Главная // Актуальные документы // ГОСТ Р (Государственный стандарт)СПРАВКА
Источник публикации
М.: Стандартинформ, 2020
Примечание к документу
Документ включен в
Перечень документов в области стандартизации, в результате применения которых на добровольной основе обеспечивается соблюдение требований Федерального
закона от 30.12.2009 N 384-ФЗ "Технический регламент о безопасности зданий и сооружений" (
Приказ Росстандарта от 02.04.2020 N 687).
Документ
введен в действие с 01.01.2021.
Название документа
"ГОСТ Р 58941-2020. Национальный стандарт Российской Федерации. Система обеспечения точности геометрических параметров в строительстве. Правила выполнения измерений. Общие положения"
(утв. и введен в действие Приказом Росстандарта от 29.07.2020 N 424-ст)
"ГОСТ Р 58941-2020. Национальный стандарт Российской Федерации. Система обеспечения точности геометрических параметров в строительстве. Правила выполнения измерений. Общие положения"
(утв. и введен в действие Приказом Росстандарта от 29.07.2020 N 424-ст)
Утвержден и введен в действие
агентства по техническому
регулированию и метрологии
от 29 июля 2020 г. N 424-ст
НАЦИОНАЛЬНЫЙ СТАНДАРТ РОССИЙСКОЙ ФЕДЕРАЦИИ
СИСТЕМА ОБЕСПЕЧЕНИЯ ТОЧНОСТИ
ГЕОМЕТРИЧЕСКИХ ПАРАМЕТРОВ В СТРОИТЕЛЬСТВЕ
ПРАВИЛА ВЫПОЛНЕНИЯ ИЗМЕРЕНИЙ. ОБЩИЕ ПОЛОЖЕНИЯ
System of ensuring geometrical parameters accuracy
in construction. Rules of measurement. General
ГОСТ Р 58941-2020
Дата введения
1 января 2021 года
1 РАЗРАБОТАН Акционерным обществом "Центральный научно-исследовательский и проектно-экспериментальный институт промышленных зданий и сооружений - ЦНИИПромзданий" (АО "ЦНИИПромзданий")
2 ВНЕСЕН Техническим комитетом по стандартизации ТК 465 "Строительство"
3 УТВЕРЖДЕН И ВВЕДЕН В ДЕЙСТВИЕ
Приказом Федерального агентства по техническому регулированию и метрологии от 29 июля 2020 г. N 424-ст
4 ВВЕДЕН ВПЕРВЫЕ
Правила применения настоящего стандарта установлены в статье 26 Федерального закона от 29 июня 2015 г. N 162-ФЗ "О стандартизации в Российской Федерации". Информация об изменениях к настоящему стандарту публикуется в ежегодном (по состоянию на 1 января текущего года) информационном указателе "Национальные стандарты", а официальный текст изменений и поправок - в ежемесячном информационном указателе "Национальные стандарты". В случае пересмотра (замены) или отмены настоящего стандарта соответствующее уведомление будет опубликовано в ближайшем выпуске ежемесячного информационного указателя "Национальные стандарты". Соответствующая информация, уведомление и тексты размещаются также в информационной системе общего пользования - на официальном сайте Федерального агентства по техническому регулированию и метрологии в сети Интернет (www.gost.ru)
1.1 Настоящий стандарт распространяется на строительство зданий и сооружений, изготовление строительных конструкций и изделий для них, контроль точности измеряемых геометрических параметров и устанавливает общие положения по проведению линейных и угловых измерений, а также измерений превышений между точками.
1.2 Настоящий стандарт не распространяется на выполнение спутниковых наблюдений и измерений при производстве разбивочных и строительно-монтажных работ в процессе строительства.
В настоящем стандарте использованы нормативные ссылки на следующие стандарты:
ГОСТ 7502-98 Рулетки измерительные металлические. Технические условия
ГОСТ Р 51774 Тахеометры электронные. Общие технические условия
ГОСТ Р 58938 Система обеспечения точности геометрических параметров в строительстве. Основные положения
ГОСТ Р 58942-2020 Система обеспечения точности геометрических параметров в строительстве. Технологические допуски
ГОСТ Р 58943 Система обеспечения точности геометрических параметров в строительстве. Контроль точности
Примечание - При пользовании настоящим стандартом целесообразно проверить действие ссылочных стандартов в информационной системе общего пользования - на официальном сайте Федерального агентства по техническому регулированию и метрологии в сети Интернет или по ежегодному информационному указателю "Национальные стандарты", который опубликован по состоянию на 1 января текущего года, и по выпускам ежемесячного информационного указателя "Национальные стандарты" за текущий год. Если заменен ссылочный стандарт, на который дана недатированная ссылка, то рекомендуется использовать действующую версию этого стандарта с учетом всех внесенных в данную версию изменений. Если заменен ссылочный стандарт, на который дана датированная ссылка, то рекомендуется использовать версию этого стандарта с указанным выше годом утверждения (принятия). Если после утверждения настоящего стандарта в ссылочный стандарт, на который дана датированная ссылка, внесено изменение, затрагивающее положение, на которое дана ссылка, то это положение рекомендуется применять без учета данного изменения. Если ссылочный стандарт отменен без замены, то положение, в котором дана ссылка на него, рекомендуется применять в части, не затрагивающей эту ссылку.
3 Термины, определения и обозначения
3.1 Термины и определения
В настоящем стандарте применены термины по
ГОСТ Р 58938, а также следующие термины с соответствующими определениями:
3.1.1 грубая погрешность измерения (промах): Погрешность измерения, существенно превышающая ожидаемую при данных условиях, приводящая к явным искажениям результатов измерения.
3.1.2
поправка: Значение величины, вводимое в показание с целью исключения систематической погрешности. |
3.2 В настоящем стандарте применены следующие обозначения:
xi - действительное значение геометрического параметра x;
xном - номинальное значение геометрического параметра x;
xc - поле допуска номинального значения геометрического параметра x;

