Главная // Актуальные документы // ГОСТ Р (Государственный стандарт)СПРАВКА
Источник публикации
М.: ФГБУ "Институт стандартизации", 2023
Примечание к документу
Документ
введен в действие с 01.08.2023.
Название документа
"ГОСТ Р ИСО 2401-2023. Национальный стандарт Российской Федерации. Материалы сварочные. Электроды покрытые. Определение эффективности, коэффициента использования и коэффициента наплавки"
(утв. и введен в действие Приказом Росстандарта от 28.07.2023 N 594-ст)
"ГОСТ Р ИСО 2401-2023. Национальный стандарт Российской Федерации. Материалы сварочные. Электроды покрытые. Определение эффективности, коэффициента использования и коэффициента наплавки"
(утв. и введен в действие Приказом Росстандарта от 28.07.2023 N 594-ст)
Утвержден и введен в действие
агентства по техническому
регулированию и метрологии
от 28 июля 2023 г. N 594-ст
НАЦИОНАЛЬНЫЙ СТАНДАРТ РОССИЙСКОЙ ФЕДЕРАЦИИ
МАТЕРИАЛЫ СВАРОЧНЫЕ
ЭЛЕКТРОДЫ ПОКРЫТЫЕ
ОПРЕДЕЛЕНИЕ ЭФФЕКТИВНОСТИ,
КОЭФФИЦИЕНТА ИСПОЛЬЗОВАНИЯ И КОЭФФИЦИЕНТА НАПЛАВКИ
Welding consumables. Covered electrodes.
Determination of the efficiency, coefficient of metal
recovery and deposition coefficient
(ISO 2401:2018, Welding consumables - Covered electrodes -
Determination of the efficiency, metal recovery
and deposition coefficient, IDT)
ГОСТ Р ИСО 2401-2023
Дата введения
1 августа 2023 года
1 ПОДГОТОВЛЕН Саморегулируемой организацией Ассоциация "Национальное Агентство Контроля Сварки" (СРО Ассоциация "НАКС") на основе собственного перевода на русский язык англоязычной версии стандарта, указанного в
пункте 4
2 ВНЕСЕН Техническим комитетом по стандартизации ТК 364 "Сварка и родственные процессы"
3 УТВЕРЖДЕН И ВВЕДЕН В ДЕЙСТВИЕ
Приказом Федерального агентства по техническому регулированию и метрологии от 28 июля 2023 г. N 594-ст
4 Настоящий стандарт идентичен международному стандарту ИСО 2401:2018 "Материалы сварочные. Электроды покрытые. Определение эффективности, извлечения металла и коэффициента наплавки" (ISO 2401:2018 "Welding consumables - Covered electrodes - Determination of the efficiency, metal recovery and deposition coefficient", IDT).
Международный стандарт разработан Техническим комитетом ИСО/ТК 44 "Сварка и родственные процессы", подкомитетом ПК 3 "Сварочные материалы".
Наименование настоящего стандарта изменено относительно наименования указанного международного стандарта для увязки с терминологией, принятой в национальных стандартах Российской Федерации.
При применении настоящего стандарта рекомендуется использовать вместо ссылочных международных стандартов соответствующие им национальные стандарты, сведения о которых приведены в дополнительном
приложении ДА
5 ВВЕДЕН ВПЕРВЫЕ
Правила применения настоящего стандарта установлены в статье 26 Федерального закона от 29 июня 2015 г. N 162-ФЗ "О стандартизации в Российской Федерации". Информация об изменениях к настоящему стандарту публикуется в ежегодном (по состоянию на 1 января текущего года) информационном указателе "Национальные стандарты", а официальный текст изменений и поправок - в ежемесячном информационном указателе "Национальные стандарты". В случае пересмотра (замены) или отмены настоящего стандарта соответствующее уведомление будет опубликовано в ближайшем выпуске ежемесячного информационного указателя "Национальные стандарты". Соответствующая информация, уведомление и тексты размещаются также в информационной системе общего пользования - на официальном сайте Федерального агентства по техническому регулированию и метрологии в сети Интернет (www.rst.gov.ru)
Настоящий стандарт устанавливает методы определение эффективности, коэффициента использования и коэффициента наплавки покрытых электродов.
В настоящем стандарте использована нормативная ссылка на следующий стандарт [для датированной ссылки применяют только указанное издание ссылочного стандарта, для недатированной - последнее издание (включая все изменения)]:
ISO 80000-1:2009, Quantities and units - Part 1: General. Corrected by ISO 80000-1:2009/Cor 1:2011 (Величины и единицы. Общие положения)
В настоящем стандарте применены следующие термины с соответствующими определениями.
ИСО и МЭК поддерживают терминологические базы данных для использования в стандартизации по следующим адресам:
- платформа онлайн-просмотра ИСО: доступна по адресу http://www.iso.org/obp;
- Электропедия МЭК: доступна по адресу http://www.electropedia.org/.
3.1
эффективность электрода (electrode efficiency): Отношение массы металла, наплавленного при стандартных условиях, к массе израсходованного электродного стержня.
3.1.1
номинальная эффективность электрода RN (nominal electrode efficiency): Эффективность электрода
(3.1), рассчитанная по номинальному диаметру и удельному весу электродного стержня.
Примечание 1 - Значение RN, полученное в соответствии с настоящим стандартом, может быть близко к значению RE.
Примечание 2 - Удельный вес нелегированных, мелкозернистых, высокопрочных и жаропрочных сталей 7,85 г/см3.
3.1.2
полезная эффективность электрода RE (effective electrode efficiency): Эффективность электрода
(3.1), определяемая по фактической массе израсходованного электродного стержня.
Примечание 1 - Значение RE, полученное в соответствии с настоящим стандартом, может быть близко к значению RN.
3.2 коэффициент использования электрода RG (overall weld metal recovery): Отношение массы металла, наплавленного при стандартных условиях, к общей массе конкретного испытанного электрода.
