Главная // Актуальные документы // ГОСТ Р (Государственный стандарт)СПРАВКА
Источник публикации
М.: ФГБУ "Институт стандартизации", 2024
Примечание к документу
Документ
введен в действие с 01.08.2024 с правом досрочного применения.
Название документа
"ГОСТ Р 71405-2024. Национальный стандарт Российской Федерации. Дороги автомобильные общего пользования. Проектирование дорожных одежд. Методика расчета коэффициентов приведения транспортных средств к расчетной осевой нагрузке"
(утв. и введен в действие Приказом Росстандарта от 25.06.2024 N 870-ст)
"ГОСТ Р 71405-2024. Национальный стандарт Российской Федерации. Дороги автомобильные общего пользования. Проектирование дорожных одежд. Методика расчета коэффициентов приведения транспортных средств к расчетной осевой нагрузке"
(утв. и введен в действие Приказом Росстандарта от 25.06.2024 N 870-ст)
Утвержден и введен в действие
агентства по техническому
регулированию и метрологии
от 25 июня 2024 г. N 870-ст
НАЦИОНАЛЬНЫЙ СТАНДАРТ РОССИЙСКОЙ ФЕДЕРАЦИИ
ДОРОГИ АВТОМОБИЛЬНЫЕ ОБЩЕГО ПОЛЬЗОВАНИЯ
ПРОЕКТИРОВАНИЕ ДОРОЖНЫХ ОДЕЖД
МЕТОДИКА РАСЧЕТА КОЭФФИЦИЕНТОВ ПРИВЕДЕНИЯ
ТРАНСПОРТНЫХ СРЕДСТВ К РАСЧЕТНОЙ ОСЕВОЙ НАГРУЗКЕ
Automobile roads of general use. Road pavement design.
Methods of calculating vehicle conversion ratios
to design axial loads
ГОСТ Р 71405-2024
Дата введения
1 августа 2024 года
с правом досрочного применения
1 РАЗРАБОТАН Автономной некоммерческой организацией "Научно-исследовательский институт транспортно-строительного комплекса" (АНО "НИИ ТСК") совместно с Федеральным автономным учреждением "Российский дорожный научно-исследовательский институт" (ФАУ "РОСДОРНИИ")
2 ВНЕСЕН Техническим комитетом по стандартизации ТК 418 "Дорожное хозяйство"
3 УТВЕРЖДЕН И ВВЕДЕН В ДЕЙСТВИЕ
Приказом Федерального агентства по техническому регулированию и метрологии от 25 июня 2024 г. N 870-ст
4 ВВЕДЕН ВПЕРВЫЕ
Правила применения настоящего стандарта установлены в статье 26 Федерального закона от 29 июня 2015 г. N 162-ФЗ "О стандартизации в Российской Федерации". Информация об изменениях к настоящему стандарту публикуется в ежегодном (по состоянию на 1 января текущего года) информационном указателе "Национальные стандарты", а официальный текст изменений и поправок - в ежемесячном информационном указателе "Национальные стандарты". В случае пересмотра (замены) или отмены настоящего стандарта соответствующее уведомление будет опубликовано в ближайшем выпуске ежемесячного информационного указателя "Национальные стандарты". Соответствующая информация, уведомление и тексты размещаются также в информационной системе общего пользования - на официальном сайте Федерального агентства по техническому регулированию и метрологии в сети Интернет (www.rst.gov.ru)
Настоящий стандарт распространяется на проектирование дорожных одежд автомобильных дорог общего пользования и устанавливает методику расчета коэффициентов приведения транспортных средств к расчетной осевой нагрузке.
Применение настоящего стандарта также допускается при проведении соответствующих расчетов на стадии эксплуатации.
В настоящем стандарте использованы нормативные ссылки на следующие стандарты:
ГОСТ 32960 Дороги автомобильные общего пользования. Нормативные нагрузки, расчетные схемы нагружения
ГОСТ 32965 Дороги автомобильные общего пользования. Методы учета интенсивности движения транспортного потока
Примечание - При пользовании настоящим стандартом целесообразно проверить действие ссылочных стандартов в информационной системе общего пользования - на официальном сайте Федерального агентства по техническому регулированию и метрологии в сети Интернет или по ежегодному информационному указателю "Национальные стандарты", который опубликован по состоянию на 1 января текущего года, и по выпускам ежемесячного информационного указателя "Национальные стандарты" за текущий год. Если заменен ссылочный стандарт, на который дана недатированная ссылка, то рекомендуется использовать действующую версию этого стандарта с учетом всех внесенных в данную версию изменений. Если заменен ссылочный стандарт, на который дана датированная ссылка, то рекомендуется использовать версию этого стандарта с указанным выше годом утверждения (принятия). Если после утверждения настоящего стандарта в ссылочный стандарт, на который дана датированная ссылка, внесено изменение, затрагивающее положение, на которое дана ссылка, то это положение рекомендуется применять без учета данного изменения. Если ссылочный стандарт отменен без замены, то положение, в котором дана ссылка на него, применяется в части, не затрагивающей эту ссылку.
В настоящем стандарте применены следующие термины с соответствующими определениями:
3.1 группа сближенных осей: Сгруппированные оси, конструктивно объединенные и/или не объединенные в тележку, с расстоянием между центрами отпечатков колес ближайших осей в продольном направлении не более 2,5 м.
3.2 коэффициент динамичности: Отношение максимальной вертикальной нагрузки от колеса движущегося и колеблющегося автомобиля к нагрузке от неподвижного автомобиля.
3.3 одиночная ось: Ось транспортного средства, центр отпечатка колеса которой расположен на расстоянии более 2,5 м в продольном направлении от центра отпечатка колеса ближайшей оси.
3.4
разрешенная максимальная масса: Масса транспортного средства, устанавливаемая административным органом в качестве максимально допустимой для условий эксплуатации, определяемых этим административным органом. |
3.5 сближенные колеса: Колеса на одной оси, центры отпечатков которых расположены на расстоянии до 2,5 м включительно.
3.6 давление на покрытие от нормативной (расчетной) осевой нагрузки: Отношение вертикальной нагрузки на колесо к контурной площади отпечатка шин на поверхности покрытия.
3.7
тип транспортного средства: Транспортные средства, объединенные по признакам функционального назначения, технических и конструктивных особенностей. |
3.8 многоосное транспортное средство: Транспортное средство, имеющее более двух осей.
3.9 многоосное многоколесное транспортное средство: Многоосное транспортное средство, имеющее более двух колес (двухскатных или односкатных) минимум на одной оси.
3.10
нормативная нагрузка: Модель нагрузки от транспортных средств, установленная по наибольшим значениям временных нагрузок нормальной эксплуатации с учетом перспективы. |
3.11 нормативная осевая нагрузка: Полная нагрузка от наиболее нагруженной оси условного двухосного автомобиля, к которой приводятся все автомобили с осевыми нагрузками, устанавливаемая нормативными документами для дорожных одежд при заданной капитальности и используемая для определения расчетной нагрузки при расчете дорожной одежды на прочность.
3.12 расчетная осевая нагрузка: Превышающая нормативную, максимальная нагрузка на наиболее нагруженную ось для двухосных автомобилей или на приведенную ось для многоосных автомобилей, доля которых в составе движения с учетом перспективы изменения к концу межремонтного срока составляет не менее 5%.
Примечания
1 При отсутствии такой нагрузки в качестве расчетной принимается нормативная нагрузка.
2 Дорожная одежда при заданной капитальности не может рассчитываться на расчетную осевую нагрузку менее нормативной.
3.13 эквивалентная осевая нагрузка на дорожную одежду многоосного транспортного средства: Осевая нагрузка на дорожную одежду, учитывающая влияние совокупности нагрузок от группы сближенных осей и/или сближенных колес транспортного средства.
4 Сокращения и обозначения
В настоящем стандарте применены следующие сокращения и обозначения:
АК - нормативная нагрузка от автотранспортных средств;
АПВГК - автоматический пункт весового и габаритного контроля транспортных средств;
ТС - транспортное средство;
EUR 13 - европейская классификация транспортного потока по 13 типам транспортных средств.
Для расчета дорожной одежды нежесткого и жесткого типов интенсивность движения фактических автомобилей Ni - разных марок приводят к эквивалентной по разрушающему действию на дорожную одежду интенсивности движения расчетной осевой нагрузки на одну полосу проезжей части Nр.
При этом учитывают следующие параметры транспортного потока: нагрузку на оси, количество сближенных осей в группе, расстояния между осями, тип колеса (односкатное или двухскатное) и удельное давление на покрытие от колес ТС.
Наиболее полная информация о транспортных потоках на существующих дорогах может быть получена на АПВГК.
При отсутствии данных с АПВГК целесообразно определять интенсивность движения для стандартизированных типов ТС по
ГОСТ 32965.
В настоящем стандарте представлены две методики учета весовых параметров транспортного потока, применимые для целей проектирования дорожных одежд нежесткого и жесткого типов:
- методика учета по осредненным данным осевых нагрузок для транспортного потока, распределенного в соответствии с классификацией EUR 13, представленной в
ГОСТ 32965. При определении осредненных данных для транспортного потока использованы соответствующие значения разрешенной максимальной массы ТС и осевые нагрузки в зависимости от нормативной (расчетной) нагрузки на ось и количества сближенных осей в группе в соответствии с требованиями действующих нормативных документов и технической документации в данной области;
- методика учета по фактическим данным, полученным на АПВГК, основанная на измерении весовых параметров транспортного потока.
При разработке проектной документации строительства, реконструкции и капитального ремонта автомобильных дорог применяют методику учета по фактическим данным, полученным на АПВГК, основанную на измерении весовых параметров транспортного потока.
При отсутствии фактических данных, полученных на АПВГК, допускается назначать коэффициенты приведения транспортных средств к расчетной осевой нагрузке в соответствии с
таблицами А.1 и
А.2 приложения А.
6 Расчетные параметры нагрузок для проектирования дорожных одежд
6.1 Расчетная схема нагружения дорожных одежд и расчетные нагрузки на ось и колесо транспортного средства
При проектировании дорожной одежды принимают схему нагружения конструкции колесом автомобиля в виде одной круговой площадки диаметром D, равновеликой отпечатку колеса и передающей покрытию равномерно распределенную нагрузку с давлением p. Схема нагружения представлена на рисунке 1.
E1 - модуль упругости верхнего слоя; h1 - толщина верхнего
слоя; E2 - модуль упругости нижнего слоя; D - диаметр круга,
эквивалентный отпечатку колеса, при статическом приложении
нагрузки; p - давление на покрытие
Рисунок 1 - Схема нагружения дорожной одежды, приведенной
к двухслойной конструкции, колесом автомобиля в виде одной
круговой площадки, равновеликой отпечатку колеса
6.2 Нормативные осевые нагрузки и давление
Расчет дорожных одежд следует выполнять на нормативную осевую нагрузку, соответствующую классу нормативной нагрузки АК согласно
ГОСТ 32960, которая включает в себя одну двухосную тележку с нагрузкой на ось 10 К (кН). Класс нагрузки К следует принимать на автомобильных дорогах:
- с капитальным типом дорожной одежды - 11,5 (115 кН);
- с облегченным и переходным типами дорожной одежды - 10,0 (100 кН).
Равномерно распределенную нагрузку вдоль направления движения не учитывают.
Соответствующее значение расчетной статической нагрузки на односкатное или двухскатное колесо принимают равным половине осевой нагрузки.
ТС могут иметь одиночные оси (при расстоянии между осями более 2,5 м) и группы сближенных осей (при расстоянии между осями до 2,5 м включительно). Колес на оси может быть два и более. В пределах одного ТС на осях могут быть как односкатные, так и двухскатные колеса (см. рисунок 2).
| |
а) односкатные колеса | б) двухскатные колеса |
G - нагрузка на ось ТС
Рисунок 2 - Схема расчетной нагрузки на одиночную ось
Расстояние между колесами одной оси в поперечном направлении для двухколесных осей допускается принимать 1,8 м - для двухскатных колес; 2,0 м - для односкатных колес.
Расстояние между колесами одной оси в поперечном направлении определяют расстоянием между центрами отпечатков колес.
Давление колеса на покрытие от нормативной осевой нагрузки при расчете дорожных одежд следует считать равномерно распределенным по площади отпечатка колеса, принимаемого в форме круга.
Значение давления колеса на покрытие
p согласно
ГОСТ 32960 следует принимать равным:
- 800 кПа для автомобильных дорог с капитальным типом дорожной одежды;
- 600 кПа для автомобильных дорог с облегченным и переходным типами дорожной одежды.
6.3 Учет динамической нагрузки
При расчете на динамическую нагрузку вводят коэффициент динамичности, равный 1,3.
Коэффициент динамичности не учитывают при определении коэффициента приведения к расчетной нагрузке для многоосного многоколесного транспортного средства, движущегося со скоростью менее 30 км/ч.
Расчетную динамическую нагрузку от колеса Qд.р, кН, вычисляют по формуле
где kд - коэффициент динамичности;
Qст.р - расчетная статическая нагрузка от колеса, кН.
Диаметр круговой площадки расчетной динамической нагрузки Dд, см, вычисляют по формуле