- допуск на отклонение значения геометрического параметра
x;

- значение действительного отклонения геометрического параметра
x;
xmin - минимальный предельный размер геометрического параметра x;
xmax - максимальный предельный размер геометрического параметра x;

- нижнее предельное отклонение от номинального значения
xном;

- верхнее предельное отклонение от номинального значения
xном;

- среднеквадратическое отклонение значения геометрического параметра
x;
n - объем выборки действительных значений геометрического параметра x;
L - непосредственно измеряемый размер;
Kp - коэффициент, учитывающий характер зависимости между суммарной и случайными составляющими погрешности измерений;
Kq - коэффициент, учитывающий характер зависимости между суммарной и систематическими составляющими погрешностями измерений;

- расчетная суммарная погрешность принимаемого метода и инструментальной погрешности измерения;

- максимально допускаемая погрешность измерений;
m - число повторных измерений (наблюдений) действительных значений геометрического параметра x;

- среднеарифметическое значение геометрического параметра
x;
xj - результат измерений (наблюдений) геометрического параметра x;

- среднеарифметическое значение результатов действительных отклонений геометрического параметра
x при
m измерениях (наблюдениях);

- значения действительных отклонений геометрического параметра
x при измерениях (наблюдениях);

- расчетное стандартное выборочное отклонение принимаемого метода и инструментальной погрешности измерения;

- случайные составляющие погрешности;

- систематические составляющие погрешности;

- среднее значение составляющих погрешностей;

- среднеквадратические случайные составляющие погрешности;

- среднеквадратические систематические составляющие погрешности;

- поправка на температуру окружающей среды;

- поправка на относительную влажность окружающего воздуха;

- поправка на относительную скорость внешней среды;

- поправка на систематическую погрешность средства измерений;

- поправка на несовпадение направлений линии измерений и измеряемого размера;

- поправка на рефракцию;

- действительная погрешность измерения;

- неисключенная систематическая погрешность измерений.
4.1 Объектами измерений являются:
- строительные изделия;
- строительные конструкции зданий и сооружений на отдельных этапах их возведения и после завершения строительно-монтажных работ;
- плановые и высотные разбивочные сети и их элементы, в том числе создаваемые на монтажном горизонте;
- формующее оборудование, приспособления и оснастка для изготовления и монтажа, определяющие точность строительных конструкций.
4.2 Измерениям подлежат геометрические параметры, требования к точности которых установлены в нормативных документах, технической, проектной и технологической документации на объекты измерения.
4.3 Измерения проводят в соответствии с требованиями настоящего стандарта и стандартов на правила выполнения измерений.
В нормативных документах, технической и технологической документации на конкретные объекты измерений на основе этих стандартов устанавливают максимально допускаемую погрешность измерений, применяемые методы и средства и при необходимости способы обработки результатов измерений.
5 Выбор методов и средств измерений
5.1 Методы и средства измерений следует выбирать в соответствии с характером объекта и измеряемых параметров из условия

(1)
где

- расчетная суммарная погрешность принимаемого метода и инструментальной погрешности измерения;

- максимально допускаемая погрешность измерения.
Примечания
1 Рекомендации по расчету погрешностей применяемых метода и средств измерений

