Главная // Актуальные документы // ГОСТ Р (Государственный стандарт)СПРАВКА
Источник публикации
М.: ФГБУ "РСТ", 2022
Примечание к документу
Документ
введен в действие с 01.01.2023.
Название документа
"ГОСТ Р 59978.2-2022. Национальный стандарт Российской Федерации. Конструкции для удаления дымовых газов. Теплотехнический и аэродинамический расчет. Часть 2. Конструкции для удаления дымовых газов от нескольких источников тепла"
(утв. и введен в действие Приказом Росстандарта от 15.07.2022 N 635-ст)
"ГОСТ Р 59978.2-2022. Национальный стандарт Российской Федерации. Конструкции для удаления дымовых газов. Теплотехнический и аэродинамический расчет. Часть 2. Конструкции для удаления дымовых газов от нескольких источников тепла"
(утв. и введен в действие Приказом Росстандарта от 15.07.2022 N 635-ст)
Утвержден и введен в действие
агентства по техническому
регулированию и метрологии
от 15 июля 2022 г. N 635-ст
НАЦИОНАЛЬНЫЙ СТАНДАРТ РОССИЙСКОЙ ФЕДЕРАЦИИ
КОНСТРУКЦИИ ДЛЯ УДАЛЕНИЯ ДЫМОВЫХ ГАЗОВ
ТЕПЛОТЕХНИЧЕСКИЙ И АЭРОДИНАМИЧЕСКИЙ РАСЧЕТ
ЧАСТЬ 2
КОНСТРУКЦИИ ДЛЯ УДАЛЕНИЯ ДЫМОВЫХ ГАЗОВ
ОТ НЕСКОЛЬКИХ ИСТОЧНИКОВ ТЕПЛА
Chimneys. Thermal and fluid dynamic calculation.
Part 2. Chimneys serving more than one heating appliance
ГОСТ Р 59978.2-2022
Дата введения
1 января 2023 года
1 ПОДГОТОВЛЕН Федеральным государственным бюджетным учреждением "Российский институт стандартизации" (ФГБУ "РСТ") при участии Некоммерческого партнерства в сфере развития печного дела "Альянс. Печных дел мастера" (НП "Альянс. Печных дел мастера") на основе собственного перевода на русский язык немецкоязычной версии стандарта, указанного в
пункте 4
2 ВНЕСЕН Техническим комитетом по стандартизации ТК 061 "Вентиляция и кондиционирование"
3 УТВЕРЖДЕН И ВВЕДЕН В ДЕЙСТВИЕ
Приказом Федерального агентства по техническому регулированию и метрологии от 15 июля 2022 г. N 635-ст
4 Настоящий стандарт является модифицированным по отношению к стандарту ДИН ЕН 13384-2:2015+А1:2019 "Конструкции для удаления дымовых газов. Методы теплотехнического и аэродинамического расчетов. Часть 2. Конструкции для удаления дымовых газов от нескольких источников тепла" (DIN EN 13384-2:2015+A1:2019 "Abgasanlagen -

