Главная // Актуальные документы // ГОСТ Р (Государственный стандарт)СПРАВКА
Источник публикации
М.: ФГБУ "Институт стандартизации", 2023
Примечание к документу
Документ
введен в действие с 01.10.2023.
Название документа
"ГОСТ Р ИСО 23996-2023. Национальный стандарт Российской Федерации. Покрытия напольные эластичные. Методы определения плотности"
(утв. и введен в действие Приказом Росстандарта от 18.01.2023 N 21-ст)
"ГОСТ Р ИСО 23996-2023. Национальный стандарт Российской Федерации. Покрытия напольные эластичные. Методы определения плотности"
(утв. и введен в действие Приказом Росстандарта от 18.01.2023 N 21-ст)
Утвержден и введен в действие
агентства по техническому
регулированию и метрологии
от 18 января 2023 г. N 21-ст
НАЦИОНАЛЬНЫЙ СТАНДАРТ РОССИЙСКОЙ ФЕДЕРАЦИИ
ПОКРЫТИЯ НАПОЛЬНЫЕ ЭЛАСТИЧНЫЕ
МЕТОДЫ ОПРЕДЕЛЕНИЯ ПЛОТНОСТИ
Resilient floor coverings. Methods for determining density
(ISO 23996:2007, Resilient floor coverings -
Determination of density, IDT)
ГОСТ Р ИСО 23996-2023
Дата введения
1 октября 2023 года
1 ПОДГОТОВЛЕН Обществом с ограниченной ответственностью "ПСМ-Стандарт" (ООО "ПСМ-Стандарт") на основе собственного перевода на русский язык англоязычной версии стандарта, указанного в
пункте 4
2 ВНЕСЕН Техническим комитетом по стандартизации ТК 144 "Строительные материалы и изделия"
3 УТВЕРЖДЕН И ВВЕДЕН В ДЕЙСТВИЕ
Приказом Федерального агентства по техническому регулированию и метрологии от 18 января 2023 г. N 21-ст
4 Настоящий стандарт идентичен международному стандарту ИСО 23996:2007 "Покрытия напольные эластичные. Определение плотности" (ISO 23996:2007 "Resilient floor coverings - Determination of density", IDT).
Наименование настоящего стандарта изменено относительно наименования указанного международного стандарта для приведения в соответствие с ГОСТ Р 1.5-2012
(пункт 3.5).
При применении настоящего стандарта рекомендуется использовать вместо ссылочных стандартов соответствующие им национальные и межгосударственные стандарты, сведения о которых приведены в дополнительном
приложении ДА
5 ВВЕДЕН ВПЕРВЫЕ
6 Некоторые положения стандарта могут быть предметом патентных прав
Правила применения настоящего стандарта установлены в статье 26 Федерального закона от 29 июня 2015 г. N 162-ФЗ "О стандартизации в Российской Федерации". Информация об изменениях к настоящему стандарту публикуется в ежегодном (по состоянию на 1 января текущего года) информационном указателе "Национальные стандарты", а официальный текст изменений и поправок - в ежемесячном информационном указателе "Национальные стандарты". В случае пересмотра (замены) или отмены настоящего стандарта соответствующее уведомление будет опубликовано в ближайшем выпуске ежемесячного информационного указателя "Национальные стандарты". Соответствующая информация, уведомление и тексты размещаются также в информационной системе общего пользования - на официальном сайте Федерального агентства по техническому регулированию и метрологии в сети Интернет (www.rst.gov.ru)
Настоящий стандарт устанавливает два метода определения плотности гомогенных эластичных напольных покрытий и плотных слоев остальных эластичных напольных покрытий.
В настоящем стандарте использованы нормативные ссылки на следующие стандарты [для датированных ссылок применяют только указанное издание ссылочного стандарта, для недатированных - последнее издание (включая все изменения)]:
ISO 24342, Resilient floor covering tiles - Determination of side length, edge straightness and squareness (Покрытия напольные упругие. Определение длины сторон, прямолинейности и перпендикулярности плиток)
ISO 24346, Resilient floor coverings - Determination of overall thickness (Покрытия напольные эластичные. Определение общей толщины)
В настоящем стандарте применен следующий термин с соответствующим определением.
3.1 плотность (density): Отношение массы к объему.
Отбирают три плитки или образец листового материала размерами не менее 1000 x 1000 мм.
5 Атмосферные условия для кондиционирования и проведения испытаний
Образцы для испытаний выдерживают при температуре (23 +/- 2) °C и относительной влажности (50 +/- 5)% не менее 24 ч. Поддерживают эти условия при проведении испытаний.
6.1 Сущность метода
Образец известной массы погружают в жидкость, после этого повторно взвешивают и рассчитывают его плотность.
6.2 Средства испытаний
6.2.1 Весы с точностью измерения 1 мг.
6.2.2 Подставка или другая неподвижная опора.
6.2.3 Стакан емкостью 200 мл.
6.2.4 Тонкая проволока диаметром не более 0,125 мм.
6.2.5 Свежедистиллированная вода, содержащая не более 0,1% смачивающего вещества (для удаления пузырьков воздуха) при температуре (23 +/- 2) °C.
6.3 Отбор образцов
Отбирают три образца для испытаний и размещают на равном расстоянии друг от друга, при этом расстояние между внешним краем образца материала или отдельных плиток и ближайшим краем образца для испытаний должно составлять не менее 100 мм. Каждый образец для испытаний должен иметь размеры не менее 30 x 30 мм или диаметр 36 мм.
6.4 Порядок проведения испытания
Взвешивают образец для испытаний с подвешенной к нему тонкой проволокой, регистрируют значение его массы, m1. После этого погружают образец, все еще подвешенный на проволоке, в дистиллированную воду, находящуюся в стакане на подставке или другой неподвижной опоре, удаляют прилипшие пузырьки с помощью тонкой проволоки. Затем отмечают уровень погружения и регистрируют значение массы погруженного образца, m2, и погружают оставшийся образец на тот же уровень.
6.5 Расчет и выражение результатов испытаний
Рассчитывают плотность испытуемого образца,