3.3 эффективность наплавки RD (deposition efficiency): Отношение массы металла, наплавленного при стандартных условиях, к общей массе конкретного израсходованного электрода, исключая огарки.
3.4 коэффициент наплавки D (deposition coefficient): Масса металла, наплавленного при стандартных условиях за ампер-минуту для конкретного электрода.
Примечание 1 - При записи результатов испытаний к указанным выше обозначениям RN, RE, RG, RD и D добавляют дополнительный знак для указания рода тока, применяемого при определении значений. Эти знаки используют следующим образом:
- постоянный ток, прямая полярность RN +;
- постоянный ток, обратная полярность RN -;
- переменный ток RN ~.
4.1 Количество
Для каждого диаметра испытуемого электрода должна быть наплавлена одна испытательная пластина.
4.2 Технические требования
Испытательная пластина должна быть изготовлена из углеродистой стали (содержание углерода не более 0,25%) и иметь следующие размеры:
- ширина 75 мм;
- длина 300 мм;
- толщина 12 мм.
В большинстве случаев длины одного испытательного образца достаточно, но если это не так, то второй испытательный образец длиной 150 мм или, при необходимости, 300 мм располагают встык к первому испытательному образцу (см. рисунок 1).
Размеры в миллиметрах
Рисунок 1 - Испытательный образец
Чтобы облегчить взвешивание после наплавки, испытательную пластину, если использовались две пластины, допускается разрезать на две части.
Поверхность пластины, на которую производят наплавку, в случае необходимости должна быть очищена легким шлифованием или другим подходящим способом от окалины, ржавчины, краски, масла и т.д. После очистки и перед наплавкой пластину взвешивают с точностью +/- 1 г.
5.1 Для наплавки на испытательную пластину применяют три, пять или восемь электродов испытуемого диаметра. Если масса наплавленного металла, приходящаяся на каждый электрод, составляет более 100 г, допускается применение только трех электродов.
5.2 Перед наплавкой электроды взвешивают с точностью +/- 1 г. Суммарную массу электродов обозначают mE. Массу электродных стержней, полученную путем аккуратного снятия покрытия с одинакового количества электродов одной партии, обозначают mW. Массу электродных стержней mW можно получить расчетным путем после измерения диаметра и суммарной длины LW электродных стержней испытуемых электродов, принимая плотность стали 7,85 г/см3.
5.3 Сварочный ток I для нижнего положения при сварке должен составлять примерно 90% от максимального значения диапазона, указанного производителем электродов. Настройки оборудования не должны меняться в течение испытания.
5.4 Длина дуги и процесс сварки должны быть типичными для применяемого электрода, а наплавленный валик не должен иметь множественных дефектов.
5.5 Электроды, предназначенные для сварки только на постоянном токе, или электроды, для которых производитель указал, что постоянный ток является предпочтительным, испытывают на постоянном токе с полярностью, рекомендованной производителем.
5.6 Электроды, предназначенные для сварки на постоянном или переменном токе, испытывают на переменном токе.
5.7 Каждый электрод применяют при наплавке в нижнем положении и используют без прерывания до тех пор, пока не останется огарок около 50 мм (рекомендуется на электроде отмечать необходимую длину огарка перед наплавкой).
5.8 Время горения каждого электрода измеряют с точностью +/- 1 с, а суммарное время t для количества испытанных электродов (три, пять или восемь) исчисляют в минутах.
5.9 После каждого валика испытательную пластину допускается охлаждать в воде, но перед возобновлением наплавки испытательная пластина должна быть сухой. Шлак и брызги, прилипшие к испытательной пластине, должны быть тщательно удалены перед нанесением последующих валиков. Межслойная температура не должна превышать 100 °C.
5.10 После наплавки каждого валика огарки электродов сохраняют во избежание потерь нерасплавленного покрытия, а после остывания огарки могут быть:
1) взвешены с точностью +/- 1 г с определением их суммарной массы mS;
2) взвешены после тщательного удаления всего оставшегося покрытия с определением их суммарной массы mWS;
3) измерены с точностью +/- 1 мм относительно длины электродного стержня для определения измеренной суммарной длины огарков LS.
5.11 После завершения наплавки испытательную пластину охлаждают до комнатной температуры и после удаления налипшего на нее шлака и брызг (а также после сушки, если было применено охлаждение в воде) взвешивают с точностью +/- 1 г. Суммарная масса наплавленного металла
mD может быть определена по разнице с исходной массой пластины, как указано в
4.2.
5.12 Суммарная длина огарков должна составлять от 144 до 156 мм для трех электродов, от 240 до 260 мм для пяти электродов и от 384 до 416 мм для восьми электродов. Если суммарная длина огарков выходит за эти пределы, испытания повторяют.
6 Расчет эффективности и коэффициента использования
6.1 Суммарную номинальную массу израсходованных электродных стержней трех, пяти или восьми электродов mCN рассчитывают исходя из номинального диаметра и номинальной длины за вычетом измеренной с точностью +/- 1 мм длины электродных стержней трех, пяти или восьми огарков LS. Плотность стали принимают равной 7,85 г/см3.
6.2 Суммарную эффективную массу израсходованных электродных стержней трех, пяти или восьми электродов mCE определяют по формуле