, (2)
где Qд.р - расчетная динамическая нагрузка на одно колесо, кН;
p - давление от расчетной осевой нагрузки на покрытие, кПа.
7 Методика расчета коэффициентов приведения транспортных средств к расчетной осевой нагрузке
7.1 Расчет коэффициентов приведения к расчетной нагрузке
7.1.1 Коэффициент приведения si от проезда одиночной оси ТС со статической осевой нагрузкой Gi характеризует ее разрушающее воздействие на дорожную одежду по сравнению с действием расчетной осевой нагрузки Gр.
Коэффициент приведения si от проезда одиночной оси ТС вычисляют по формуле

, (3)
где Gi - статическая осевая нагрузка ТС, кН;
Gр - расчетная статическая осевая нагрузка, кН;

- показатель степени:

- для дорожных одежд капитального типа,

- для дорожных одежд облегченного и переходного типов.
При расчете на кратковременную (динамическую) нагрузку повторное действие одиночных осей с нагрузкой
Qдi на колесо каждой оси считают эквивалентным числу приложений
si расчетной динамической нагрузки
Qд.р, вычисляемой по
формуле (1).
Коэффициент приведения si от проезда одиночной оси ТС допускается вычислять через соотношение между нагрузками от их колес по формуле

, (4)
где Qдi - нагрузка на колесо i-й оси движущегося ТС (с учетом коэффициента динамичности), кН;
Qд.р - расчетная динамическая нагрузка от колеса, вычисляемая по
формуле (1), кН;

- показатель степени:

- для дорожных одежд капитального типа,

- для дорожных одежд облегченного и переходного типов.
7.1.2 Коэффициент приведения
si от колеса одной оси движущегося многоосного многоколесного ТС к расчетной нагрузке следует определять с учетом влияния на напряженно-деформированное состояние дорожной одежды эквивалентной нагрузки

как от данного колеса с нагрузкой
Qi, так и от сближенных осей и колес (данной оси и соседних осей) по формуле

, (5)
где

- эквивалентная динамическая нагрузка на
i-е колесо (с одиночными или спаренными шинами) группы сближенных осей с учетом коэффициента динамичности, кН, определяемая в соответствии с
7.3;
Qд.р - расчетная динамическая нагрузка от колеса, кН.
7.1.3 Для ТС суммарный коэффициент приведения sсум, характеризующий разрушающее воздействие проезда этого ТС по сравнению с однократным приложением расчетной нагрузки, определяют суммированием коэффициентов приведения всех его осей по формуле

, (6)
где m - число осей;

- эквивалентная динамическая нагрузка на колесо, определяемая по
7.3.1, наибольшая для колес
i-й оси, кН;
Qд.р - расчетная динамическая нагрузка на колесо, кН.
7.2 Расчет эквивалентной динамической осевой нагрузки для группы сближенных осей в продольном направлении
7.2.1 Действие на дорожную одежду при расчете на подвижную нагрузку статической нагрузки на колесо
Qi с учетом дополнительного влияния нагрузки от колес других осей группы, расположенных на расстоянии до 2,5 м включительно друг от друга, характеризуется эквивалентной колесной нагрузкой

, кН, вычисляемой по формуле

, (7)
где kд - коэффициент динамичности;
Qj - статическая нагрузка на колесо j-й оси, кН;
g - функция, характеризующая влияние колеса
j-й оси на напряженно-деформированное состояние дорожной одежды под колесом
i-й оси в продольном направлении (в направлении движения), определяемая по
7.2.2;
m - общее количество осей в группе;
Lij - расстояние между центрами отпечатков колес i-й и j-й сближенных осей в продольном направлении (в направлении движения), м;
Dдj - диаметр круга, равновеликого отпечатку движущегося колеса j-й оси со статической нагрузкой на колесо Qj, м, вычисляемый по формуле

, (8)
где Qj - статическая нагрузка на колесо j-й оси, кН;
kд - коэффициент динамичности;
p - давление от расчетной осевой нагрузки на покрытие, кПа.
7.2.2 Функцию
g(
Lij/
Dдj), характеризующую влияние колеса
j-й оси на напряженно-деформированное состояние дорожной одежды под колесом
i-й оси в продольном направлении, вычисляют по формуле

, (9)
где Lij - расстояние между центрами отпечатков колес i-й и j-й сближенных осей в продольном направлении (в направлении движения), м;
kp = 500/pj - коэффициент, зависящий от давления воздуха pj, кПа, в шине j-го колеса;
A1, A2 и c1, c2 - коэффициенты, определяемые по 7.2.3.
7.2.3 Для учета асимметрии напряженно-деформированного состояния дорожной одежды относительно центра отпечатка движущегося колеса используют две функции g: gв - для характеристики влияния впереди идущего колеса на идущее сзади и gп - для характеристики влияния позади идущего колеса на идущее впереди, при этом gп < gв. Значения коэффициентов A1, A2 и c1, c2 приведены в таблице 1.
Таблица 1
Значения коэффициентов для вычисления функций g(Lij/Dдj)
Функция | Коэффициент |
A1 | A2 | c1 | c2 |
gв | 0,58 | 0,42 | 0,058 | 0,58 |
gп | 0,49 | 0,51 | 0,140 | 0,64 |
7.2.4 В случае одинаковых статических нагрузок
Qi на колесо в группе сближенных осей (сдвоенных, строенных и т.п.) эквивалентную колесную нагрузку

, кН, вычисляют по формуле

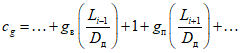
, (10)
где cg - сумма, характеризующая общее влияние группы сближенных осей на напряженно-деформированное состояние дорожной одежды при проезде i-й оси, вычисляемая по формуле

, (11)
где
Dд - диаметр отпечатка колеса осей группы, вычисляемый по
формуле (8), м;
g(
Li+/-1/
Dд) - функция, характеризующая влияние колес (
i - 1) и (
i + 1) осей на напряженно-деформированное состояние дорожной одежды под колесом
i-й оси в продольном направлении, вычисляемая по
формуле (9).
В правой части
формулы (11) единице соответствует сама
i-я ось, для которой определяют эквивалентную нагрузку

; предыдущее слагаемое

отражает влияние впереди идущей оси, расположенной на расстоянии
Li-1, от данной оси, а последующее слагаемое

- влияние позади идущей оси, расположенной на расстоянии
Li+1 от данной оси.
7.3 Расчет эквивалентной колесной нагрузки для группы сближенных осей в продольном и поперечном направлениях
7.3.1 Действие на дорожную одежду нагрузки от колеса
i-й оси движущегося многоосного многоколесного ТС и многоосного ТС при расстоянии между колесами одной оси до 2,5 м включительно следует определять с учетом влияния на напряженно-деформированное состояние дорожной одежды нагрузки от данного колеса
Qi, других сближенных колес данной оси и соседних сближенных осей и характеризовать эквивалентной колесной нагрузкой

, вычисляемой по формуле

, (12)
где kд - коэффициент динамичности;
Qj - статическая нагрузка на колесо j-й оси группы, кН;
m - общее количество осей в группе;
g(
Lij/
Dдj) - функция, характеризующая влияние колеса
j-й оси на напряженно-деформированное состояние дорожной одежды под колесом
i-й оси в продольном направлении (в направлении движения), вычисляемая по
формуле (9);
q(
lij/
Dдj) - функция, характеризующая влияние
j-го колеса
i-й оси на напряженно-деформированное состояние дорожной одежды под
i-м колесом той же оси в поперечном направлении, вычисляемая по
формуле (13);
Lij - расстояние между центрами отпечатков колес i-й и j-й сближенных осей в продольном направлении (в направлении движения), м;
lij - расстояние между центрами отпечатков i-го и j-го сближенных колес одной оси в поперечном направлении, м;
Dдj - диаметр круга, равновеликого отпечатку движущегося
j-го колеса со статической нагрузкой на него, определяемый по
формуле (8), м.
Функцию q(lij/Dдj), характеризующую влияние j-го колеса i-й оси на напряженно-деформированное состояние дорожной одежды под i-м колесом той же оси в поперечном направлении, вычисляют по формуле