приведены в
приложении А.
2 Рекомендации по определению точности измерений на основе характеристик неопределенности результатов измерений приведены в
приложении Б.
5.2 Максимально допускаемую погрешность измерений

определяют из условия

(2)
где

- допуск измеряемого геометрического параметра, установленный нормативными документами и технической документацией на объект измерений или определяемый по
ГОСТ Р 58942;
K - коэффициент обеспечения точности, зависящий от цели измерений и характера объекта.
5.3 Для измерений, выполняемых в процессе и при контроле точности изготовления и установки изделий, а также при производстве и контроле точности строительно-монтажных и разбивочных работ, согласно
ГОСТ Р 58943 коэффициент
K принимают равным 0,2.
Для измерений, выполняемых в процессе производства разбивочных работ, принимают K = 0,4.
Примечание - Рассчитанная в соответствии с
ГОСТ Р 58943 максимально допускаемая погрешность измерения геометрического параметра учитывает случайную и неисключенную систематическую погрешности измерений.
5.4 При выборе методов и средств измерений следует учитывать необходимость обеспечения минимальных затрат на выполнение измерений и их обработку и наиболее полного исключения систематических погрешностей.
5.5 Применяемые средства и методы (методики) измерений должны отвечать требованиям
[2].
6.1 При подготовке к измерениям должны быть обеспечены свободный доступ к объекту измерения и возможность размещения средств измерений. Места измерений при необходимости должны быть очищены, размечены или замаркированы.
6.2 Средства измерений должны быть проверены и подготовлены в соответствии с инструкцией по их эксплуатации. При подготовке и в процессе измерений должно быть обеспечено соблюдение требований безопасности труда и установленных методикой измерений условий выполнения измерений.
6.3 В качестве нормальных условий измерений, если другое не установлено в нормативных документах и технической документации на объект измерений, принимают:
- температуру окружающей среды - 20 °C (293 К);
- атмосферное давление - 101,3 кПа (760 мм рт. ст.);
- относительную влажность окружающего воздуха - 60%;
- относительную скорость движения внешней среды - 0 м/с.
6.4 При выполнении измерений в условиях, отличающихся от нормальных, следует учитывать величину отклонения действительных значений условий измерений от указанных в
6.3 для внесения поправок в результаты измерений в соответствии с
7.1.3.
6.5 Каждый геометрический параметр строительных изделий измеряют в нескольких наиболее характерных сечениях или местах, которые указываются в нормативных документах, технической, проектной или технологической документации на объект измерений.
6.6 При измерениях значений параметра в каждом из установленных сечений или месте измерений следует выполнять повторные измерения (число повторных измерений в каждом сечении или месте m = 2).
При выполнении и контроле точности разбивочных работ, а также в других случаях, когда требуется повышенная точность, следует проводить многократные измерения при числе повторных измерений m >= 2.
При наличии результатов измерений с грубыми погрешностями выполняют дополнительные измерения.
Примечание - В действующих нормативных документах и технической документации при повторных измерениях значения параметра вместо термина "измерение" практикуется применение термина "наблюдение".
6.7 Для уменьшения величины систематических погрешностей измерений измерения проводят в прямом и обратном направлениях, на разных участках шкалы отсчетного устройства, меняя установку и настройку средств измерений и соблюдая другие приемы, указанные в инструкции по эксплуатации на средства измерений. При этом должны быть соблюдены условия равноточных измерений (выполнение измерений одним и тем же специалистом, тем же методом, с помощью одного и того же средства измерений и в одинаковых условиях).
Примечания
1 Условия равноточных измерений обеспечиваются выполнением измерений одним и тем же специалистом, тем же методом, с помощью одного и того же средства измерений и в одинаковых условиях воздействующей окружающей среды.
2 Под направлением измерений (прямое, обратное) понимают получение значения измеряемого параметра с отсчетом его значений при изменении от минимального до максимального в точке (сечении) объекта измерений.
6.8 Перед началом измерений средства измерений следует выдерживать на месте измерений до выравнивания их температуры с температурой окружающей среды.
7 Обработка результатов измерений и оценка точности измерений
7.1 При прямых измерениях геометрического параметра
x в каждом сечении или месте результатом измерений является среднеарифметическое значение

из
m результатов измерений
хj этого параметра, принимаемое за действительное значение
xi параметра
x в данном сечении или месте измерений

(3)
где i = 1 ... - число сечений или мест измерений;
j = 1 ... m - число измерений в каждом сечении или месте.
При этом значение действительного отклонения