und

Berechnungsverfahren - Teil 2: Abgasanlagen mit mehreren Verbrennungseinrichtungen", MOD) путем изменения отдельных фраз (слов, ссылок), которые выделены в тексте курсивом.
Наименование настоящего стандарта изменено относительно наименования указанного международного стандарта для приведения в соответствие с ГОСТ Р 1.5-2012
(пункт 3.5).
Сведения о соответствии ссылочных национальных стандартов европейским стандартам, использованным в качестве ссылочных в примененном стандарте, приведены в дополнительном
приложении ДА
5 ВВЕДЕН ВПЕРВЫЕ
Правила применения настоящего стандарта установлены в статье 26 Федерального закона от 29 июня 2015 г. N 162-ФЗ "О стандартизации в Российской Федерации". Информация об изменениях к настоящему стандарту публикуется в ежегодном (по состоянию на 1 января текущего года) информационном указателе "Национальные стандарты", а официальный текст изменений и поправок - в ежемесячном информационном указателе "Национальные стандарты". В случае пересмотра (замены) или отмены настоящего стандарта соответствующее уведомление будет опубликовано в ближайшем выпуске ежемесячного информационного указателя "Национальные стандарты". Соответствующая информация, уведомление и тексты размещаются также в информационной системе общего пользования - на официальном сайте Федерального агентства по техническому регулированию и метрологии в сети Интернет (www.rst.gov.ru)
Метод расчета, описанный в настоящем стандарте, является комплексным, и лучше всего его использовать с применением одной из компьютерных программ. Общие принципы данного метода расчета, изложенные в
ГОСТ Р 59978.1, также применимы к этому стандарту.
Настоящий стандарт поддерживает стандарты проектирования систем удаления продуктов сгорания с подключением нескольких устройств для сжигания топлива (многократное подключение).
Соответствующий расчетный стандарт определяет пределы и требования безопасности в связи с проектированием, строительством, вводом в эксплуатацию и техническим обслуживанием конструкций для удаления дымовых газов с несколькими источниками тепла (параметры которых в рамках этого расчетного стандарта отдельно не рассчитываются).
Настоящий стандарт устанавливает методы расчета теплотехнических и аэродинамических параметров конструкций для удаления дымовых газов от нескольких источников тепла.
Настоящий стандарт охватывает два случая:
a) вертикальная часть конструкции для удаления дымовых газов, в которую подключают несколько соединительных элементов от одного или нескольких источников тепла;
b) вертикальная часть конструкции для удаления дымовых газов, в которую подключают один соединительный элемент, объединяющий несколько источников тепла при каскадном подключении.
В случае подключения нескольких каскадных подключений действуют условия расчета
пункта a).
Настоящий стандарт распространяется на конструкции для удаления дымовых газов, работающие в режиме разрежения, и на конструкции для удаления дымовых газов, к которым подключают источники тепла на твердом, жидком и газообразном топливе.
Настоящий стандарт не распространяется:
- на конструкции для удаления дымовых газов с различными термическими сопротивлениями или различными поперечными сечениями в различных секциях конструкции для удаления дымовых газов. Дополнительное получение энергии в этой серии стандартов не учитывается;
- конструкции для удаления дымовых газов для открытых источников тепла, например, открытых каминов или отвод дымовых газов в конструкцию для удаления дымовых газов от открытого источника тепла в помещении;
- конструкции для удаления дымовых газов от различающихся источников тепла с режимом разрежения (естественная тяга), с наддувом или двигателем внутреннего сгорания. Конструкции для удаления дымовых газов с наддувом и устройством подвода дополнительного воздуха между вентилятором и конструкцией для удаления дымовых газов следует рассматривать как котлы с естественной тягой;
- конструкции для удаления дымовых газов с многократным подключением более 5 этажей [не относится к системам "воздух-дымовые газы" (LAS)];
- конструкции для удаления дымовых газов, к которым подключают источники тепла, в которых воздух для горения подводится через воздушные отверстия или воздушные каналы, не объединенные общей воздушной шахтой, которые не имеют одинакового давления воздуха (например, на одной стороне здания).
Для систем удаления продуктов сгорания с избыточным давлением настоящий стандарт применяется только в том случае, если все неработающие устройства для сжигания топлива можно безопасно отключить, чтобы предотвратить обратный поток дымовых газов.
В настоящем стандарте использованы нормативные ссылки на следующие стандарты:
ГОСТ Р 59412 Конструкции для удаления дымовых газов. Общие требования безопасности
ГОСТ Р 59978.1-2022 Конструкции для удаления дымовых газов. Теплотехнический и аэродинамический расчет. Часть 1. Конструкции для удаления дымовых газов от одного источника тепла
Примечание - При пользовании настоящим стандартом целесообразно проверить действие ссылочных стандартов в информационной системе общего пользования - на официальном сайте Федерального агентства по техническому регулированию и метрологии в сети Интернет или по ежегодному информационному указателю "Национальные стандарты", который опубликован по состоянию на 1 января текущего года, и по выпускам ежемесячного информационного указателя "Национальные стандарты" за текущий год. Если заменен ссылочный стандарт, на который дана недатированная ссылка, то рекомендуется использовать действующую версию этого стандарта с учетом всех внесенных в данную версию изменений. Если заменен ссылочный стандарт, на который дана датированная ссылка, то рекомендуется использовать версию этого стандарта с указанным выше годом утверждения (принятия). Если после утверждения настоящего стандарта в ссылочный стандарт, на который дана датированная ссылка, внесено изменение, затрагивающее положение, на которое дана ссылка, то это положение рекомендуется применять без учета данного изменения. Если ссылочный стандарт отменен без замены, то положение, в котором дана ссылка на него, рекомендуется применять в части, не затрагивающей эту ссылку.
В настоящем стандарте применены термины по
ГОСТ Р 59412,
ГОСТ Р 59978.1, а также следующие термины с соответствующими определениями:
3.1 секция конструкции для удаления дымовых газов (Abschnitt der Abgasanlage): Часть вертикальной части конструкции для удаления дымовых газов между двумя последовательными входами соединительных элементов или между последним входом соединительного элемента и устьем вертикальной части конструкции для удаления дымовых газов.
3.2 коллекторная секция (Sammlerabschnitt): Часть соединительного элемента между двумя последовательными входами в соединительный элемент или между последним входом в соединительный элемент и входом в вертикальную часть конструкции для удаления дымовых газов.
3.3
массовый расход дымовых газов 
(Abgasmassenstrom): Масса дымовых газов, отводимых от источника тепла через соединительный элемент в единицу времени.
Примечание - Для конструкций удаления дымовых газов с несколькими источниками тепла, поток воздуха, протекающий через неработающий источник тепла, обозначают также массовым расходом дымовых газов.
3.3.1
декларируемый массовый расход дымовых газов 
(deklarierter Abgasmassenstrom): Массовый расход дымовых газов, задаваемый производителем источника тепла
j, соответствующий тепловой мощности, учитываемой в расчете.
3.3.2
расчетный массовый расход дымовых газов 
(berechneter Abgasmassenstrom): Массовый расход дымовых газов, который был определен расчетом с учетном расчетного разрежения и условий эксплуатации источника тепла
j.
3.4 расчетная температура потока дымовых газов TWc,j (berechnete Temperatur des Abgases): Температура дымовых газов в патрубке дымовых газов источника тепла j в зависимости от расчетного массового расхода дымовых газов.
3.5
расчетное давление для преодоления сопротивления источника тепла PWc,j (errechneter

