стабилизации деформаций набухания, нагружают до начала замачивания эффективным напряжением консолидации

.
7.7 Замачивание образцов грунта следует проводить водой питьевого качества. В отдельных случаях, определенных заданием, образцы следует замачивать грунтовой водой с места отбора образца.
8.1 Испытание на срез образца предварительно нагруженного нормальной к плоскости среза нагрузкой проводят при непрерывно возрастающей вращательной нагрузке с постоянной скоростью деформации образца (кинематический режим) или при возрастании нагрузки ступенями (статический режим). Перед проведением среза проводят консолидацию (предварительное уплотнение) образца различными значениями эффективных напряжений.
8.2 Консолидацию образца перед испытанием следует проводить при различных значениях эффективного напряжения консолидации

, назначаемых в задании, как часть максимального эффективного напряжения консолидации

(например,

;

и т.д.).
Максимальное эффективное напряжения консолидации

определяется суммой расчетной нагрузки от сооружения и вертикального эффективного напряжения от собственного веса грунта

, на глубине отбора образца.
Примечание - Вертикальное эффективное напряжение от собственного веса грунта

следует определять в соответствии с требованиями
СП 22.13330-2016 "Основания зданий и сооружений" (с Изменениями N 1, 2 и 3) РФ.
Консолидацию (предварительное уплотнение) образца для проведения испытаний следует проводить не менее чем при трех значениях эффективного напряжения консолидации

, назначаемых в диапазоне, включающем в себя значение максимального эффективного напряжения консолидации

.
При отсутствии указанных данных значения

допускается принимать по таблице 8.1
Таблица 8.1
Значения эффективного напряжения консолидации
Грунты | Эффективное напряжение консолидации  , МПа | Ступени давления  , МПа |
Пески гравелистые, крупные и средней крупности плотные; глины с lL <= 0,25 | 0,1; 0,3; 0,5 | 0,1 до = 0,1 и далее 0,2 |
Пески гравелистые, крупные, и средней крупности средней плотности; пески мелкие и пылеватые плотные и средней плотности; супеси, суглинки, слабозаторфованные и органо-минеральные грунты с lL <= 0,5; глины с 0,25 < lL <= 0,5 | 0,1; 0,2; 0,3 | 0,05 до 0,1 и далее 0,1 |
Пески гравелистые, крупные и средней крупности, мелкие и пылеватые рыхлые; супеси, суглинки, глины, слабозаторфованные и органо-минеральные грунты с 0,5 < lL <= 1,0 | 0,1; 0,15; 0,2 | 0,025 до 0,05 и далее 0,05 |
Супеси, суглинки, глины, слабозаторфованные и органо-минеральные грунты с lL >= 1,0 | 0,025; 0,075; 0,125 | 0,025 до 0,075 далее 0,05 |
Примечания
1 Эффективное напряжение консолидации при предварительном уплотнении образцов просадочного грунта, испытываемых в водонасыщенном состоянии, должно составлять 0,1; 0,2 и 0,3 МПа и возрастать ступенями

.
2 Ступени давления

для крупнообломочных грунтов с заполнителем назначаются по характеристикам заполнителя при его содержании свыше 40% для песчаных и свыше 30% для глинистых грунтов. При испытании крупнообломочных грунтов без заполнителя ступени давления назначаются как для песков гравелистых, крупных и средней крупности плотных.
8.3 Для водонасыщенных глинистых и органо-минеральных грунтов
c со степенью влажности
Sr >= 0,8 консолидацию образцов и испытание на кольцевой срез проводят в соответствии с 8.4 -
12.
8.4 Эффективное напряжение консолидации