параметра
x от его номинального значения
xном определяют по формуле

(4)
7.1.1 При выполнении измерений отклонения параметра
x в качестве действительного отклонения

принимают среднеарифметическое значение

из
m измерений

этого отклонения в каждом установленном сечении или месте измерений

(5)
7.1.2 Перед вычислением результатов измерений
xi значений геометрического параметра
x и его действительного отклонения

исключают результаты измерений, выполненных с грубыми погрешностями.
7.1.3 Для исключения систематических погрешностей измерений, в том числе возникающих из-за несоответствия условий измерений нормальным, в измеренные значения геометрического параметра
x вводят поправки, приведенные в
приложении Б.
7.2 При выполнении косвенных измерений значений геометрического параметра
x вычисление результатов измерений параметра
xi и его действительного отклонения

осуществляют по известным геометрическим зависимостям между ними и непосредственно измеряемыми параметрами.
7.3 Если требования к точности геометрического параметра x в нормативных документах и технической документации на объект измерений выражены в виде предельных размеров xmin, xmax и результат измерения данного параметра отвечает условию
xmin <= xi <= xmax, (6)
требования к точности параметра считают выполненными.
7.4 Требования к точности геометрического параметра
x, выраженные в виде предельных отклонений

и

номинального значения
xном, считают выполненными, если результат измерений отвечает условию

(7)
7.5 Оценку точности измерений проводят сравнением погрешности результата измерений с максимально допускаемой погрешностью измерений.
7.5.1 Оценку точности измерений следует выполнять каждый раз при освоении методов и средств измерений, периодически - при изменении условий измерений, а также в других случаях, предусмотренных нормативными документами и технической документацией на объект измерений.
Примечание - Рекомендации по оценке точности измерений приведены в
приложении В.
7.5.2 При выполнении разбивочных работ оценку точности измерений проводят каждый раз после окончания измерений.
7.5.3 Погрешность выполненных измерений не должна превышать максимально допускаемой погрешности измерений

, определяемой в соответствии с
5.3.
(рекомендуемое)
РАСЧЕТ ПОГРЕШНОСТИ ИЗМЕРЕНИЙ ПРИ ВЫБОРЕ МЕТОДОВ
И СРЕДСТВ ИЗМЕРЕНИЙ
А.1 По
5.3 определяют максимально допускаемую погрешность измерений

.
А.2 Осуществляют предварительный выбор методики (метода) измерений и предусмотренных ею средств измерений.
А.3 Устанавливают перечень и определяют значения систематических и случайных составляющих погрешностей, влияющих на суммарную погрешность результата измерений.
При этом учитывают:
- погрешности средства измерений, которые приведены в свидетельстве о поверке (калибровке) или в эксплуатационной документации на средство измерений;
- погрешности принятого метода измерений, определяемые на основе анализа приемов и операций, которые могут быть источниками погрешностей;
- дополнительные погрешности измерений, вызываемые отклонениями значений параметров окружающей среды от нормальных условий измерений (см.
6.7) или условий измерений, указанных в эксплуатационной документации средства измерений либо в методике измерений.
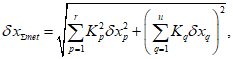
А.4 Выполняют вычисления расчетных составляющих погрешности измерений

:

(А.1)
или
(А.2)
где

- случайные составляющие погрешности;

- систематические составляющие погрешности;

- среднеквадратические случайные составляющие погрешности;

- среднеквадратические систематические составляющие погрешности;

- расчетное стандартное выборочное отклонение принимаемого метода и инструментальной погрешности измерения;
p - 1, 2, ..., r - число случайных составляющих погрешности;
q - 1, 2, ..., u - число систематических составляющих погрешности;
Kp, Kq - коэффициенты, учитывающие характер зависимости между суммарной и каждой из составляющих погрешность измерений.
При расчете принимают условие, что составляющие погрешности независимы между собой или слабо коррелированы.
Примечание - Вычисление расчетной погрешности измерений допускается не проводить, если можно применить аттестованную методику (метод) измерений с известной для данных условий погрешностью измерений.
А.5 Для случаев, когда процесс измерений состоит из большого числа отдельных операций, на основе принципа равных влияний среднее значение составляющих погрешности