, (13)
где
B1,
B2,
d1 и
d2 - коэффициенты, значения которых приведены в
таблице 2,
kp = 500/pj - коэффициент, зависящий от давления воздуха pj, кПа, в шине j-го колеса.
Таблица 2
Значения коэффициентов для вычисления функции
q(
lij/
Dдj)
Коэффициент |
B1 | B2 | d1 | d2 |
0,4 | 0,6 | 0,065 | 0,44 |
7.3.2 В случае одинаковых статических нагрузок
Qi на колесо в группе из
m колес в продольном и поперечном направлениях
формулу (12) допускается заменять формулой

, (14)
где
cg - сумма, характеризующая общее влияние колес группы в продольном направлении на напряженно-деформированное состояние дорожной одежды при проезде
i-й оси, вычисляемая по
формуле (11);
cq - сумма, характеризующая влияние колес группы в поперечном направлении на напряженно-деформированное состояние дорожной одежды при проезде i-й оси, вычисляемая по формуле

, (15)
где
Dд - диаметр отпечатка колеса, вычисляемый по
формуле (8), м;
q(
li+/-1/
Dд) - функция, характеризующая влияние (
i - 1) и (
i + 1) колеса на напряженно-деформированное состояние дорожной одежды под
i-м колесом одной оси в поперечном направлении, вычисляемая по
формуле (13).
7.3.3 При проектировании дорожной одежды на действие неподвижного многоколесного ТС эквивалентную колесную нагрузку находят по
формуле (14) при коэффициенте динамичности, равном 1. В
формулах (11) и
(15) вместо
Dд подставляют диаметр отпечатка неподвижного колеса
Dст.
Примеры расчета коэффициента приведения для многоосных ТС с двумя и несколькими колесами на одной оси приведены в
приложении Б.
8 Методика учета весовых параметров транспортного потока и расчета коэффициентов приведения по данным о составе движения и осевых нагрузках с автоматических пунктов весового и габаритного контроля транспортных средств
8.1 Методика расчета коэффициентов приведения по данным о составе движения и осевых нагрузках с АПВГК дополнительно, по сравнению с методикой
раздела 7, учитывает следующие характеристики транспортного потока:
- действительный спектр осевых нагрузок для каждой оси ТС и их долю (в процентном выражении) в реальном транспортном потоке;
- изменение транспортного потока за счет прироста грузоподъемности ТС в течение срока службы дорожной одежды. Отдельно учитывают в ТС оси с односкатными и двухскатными колесами.
Для целей проектирования целесообразно учитывать характеристики реального транспортного потока, которые необходимо получать с АПВГК в виде данных, приведенных в
приложении В. Представленную информацию принимают к расчету, если она собрана с АПВГК за период не менее одного календарного года. При сборе информации необходимо учитывать временные ограничения движения грузового транспорта на смежных или параллельно действующих участках дорожной сети либо выполнение ремонтных работ, приводящих к перераспределению транспортного потока. В случае введения указанных ограничений или выполнения ремонтных работ период наблюдения целесообразно увеличивать на период, превышающий указанные мероприятия.
Данные о составе движения и осевых нагрузках с автоматических пунктов весового и габаритного контроля транспортных средств могут быть использованы при определении перспективной интенсивности движения и состава потока, в том числе при проведении анализа закономерностей изменения объема перевозок и титульных экономических обследований.
Расчет коэффициентов приведения к расчетной нагрузке для транспортных средств в разрезе их категорий проводят в соответствии с дифференциацией ТС по
ГОСТ 32965, при этом в случае применения данных с АПВГК также следует учитывать критерии отнесения ТС к установленным категориям в соответствии с
приложением Г.
Определение коэффициентов приведения к расчетной осевой нагрузке в соответствии сданными о составе транспортного потока и осевых нагрузках допускается с АВПГК, расположенного на другой автомобильной дороге того же значения в том же субъекте Российской Федерации, относящейся к той же технической категории и рассчитанной на аналогичную расчетную осевую нагрузку, на которую рассчитывается проектируемая дорожная одежда. Кроме того, аналогичный по указанным характеристикам участок автомобильной дороги должен быть в нормативном состоянии.
8.2 Коэффициент приведения проезда одиночной оси вычисляют по
формуле (3).
Коэффициент приведения эквивалентной нагрузки от колеса движущегося многоосного многоколесного ТС к расчетной нагрузке следует определять с учетом влияния на напряженно-деформированное состояние дорожной одежды как данного колеса с нагрузкой, так и других близко расположенных колес по
формуле (5).
На основе данных, полученных с АПВГК и представленных в виде таблиц, соответствующих формам, приведенным в
приложении В, для каждого диапазона нагрузок каждой из групп осей необходимо рассчитать диаметр круга, равновеликого отпечатку колеса, по
формуле (8).
При обработке данных с АПВГК осевые нагрузки необходимо делить на коэффициент 0,89, учитывающий возможные погрешности оборудования АПВГК. Затем определяют частоту попадания значений осевых нагрузок в интервалы по 500 кг. Полученные данные заносят в формы, представленные в
таблицах В.1 -
В.4 приложения В.
Для одиночных осей проводят расчет эквивалентной колесной нагрузки с учетом поперечного влияния по
формуле (13).
По данным с АПВГК, значения нагрузок на ось в группе сближенных осей допускается считать одинаковыми.
При вычислении коэффициента приведения к расчетной нагрузке для групп сближенных осей необходимо равномерно разделить расчетную нагрузку на количество сближенных осей и вести расчет эквивалентной нагрузки для колес по каждой отдельной оси с учетом взаимного влияния колес.
Для колес, под которыми напряженно-деформированное состояние дорожной одежды имеет также воздействие со стороны других колес ТС, расположенных на расстоянии до 2,5 м включительно, рекомендуется рассчитывать эквивалентную колесную нагрузку с учетом влияния колес разных осей в продольном направлении по
формуле (7) и влияния колес одной оси в поперечном направлении по
формуле (12).
8.3 Для каждого ТС подкатегории k нагрузки разбивают на интервалы. Для каждого интервала нагрузок на ось (группу сближенных осей) в расчет эквивалентной колесной нагрузки принимают верхнюю границу диапазона, после чего для каждой оси отдельно по каждому типу скатности вычисляют коэффициент приведения sjk к расчетной нагрузке j-й оси (группы сближенных осей) ТС k-й категории, с учетом процентного распределения по интервалам нагрузки и типу скатности колеса по формуле

, (16)
где
nijk - процент попадания значений нагрузки в
i-й интервал нагрузок на ось (группу сближенных осей)
j-й оси (группы сближенных осей) ТС
k-й категории, по данным с АПВГК, приведенным по форме
таблиц В.1 -
В.4 приложения В;
mjk - процент осей
j-й оси (групп сближенных осей) ТС
k-й подкатегории с определенным типом скатности, по данным с АПВГК, представленных по форме
таблицы В.5;
sijk - коэффициент приведения к расчетной нагрузке
i-го интервала нагрузок на ось (группу сближенных осей)
j-й оси (группы сближенных осей) ТС
k-й подкатегории. Коэффициент вычисляют по
формулам (4) и
(5) исходя из данных, полученных по
таблицам В.1 -
В.6;
m - число осей (групп осей) данного типа;
n - число интервалов нагрузок на ось (группу сближенных осей).
Для данного ТС k-й подкатегории суммарный коэффициент приведения, характеризующий разрушающее воздействие проезда рассматриваемого типа ТС по сравнению с однократным приложением расчетной нагрузки, определяют суммированием коэффициентов приведения всех его осей с двухскатными и односкатными колесами с учетом процентов частоты их обнаружения по формуле