des Abgases einer Verbrennungseinrichtung): Отрицательное давление в патрубке дымовых газов источника тепла
j в зависимости от расчетного массового расхода дымовых газов.
3.6 клапан дымовых газов (Abgasklappe): Устройство для частичного или полного перекрытия потока дымовых газов.
3.7 система "воздух-дымовые газы" (Luft-Abgas-System): Конструкция для удаления продуктов сгорания, в которой место входа приточного воздуха в воздушную шахту находится рядом с местом выхода дымовых газов из дымового тракта; при этом вход и выход расположены таким образом, чтобы компенсировалось влияние ветра.
3.8 каскадное подключение (Kaskadenschaltung): Размещение источников тепла, при котором два или более источников тепла, установленных в одном помещении, подключены общим соединительным элементом к конструкции для удаления дымовых газов.
3.9 многократное подключение (Mehrfachbelegung): Размещение источников тепла, при котором два или более источников тепла, установленных в различных помещениях, подключаются к конструкции для удаления дымовых газов отдельными соединительными элементами.
3.10 трубопровод для подачи воздуха (Zuluftleitung): Независимый трубопровод в здании или составная часть конструкции для удаления дымовых газов, которая подает воздух для горения к источнику тепла, работающему без использования воздуха помещения.
3.11
перепускное отверстие 
: Отверстие или трубопровод, который в основании соединяет напрямую трубопровод для подачи воздуха с конструкцией для удаления дымовых газов.
4 Обозначения и единицы измерения
Обозначения в формулах, термины и единицы измерения приведены для того, чтобы текст стандарта был понятен. Список общих символов и сокращений приведен в
ГОСТ Р 59978.1. Индексы, которые прибавлены к обозначениям с целью расчета конструкции для удаления дымовых газов от нескольких источников тепла, относятся к вертикальному участку конструкции для удаления дымовых газов и/или к участку соединительного элемента. Пример схемы, обозначенной индексами, приведен на рисунках 1 и
2.
1 - конструкция для удаления дымовых газов;
2 - соединительный элемент j; 3 - источник тепла j;
4 - соединительный элемент 2; 5 - источник тепла 2;
6 - соединительный элемент 1; 7 - источник тепла 1;
8 - участок 1 конструкции для удаления дымовых газов;
9 - участок j конструкции для удаления дымовых газов
Рисунок 1 - Пример многократного подключения и нумерации
значений давления и температуры источников тепла
Рисунок 2 - Пример обозначения и нумерации для узловых точек
Нумерация индексов должна начинаться с наименьшего и самого дальнего по расположению от подключения к источнику тепла. В случае использования более одного подключения при каскадном подключении источников тепла схема нумерации индексов для расчетных формул должна строиться по аналогии со схемой для единичной каскадной системы. Обозначения, которые определяют соответствующие участки конструкции для удаления дымовых газов, обозначаются также номером этого участка (например, H1 - эффективная высота одной секции одного участка конструкции для удаления дымовых газов между устьем соединительного элемента самого нижнего источника тепла и устьем соединительного элемента следующего источника тепла).
Каждый символ и сокращение поясняются уравнением, в котором они используются.
5.1 Общие основные правила
Метод расчета основывается на определении распределения массового расхода дымовых газов в конструкции для удаления дымовых газов. При этом условие по давлению
[формула (1)] должно быть выполнено в каждой точке входа дымовых газов в конструкцию для удаления дымовых газов
(рисунок 1). После того как это распределение было определено, необходимо обратить внимание на следующие три условия:
b) условие по давлению для минимального разрежения или максимального избыточного давления [
формула (6) или
(6b) и
(6c)];
c) условие по давлению для максимального разрежения или минимального избыточного давления [
формула (6a) или
(6d)];
Примечания
1 На метод расчета влияют мероприятия по монтажу индивидуальных источников тепла. Указания по монтажу источников тепла и соединительных элементов содержит
приложение A.
2 Условия давления для максимального разрежения или минимального избыточного давления требуются только в том случае, если существует предельное значение для максимального разрежения(ий) источника тепла или минимальный перепад давления (избыточное давление) источника тепла.
Для проверки критериев используются два набора внешних условий:
- расчет минимального разрежения и максимального избыточного давления выполняется в условиях, когда производительность конструкции для удаления дымовых газов минимальна (т.е. при высокой температуре наружного воздуха);
- расчет максимального разрежения и минимального избыточного давления, а также температуры внутренней стенки выполняется в условиях, при которых внутренняя температура конструкции для удаления продуктов сгорания минимальна (т.е. низкая наружная температура).
Проверка условий для массового расхода дымовых газов и условий по давлению должна достигаться при следующих эксплуатационных режимах с учетом температуры наружного и окружающего воздуха в соответствии с
ГОСТ Р 59978.1:
- все источники тепла работают одновременно с номинальной тепловой мощностью;
- все источники тепла работают одновременно с наименьшей тепловой мощностью;
- один источник тепла работает с номинальной тепловой мощностью, а все остальные источники тепла не эксплуатируются (все возможные случаи);
- один источник тепла работает с наименьшей тепловой мощностью, а все остальные источники тепла не эксплуатируются (все возможные случаи);
- в случае конструкций для удаления дымовых газов с избыточным давлением один источник тепла работает с минимальной номинальной тепловой мощностью, а все другие источники тепла работают с максимальной номинальной тепловой мощностью (все возможные случаи).
Если может обеспечиваться регулирование конструкции, которое позволяет эксплуатировать не все источники тепла одновременно, то признание условий для массового расхода дымовых газов и контроль условий по давлению при максимальном числе работающих источников тепла могут проводиться для различных эксплуатационных режимов.
Проверку условия по массовому расходу дымовых газов и контроль условия по давлению источника тепла, которые эксплуатируются с наименьшей тепловой мощностью, не требуется проводить в следующих случаях:
- источники тепла не имеют диапазона мощности;
- источники тепла на газовом топливе имеют одну стационарную тепловую мощность с верхней границей, декларируемой производителем, величина которой должна быть указана на табличке с характеристиками источника тепла. В этом случае номинальной тепловой мощностью является тепловая мощность, указанная на табличке с характеристиками источника тепла;
- источники тепла для твердого топлива, которые не имеют вентиляторов и регулируемого подвода воздуха.
Подтверждение условий массового расхода не требуется проводить в рабочих условиях, в которых источники тепла работают с номинальной тепловой мощностью, в следующем случае:
- источники тепла имеют больший или как минимум одинаковый расход дымовых газов при наименьшей тепловой мощности, чем/как при номинальной тепловой мощности.
Условие по температуре должно выполняться при следующих важных эксплуатационных режимах и температурных условиях наружного и окружающего воздуха в соответствии с
ГОСТ Р 59978.1:
- у источника тепла на твердом топливе без вентиляторов и конструкций для удаления дымовых газов с регулируемым подводом воздуха соответственно при номинальной тепловой мощности;
- у источника тепла с отключенными гидродинамическими предохранителями для подготовки горячей воды. Эти конструкции для удаления дымовых газов эксплуатируются с соответствующим вторичным воздухом. (Они находятся в эксплуатации только кратковременно и поэтому можно допустить, что конденсация не послужит причиной ущерба или может представлять риск для безопасности);
- у источников тепла, которые эксплуатируются со стационарным диапазоном тепловой мощности при этой номинальной тепловой мощности;
- у всех других источников тепла, которые эксплуатируются с наименьшей тепловой мощностью.
Для нечувствительных к влаге конструкций для удаления дымовых газов, расположенных внутри зданий, достаточно доказательства условия по температуре в устье конструкции для удаления дымовых газов.
Соблюдение условия по температуре не нуждается в подтверждении, если к конструкции для удаления дымовых газов подключены только проточные и емкостные водонагреватели, работающие на газе.
Если конструкция для удаления дымовых газов оснащена предохранительным клапаном дымовых газов, она рассматривается как каскадное подключение.
5.2.1 Конструкции для удаления дымовых газов под разрежением
Для каждой секции j конструкции для удаления дымовых газов для всех важных условий эксплуатации должны выполняться следующие формулы:
|
PZ,j -
PZe,j| <= 0,1, (1)