определяют по формуле
(А.3)
где r - число случайных составляющих погрешности;
u - число систематических составляющих погрешности.
Выбирают те составляющие погрешности, которые легко могут быть уменьшены, увеличивая соответственно значения тех составляющих погрешности, которые трудно обеспечить имеющимися методами и средствами измерений.
А.6 Проводят проверку соблюдения условия по
формуле (1) настоящего стандарта и в случае несоблюдения этого условия вместо предварительно выбранных методики (метода) измерений или средств измерений (см.
А.2) выбирают более точные средства измерений или другую методику (метод) измерений.
Пример - Необходимо выбрать средство измерений для контроля изделия длиной L = (3600 +/- 2,0) мм (по ГОСТ Р 58942
).
Выбор средства измерений проводят в следующем порядке:
1 Определяют максимально допускаемую погрешность измерения
по условию (2) (см. 5.3)
.
2 Для выполнения измерений предварительно выбирают металлическую рулетку со шкалой номинальной длины 10 м 3-го класса точности Р10У3П ГОСТ 7502-98.
3 В суммарную погрешность измерения длины изделия рулеткой входят составляющие погрешности:
- поверки рулетки;
- от погрешности измерения температуры окружающей среды;
- от колебания силы натяжения рулетки;
- снятия отсчетов по шкале рулетки на левом и правом краях изделия.
Определяют значения этих погрешностей.
3.1 Погрешность
поверки рулетки в соответствии с методикой поверки принимают равной 0,2 мм.
3.2 Погрешность
от измерения температуры окружающей среды термометром ценой деления 1,0 °C составляет
где
- коэффициент линейного расширения материала измерительной ленты из углеродистой стали (по эксплуатационной документации на измерительную ленту);
- погрешность измерения температуры термометром ценой деления 1,0 °C (половина цены деления термометра).
3.3 Погрешность
от колебания силы натяжения рулетки составляет
где
- погрешность натяжения рулетки вручную;
F = 2 мм2 - площадь поперечного сечения рулетки;
E = 2·105 Н/мм2 - модуль упругости материала рулетки.
3.4 Экспериментально установлено, что погрешность снятия отсчета по шкале рулетки не превышает 0,3 мм, при этом погрешность
снятия отсчетов на левом и правом краях изделия составит
4 Определяют расчетную суммарную погрешность измерения по формуле (А.1), учитывая, что
- систематическая погрешность, а
,
и
- случайные,
5 Выбранные метод и средство измерений могут быть приняты для выполнения измерений, так как расчетная суммарная погрешность измерения
меньше максимально допускаемой погрешности
, что соответствует требованию 5.1 настоящего стандарта. Если условия измерений будут отличаться от нормальных, приведенных в 6.3, для исключения систематических погрешностей в результаты измерений следует вводить поправки, приведенные в приложении Б.
(рекомендуемое)
ИСКЛЮЧЕНИЕ СИСТЕМАТИЧЕСКИХ ПОГРЕШНОСТЕЙ ИЗМЕРЕНИЙ
ВНЕСЕНИЕМ ПОПРАВОК
Б.1 Исключение известных систематических погрешностей из результатов наблюдений или измерений выполняют введением поправок к этим результатам.
Поправки по абсолютному значению равны этим погрешностям и противоположны им по знаку.
Б.2 Введением поправок исключают:
- погрешность, возникающую из-за отклонений действительной температуры окружающей среды при измерении от нормальной;
- погрешность, возникающую из-за отклонений атмосферного давления при измерении от нормального;
- погрешность, возникающую из-за отклонений относительной влажности окружающего воздуха при измерении от нормальной;
- погрешность, возникающую из-за отклонений относительной скорости движения внешней среды при измерении от нормальной;
- погрешность, возникающую вследствие искривления светового луча (рефракции);
- систематическую погрешность средства измерений;
- погрешность, возникающую вследствие несовпадения направлений линии измерений и измеряемого размера.
Б.3 Поправки по указанным погрешностям вычисляют в соответствии с таблицей Б.1.
Таблица Б.1
Поправки для исключения систематических погрешностей
Наименование поправки | Порядок определения и формулы для расчета поправок |
Поправка на температуру окружающей среды | |
Поправка на атмосферное давление | Определяется при применении электронно-оптических средств измерений в соответствии с эксплуатационной документацией |
Поправка на относительную влажность окружающего воздуха |  определяют: а) при применении электронно-оптических средств измерений в соответствии с эксплуатационной документацией; б) при измерении объектов, изменяющих размеры в зависимости от влажности воздуха в соответствии со свойствами материала |
Поправка на относительную скорость внешней среды | |
Поправка на систематическую погрешность средства измерений |  - указывается в эксплуатационной документации средства измерений либо в свидетельстве о его поверке или калибровке |
Поправка на несовпадение направлений линии измерений и измеряемого размера | |
Поправка на рефракцию |  определяется при применении оптических или электронно-оптических приборов в зависимости от условий измерений по методике измерений |
Примечание - В настоящей таблице применены следующие обозначения: L - непосредственно измеряемый размер, мм;  ,  - коэффициенты линейного расширения средства измерения и объекта, 10 -6 град -1; t1, t2 - температура средства измерений и объекта измерений, °C; h - величина отклонения направления измерения от направления измеряемого размера, мм; Q - предельно допустимая сила ветра, Н; P - сила натяжения средства измерений (рулетки, проволоки), Н. |
Б.4 Поправки допускается не вносить, если действительная погрешность измерений не превышает максимально допускаемой погрешности измерений.
Пример - Получен результат измерений длины стальной фермы хj = 24003 мм. Измерение выполнялось 30-метровой рулеткой из нержавеющей стали при t = -20 °C.
При этом
,
, t1 = t2 = -20 °C.
Действительная длина xi фермы с учетом поправки на температуру окружающей среды составит
(рекомендуемое)
ОЦЕНКА ТОЧНОСТИ ИЗМЕРЕНИЙ
В.1 Оценку точности измерений проводят:
- предварительно до начала измерений путем обработки результатов специально выполненных наблюдений;
- после окончания измерений путем обработки полученных результатов измерений.
В.2 Для оценки точности измерений используют многократные измерения параметра в одном из установленных сечений (мест) или двойные измерения параметра в разных сечениях (местах) одного или нескольких объектов измерений.
Общее число измерений M, необходимое для оценки точности результата измерений, составляет:
- для предварительной оценки - 20;
- для оценки точности выполненных измерений - не менее 6.
Для уменьшения влияния систематических погрешностей измерения выполняют в соответствии с
6.7.
В.3 Оценку точности измерений проводят путем определения действительной погрешности измерения