, (17)
где mдв - число осей с двухскатными колесами;
mод - число осей с односкатными колесами;
qркп - показатель роста коэффициентов приведения в процессе эксплуатации за счет увеличения грузоподъемности ТС, принимаемый в соответствии с
таблицей 3.
Коэффициент приведения к расчетной нагрузке на ось для легковых автомобилей следует принимать в соответствии с
таблицами А.1 и
А.2 по типу "Легковые автомобили, небольшие грузовики (фургоны) и другие автомобили с прицепом и без него".
Коэффициент приведения к расчетной нагрузке на ось для неопределенных и неклассифицируемых транспортных средств, а также транспортных средств с незафиксированными осевыми нагрузками следует принимать как среднее значение по рассчитанным для данного потока значениям коэффициентов приведения.
8.4 В силу закономерностей, наметившихся в логистической отрасли, удельная грузоподъемность ТС будет продолжать расти. Значение коэффициента приведения напрямую зависит от этого фактора, помимо этого являясь функцией и от интенсивности движения. Поэтому следует применять эквивалентный совокупному влиянию описанных параметров коэффициент qркп в зависимости от показателя ежегодного прироста интенсивности движения.
Таблица 3
Показатели роста коэффициентов приведения в процессе
эксплуатации за счет увеличения грузоподъемности ТС
Показатель ежегодного прироста интенсивности движения, принятый при проектировании | Показатель роста коэффициентов приведения qркп, при сроке службы дорожной одежды, лет |
3 | 5 | 10 | 12 | 24 |
1,01 | 1,058 | 1,090 | 1,175 | 1,212 | 1,471 |
1,02 | 1,059 | 1,091 | 1,178 | 1,216 | 1,491 |
1,03 | 1,059 | 1,091 | 1,180 | 1,220 | 1,510 |
1,04 | 1,060 | 1,092 | 1,183 | 1,224 | 1,528 |
1,05 | 1,060 | 1,092 | 1,186 | 1,227 | 1,546 |
1,06 | 1,060 | 1,093 | 1,188 | 1,231 | 1,564 |
1,07 | 1,060 | 1,094 | 1,191 | 1,235 | 1,581 |
1,08 | 1,060 | 1,094 | 1,193 | 1,239 | 1,597 |
1,09 | 1,060 | 1,095 | 1,196 | 1,242 | 1,613 |
1,10 | 1,060 | 1,095 | 1,198 | 1,246 | 1,628 |
1,30 | 1,064 | 1,105 | 1,238 | 1,302 | 1,806 |
Для показателей ежегодного прироста интенсивности в диапазоне между 10% и 30% показатель роста коэффициентов приведения допускается вычислять с помощью интерполяции.
Для промежуточных значений срока службы показатель роста коэффициентов приведения допускается вычислять с помощью интерполяции.
(справочное)
ОСРЕДНЕННЫЕ КОЭФФИЦИЕНТЫ ПРИВЕДЕНИЯ ДЛЯ ТРАНСПОРТНОГО ПОТОКА
А.1 Для транспортного потока, распределенного согласно классификации
ГОСТ 32965, значения осевых нагрузок и схемы расположения осей приняты с учетом требований по разрешенной максимальной массе ТС и допустимым нагрузкам на ось в зависимости от нормативной (расчетной) нагрузки на ось и количества сближенных осей в группе
[1] и допустимого превышения 10% над допустимыми нагрузками на оси и допустимой массой транспортных средств в соответствии с
[2].
При необходимости допускается рассчитывать коэффициенты приведения для иных видов ТС согласно методике, представленной в
разделе 7 настоящего стандарта.
Рекомендуемый состав ТС в соответствии с
ГОСТ 32965 с осевыми нагрузками и коэффициентами приведения к осевой нагрузке 11,5 т приведен в
таблице А.1.
Рекомендуемый состав ТС в соответствии с
ГОСТ 32965 с осевыми нагрузками и коэффициентами приведения к осевой нагрузке 10 т приведен в
таблице А.2.
Таблица А.1
Рекомендуемый состав ТС в соответствии с ГОСТ 32965
с осевыми нагрузками и коэффициентами приведения
к осевой нагрузке 11,5 т
| Схема ТС | Тип ТС | Суммарный коэффициент приведения к осевой нагрузке 11,5 т | Расстояние между осями группы сближенных осей | Номинальные (числитель) и эквивалентные (знаменатель) статические нагрузки на ось ТС, кН <*> |
Q1 | Q2 | Q3 | Q4 | Q5 | Q6 | Q7 |
B | | Легковые автомобили, небольшие грузовики (фургоны) и другие автомобили с прицепом и без него | 0,0015 | - | 13,00 -------- 13,00 | 22,00 ------- 22,00 | - | - | - | - | - |
C1 | | Двухосные грузовые автомобили | 1,81 | - | 70,00 -------- 72,97 | -------------- 130,25 | - | - | - | - | - |
C2 | | Трехосные грузовые автомобили | 2,84 | 1,44 | 70,00 ------- 72,97 | ------------- 112,43 | ------------- 132,53 | - | - | - | - |
C3 | | Четырехосные грузовые автомобили | 3,51 | 1,98 -------- 1,47 | 70,00 ------- 74,06 | 90,00 -------- 103,66 | ------------- 112,48 | ------------- 132,41 | - | - | - |
C4 | | Четырехосные автопоезда (двухосный грузовой автомобиль с прицепом) | 2,65 | - | 70,00 ------- 72,97 | -------------- 126,19 | 90,00 -------- 96,29 | ------------- 98,76 | - | - | - |
C5 | | Пятиосные автопоезда (трехосный грузовой автомобиль с прицепом) | 3,28 | 1,44 | 70,00 ------- 72,97 | ------------- 105,66 | ------------- 124,32 | 90,00 --------- 96,29 | ------------- 98,76 | - | - |
C6 | | Трехосные седельные автопоезда (двухосный седельный тягач с полуприцепом) | 2,90 | - | 70,00 ------- 72,97 | -------------- 130,25 | -------------- 117,52 | - | - | - | - |
C7 | | Четырехосные седельные автопоезда (двухосный седельный тягач с полуприцепом) | 3,67 | 1,45 | 70,00 --------- 72,97 | -------------- 130,25 | 90,00 --------- 102,83 | 90,00 --------- 120,83 | - | - | - |
C8 | | Пятиосные седельные автопоезда (двухосный седельный тягач с полуприцепом) | 3,76 | 1,39 | 70,00 -------- 72,97 | -------------- 130,25 | 80,00 --------- 89,91 | 80,00 ---------- 111,02 | 80,00 --------- 105,60 | - | - |
C9 | | Пятиосные седельные автопоезда (трехосный седельный тягач с полуприцепом) | 4,13 | 1,52 ------- 1,47 | 70,00 -------- 72,97 | -------------- 104,28 | 122,06 | -------------- 105,12 | -------------- 123,47 | - | - |
C10 | | Шестиосные седельные автопоезда | 2,99 | 1,52 ------ 1,48 | 70,00 -------- 72,97 | -------------- 90,21 | ------------- 104,77 | 80,00 --------- 88,58 | 80,00 --------- 107,36 | 80,00 --------- 103,27 | - |
C11 | | Автомобили с семью и более осями и другие | 2,19 | 1,50 ------- 1,59 | 70,00 -------- 72,97 | -------------- 97,45 | ------------- 113,86 | ------------- 63,75 | -------------- 72,08 | -------------- 72,08 | -------------- 71,21 |
D | | Автобусы | 1,81 | - | 70,00 ------- 72,97 | -------------- 130,25 | - | - | - | - | - |
<*> Без учета коэффициента динамичности. <**> Оси ТС с двухскатными колесами: C1 - 2; C2 - 2, 3; C3 - 3, 4; C4 - 2, 4; C5 - 2, 3, 5; C6 - 2, 3; C7 - 2; C8 - 2; C9 - 2, 3, 4, 5; C10 - 2, 3; C11 - 2, 3, 4, 5, 6, 7; автобус - 2. Остальные оси ТС - с односкатными колесами. |
Таблица А.2
Рекомендуемый состав ТС в соответствии с ГОСТ 32965
с осевыми нагрузками и коэффициентами приведения
к осевой нагрузке 10 т
| Схема ТС | Тип ТС | Суммарный коэффициент приведения к осевой нагрузке 10 т | Расстояние между осями группы сближенных осей | Номинальные (числитель) и эквивалентные (знаменатель) статические нагрузки на ось ТС, кН <*> |
Q1 | Q2 | Q3 | Q4 | Q5 | Q6 | Q7 |
B | | Легковые автомобили, небольшие грузовики (фургоны) и другие автомобили с прицепом и без него | 0,013 | - | 13,00 -------- 13,00 | 22,00 -------- 22,00 | - | - | - | - | - |
C1 | | Двухосные грузовые автомобили | 2,29 | - | 66,00 -------- 70,43 | -------------- 124,70 | - | - | - | - | - |
C2 | | Трехосные грузовые автомобили | 2,87 | 1,44 | 66,00 -------- 70,43 | -------------- 98,32 | -------------- 116,20 | - | - | - | - |
C3 | | Четырехосные грузовые автомобили | 3,64 | 1,98 ------- 1,47 | 66,00 -------- 71,97 | 81,00 ------- 96,96 | -------------- 96,17 | -------------- 113,56 | - | - | - |
C4 | | Четырехосные автопоезда (двухосный грузовой автомобиль с прицепом) | 4,00 | - | 66,00 -------- 70,43 | -------------- 123,41 | 86,00 -------- 94,75 | ------------- 97,37 | - | - | - |
C5 | | Пятиосные автопоезда (трехосный грузовой автомобиль с прицепом) | 4,75 | 1,44 | 66,00 -------- 70,43 | -------------- 101,38 | -------------- 119,84 | 84,00 --------- 92,27 | -------------- 94,81 | - | - |
C6 | | Трехосные седельные автопоезда (двухосный седельный тягач с полуприцепом) | 3,91 | - | 66,00 -------- 70,43 | -------------- 121,20 | -------------- 121,20 | - | - | - | - |
C7 | | Четырехосные седельные автопоезда (двухосный седельный тягач с полуприцепом) | 4,13 | 1,45 | 66,00 -------- 70,43 | -------------- 127,34 | 74,00 -------- 86,58 | 74,00 --------- 102,16 | - | - | - |
C8 | | Пятиосные седельные автопоезда (двухосный седельный тягач с полуприцепом) | 4,85 | 1,39 | 66,00 --------- 70,43 | -------------- 122,06 | 71,00 -------- 83,16 | 71,00 --------- 104,98 | 71,00 --------- 98,22 | - | - |
C9 | | Пятиосные седельные автопоезда (трехосный седельный тягач с полуприцепом) | 5,23 | 1,52 -------- 1,47 | 66,00 -------- 70,43 | -------------- 99,93 | -------------- 117,93 | ------------- 94,66 | -------------- 111,76 | - | - |
C10 | | Шестиосные седельные автопоезда | 4,65 | 1,52 -------- 1,48 | 66,00 -------- 70,43 | -------------- 90,71 | -------------- 106,77 | 70,00 -------- 80,27 | 70,00 -------- 99,44 | 70,00 -------- 94,38 | - |
C11 | | Автомобили с семью и более осями и другие | 4,18 | 1,50 -------- 1,59 | 66,00 -------- 70,43 | -------------- 100,21 | -------------- 118,31 | -------------- 59,14 | -------------- 68,92 | -------------- 68,92 | -------------- 67,47 |
D | | Автобусы | 2,29 | - | 66,00 -------- 70,43 | -------------- 124,70 | - | - | - | - | - |
<*> Без учета коэффициента динамичности. <**> Оси ТС с двухскатными колесами: C1 - 2; C2 - 2, 3; C3 - 3, 4; C4 - 2, 4; C5 - 2, 3, 5; C6 - 2, 3; C7 - 2; C8 - 2; C9 - 2, 3, 4, 5; C10 - 2, 3; C11 - 2, 3, 4, 5, 6, 7; автобус - 2. Остальные оси ТС - с односкатными колесами. |
(справочное)
ПРИМЕРЫ РАСЧЕТА КОЭФФИЦИЕНТОВ ПРИВЕДЕНИЯ
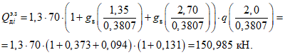
Б.1 Пример 1
Б.1.1 Исходные данные
Расчет коэффициента приведения для ТС, тип C10, согласно
ГОСТ 32965 на расчетную осевую нагрузку 11,5 т с учетом
[1] и
[2].
Схема ТС - шестиосный седельный автопоезд (трехосный седельный тягач с полуприцепом) - приведена на рисунке Б.1.
Рисунок Б.1 - Схема шестиосного седельного автопоезда
(трехосный седельный тягач с полуприцепом)
Автопоезд состоит из трехосного седельного тягача с нагрузкой на переднюю одиночную ось - 70 кН (на колесо Q = 35,0 кН), на две сближенные оси - 160 кН (на колесо Q = 40,0 кН) и трехосного полуприцепа с общей нагрузкой 240 кН (на колесо Q = 40,0 кН).
Расстояния между сближенными осями седельного тягача 1,52 м, трехосной группы сближенных осей полуприцепа по 1,48 м. Односкатные оси: 1, 4, 5, 6; двухскатные оси: 2, 3.
Б.1.2 Расчет
Б.1.2.1 Диаметр круга, равновеликого отпечатку движущегося колеса
j оси со статической нагрузкой на колесо
Qj, вычисляют по
формуле (8).
Для колеса 1-й оси диаметр круга вычисляют по формуле

. (Б.1)
Для колеса 2-й, 3-й, 4-й, 5-й и 6-й осей диаметр круга вычисляют по формуле

. (Б.2)
Б.1.2.2 Коэффициенты учета влияния сближенных колес в продольном направлении вычисляют по
формуле (9).
Для сближенных осей тягача:
- коэффициент учета влияния позади идущего колеса на идущее впереди вычисляют по формуле