, (1)
где mW - суммарная масса электродных стержней;
LS - измеренная суммарная длина огарков электродов;
LW - измеренная суммарная длина электродных стержней
или по формуле
mCE = mW - mWS, (2)
где mWS - суммарная масса электродных стержней огарков.
6.3 Номинальную эффективность электрода определяют по формуле

, (3)
где mD - масса наплавленного металла;
mCN - номинальная масса израсходованных электродных стержней.
6.4 Полезную эффективность электрода определяют по формуле

. (4)
6.5 Коэффициент использования электрода определяют по формуле

, (5)
где mE - суммарная масса испытуемых электродов.
6.6 Эффективность наплавки определяют по формуле

, (6)
где mS - суммарная масса огарков электродов.
Полученные фактические испытательные значения должны соответствовать требованиям ИСО 80000-1:2009, B.3, правило A. Если измеренные значения получены с помощью оборудования, откалиброванного в единицах, отличных от указанных в настоящем стандарте, измеренные значения должны быть преобразованы в единицы настоящего стандарта до округления. Если среднее значение необходимо сравнить с требованиями настоящего стандарта, округление должно выполняться только после расчета среднего значения. Округленные результаты должны соответствовать требованиям соответствующей таблицы для тестируемой классификации.
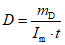
8 Расчет коэффициента наплавки
Коэффициент наплавки, выраженный в г/А·мин, определяют по формуле

, (7)
где mD - масса наплавленного металла, г;
Im - сварочный ток, А;
t - время горения дуги, мин.
Значения, рассчитанные, как указано выше, должны быть округлены до сотых долей.
(справочное)
СВЕДЕНИЯ О СООТВЕТСТВИИ ССЫЛОЧНЫХ МЕЖДУНАРОДНЫХ СТАНДАРТОВ
НАЦИОНАЛЬНЫМ СТАНДАРТАМ
Таблица ДА.1
Обозначение ссылочного международного стандарта | Степень соответствия | Обозначение и наименование соответствующего национального стандарта |
ISO 80000-1:2009 | - | |
<*> Соответствующий национальный стандарт отсутствует. До его принятия рекомендуется использовать перевод на русский язык данного международного стандарта. |
УДК 621.791:006.354 | |
Ключевые слова: материалы сварочные, электроды покрытые, определение эффективности электрода, определение коэффициента использования электрода, определение коэффициента наплавки, КПД электрода |