следует передавать на образец ступенями

, значение которых назначается в соответствии с
таблицей 8.1 или равным удвоенным значениям предыдущей ступени.
Каждую ступень выдерживают 10 - 15 мин. Для образцов, которые будут испытывать в кинематическом режиме (см.
8.1), конечную ступень выдерживают до завершения 100%-ной фильтрационной консолидации образца. Количество консолидационных испытаний должно быть не менее трех для каждой литологической разновидности грунтов. Нагрузка должна передаваться плавно в течение времени не более 2 сек. При этом в конце приложения ступени нагрузки регистрируются показания приборов для измерения вертикальных деформаций образца.
Примечание - Допускается выдержка конечной ступени при предварительном уплотнении водонасыщенных глинистых грунтов в соответствии с требованиями
8.15.
8.5 Предварительное уплотнение проводят до завершения фильтрационной консолидации образца, при этом показания снимают через интервалы времени, которые позволят построить график вертикальной деформации в виде ординаты относительно квадратного корня времени или график с логарифмической шкалой времени.
8.6 Время окончания 100%-ной фильтрационной консолидации
t100 определяют в процессе испытания по графику зависимости деформации образца во времени - кривой консолидации, которую обрабатывают методом "квадратного корня из времени". Методика определения
t100 приведена в
приложении В. Значение времени окончания фильтрационной консолидации
t100 используют в дальнейшем для определения скорости деформации среза (см.
8.10,
8.11).
8.7 В случае если предварительное уплотнение проводили в отдельном уплотнителе, образец переносят в камеру срезного прибора и на него передают эффективное напряжение консолидации с выдержкой не менее 5 мин для песков, 15 мин для супесей и 30 мин для суглинков и глин.
8.8 В приборах типа А устанавливают зазор между подвижной и неподвижной частями срезной камеры значение которого должно быть 0,5 мм для глинистых и органо-минеральных грунтов и 1 мм - для песков.
8.9 При сохранении вертикального эффективное напряжение консолидации на образец регистрируют начальное показание устройства для измерения углового смещения подвижной части камеры.
8.10 При кинематическом режиме нагружения для кольцевого среза максимальную скорость углового вращения, градус/мин, определяют по формуле

, (8.1)
где

- максимальная скорость углового вращения образца, градус/мин;
vmax - максимально допустимая скорость среза, мм/мин;
r - средний радиус образца, мм.
Максимально допустимую скорость среза определяют по формуле

, (8.2)
где lf - ожидаемое смещение до разрушения образца, мм;
tf - время до разрушения образца, мин.
Примечание - Если ожидаемое смещение образца при разрушении неизвестно из предыдущих испытаний, допускается в
формуле (8.2) принимать значение
lf, исходя из относительной деформации 10% внешнего диаметра кольцевого образца Da для песчаных грунтов и 2% внешнего диаметра для глинистых грунтов.
Время до разрушения tf, т.е. время до мобилизации максимального сопротивления образца срезу, определяют из условия, что в момент разрушения в образце останется не более 5% порового давления, по формуле
tf = 13t100, (8.3)
где
t100 - время окончания фильтрационной консолидации, мин определяемое по результатам испытания образца на последней ступени консолидации в соответствии с
приложением В.
8.11 Для глинистых водонасыщенных грунтов
c со степенью влажности
Sr >= 0,8 допускается скорость углового смещения принимать в зависимости от числа пластичности и размеров образца в соответствии с таблицей 8.2.
Таблица 8.2
Скорость углового смещения при срезе для глинистых грунтов
Грунты | Скорость углового вращения, градус/мин |
Средний радиус образца, мм |
56 - 100 | >= 100 - 150 | >= 150 |
Супеси | 0,25 | 0,15 | 0,1 |
Суглинки с lp < 0,12 | 0,075 | 0,05 | 0,03 |
Суглинки с lp >= 0,12 | 0,035 | 0,02 | 0,01 |
Глины с 0,17 < lp < 0,30 | 0,015 | 0,01 | 0,005 |
Глины с lp >= 0,30 | 0,01 | 0,005 | 0,005 |
8.12 При испытаниях в статическом режиме вращательная нагрузка передается ступенями по 5% значения нормальной нагрузки, при которой проводят срез. Не реже, чем через каждые 2 мин после передачи ступени нагрузки проводят измерение углового смещения, уменьшая интервал между измерениями до 1 мин в период затухания деформаций до ее условной стабилизации. Критерием завершения ступени нагружения является достижение угловой скорости вращения, не превышающее 0,05 градус/мин.
8.13 При испытаниях в кинематическом режиме вращательные нагрузки и угол вращения фиксируют с таким интервалом, чтобы накопилось 15 - 20 отсчетов от начала до конца среза.
8.14 Срезные испытания неводонасыщенных глинистых и органо-минеральных грунтов, а также песчаных, просадочных, набухающих и засоленных грунтов проводят в соответствии с
8.15 -
8.20.
Примечание - За критерий водонасыщения глинистых грунтов допускается принимать значение коэффициента водонасыщения Sr >= 0,85.
8.15 Консолидацию образцов до заданного значения эффективного напряжения консолидации