(Б.3)
- коэффициент учета влияния впереди идущего колеса на идущее сзади вычисляют по формуле

(Б.4)
Для трехосной группы сближенных осей полуприцепа:
- коэффициент учета влияния позади идущего колеса на идущее впереди вычисляют по формуле

(Б.5)
- коэффициент учета впереди идущего колеса на идущее сзади вычисляют по формуле

(Б.6)
Б.1.2.3 Коэффициенты учета влияния сближенных колес в поперечном направлении вычисляют по
формуле (13).
Для односкатного колеса 1-й оси тягача коэффициент вычисляют по формуле

. (Б.7)
Для двухскатного колеса группы сближенных осей тягача коэффициент вычисляют по формуле

. (Б.8)
Для односкатного колеса трехосного полуприцепа коэффициент вычисляют по формуле

. (Б.9)
Б.1.2.4 Эквивалентную нагрузку на колесо с учетом коэффициента динамичности и влияния близко расположенных колес одной оси и соседних осей (при расстоянии до 2,5 м включительно) вычисляют по
формуле (12) с учетом
формул (11) и
(15).
На колесо одиночной 1-й оси тягача эквивалентную нагрузку вычисляют по формуле
Qд1 = 1,3·35·(1 + 0,0424) = 47,43 кН. (Б.10)
На колесо 1-й сближенной оси тягача эквивалентную нагрузку вычисляют по формуле
Qд2 = 1,3·40·(1 + 0,0426)·(1 + 0,0815) = 58,64 кН. (Б.11)
На колесо 2-й сближенной оси тягача эквивалентную нагрузку вычисляют по формуле
Qд3 = 1,3·40·(1 + 0,2108)·(1 + 0,0815) = 68,10 кН. (Б.12)
На колесо 1-й оси группы сближенных осей полуприцепа эквивалентную нагрузку вычисляют по формуле
Qд4 = 1,3·40·(1 + 0,0484)·(1 + 0,0561) = 57,58 кН. (Б.13)
На колесо 2-й оси группы сближенных осей полуприцепа эквивалентную нагрузку вычисляют по формуле
Qд5 = 1,3·40·(0,2222 + 1 + 0,0484)·(1 + 0,0561) =
= 69,78 кН. (Б.14)
На колесо 3-й оси группы сближенных осей полуприцепа эквивалентную нагрузку вычисляют по формуле
Qд6 = 1,3·40·(1 + 0,2222)·(1 + 0,0561) = 67,12. (Б.15)
Б.1.2.5 Суммарный коэффициент приведения к расчетной нагрузке АК-11,5 вычисляют по
формуле (6). Суммарный коэффициент приведения вычисляют по формуле

(Б.16)
Б.2 Пример 2
Б.2.1 Исходные данные
Необходимо определить наибольшую эквивалентную колесную нагрузку для многоосного многоколесного прицепа, схема которого показана на
рисунке Б.2.
Прицеп имеет восемь осей, отстоящих друг от друга на L = 1,5 м. На каждой оси имеется восемь колес, по четыре односкатных колеса с расстоянием 0,262 м между центрами отпечатков.
Давление от расчетной осевой нагрузки на покрытие p = 700 кПа. Осевая нагрузка G = 144 кН (на колесо 144/8 = 18 кН).
Б.2.2 Расчет
Б.2.2.1 Диаметр круга, равновеликого отпечатку движущегося колеса
j оси со статической нагрузкой на колесо
Qj, вычисляют по
формуле (8).
Диаметр круга вычисляют по формуле

. (Б.17)
Б.2.2.2 Коэффициенты учета влияния близко расположенных колес в продольном направлении вычисляют по
формуле (9).
Коэффициент учета влияния позади идущего колеса на идущее впереди вычисляют по формуле

(Б.18)
Коэффициент учета влияния впереди идущего колеса на идущее сзади вычисляют по формуле

(Б.19)
Рисунок Б.2 - Схема многоколесного прицепа
Б.2.2.3 Коэффициенты учета влияния близко расположенных односкатных колес в поперечном направлении вычисляют по
формуле (13).
Для 1-го колеса, расположенного на расстоянии 0,262 м, коэффициент вычисляют по формуле

. (Б.20)
Для 2-го колеса, расположенного на расстоянии 0,524 м, коэффициент вычисляют по формуле

. (Б.21)
Б.2.2.4 Наиболее загруженное колесо прицепа на
рисунке Б.2 выделено темным цветом.
На эквивалентную нагрузку под этим колесом влияют 11 колес: три колеса данной оси, четыре колеса впереди идущей оси и четыре колеса сзади идущей оси.
Наибольшую эквивалентную колесную нагрузку вычисляют по формуле