, (2)
PZe,j =
PWc,j +
PV,j +
PBc,j, (3)
где PZ,j - минимальное разрежение в точке входа дымовых газов в секцию j конструкции для удаления дымовых газов, Па;
PZe,j - требуемое разрежение на входе в конструкцию для удаления дымовых газов на участке j, Па;
PL - давление ветра, Па;
N - количество источников тепла, подключенных к конструкции для удаления дымовых газов, шт.
PH,k - самотяга секции k конструкции для удаления дымовых газов, Па;
PR,k - аэродинамическое сопротивление секции k конструкции для удаления дымовых газов, Па;
PWc,j - расчетное давление для преодоления сопротивления источника тепла, Па;
PV,j - расчетное аэродинамическое сопротивление соединительного элемента секции j конструкции для удаления дымовых газов, Па;
PBc,j - расчетное давление для приточного воздуха источника тепла j, Па.
5.2.2 Конструкции для удаления дымовых газов под избыточным давлением
Для каждой секции j конструкции для удаления дымовых газов для всех важных условий эксплуатации должны выполняться следующие формулы:
|
PZOe,j -
PZO,j| <= 0,1, (3a)

, (3b)
PZOe,j =
PWOc,j -
PV,j -
PBc,j, (3c)
где PZOe,j - максимально допустимое избыточное давление на входе дымовых газов c в секции j конструкции для удаления дымовых газов, Па;
PZO,j - избыточное давление в точке входа дымовых газов в секцию j конструкции для удаления дымовых газов, Па;
PL - давление ветра, Па;
N - количество источников тепла, подключенных k конструкции для удаления дымовых газов, шт.;
PR,k - аэродинамическое сопротивление секции k конструкции для удаления дымовых газов, Па;
PH,k - самотяга секции к конструкции для удаления дымовых газов, Па;
PWOc,j - расчетное допустимое давление для преодоления сопротивления источника тепла j, Па;
PV,j - расчетное аэродинамическое сопротивление соединительного элемента секции j конструкции для удаления дымовых газов, Па;
PBc,j - расчетное давление для преодоления сопротивления приточного воздуха источника тепла j, Па;
5.3 Условие для массового расхода
Для каждого источника тепла, находящегося в эксплуатации, при номинальной тепловой мощности или минимальной мощности действует условие:

, (4)
а для всех неработающих источников тепла действует условие:

, (5)
где

- расчетный массовый расход дымовых газов источника тепла, кг/с;