проводят ступенями

в соответствии с
8.4.
8.16 Каждую ступень давления при консолидации выдерживают в течение времени, указанного в таблице 8.3, а конечную ступень - до достижения условной стабилизации деформаций сжатия образца грунта.
Таблица 8.3
Время выдерживания ступеней давления и критерии
условной стабилизации деформаций образца
Грунты | Время выдерживания ступеней давления не менее | Время условной стабилизации деформаций сжатия на конечной ступени, не менее |
Пески | 5 мин | 0,5 ч |
Глинистые (непросадочные и ненабухающие): | | |
- супеси | 30 мин | 3 ч |
- суглинки с lp < 0,12 | 6 ч |
- суглинки с lp >= 0,12 | 12 ч |
- глины с 0,17 < lp < 0,30 | 12 ч |
- глины с lp >= 0,30 | 18 ч |
Органо-минеральные | 1 ч | 24 ч |
Просадочные | | Как для непросадочных |
Набухающие | 30 мин | Как для ненабухающих |
За критерий условной стабилизации деформации принимают ее приращение, не превышающее 0,05% высоты образца за время, указанное в
таблице 8.3.
8.17 После консолидации (предварительного уплотнения) образца проводят операции в соответствии с
8.7 -
8.9.
8.18 При проведении испытаний в кинематическом режиме угловая скорость вращения должна быть постоянной и соответствовать указанной в таблице 8.4. Вращательное сдвигающее усилие и угол поворота фиксируют через такие интервалы времени, чтобы накопилось 15 - 20 отсчетов от начала среза до достижения максимальной срезающей нагрузки.
Таблица 8.4
Скорости углового смещения грунтов
Грунты | Скорость углового вращения, градус/мин |
Средний радиус образца, мм |
56 - 100 | >= 100 - 150 | >= 150 |
Крупнообломочные грунты, пески, супеси | 0,40 | 0,25 | 0,15 |
Суглинки с lp < 0,12 | 0,075 | 0,05 | 0,03 |
Суглинки с lp >= 0,12 | 0,035 | 0,02 | 0,01 |
Глины с 0,17 < lp < 0,30 | 0,015 | 0,01 | 0,005 |
Глины с lp >= 0,30 | 0,01 | 0,005 | 0,005 |
8.19 При статическом режиме испытание проводят в соответствии с требованиями
8.12. При этом испытание следует считать законченным, если при приложении очередной ступени срезающей вращательной нагрузки произойдет мгновенный срез (срыв) одной части образца по отношению к другой или относительная деформация вращения образца превысит 5% длины окружности, рассчитываемой по среднему радиусу образца (в зависимости от того, что наступит раньше).
8.20 За окончание испытания в кинематическом режиме принимают момент, когда срезающая нагрузка достигнет максимального значения, после чего наблюдается некоторое ее снижение или установление постоянного значения, или относительная деформация вращения образца превысит 5% длины окружности, рассчитываемой по среднему радиусу образца, (в зависимости от того, что наступит раньше).
8.21 Для определения остаточной прочности на срез при испытаниях в кинематическом режиме после достижения максимального значения срезающей нагрузки проводится вращение в течение одного-двух полных оборотов со скоростью вращения образца, в десять раз превышающей значение скорости, при которой проводился срез грунта. Затем продолжается вращение образца со скоростью, приведенной в
таблице 8.4, до тех пор, пока не будет достигнуто постоянное значение вращательной нагрузки, которое и принимают за значение остаточного сдвигающего усилия.
8.22 Для определения остаточной прочности на кольцевой срез при испытаниях в статическом режиме после достижения максимального значения срезающей нагрузки проводят дальнейшее приложение вращательной нагрузки с измерением сдвигающего усилия и угловой скорости смещения образца. При этом проводят контроль угловой скорости вращения, которая не должна превышать значений, приведенных в
таблице 8.4. За значение остаточной прочности принимают достигнутое постоянное значение сдвигающей нагрузки.
8.23 По специальному заданию для определения характеристик остаточной прочности угла внутреннего трения и сцепления грунтов

и
cr, соответственно, допускается проводить испытания без определения эффективных параметров прочности (

и
c).
В кинематическом режиме непосредственно с начала опыта проводят вращение образца со скоростью, приведенной в
таблице 8.4.
В статическом режиме проводится приложение вращательной нагрузки ступенями по 5% от значения нормальной нагрузки, при которой проводят срез с измерением углового смещения с интервалом 1 - 2 мин. Критерием завершения ступени нагружения является достижение угловой скорости вращения, приведенной в
таблице 8.4.
Вращение производится то тех пор, пока не будет достигнуто постоянное значение вращательной нагрузки, которое принимают за значение остаточного сдвигающего усилия.
Примечание - При обосновании допускается проводить испытания со скоростью среза, замеренной по полевым инструментальным измерениям оползневого смещения массива грунтов.
8.24 После окончания срезных испытаний следует извлечь рабочее кольцо с образцом из прибора, взвесить его и отобрать пробы для определения влажности из средней части кольцевого образца.
9.1 По измеренным в процессе кольцевого среза значениям нормальной и вращательной нагрузок вычисляют нормальные напряжения, МПа, по формуле