(Б.22)
(справочное)
РЕКОМЕНДУЕМЫЕ ФОРМЫ ПРЕДОСТАВЛЕНИЯ ДАННЫХ
О НАГРУЗКАХ НА АВТОМАТИЧЕСКИХ ПУНКТАХ ВЕСОВОГО
И ГАБАРИТНОГО КОНТРОЛЯ ТРАНСПОРТНЫХ СРЕДСТВ
| | ИС МЕГАНОРМ: примечание. В официальном тексте документа, видимо, допущена опечатка: табл. В.7 отсутствует. | |
Рекомендуемые формы предоставления данных о нагрузках на АПВГК приведены в
таблицах В.1 - В.7.
Примечание - Категории и подкатегории ТС - согласно
приложению Г.
Таблица В.1
Форма для данных о нагрузках на одиночные оси ТС с АПВГК
Нагрузка на одиночную ось, кг, не более | Количество ТС, %, с соответствующими нагрузками на одиночную ось по категориям и подкатегориям ТС |
C1, D | C2, D | C3 | C4 | C5 | C6 | C7 | C8 | C9 | C10 | C11 |
500 | | | | | | | | | | | |
1000 | | | | | | | | | | | |
1500 | | | | | | | | | | | |
... | | | | | | | | | | | |
19 000 | | | | | | | | | | | |
19 500 | | | | | | | | | | | |
max | | | | | | | | | | | |
Таблица В.2
Форма для данных о нагрузках на группу сближенных осей
из сдвоенных осей ТС с АПВГК
Нагрузка на группу сближенных осей, кг, не более | Количество ТС, %, с соответствующими нагрузками на группу сближенных осей из сдвоенных осей по категориям и подкатегориям ТС |
C1, D | C2, D | C3 | C4 | C5 | C6 | C7 | C8 | C9 | C10 | C11 |
500 | | | | | | | | | | | |
1000 | | | | | | | | | | | |
1500 | | | | | | | | | | | |
... | | | | | | | | | | | |
19 000 | | | | | | | | | | | |
19 500 | | | | | | | | | | | |
max | | | | | | | | | | | |
Таблица В.3
Форма для данных о нагрузках на группу сближенных осей
из строенных осей ТС с АПВГК
Нагрузка на группу сближенных осей, кг, не более | Количество ТС, %, с соответствующими нагрузками на группу сближенных осей из строенных осей по категориям и подкатегориям ТС |
C1, D | C2, D | C3 | C4 | C5 | C6 | C7 | C8 | C9 | C10 | C11 |
500 | | | | | | | | | | | |
1000 | | | | | | | | | | | |
1500 | | | | | | | | | | | |
... | | | | | | | | | | | |
19 000 | | | | | | | | | | | |
19 500 | | | | | | | | | | | |
max | | | | | | | | | | | |
Таблица В.4
Форма для данных о нагрузках на группу сближенных осей
с четырьмя и более осями ТС с АПВГК
Нагрузка на группу сближенных осей, кг, не более | Количество ТС, %, с соответствующими нагрузками на группу сближенных осей с четырьмя и более осями по категориям и подкатегориям ТС |
C1, D | C2, D | C3 | C4 | C5 | C6 | C7 | C8 | C9 | C10 | C11 |
500 | | | | | | | | | | | |
1000 | | | | | | | | | | | |
1500 | | | | | | | | | | | |
... | | | | | | | | | | | |
19 000 | | | | | | | | | | | |
19 500 | | | | | | | | | | | |
max | | | | | | | | | | | |
Таблица В.5
Форма для данных о скатности колеса
в зависимости от типа оси ТС с АПВГК
Тип группы осей | Скатность колеса | Количество осей, %, с определенным типом скатности колеса в зависимости от осевой группы по категориям и подкатегориям ТС |
C1, D | C2, D | C3 | C4 | C5 | C6 | C7 | C8 | C9 | C10 | C11 |
Одиночные | Односкатные | | | | | | | | | | | |
Двухскатные | | | | | | | | | | | |
Сдвоенные | Односкатные | | | | | | | | | | | |
Двухскатные | | | | | | | | | | | |
Строенные | Односкатные | | | | | | | | | | | |
Двухскатные | | | | | | | | | | | |
Четыре и более сближенных осей | Односкатные | | | | | | | | | | | |
Двухскатные | | | | | | | | | | | |
Таблица В.6
Форма для данных о межосевых расстояниях ТС с АПВГК
Тип группы осей | Среднее межосевое расстояние, м, при определенных типах осевых групп в зависимости от осевой группы по категориям и подкатегориям ТС |
C1, D | C2, D | C3 | C4 | C5 | C6 | C7 | C8 | C9 | C10 | C11 |
Сдвоенные | | | | | | | | | | | |
Строенные | | | | | | | | | | | |
Четыре и более сближенных осей | | | | | | | | | | | |
(справочное)
КРИТЕРИИ ОТНЕСЕНИЯ ТРАНСПОРТНЫХ СРЕДСТВ К КАТЕГОРИЯМ ТС
ПО ГОСТ 32965 ДЛЯ УЧЕТА НА АВТОМАТИЧЕСКИХ ПУНКТАХ ВЕСОВОГО
И ГАБАРИТНОГО КОНТРОЛЯ ТРАНСПОРТНЫХ СРЕДСТВ
Таблица Г.1
Критерии отнесения ТС для учета на АПВГК
| Схема ТС | Тип ТС | Критерии отнесения к типу ТС |
B | | Легковые автомобили, небольшие грузовики (фургоны) и другие автомобили с прицепом и без него | m <= 3,5 т |
C1, D | | Двухосные грузовые автомобили | m > 3,5 т, n = 2 |
C2, D | | Трехосные грузовые автомобили | m > 3,5 т, n = 3, l12 > 2,5 м, l23 <= 2,5 м |
C3 | | Четырехосные грузовые автомобили | m > 3,5 т, n = 4, l12 <= 2,5 м, l23 > 2,5 м, l34 <= 2,5 м |
C4 | | Четырехосные автопоезда (двухосный грузовой автомобиль с прицепом) | m > 3,5 т, n = 4, l12 > 2,5 м, l23 > 2,5 м, l34 > 2,5 м |
C5 | | Пятиосные автопоезда (трехосный грузовой автомобиль с прицепом) | m > 3,5 т, n = 5, l12 > 2,5 м, l23 <= 2,5 м, l34 > 2,5 м, l45 > 2,5 м |
C6 | | Трехосные седельные автопоезда (двухосный седельный тягач с полуприцепом) | m > 3,5 т, n = 3, l12 > 2,5 м, l23 > 2,5 м |
C7 | | Четырехосные седельные автопоезда (двухосный седельный тягач с полуприцепом) | m > 3,5 т, n = 4, l12 > 2,5 м, l23 > 2,5 м, l34 <= 2,5 м |
C8 | | Пятиосные седельные автопоезда (двухосный седельный тягач с полуприцепом) | m > 3,5 т, n = 5, l12 > 2,5 м, l23 > 2,5 м, l34 <= 2,5 м, l45 <= 2,5 м |
C9 | | Пятиосные седельные автопоезда (трехосный седельный тягач с полуприцепом) | m > 3,5 т, n = 5, l12 > 2,5 м, l23 <= 2,5 м, l34 > 2,5 м, l45 <= 2,5 м |
C10 | | Шестиосные седельные автопоезда | m > 3,5 т, n = 6, l12 > 2,5 м, l23 <= 2,5 м, l34 > 2,5 м, l45 <= 2,5 м, l56 <= 2,5 м |
C11 | | Автомобили с семью и более осями и другие | m > 3,5 т, n = 7, l12 > 2,5 м, l23 <= 2,5 м, l34 > 2,5 м, l45 <= 2,5 м, l56 <= 2,5 м, l67 <= 2,5 м |
- | - | Неопределенные и неклассифицируемые транспортные средства, а также транспортные средства с незафиксированными осевыми нагрузками | - |
Примечание - В настоящей таблице применены следующие обозначения: n - количество осей ТС; l - межосевое расстояние ТС, м; m - полная масса ТС, т. |
(справочное)
ПРИМЕР РАСЧЕТА КОЭФФИЦИЕНТОВ ПРИВЕДЕНИЯ
ПО ДАННЫМ АВТОМАТИЧЕСКИХ ПУНКТОВ ВЕСОВОГО
И ГАБАРИТНОГО КОНТРОЛЯ ТРАНСПОРТНЫХ СРЕДСТВ
Д.1 Суммарный коэффициент приведения к расчетной нагрузке 11,5 т на ось для дорожной одежды капитального типа определяют для ТС категории C8 (двухосный тягач + трехосный полуприцеп) (см. рисунок Д.1).
Рисунок Д.1 - Схема транспортного средства категории C8
Д.2 В
таблице Д.1 приведены данные для ТС категории C8 по количеству проездов одиночных и строенных осей.
При обработке данных с АПВГК осевые нагрузки необходимо делить на коэффициент 0,89. Затем определяют частоту попадания значений осевых нагрузок в интервалы по 500 кг. Полученные данные заносят в формы, представленные в
таблицах В.1 -
В.4 приложения В.
Таблица Д.1
Данные с АПВГК по количеству проездов одиночных
и строенных осей, %, с соответствующими нагрузками
на оси для ТС категории C8
Средняя осевая нагрузка, кг | Количество ТС, %, с соответствующими нагрузками на одиночные оси | Количество ТС, %, с соответствующими нагрузками на строенные оси |
500 | 0,0007 | 0,0007 |
1000 | 0,0131 | 0,0011 |
1500 | 0,0154 | 0,0044 |
2000 | 0,0217 | 0,0099 |
2500 | 0,0707 | 0,0246 |
3000 | 0,2333 | 0,0570 |
3500 | 0,9412 | 0,1240 |
4000 | 2,2389 | 0,2293 |
4500 | 3,7868 | 0,4894 |
5000 | 4,5396 | 0,8295 |
5500 | 5,3549 | 1,7619 |
6000 | 7,9081 | 3,2701 |
6500 | 11,3776 | 4,6072 |
7000 | 13,1786 | 5,0923 |
7500 | 11,8513 | 4,4461 |
8000 | 7,8438 | 3,4175 |
8500 | 5,2457 | 2,6733 |
9000 | 4,8762 | 2,0890 |
9500 | 4,8421 | 1,9347 |
10 000 | 4,5951 | 1,7922 |
10 500 | 3,7725 | 1,6500 |
11 000 | 2,6223 | 1,6021 |
11 500 | 1,6554 | 1,3541 |
12 000 | 0,9850 | 1,2956 |
12 500 | 0,5745 | 1,2706 |
13 000 | 0,3339 | 1,3063 |
13 500 | 0,2091 | 1,2261 |
14 000 | 0,1639 | 1,2213 |
14 500 | 0,1228 | 1,2176 |
15 000 | 0,1078 | 1,2423 |
15 500 | 0,0965 | 1,4037 |
16 000 | 0,0848 | 1,5428 |
16 500 | 0,0720 | 1,6976 |
17 000 | 0,0703 | 1,8270 |
17 500 | 0,0583 | 2,0713 |
18 000 | 0,0542 | 2,3855 |
18 500 | 0,0417 | 2,7541 |
19 000 | 0,0217 | 3,0380 |
19 500 | 0,0140 | 3,5831 |
20 000 | 0,0042 | 3,8165 |
20 500 | - | 4,0978 |
21 000 | - | 3,9347 |
21 500 | - | 3,7856 |
22 000 | - | 3,4008 |
22 500 | - | 2,8831 |
23 000 | - | 2,3466 |
23 500 | - | 1,9042 |
24 000 | - | 1,4491 |
24 500 | - | 1,0924 |
25 000 | - | 0,8540 |
25 500 | - | 0,6751 |
26 000 | - | 0,5256 |
26 500 | - | 0,3920 |
27 000 | - | 0,2906 |
27 500 | - | 0,2323 |
28 000 | - | 0,1808 |
28 500 | - | 0,1223 |
29 000 | - | 0,1084 |
29 500 | - | 0,0852 |
30 000 | - | 0,0737 |
30 500 | - | 0,0771 |
31 000 | - | 0,0760 |
31 500 | - | 0,0791 |
32 000 | - | 0,0824 |
32 500 | - | 0,0786 |
33 000 | - | 0,0786 |
33 500 | - | 0,1006 |
34 000 | - | 0,0813 |
34 500 | - | 0,0846 |
35 000 | - | 0,0782 |
35 500 | - | 0,0835 |
36 000 | - | 0,0792 |
36 500 | - | 0,0447 |
37 000 | - | 0,0454 |
37 500 | - | 0,0266 |
38 000 | - | 0,0312 |
38 500 | - | 0,0177 |
39 000 | - | 0,0108 |
39 500 | - | 0,0127 |
40 000 | - | 0,0101 |
40 500 | - | 0,0078 |
41 000 | - | 0,0102 |
41 500 | - | 0,0044 |
42 000 | - | 0,0052 |
Д.3 В таблице Д.2 приведены данные о скатности для ТС категории C8. Среднее расстояние между осями группы трех сближенных осей составляет 1,35 м.
Таблица Д.2
Данные с АПВГК по скатности для ТС C8 подкатегории
Тип группы осей | Скатность колеса | Количество осей, %, с определенным типом скатности ТС категории C8 |
Одиночные | Односкатные | 50,93 |
Двухскатные | 49,07 |
Строенные | Односкатные | 98,07 |
Двухскатные | 1,93 |
Д.4 Расчет коэффициента приведения одиночной оси проводят для каждого расчетного значения i-го интервала нагрузок на ось, для которого процент попадания в диапазон осей отличен от нуля, отдельно для односкатных и двухскатных колес.
Расчет выполняют в следующей последовательности:
1) для каждого
i-го интервала нагрузок на ось
j-й оси (группы сближенных осей) определяют диаметр круга, равновеликого отпечатку колеса, для статической нагрузки по
формуле (7).
Первый интервал начинают с 500 кг. Нагрузку на колесо Q вычисляют по формуле

. (Д.1)
Для первого интервала нагрузки диаметр вычисляют по
формуле (8)

; (Д.2)
2) вычисляют коэффициент влияния колес в поперечном направлении по
формуле (13) - для первого интервала с нагрузкой 500 кг для односкатных колес при расстоянии между осями колес 2 м по формуле

; (Д.3)
3) эквивалентную динамическую нагрузку для первого интервала нагрузок на одиночную ось с односкатными колесами вычисляют по формуле

; (Д.4)
4) для данного диапазона нагрузок при расстоянии между колесами 1,8 м - для двухскатных колес вычисляют по формуле

. (Д.5)
Эквивалентную нагрузку вычисляют по формуле

. (Д.6)
Крайний интервал для данной оси заключен нагрузкой, равной 20 000 кг. Нагрузку на колесо вычисляют по формуле

. (Д.7)
Для крайнего интервала диаметр вычисляют по формуле

. (Д.8)
Для крайнего интервала с нагрузкой 20 000 кг для односкатных колес при расстоянии между осями колес 2 м коэффициент влияния колес в поперечном направлении вычисляют по формуле

. (Д.9)
Эквивалентную динамическую нагрузку для крайнего интервала нагрузок на одиночную ось с односкатными колесами вычисляют по формуле

. (Д.10)
Коэффициент влияния колес в поперечном направлении вычисляют по формуле

. (Д.11)
Эквивалентную динамическую нагрузку для крайнего интервала нагрузок для двухскатного колеса вычисляют по формуле