- декларируемый массовый расход дымовых газов источника тепла, кг/с.
Если предусмотрен клапан дымовых газов, то аэродинамическое сопротивление приравнивается к нулю, пока не предоставлены точные данные.
5.4.1 Конструкции для удаления дымовых газов под разрежением
Дополнительно необходимо проверить, чтобы тяга в конструкции для удаления дымовых газов (
PZ,j) была больше или равна разрежению в помещении, в котором установлен источник тепла при расчетном разрежении для подвода приточного воздуха. Проверка условия по давлению должна проводиться в таких же условиях, как она проводилась при проверке условия для массового расхода дымовых газов (см.
5.3 и
5.6).
Действует следующая формула:
где PZ,j - разрежение на входе дымовых газов в j секцию конструкции для удаления дымовых газов, Па;
PBc,j - расчетное рабочее давление приточного воздуха источник тепла j, Па.
При необходимости также необходимо проверить, не превышает ли разрежение (тяга) в конструкции для удаления продуктов сгорания (
PZmax,j) максимально допустимого разрежения (
PZemax,j), создаваемого источником тепла.
Формулу (6a) необходимо проверить для всех соответствующих рабочих условий (см.
5.6).
Это условие по давлению необходимо проверить с помощью отдельного расчета с использованием вновь рассчитанных массовых потоков дымовых газов, которые соответствуют условиям по давлению при температуре наружного воздуха
TL = 258,15 K (
tL = -15 °C, см.
ГОСТ Р 59978.1).

, (6a)
где PZmax,j - максимальное отрицательное давление на входе дымовых газов в секцию j конструкции для удаления дымовых газов, Па;
PH,k - самотяга секции k конструкции для удаления дымовых газов, Па;
PR,k - давление сопротивления секции k конструкции для удаления дымовых газов, Па;
PWmax,j - допустимое отрицательное давление источника тепла j, Па;
PV,j - расчетное давление сопротивления соединительного элемента секции j конструкции для удаления дымовых газов, Па;
PBc,j - расчетное давление для преодоления сопротивления приточного воздуха источника тепла j, Па.
PZemax,j - допустимое отрицательное давление на входе дымовых газов в секцию j конструкции для удаления дымовых газов, Па.
Примечание - Значения
PH,k,
PR,k,
PV,j и
PBc,j в
формулах (2) и
(6a) обычно различаются, потому что условия разные.
5.4.2 Конструкция для удаления дымовых газов с избыточным давлением
В случае конструкции для удаления дымовых газов с избыточным давлением необходимо также проверить, не превышает ли максимальное избыточное давление в соединительном элементе (
PZO,j +
PV,j) и в вертикальной части конструкции для удаления дымовых газов (
PZO,j) избыточное давление, на которое рассчитаны оба (
PZVexcess и
PZexcess). Проверка условий давления должна выполняться в тех же условиях, что и проверка условий массового расхода (см.
5.3 и
5.6). Должны быть проверены следующие соотношения:
PZ0,j +
PV,j <=
PZVexcess, (6c)
где PZ0,j - избыточное давление на входе дымовых газов в j секцию конструкции для удаления дымовых газов, Па;
PZexcess - максимально допустимое расчетное давление согласно маркировке в вертикальной части конструкции для удаления дымовых газов, Па;
PV,j - расчетное сопротивление давления на входе дымовых газов в j секцию конструкции для удаления дымовых газов, Па;
PZVexcess - максимально допустимое расчетное давление согласно маркировке соединительного элемента, Па.
При необходимости также проверить, не превышает ли минимальное избыточное давление в вертикальной части конструкции для удаления дымовых газов (
PZOmin,j) допустимое минимальное избыточное давление (
PZOemin,j), создаваемое источником тепла, или равно ему.
Формула (6d) должно быть применено ко всем соответствующим условиям эксплуатации (см.
5.6).
Это условие по давлению необходимо проверить с помощью отдельного расчета с использованием вновь рассчитанных массовых потоков дымовых газов, которые соответствуют условиям по давлению при температуре наружного воздуха
TL = 258,15 K (
tL = -15 °C, см.
ГОСТ Р 59978.1).