, (9.1)
где F - нормальная сила к плоскости среза образца, кН;
A - площадь сечения образца, см2, вычисляемая по формуле

, (9.2)
где Ra и Ri - внешний и внутренний радиусы кольцевого образца, см.
Касательное вращательное напряжение

, МПа, вычисляется по формуле

, (9.3)
где Mt - момент вращательной силы, приложенной к образцу, кН·см.
Если измерение момента проводилось с помощью торсионной балки и двух тензодатчиков, то его вычисляют по следующей формуле:
Mt = (F1 + F2)·L/2, (9.4)
где F1 и F2 - измеренные нагрузки, приложенные к торсионной балке, кН;
L - расстояние между точками приложения сил F1 и F2, см.
Определение

следует проводить не менее чем при трех различных значениях. При необходимости (см
6.9) значения корректируют с учетом сил трения подвижной части срезной коробки по заранее построенной тарировочной кривой.
По измеренным в процессе испытания угловым смещениям вычисляют значения деформаций среза l, по формуле

, (9.5)
где

- угловое смещение во время испытания, градусы,
Da - наружный диаметр образца, см,
Di - внутренний диаметр образца, см.
По вычисленным значениям
l, соответствующим различным напряжениям

, строят график зависимости
(приложение Г).
За предельное сопротивление грунта срезу принимают максимальное значение

, полученное по графику

или по диаграмме среза на отрезке, где относительная деформация не превышает 5% длины окружности кольцевого образца

.
Если значение

возрастает монотонно, то за сопротивление грунта срезу следует принимать значение при деформации
lk, соответствующей относительной деформации образца 5% от длины окружности

.
9.2 Угол внутреннего трения

и удельное сцепление
c определяют как параметры линейной зависимости

, (9.6)
При проведении кольцевого среза для определения параметров остаточной прочности
зависимость (9.6) записывают в виде

, (9.7)
где

- остаточная прочность, определяемая в соответствии с
8.21 -
8.23;

и
cr - характеристики остаточной прочности.
9.3 Угол внутреннего трения

, градусы и удельное сцепление
c, МПа, вычисляют по формулам (9.8) и
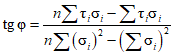
(9.9), полученным обработкой экспериментальных точек

методом наименьших квадратов, или определяют по графику

, проводя прямую наилучшего приближения к экспериментальным точкам
(приложение Г):

; (9.8)

, (9.9)
где

- опытные значения сопротивления срезу, определенные при различных значениях

и относящиеся к отдельному монолиту грунта (при
n >= 3) или одному инженерно-геологическому элементу;
n - число испытаний.
Аналогичным образом определяют параметры остаточной прочности

и
cr.
Точность вычисления должна соответствовать требованиям
ГОСТ 30416 и составлять для угла внутреннего трения