. (Д.12)
Для односкатного колеса коэффициент приведения вычисляют по формуле

(Д.13)
Для двухскатного колеса коэффициент приведения вычисляют по формуле

(Д.14)
Д.5 Результаты расчета коэффициентов приведения для всех диапазонов нагрузки приведены в таблице Д.3.
Таблица Д.3
Коэффициенты приведения для одиночной оси ТС
Средняя осевая нагрузка, кг | Коэффициент приведения для одиночной оси ТС с учетом доли односкатных колес | Коэффициент приведения для одиночной оси ТС с учетом доли двухскатных колес |
500 | 1,3400·10-11 | 1,2900·10-11 |
1000 | 3,8200·10-9 | 3,6800·10-9 |
1500 | 2,2700·10-8 | 2,1900·10-8 |
2000 | 1,0100·10-7 | 9,7600·10-8 |
2500 | 8,0700·10-7 | 7,8300·10-7 |
3000 | 5,5500·10-6 | 5,4200·10-6 |
3500 | 4,1900·10-5 | 4,1300·10-5 |
4000 | 1,7200·10-4 | 1,7200·10-4 |
4500 | 4,7500·10-4 | 4,7800·10-4 |
5000 | 8,8500·10-4 | 9,0100·10-4 |
5500 | 1,5630·10-3 | 1,6060·10-3 |
6000 | 3,3490·10-3 | 3,4690·10-3 |
6500 | 6,8060·10-3 | 7,1000·10-3 |
7000 | 1,0881·10-2 | 1,1421·10-2 |
7500 | 1,3237·10-2 | 1,3966·10-2 |
8000 | 1,1643·10-2 | 1,2336·10-2 |
8500 | 1,0184·10-2 | 1,0829·10-2 |
9000 | 1,2207·10-2 | 1,3018·10-2 |
9500 | 1,5430·10-2 | 1,6494·10-2 |
10 000 | 1,8423·10-2 | 1,9730·10-2 |
10 500 | 1,8828·10-2 | 2,0193·10-2 |
11 000 | 1,6133·10-2 | 1,7322·10-2 |
11 500 | 1,2442·10-2 | 1,3372·10-2 |
12 000 | 8,9700·10-3 | 9,6470·10-3 |
12 500 | 6,2910·10-3 | 6,7690·10-3 |
13 000 | 4,3650·10-3 | 4,6990·10-3 |
13 500 | 3,2430·10-3 | 3,4920·10-3 |
14 000 | 2,9950·10-3 | 3,2260·10-3 |
14 500 | 2,6310·10-3 | 2,8340·10-3 |
15 000 | 2,6930·10-3 | 2,9010·10-3 |
15 500 | 2,7970·10-3 | 3,0140·10-3 |
16 000 | 2,8360·10-3 | 3,0570·10-3 |
16 500 | 2,7710·10-3 | 2,9880·10-3 |
17 000 | 3,0980·10-3 | 3,3400·10-3 |
17 500 | 2,9280·10-3 | 3,1580·10-3 |
18 000 | 3,0920·10-3 | 3,3360·10-3 |
18 500 | 2,6950·10-3 | 2,9080·10-3 |
19 000 | 1,5830·10-3 | 1,7090·10-3 |
19 500 | 1,1490·10-3 | 1,2410·10-3 |
20 000 | 3,8700·10-4 | 4,1900·10-4 |
Итого для одной одиночной оси | 0,2072 | 0,2212 |
Итого для двух одиночных осей | 0,4144 | 0,4424 |
Д.6 Суммарный коэффициент приведения двух одиночных осей ТС вычисляют по формуле

. (Д.15)
Эквивалентную динамическую колесную нагрузку, рассчитываемую для каждой оси в группе сближенных осей по каждому интервалу нагрузок с учетом взаимного влияния колес как в продольном, так и в поперечном направлениях, вычисляют по
формуле (5).
Эквивалентную колесную нагрузку для группы сближенных осей с односкатными колесами по первому интервалу нагрузок с граничным значением нагрузки на группу сближенных осей в 500 кг (колесной нагрузки Q12 = 0,83 кН, Dд12 = 0,0415 м) для колеса передней оси вычисляют по формуле

(Д.16)
Для колеса средней и задней осей групп из-за невеликого диаметра круга значения эквивалентной нагрузки принимают практически аналогичные значения.
Затем вычисляют коэффициенты приведения для колес каждой оси группы, после чего их суммируют, образуя коэффициент приведения для нагрузки на группу сближенных осей для данного интервала нагрузок, вычисляемый по формулам (Д.17) и
(Д.18):

; (Д.17)
s12 = 4,34·10
-8·3 = 1,3·10
-7. (Д.18)
Аналогичный алгоритм выполняют для каждого диапазона.
Например, для последнего интервала нагрузок нагрузку на колесо вычисляют по формуле
Q12 = 70 кН. (Д.19)
Диаметр вычисляют по формуле
Dд12 = 0,3807 м. (Д.20)
Для колеса передней оси группы эквивалентную динамическую нагрузку вычисляют по формуле

(Д.21)
Для колеса средней оси группы эквивалентную динамическую нагрузку вычисляют по формуле

(Д.22)
Для колеса задней оси группы эквивалентную динамическую нагрузку вычисляют по формуле

(Д.23)
Для колеса передней оси группы коэффициент приведения вычисляют по формуле

. (Д.24)
Для колеса средней оси группы коэффициент приведения вычисляют по формуле

. (Д.25)
Для колеса задней оси группы коэффициент приведения вычисляют по формуле

. (Д.26)
Суммарный коэффициент приведения колесной нагрузки вычисляют по формуле
sn2 = 6,804 + 20,214 + 16,645 = 43,663. (Д.27)
Коэффициент приведения к расчетной нагрузке, рассчитываемый по
формуле (13), для данной группы осей с односкатными колесами вычисляют по формуле