, кг/м
3, по следующей формуле
где m1 - исходная масса испытуемого образца, кг;
m2 - масса погруженного образца для испытаний, кг;

- плотность воды при температуре, указанной в
6.2.5, кг/м
3.
Рассчитывают средний результат для трех образцов и округляют результат с точностью до 1 кг/м3.
6.6 Прецизионность
Для оценки прецизионности данного метода испытаний проводят межлабораторные исследования.
7.1 Сущность метода
Образец с известными размерами взвешивают и рассчитывают его плотность как отношение массы к объему. Данный метод не может быть использован при наличии текстуры на поверхности и/или оборотной стороне.
7.2 Измерительное оборудование
7.2.1 Прибор, описанный в ИСО 24342, для измерения длины и ширины стороны прямоугольного образца.
7.2.2 Прибор, описанный в ИСО 24346, для измерения толщины образца.
7.2.3 Весы с точностью измерения 1 мг.
7.3 Отбор образцов
Вырезают три образца для испытаний квадратной формы размерами сторон не менее 100 x 100 мм на равных расстояниях друг от друга, при этом расстояние между внешним краем образца материала и ближайшим краем образца для испытаний должно составлять не менее 100 мм.
В случае с плитками берутся три отдельные плитки.
7.4 Порядок проведения испытания
Для каждого испытания измеряют и регистрируют значение толщины и размеры сторон образца с точностью до 0,1 мм. Взвешивают каждый образец отдельно и регистрируют значение массы с точностью до 10 мг.
7.5 Расчет и выражение результатов испытаний
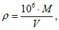
Рассчитывают плотность,

, кг/м
3, по следующей формуле и округляют до 0,01.
где M - масса испытуемого образца, г;
V - объем испытуемого образца, мм3.
Рассчитывают средний результат для трех образцов и округляют до 1 кг/м3.
7.6 Прецизионность
Для оценки прецизионности данного метода испытаний проводят межлабораторные исследования.
Протокол испытаний должен содержать следующую информацию:
а) заявление о том, что испытания были проведены в соответствии с методом A или B настоящего международного стандарта (ИСО 23996);
б) дату (даты) проведения испытаний;
в) полную идентификацию испытанного продукта, включая указание типа, поставщика, цвета и ссылочного номера производителя;
г) историю образца;
д) любые отклонения от требований настоящего международного стандарта, которые могли повлиять на результаты;
е) среднее значение плотности.
(справочное)
СВЕДЕНИЯ О СООТВЕТСТВИИ ССЫЛОЧНЫХ МЕЖДУНАРОДНЫХ СТАНДАРТОВ
НАЦИОНАЛЬНЫМ И МЕЖГОСУДАРСТВЕННЫМ СТАНДАРТАМ
Таблица ДА.1
Обозначение ссылочного международного стандарта | Степень соответствия | Обозначение и наименование соответствующего национального, межгосударственного стандарта |
ISO 24342 | - | <*> |
ISO 24346 | - | <*> |
<*> Соответствующий национальный, межгосударственный стандарт отсутствует. До его принятия рекомендуется использовать перевод на русский язык данного международного стандарта. |
УДК 692.535:006.354 | |
Ключевые слова: эластичные напольные покрытия, плотность, масса |