- 1 градус, для удельного сцепление
c - 1 кПа.
(рекомендуемое)
ФОРМА ЖУРНАЛА ИСПЫТАНИЙ ДЛЯ ОПРЕДЕЛЕНИЯ СОПРОТИВЛЕНИЯ
ДИСПЕРСНОГО ГРУНТА КОЛЬЦЕВОМУ СРЕЗУ
Форма первой страницы журнала
Организация _______________________________________________________________
ЖУРНАЛ ИСПЫТАНИЙ ГРУНТА МЕТОДОМ
Объект (пункт) ____________________________________________________________
Сооружение ________________________________________________________________
Дата испытаний: начало _____________________ окончание ____________________
Шурф (скважина), N ________________________________________________________
Глубина отбора образца, м _________________________________________________
Лабораторный номер образца ________________________________________________
Характеристика испытуемого грунта _________________________________________
___________________________________________________________________________
Краткая характеристика установки для испытаний ____________________________
Приборы (тип и номер) для измерений _______________________________________
Схема испытания ___________________________________________________________
Сведения о замачивании ____________________________________________________
Данные о рабочем кольце (образце): ________________________________________
Высота, мм ________________________________________________________________
Диаметр внешний, мм _______________________________________________________
Площадь, см2 ______________________________________________________________
Объем, см3 ________________________________________________________________
Масса, г __________________________________________________________________
Масса с грунтом, г ________________________________________________________
Масса образца, г __________________________________________________________
Физические характеристики грунта
Характеристика | Значение | Примечание |
до опыта | после опыта |
| | | |
Журнал испытаний для определения
сопротивления дисперсного грунта кольцевому срезу
Форма второй страницы журнала
Дата испытания | Время снятия отсчета ti, ч | Время от начала опыта t, ч | Вертикальное давление на образец грунта p, МПа | Касательное напряжение  , МПа | Угловое смещение, градус | Абсолютная деформация среза l, мм | Абсолютная деформация среза с учетом тарировки l, мм | Относительная деформация среза % | Примечание |
1 | 2 | 3 | 4 | 5 | 6 | 7 | 8 | 9 | 10 |
| | | | | | | | | |
(справочное)
ПРИНЦИПИАЛЬНЫЕ СХЕМЫ ПРИБОРОВ ДЛЯ ВЫПОЛНЕНИЯ
ИСПЫТАНИЙ МЕТОДОМ КОЛЬЦЕВОГО СРЕЗА
Принципиальные схемы приборов типа А и Б для проведения испытаний методом кольцевого среза приведены на рисунках Б.1 и
Б.2.
1 - устройство для приложения вертикальной нагрузки
N к образцу; 2 - образец; 3 - пористые, шероховатые
или зазубренные штампы; 4 - нижнее кольцо образца грунта;
5 - верхнее кольцо образца; 6 - опорное кольцо основания;
7 - нагрузочное кольцо; 8 - опорная плита, которая вращается
ведущим механизмом, вместе с нижним кольцом образца (4)
и опорным кольцом основания (6); 9 - верхняя пластина
для передачи вертикальной нагрузки на нагрузочное кольцо
с радиально распределенными ребристыми блоками (10);
10 - ребристые, радиально расположенные блоки для передачи
нагрузки на нагрузочное кольцо (7); 11 - зазор между верхним
и нижним кольцами образца; 12, 13 - внешний контейнер;
14 - дренажные отверстия; 15 - устройство
для измерения вертикального перемещения
Рисунок Б.1 - Принципиальная схема прибора
кольцевого среза по фиксированной поверхности (тип A)
1 - устройство для приложения вертикальной нагрузки
N к образцу; 2 - загрузочный штамп; 3 - пористые,
шероховатые или зазубренные штампы; 4 - нижняя часть
ячейки, которая вращается приводом; 5 - образец;
6 - внешний контейнер; 7 - шарики; 8 - устройство
для измерения вертикального перемещения
Рисунок Б.2 - Принципиальная схема прибора
кольцевого среза по нефиксированной поверхности (тип B)
(рекомендуемое)
МЕТОДИКА ОПРЕДЕЛЕНИЯ ВРЕМЕНИ ОКОНЧАНИЯ
ФИЛЬТРАЦИОННОЙ КОНСОЛИДАЦИИ
В.1 Графическая форма определения времени окончания фильтрационной консолидации приведена на рисунке В.1.
Рисунок В.1 - Определение времени окончания фильтрационной
консолидации методом квадратного корня из времени
В.2 Для определения t100 проводят прямую наилучшего приближения ab к начальной линейной части кривой (обычно в пределах первых 50% сжатия) и из точки пересечения ab с осью ординат проводят вторую прямую ac, абсциссы которой равны 1,15 соответствующих абсцисс прямой ab.
Пересечение прямой
ac с экспериментальной кривой определяет время

, соответствующее степени фильтрационной консолидации 0,90.
Для определения времени 100%-ной фильтрационной консолидации

предварительно вычисляют деформацию сжатия

. Из точки

проводят горизонтальную прямую до пересечения с кривой консолидации и находят соответствующее значение

.
(рекомендуемое)
ОБРАЗЕЦ ГРАФИЧЕСКОГО ОФОРМЛЕНИЯ РЕЗУЛЬТАТОВ ИСПЫТАНИЯ
Результаты испытания грунта оформляют в соответствии с рисунками Г.1 и
Г.2.
Рисунок Г.1 - График

График

Рисунок Г.2 - График

УДК 624.131.4.001.4:006.354 | |
Ключевые слова: сопротивление срезу грунта, предварительное уплотнение грунта, угол внутреннего трения грунта, удельное сцепление грунта, ступень давления |