(Д.28)
Д.7 Коэффициенты приведения для осей ТС со строенной группой сближенных осей представлены в таблице Д.4.
Таблица Д.4
Коэффициенты приведения для осей ТС
со строенной группой сближенных осей
Средняя осевая нагрузка, кг | Коэффициент приведения для одиночной оси ТС с учетом доли односкатных колес | Коэффициент приведения для одиночной оси ТС с учетом доли двухскатных колес |
1-я ось строенной группы сближенных осей | 2-я ось строенной группы сближенных осей | 3-я ось строенной группы сближенных осей | 1-я ось строенной группы сближенных осей | 2-я ось строенной группы сближенных осей | 3-я ось строенной группы сближенных осей |
500 | 3,1800·10-13 | 3,1800·10-13 | 3,1800·10-13 | 6,2700·10-15 | 6,2700·10-15 | 6,2700·10-15 |
1000 | 7,5600·10-12 | 7,5600·10-12 | 7,5600·10-12 | 1,4900·10-13 | 1,4900·10-13 | 1,4900·10-13 |
1500 | 1,5300·10-10 | 1,5300·10-10 | 1,5300·10-10 | 3,0200·10-12 | 3,0200·10-12 | 3,0200·10-12 |
2000 | 1,0900·10-09 | 1,0900·10-09 | 1,0900·10-09 | 2,1500·10-11 | 2,1500·10-11 | 2,1500·10-11 |
2500 | 6,6600·10-9 | 6,6600·10-9 | 6,6600·10-9 | 1,3100·10-10 | 1,3100·10-10 | 1,3100·10-10 |
3000 | 3,2100·10-8 | 3,1900·10-8 | 3,2100·10-8 | 6,3200·10-10 | 6,3000·10-10 | 6,3200·10-10 |
3500 | 1,3000·10-7 | 1,2900·10-7 | 1,3000·10-7 | 2,5600·10-9 | 2,5400·10-9 | 2,5600·10-9 |
4000 | 4,1400·10-7 | 4,0600·10-7 | 4,1400·10-7 | 8,1700·10-9 | 8,0100·10-9 | 8,1700·10-9 |
4500 | 1,4400·10-6 | 1,3900·10-6 | 1,4400·10-6 | 2,8300·10-8 | 2,7400·10-8 | 2,8300·10-8 |
5000 | 3,7800·10-6 | 3,5900·10-6 | 3,7800·10-6 | 7,4500·10-8 | 7,0800·10-8 | 7,4500·10-8 |
5500 | 1,2000·10-5 | 1,1200·10-5 | 1,2000·10-5 | 2,3700·10-7 | 2,2000·10-7 | 2,3700·10-7 |
6000 | 3,2300·10-5 | 2,9400·10-5 | 3,2300·10-5 | 6,3800·10-7 | 5,8000·10-7 | 6,3900·10-7 |
6500 | 6,4400·10-5 | 5,7100·10-5 | 6,4500·10-5 | 1,2700·10-6 | 1,1300·10-6 | 1,2800·10-6 |
7000 | 9,8500·10-5 | 8,5000·10-5 | 9,8800·10-5 | 1,9500·10-6 | 1,6800·10-6 | 1,9600·10-6 |
7500 | 1,1700·10-4 | 9,8100·10-5 | 1,1700·10-4 | 2,3200·10-6 | 1,9500·10-6 | 2,3300·10-6 |
8000 | 1,2000·10-4 | 9,7900·10-5 | 1,2100·10-4 | 2,3900·10-6 | 1,9500·10-6 | 2,4000·10-6 |
8500 | 1,2400·10-4 | 9,8100·10-5 | 1,2500·10-4 | 2,4600·10-6 | 1,9600·10-6 | 2,4800·10-6 |
9000 | 1,2500·10-4 | 9,6800·10-5 | 1,2700·10-4 | 2,5100·10-6 | 1,9400·10-6 | 2,5300·10-6 |
9500 | 1,4900·10-4 | 1,1200·10-4 | 1,5100·10-4 | 2,9900·10-6 | 2,2500·10-6 | 3,0300·10-6 |
10 000 | 1,7500·10-4 | 1,2800·10-4 | 1,7800·10-4 | 3,5300·10-6 | 2,5800·10-6 | 3,5900·10-6 |
10 500 | 2,0300·10-4 | 1,4500·10-4 | 2,0700·10-4 | 4,1000·10-6 | 2,9200·10-6 | 4,1900·10-6 |
11 000 | 3,0350·10-3 | 1,3320·10-3 | 3,6360·10-3 | 6,6600·10-5 | 2,9200·10-5 | 7,9800·10-5 |
11 500 | 3,1500·10-3 | 1,3760·10-3 | 3,7780·10-3 | 6,9200·10-5 | 3,0200·10-5 | 8,3000·10-5 |
12 000 | 3,4210·10-3 | 1,4880·10-3 | 4,1090·10-3 | 7,5200·10-5 | 3,2700·10-5 | 9,0300·10-5 |
12 500 | 4,7520·10-3 | 2,0580·10-3 | 5,7140·10-3 | 1,0400·10-4 | 4,5200·10-5 | 1,2600·10-4 |
13 000 | 4,1630·10-3 | 1,7950·10-3 | 5,0100·10-3 | 9,1500·10-5 | 3,9500·10-5 | 1,1000·10-4 |
13 500 | 4,6920·10-3 | 2,0150·10-3 | 5,6520·10-3 | 1,0300·10-4 | 4,4300·10-5 | 1,2400·10-4 |
14 000 | 4,6930·10-3 | 2,0070·10-3 | 5,6580·10-3 | 1,0300·10-4 | 4,4100·10-5 | 0,0124·10-2 |
14 500 | 5,4150·10-3 | 2,3070·10-3 | 6,5340·10-3 | 1,1900·10-4 | 5,0800·10-5 | 0,0144·10-2 |
15 000 | 5,5430·10-3 | 2,3530·10-3 | 6,6930·10-3 | 1,2200·10-4 | 5,1800·10-5 | 0,0147·10-2 |
15 500 | 3,3730·10-3 | 1,4270·10-3 | 4,0750·10-3 | 7,4200·10-5 | 3,1400·10-5 | 8,9700·10-5 |
16 000 | 3,6970·10-3 | 1,5580·10-3 | 4,4700·10-3 | 8,1400·10-5 | 3,4300·10-5 | 9,8400·10-5 |
16 500 | 2,4600·10-4 | 1,7100·10-4 | 2,5200·10-4 | 4,9800·10-6 | 3,4700·10-6 | 5,1100·10-6 |
17 000 | 2,5700·10-4 | 1,7400·10-4 | 2,6500·10-4 | 5,2200·10-6 | 3,5500·10-6 | 5,3800·10-6 |
17 500 | 3,0200·10-4 | 2,0000·10-4 | 3,1200·10-4 | 6,1500·10-6 | 4,0800·10-6 | 6,3700·10-6 |
18 000 | 3,6000·10-4 | 2,3400·10-4 | 3,7500·10-4 | 7,3800·10-6 | 4,7900·10-6 | 7,6700·10-6 |
18 500 | 4,4800·10-4 | 2,8500·10-4 | 4,6800·10-4 | 9,2100·10-6 | 5,8600·10-6 | 9,6200·10-6 |
19 000 | 5,0400·10-4 | 3,1400·10-4 | 5,2900·10-4 | 1,0400·10-5 | 6,4800·10-6 | 1,0900·10-5 |
19 500 | 6,0300·10-4 | 3,6900·10-4 | 6,3700·10-4 | 1,2500·10-5 | 7,6400·10-6 | 1,3200·10-5 |
20 000 | 7,1500·10-4 | 4,3000·10-4 | 7,5900·10-4 | 1,4800·10-5 | 8,9200·10-6 | 1,5800·10-5 |
20 500 | 8,6300·10-4 | 5,1000·10-4 | 9,2200·10-4 | 1,8000·10-5 | 1,0600·10-5 | 1,9200·10-5 |
21 000 | 1,1490·10-3 | 6,6800·10-3 | 1,2330·10-3 | 2,4000·10-5 | 1,4000·10-5 | 2,5800·10-5 |
21 500 | 1,4810·10-3 | 8,4900·10-4 | 1,5990·10-3 | 3,1000·10-5 | 1,7800·10-5 | 3,3500·10-5 |
22 000 | 1,9040·10-3 | 1,0750·10-3 | 2,0650·10-3 | 4,0000·10-5 | 2,2600·10-5 | 4,3400·10-5 |
22 500 | 2,3830·10-3 | 1,3270·10-3 | 2,5990·10-3 | 5,0200·10-5 | 2,8000·10-5 | 5,4800·10-5 |
23 000 | 3,1320·10-3 | 1,7200·10-3 | 3,4330·10-3 | 6,6200·10-5 | 3,6400·10-5 | 7,2600·10-5 |
23 500 | 4,1650·10-3 | 2,2590·10-3 | 4,5890·10-3 | 8,8300·10-5 | 4,7900·10-5 | 9,7200·10-5 |
24 000 | 5,5340·10-3 | 2,9650·10-3 | 6,1270·10-3 | 1,1800·10-4 | 6,3000·10-5 | 0,0013·10-1 |
24 500 | 7,0030·10-3 | 3,7090·10-3 | 7,7910·10-3 | 1,4900·10-4 | 7,9000·10-5 | 0,0166·10-2 |
25 000 | 9,4460·10-3 | 4,9480·10-3 | 1,0558·10-2 | 2,0200·10-4 | 1,0600·10-4 | 2,2500·10-4 |
25 500 | 1,1472·10-2 | 5,9460·10-3 | 1,2881·10-2 | 2,4500·10-4 | 1,2700·10-4 | 2,7600·10-4 |
26 000 | 1,4006·10-2 | 7,1860·10-3 | 1,5794·10-2 | 3,0000·10-4 | 1,5400·10-4 | 3,3900·10-4 |
26 500 | 1,5250·10-2 | 7,7480·10-3 | 1,7270·10-2 | 3,2700·10-4 | 1,6600·10-4 | 3,7100·10-3 |
27 000 | 1,6595·10-2 | 8,3530·10-3 | 1,8870·10-2 | 3,5700·10-4 | 1,8000·10-4 | 4,0600·10-4 |
27 500 | 1,6820·10-2 | 8,3900·10-3 | 1,9200·10-2 | 3,6200·10-4 | 1,8100·10-4 | 4,1400·10-4 |
28 000 | 1,6050·10-2 | 7,9370·10-3 | 1,8390·10-2 | 3,4600·10-4 | 1,7100·10-4 | 3,9700·10-4 |
28 500 | 1,4669·10-2 | 7,1940·10-3 | 1,6868·10-2 | 3,1700·10-4 | 1,5600·10-4 | 3,6500·10-4 |
29 000 | 1,3338·10-2 | 6,4880·10-3 | 1,5390·10-2 | 2,8900·10-4 | 1,4000·10-4 | 3,3300·10-3 |
29 500 | 1,1348·10-2 | 5,4780·10-3 | 1,3137·10-2 | 2,4600·10-4 | 1,1900·10-4 | 2,8500·10-4 |
30 000 | 9,5460·10-3 | 4,5740·10-3 | 1,1085·10-2 | 2,0700·10-4 | 9,9300·10-5 | 2,4100·10-4 |
30 500 | 8,3100·10-3 | 3,9530·10-3 | 9,6790·10-3 | 1,8100·10-4 | 8,5900·10-5 | 2,100·10-4 |
31 000 | 7,3020·10-3 | 3,4490·10-3 | 8,5290·10-3 | 1,5900·10-4 | 7,5000·10-5 | 1,8600·10-4 |
31 500 | 6,3060·10-3 | 2,9590·10-3 | 7,3860·10-3 | 1,3700·10-4 | 6,4400·10-5 | 1,6100·10-4 |
32 000 | 5,2090·10-3 | 2,4280·10-3 | 6,1160·10-3 | 1,1400·10-4 | 5,2900·10-5 | 1,3300·10-4 |
32 500 | 4,2690·10-3 | 1,9770·10-3 | 5,0250·10-3 | 9,3100·10-5 | 4,3100·10-5 | 1,1000·10-4 |
33 000 | 3,7660·10-3 | 1,7340·10-3 | 4,4430·10-3 | 8,2200·10-5 | 3,7900·10-5 | 9,7000·10-5 |
33 500 | 3,2300·10-3 | 1,4780·10-3 | 3,8180·10-3 | 7,0600·10-5 | 3,2300·10-5 | 8,3400·10-5 |
34 000 | 2,4030·10-3 | 1,0930·10-3 | 2,8460·10-3 | 5,2500·10-5 | 2,3900·10-5 | 6,2200·10-5 |
34 500 | 2,3400·10-3 | 1,0590·10-3 | 2,7770·10-3 | 5,1200·10-5 | 2,3200·10-5 | 6,0800·10-5 |
35 000 | 2,0160·10-3 | 9,0700·10-4 | 2,3980·10-3 | 4,4100·10-5 | 1,9900·10-5 | 5,2500·10-5 |
35 500 | 1,9100·10-3 | 8,5500·10-4 | 2,2760·10-3 | 4,1900·10-5 | 1,8700·10-5 | 4,9900·10-5 |
36 000 | 2,1860·10-3 | 9,7300·10-3 | 2,6080·10-3 | 4,7900·10-5 | 2,1300·10-5 | 5,7200·10-5 |
36 500 | 2,3530·10-3 | 1,0430·10-3 | 2,8120·10-3 | 5,1600·10-5 | 2,2900·10-5 | 6,1700·10-5 |
37 000 | 2,6740·10-3 | 1,1790·10-3 | 3,2000·10-3 | 5,8700·10-5 | 2,5900·10-5 | 7,0200·10-5 |
37 500 | 2,3270·10-3 | 9,7800·10-4 | 2,8160·10-3 | 5,1200·10-5 | 2,1500·10-5 | 6,2000·10-5 |
38 000 | 2,9420·10-3 | 1,2310·10-3 | 3,5610·10-3 | 6,4800·10-5 | 2,7100·10-5 | 7,8400·10-5 |
38 500 | 1,7930·10-3 | 7,4800·10-4 | 2,1710·10-3 | 3,9500·10-5 | 1,6500·10-5 | 4,7800·10-5 |
39 000 | 1,1780·10-3 | 4,9000·10-4 | 1,4270·10-3 | 2,5900·10-5 | 1,0800·10-5 | 3,1400·10-5 |
39 500 | 1,4760·10-3 | 6,1200·10-4 | 1,7890·10-3 | 3,2500·10-5 | 1,3500·10-5 | 3,9400·10-5 |
40 000 | 1,2630·10-3 | 5,2200·10-4 | 1,5310·10-3 | 2,7800·10-5 | 1,1500·10-5 | 3,3700·10-5 |
40 500 | 1,0380·10-3 | 4,2800·10-4 | 1,2590·10-3 | 2,2900·10-5 | 9,4300·10-6 | 2,7700·10-5 |
41 000 | 1,4620·10-3 | 6,0100·10-4 | 1,7740·10-3 | 3,2200·10-5 | 1,3200·10-5 | 3,9100·10-5 |
41 500 | 6,7300·10-4 | 2,7600·10-4 | 8,1600·10-4 | 1,4800·10-5 | 6,0800·10-6 | 1,8000·10-5 |
42 000 | 8,4300·10-4 | 3,4500·10-4 | 1,0230·10-3 | 1,8600·10-5 | 7,5900·10-6 | 2,2500·10-5 |
Итого | 0,2960 | 0,1435 | 0,3420 | 0,0064 | 0,0031 | 0,0074 |
Всего | 0,7985 |
Суммарный коэффициент приведения к расчетной нагрузке для группы сближенных осей из строенных осей вычисляют по формуле
s2 = 0,7985. (Д.29)
Суммарный коэффициент приведения к расчетной нагрузке для ТС категории C8, рассчитанный по данным с АПВГК при приросте интенсивности движения в 3%, вычисляют по формуле

(Д.30)
| Постановление Правительства Российской Федерации от 1 декабря 2023 г. N 2060 "Об утверждении Правил движения тяжеловесного и (или) крупногабаритного транспортного средства" |
| Федеральный закон от 8 ноября 2007 г. N 257-ФЗ "Об автомобильных дорогах и о дорожной деятельности в Российской Федерации и о внесении изменений в отдельные законодательные акты Российской Федерации" |
УДК 625.7/.8:006.3/.8:006.354 | |
Ключевые слова: дорожная одежда, проектирование, АПВГК, транспортный поток, коэффициенты приведения, расчетная осевая нагрузка |