, (6d)
где PZOmin,j - максимальное избыточное давление на входе дымовых газов в j секцию конструкции для удаления дымовых газов, Па;
PR,k - давление сопротивления секции k конструкции для удаления дымовых газов, Па;
PH,k - самотяга секции k конструкции для удаления дымовых газов, Па;
PWOmin,j - необходимое давление для преодоления сопротивления источника тепла j, Па;
PBc,j - расчетное давление для преодоления сопротивления приточного воздуха для источника тепла j, Па;
PV,j - расчетное давление сопротивления соединительного элемента секции j конструкции для удаления дымовых газов, Па;
PZOemin,j - необходимое избыточное давление на входе дымовых газов в j секцию конструкции для удаления дымовых газов, Па.
Примечание - Значения
PH,k и
PR,k в уравнениях (3b) и
(6b) обычно различаются, потому что условия разные.
5.5 Условие по температуре
Контроль условия по температуре происходит в каждом отдельном этапе расчета с учетом только что рассчитанных массовых расходов дымовых газов, которые выполняют условие по давлению при температуре наружного воздуха
Tuo,j (см.
ГОСТ Р 59978.1).
где Tiob,j - температура внутренней стенки на выходе секции j конструкции для удаления дымовых газов, Па;
Tg,j - граничная температура внутренней стенки на выходе секции j конструкции для удаления дымовых газов, Па.
Граничная температура
Tg,j конструкции для удаления дымовых газов, работающей в сухом режиме, равна температуре точки росы дымовых газов
Tsp,j (см.
8.6):
Tg,j =
Tsp,j.
Граничная температура Tg,j конструкции для удаления дымовых газов, работающей во влажном режиме, равна точке замерзания воды: Tg,j = 273,15 K.
Примечание - В следующих случаях не требуется выполнение условия по температуре, если принимается во внимание, что не может быть гарантировано отсутствие конденсата при выполнении условия по температуре (в таких случаях рекомендуется тепловая изоляция):
- источники тепла, подключаемые к конструкции для удаления дымовых газов, которая уже находится в эксплуатации;
- тепловая мощность источника тепла, который подключают и/или заменяют, не превышает 30 кВт;
- потери тепла с дымовыми газами не более 8%;
- действует общая циркуляция воздуха через конструкцию для удаления дымовых газов, через предохранитель и клапан дымовых газов в период отсутствия эксплуатации;
- предусмотрен достаточный период остановки в работе оборудования (например, если минимальная тепловая мощность источника тепла в режиме эксплуатации составляет не менее 20% требуемой тепловой мощности).
При расчете соотношения давления и температуры в конструкции для удаления дымовых газов с многократным подключением источников тепла необходим повторяющийся метод расчета (итерация). Ход расчета базируется на уравнениях баланса массы и энергии при допустимых статических условиях.
Во всех точках, к которым подключают трубопроводы (концы соединительного элемента, начало и конец одной из секций конструкции для удаления дымовых газов), во всех узловых точках (см.
рисунок 2) действуют следующие формулы:
- при совместном отведении различных массовых потоков:

, (8)

, (9)
где

- расход дымовых газов в секции
j - 1 конструкции для удаления дымовых газов, кг/с;

- расход дымовых газов в соединительном элементе
j, кг/с;

- расход дымовых газов в секции
j конструкции для удаления дымовых газов, кг/с;
Cp,j-1 - удельная теплоемкость дымовых газов в секции j - 1 конструкции для удаления дымовых газов, Дж/(кг·К);
To,j-1 - температура дымовых газов в конце секции j - 1 конструкции для удаления дымовых газов, К;
CpV,j - удельная теплоемкость дымовых газов в соединительном элементе j, Дж/(кг·К);
ToV,j - температура дымовых газов на выходе из соединительного элемента j, К;
Cp,j - удельная теплоемкость дымовых газов в секции j конструкции для удаления дымовых газов, Дж/(кг·К);
Te,j - температура дымовых газов на входе в секцию j конструкции для удаления дымовых газов, К.
Разрежение в начале секции конструкции для удаления дымовых газов (для пункта 3) выводится из разрежения этой секции конструкции для удаления дымовых газов и всех последующих секций в соответствии с
формулой (2).
Если массовый расход источника тепла не отличается от номинального значения более чем на 10% в диапазоне между номинальным значением и определенным значением для отрицательного или избыточного давления, повторение не требуется. В этом случае требования
ГОСТ Р 59978.1-2022,
5.2.1 или
5.2.2, должны выполняться для каждого источника тепла.
Для комбинированного производства тепла и электроэнергии с двигателем внутреннего сгорания можно предположить, что требования выполнены.
При каждом повторе (итерации) определяют следующие параметры:
- для каждой узловой точки j фактическое значение давления PZe,j, PZ,j или PZOe,j, PZO,j и при необходимости PZemax,j, PZmax,j или PZOemin,j, PZOmin,j, а также значения температуры To,j-1 в точке 1, ToV,j в точке 2, Te,j в точке 3;
- средние значения действительной температуры, массового расхода и скорости дымовых газов для каждого участка между двумя узловыми точками.
Перед проведением первой итерации в качестве стартового значения принимают массовый расход на выходе из патрубка для отвода дымовых газов источника тепла. Одно из возможных стартовых значений массового расхода - декларируемый массовый расход источника тепла