и сравнением ее с максимально допускаемой погрешностью измерений

.
В случаях, когда нормирована относительная погрешность измерения, определяют действительную относительную погрешность.
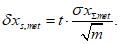
В.4 Действительную погрешность измерения при многократных измерениях определяют по формуле

(В.1)
где

- расчетное стандартное выборочное отклонение принимаемого метода и инструментальной погрешности измерения;
t - коэффициент (принимают по таблице В.1).
Таблица В.1
Доверительные вероятности | Значения t при M, равном |
20 | 10 | 8 | 6 |
0,95 | 2 | 2,3 | 2,4 | 2,6 |
0,99 | 2,5 | 3,2 | 3,5 | 4,0 |
Расчетное стандартное выборочное отклонение принимаемого метода и инструментальной погрешности измерения при многократных измерениях параметра определяют по формуле

(В.2)
где xj - - результат измерения;

- среднее арифметическое значение, полученное по результатам многократных измерений геометрического параметра
x;
M - число равноточных результатов измерений, выполняемых для предварительной оценки;
m - число измерений параметра, выполняемых при контроле в данном сечении (месте).
Если при измерениях используют средства и методы, для которых из специально выполненных ранее измерений или из эксплуатационной документации установлено расчетное стандартное выборочное отклонение принимаемого метода и инструментальной погрешности измерения

, то действительную погрешность измерений определяют по формуле

(В.3)
В.5 Действительную погрешность результата измерения при двойных измерениях параметра в одном из установленных сечений (местах) оценивают по формуле

(В.4)
где

- абсолютное значение неисключенной систематической погрешности измерений, численное значение которой определено из обработки ряда двойных измерений.
Пример - Необходимо провести предварительную оценку точности измерений длинномером длины изделий при контроле точности их изготовления. Измерение длины каждого изделия в процессе контроля будет выполняться при числе измерений m = 2.
Выполняют M = 20 измерений длины одного изделия. Для уменьшения влияния систематической погрешности измерений первые десять измерений выполняют в одном направлении каждый раз со сдвигом шкалы на 70 - 90 мм, а вторые десять измерений - в другом направлении с тем же сдвигом шкалы.
Результаты измерений и последовательность их обработки приведены в таблице В.2 (для упрощения приведены результаты только 10 измерений, т.е. M = 10).
Таблица В.2
Номера наблюдений | Отсчеты по длинномеру | Размеры, полученные в результате наблюдений | xj - x0 | (xj - x0)2 | | |
Левая грань | Правая грань |
| Прямо | | | | | |
1 | 0 | 3205 | 3205 | 5 | 25 | 0 | 0 |
2 | 7 | 3216 | 3209 | 9 | 81 | -4 | 16 |
3 | 14 | 3219 | 3205 | 5 | 25 | 0 | 0 |
4 | 21 | 3221 | 3200 | 0 | 0 | 5 | 25 |
5 | 29 | 3232 | 3203 | 3 | 9 | 2 | 4 |
6 | 36 | 3244 | 3208 | 8 | 64 | -3 | 9 |
7 | 43 | 3245 | 3202 | 2 | 4 | 3 | 9 |
8 | 50 | 3257 | 3207 | 7 | 49 | -2 | 4 |
9 | 57 | 3265 | 3208 | 8 | 64 | -3 | 9 |
10 | 64 | 3269 | 3205 | 5 | 25 | 0 | 0 |
| | | | |
Принимают
с ошибкой округления
; x0 - наименьший результат из всех наблюдений, x0 = 3200.
Контроль правильности вычислений:
1) 
2) 
Расчетное стандартное выборочное отклонение принимаемого метода и инструментальной погрешности измерения
находят по формуле (В.2):
Действительная погрешность измерения
Максимально допускаемую погрешность измерения находят по формуле (2). При допуске на длину 
Действительная погрешность измерения не соответствует требуемой, должны быть приняты другие средства измерений или увеличено число измерений m. Принимают m = 4, тогда
В.6 При двойных измерениях близких по значению линейных размеров расчетное стандартное выборочное отклонение принимаемого метода и инструментальной погрешности измерения и остаточную систематическую погрешность результата измерений определяют в соответствии с таблицей В.3. При этом имеют в виду, что измерения являются равноточными в паре и между парами.
Таблица В.3
Наименование вычислительной операции | Формулы для вычисления |
Определение разностей dj в каждой паре измерений | dj = xj1 - xj2 |
Вычисление неисключенной систематической погрешности измерений  | |
Условие значимости (несущественности) неисключенной систематической погрешности измерений | |
Вычисление расчетного стандартного выборочного отклонения принимаемого метода и инструментальной погрешности измерения  , если выполняется условие значимости в настоящей таблице неисключенной систематической погрешности измерений. В этом случае при использовании формулы (1) остаточная систематическая погрешность не учитывается | |
Определение разностей в каждой паре измерений dj с исключением неисключенной систематической погрешности | |
Проверка правильности вычислений | |
Вычисление расчетного стандартного выборочного отклонения принимаемого метода и инструментальной погрешности измерения  результата измерений без учета неисключенной систематической погрешности (в случае, если условие значимости в настоящей таблице не выполняется) | |
Примечание - Обозначения, принятые в настоящей таблице: xj1, xj2 - результаты первого и второго в паре измерений параметра в одной точке (сечении, месте). Для обеспечения правильной оценки все первые измерения в установленных точках (сечениях, местах) выполняют в одном направлении (или при одной установке прибора), а все вторые - в обратном направлении (или при симметричной установке прибора); запись результатов измерений - в соответствии с порядком их выполнения; M' - число пар измерений (M' = M/2). |
Пример - Провести оценку точности измерений, выполненных методом бокового нивелирования двойными измерениями при контроле отклонений от разбивочных осей низа семи смонтированных колонн. Проведено семь пар измерений при двукратной установке теодолита по ГОСТ 10529 (либо электронным тахеометром по ГОСТ Р 51774) над центром пункта пространственной геодезической сети, которые являются равноточными в паре и между парами. Результаты измерений и последовательность их обработки приведены в таблице В.4.
Таблица В.4
Номер пары измерений | Результаты измерений | dj = xj1 - xj2 | | | |
xj1 (при первой установке теодолита) | xj2 (при второй установке теодолита) |
1 | -5 | -7 | 2 | 4 | 1,4 | 2,0 |
2 | 3 | 0 | 3 | 9 | 2,4 | 5,8 |
3 | -7 | -6 | -1 | 1 | -1,6 | 2,6 |
4 | 0 | 2 | -2 | 4 | -2,6 | 6,8 |
5 | 4 | 6 | -2 | 4 | -2,6 | 6,8 |
6 | -8 | -10 | 2 | 4 | 1,4 | 2,0 |
7 | 2 | 0 | 2 | 4 | 1,4 | 2,0 |
| | | | |
Вычисляют неисключенную систематическую погрешность и проверяют ее значимость:
Так как
значима, она исключается из разностей dj.
Проверка правильности вычислений:
1) 
2) 
Расчетное стандартное выборочное отклонение принимаемого метода и инструментальной погрешности измерения
Действительная погрешность измерения
t = 3 при M = 14 и доверительной вероятности 0,99.
Максимально допускаемая погрешность измерения при допуске совмещения ориентиров при установке колонн
по ГОСТ Р 58942
Действительная точность измерений соответствует требуемой.
В.7 При двойных измерениях, существенно различных по значению между парами линейных размеров, расчетное стандартное выборочное отклонение принимаемого метода и инструментальной погрешности измерения и неисключенную систематическую погрешность результата измерений определяют в соответствии с таблицей В.5.
При этом измерения в паре являются равноточными, а между парами - неравноточными.
Таблица В.5
Наименование вычислительной операции | Формулы для вычисления |
Определение разностей dj в каждой паре наблюдений | dj = xj1 - xj2 |
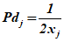
Вычисление весов разностей Pdj | |
Вычисление неисключенной систематической погрешности измерений  | |
Условие значимости (несущественности) неисключенной систематической погрешности измерений | |
Вычисление расчетного стандартного выборочного отклонения принимаемого метода и инструментальной погрешности измерения  , если выполняется условие значимости в настоящей таблице неисключенной систематической погрешности измерений | |
Определение разностей в каждой паре измерений dj с исключением неисключенной систематической погрешности | |
Проверка правильности вычислений | |
Вычисление расчетного стандартного выборочного отклонения принимаемого метода и инструментальной погрешности измерения  результата измерений без учета неисключенной систематической погрешности (в случае, если условие значимости в настоящей таблице не выполняется) | |
Примечание - В настоящей таблице применены следующие условные обозначения: C - любая постоянная величина; остальные обозначения - по 3.2. |
Пример - провести оценку точности измерений, выполняемых рулеткой при контроле точности детальных разбивочных работ двойными измерениями расстояний между разбивочными осями.
Измерения в паре равноточны, а между парами вследствие большой разницы в значениях расстояний - неравноточны.
Выполнено восемь пар измерений (по числу имеющихся в натуре ориентиров).
Вычисляют неисключенную систематическую погрешность измерений и проверяют ее значимость
Следовательно, неисключенной систематической погрешностью можно пренебречь.
Действительные абсолютные погрешности измерений для каждой пары измерений вычислены в таблице В.6 при t = 2,2 (M = 16, доверительная вероятность 0,95).
Номер пары измерений | Измерение | dj = xj1 - xj2 | | | | 4M'Pdj | | | |
xj1, мм | xj2, мм |
1 | 6003 | 6002 | 1,0 | 1,0 | 0,08 | 0,08 | 2,56 | 1,1 | 2,4 | 3,2 |
2 | 2995 | 2997 | -2,0 | 4,0 | 0,16 | 0,64 | 5,12 | 0,8 | 1,8 | 2,0 |
3 | 3600 | 3600 | 0 | 0 | 0,13 | 0 | 4,16 | 0,9 | 2,0 | 2,0 |
4 | 2398 | 2399 | -1,0 | 1,0 | 0,21 | 0,21 | 6,72 | 0,7 | 1,5 | 1,2 |
5 | 3600 | 3602 | -2,0 | 4,0 | 0,13 | 0,52 | 4,16 | 0,9 | 2,0 | 2,0 |
6 | 2994 | 2993 | 1,0 | 1,0 | 0,16 | 0,16 | 5,12 | 0,8 | 1,8 | 2,0 |
7 | 1997 | 1995 | 2,0 | 4,0 | 0,25 | 1,00 | 8,00 | 0,6 | 1,3 | 1,2 |
8 | 3605 | 3603 | 2,0 | 4,0 | 0,13 | 0,52 | 4,16 | 0,9 | 2,0 | 2,0 |
| | |
| | ИС МЕГАНОРМ: примечание. В официальном тексте документа, видимо, допущена опечатка: имеется в виду таблица Б.5 ГОСТ Р 58942-2020, а не таблица А.5. | |
Максимально допускаемые погрешности измерений для каждой пары измерений, вычисленные по формуле (2), приведены в таблице В.6. Допуски на разбивку осей в плане определялись по таблице А.5 ГОСТ Р 58942-2020 соответственно 6-му классу точности.
Действительные погрешности измерений в основном не превышают требуемых. Измерения с порядковыми номерами 4 и 7 следует повторить при m от трех до четырех.
| Рекомендации по межгосударственной стандартизации | Государственная система обеспечения единства измерений. Метрология. Основные термины и определения |
| Федеральный закон от 26 июня 2008 г. N 102-ФЗ "Об обеспечении единства измерений" |
УДК 69.001.2:006.78 | |
Ключевые слова: система обеспечения точности, геометрические параметры в строительстве, правила выполнения измерений, общие положения |