.
Например, каждая итерация состоит из следующих двух этапов:
Этап 1. Вычисление параметров, начиная от самой нижней узловой точки и заканчивая устьем и выбросом газов в атмосферу, как это следует далее:
- расчетный/заданный массовый расход дымовых газов на выходе из патрубка для отвода дымовых газов источника тепла:
- в каждом соединительном элементе:
- температура дымовых газов (см.
ГОСТ Р 59978.1-2022,
подраздел 5.8);
- средняя температура дымовых газов (см.
ГОСТ Р 59978.1-2022,
подраздел 5.8);
- в каждом участке конструкции для отвода дымовых газов:
- температура дымовых газов в устье (см.
ГОСТ Р 59978.1-2022,
подраздел 5.8);
- средняя температура дымовых газов (см.
ГОСТ Р 59978.1-2022,
подраздел 5.8).
Этап 2. Вычисление величины разрежения в каждой узловой точке, начиная от устья трубопровода для удаления дымовых газов в атмосферу до наиболее удаленной узловой точки:
- требуемое разрежение или максимально возможное избыточное давление на входе в конструкцию для удаления дымовых газов [
уравнение (3) или
(3c)];
- самотяга на входе дымовых газов в секцию конструкции для удаления дымовых газов
[формула (31)];
- аэродинамическое сопротивление секции конструкции для удаления дымовых газов
[формула (32)];
- разрежение на входе дымовых газов в секцию конструкции для удаления дымовых газов [
формула (2) или
формула (3b)].
Обе описанные итерации (этапы 1 и 2) проводят для соответствующих условий эксплуатации (т.е. для номинальной тепловой мощности, для наименьшей мощности и для отключенных источников тепла) так долго, как это потребуется для выполнения условия по давлению
[формула (1)].
Если условие по давлению выполнено, то значения последней итерации могут рассматриваться как значения, с которыми в соответствии с настоящим стандартом с учетом эксплуатации конструкции для удаления дымовых газов и при соблюдении условий по массовому расходу дымовых газов осуществляется соблюдение условий по давлению и температуре.
Если условие по давлению не выполнено, происходит повторная предварительная оценка величины mw, которая основывается на установленной разнице давлений PZ,j и PZe,j и PZO,j и PZOe,j, с которой проводится следующая итерация.
6 Характерные значения дымовых газов для источника тепла
Для расчета значений температуры и давления используются характерные значения дымовых газов источника тепла. Это включает в себя:
- заявленное минимальное необходимое давление для преодоления сопротивления или заявленное максимальное доступное давление для преодоления сопротивления источника тепла (PW,j или PWO,j);
- температура дымовых газов, заявленная производителем источника тепла (tW,j).
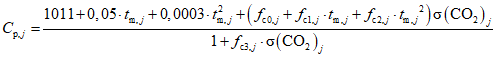
Оба значения должны указываться в зависимости от массового расхода дымовых газов при различных условиях эксплуатации источника тепла (в режиме эксплуатации, вне эксплуатации). Расчетное рабочее давление источника тепла PWc,j, Па, или доступное давление для преодоления сопротивления PWOc,j, Па, для обоих режимов указывают в форме многочлена 4-й степени [формула (10)].

, (10)

, (10a)

, (11)
где b1, b2, b3, b4 - коэффициент уравнения многочлена для расчета рабочего давления источника тепла j;

- расчетный массовый расход дымовых газов источника тепла, кг/с;

- декларируемый массовый расход дымовых газов источника тепла, кг/с;
c0, c1, c2, c3, c4 - коэффициент уравнения многочлена для расчета доступного давления подачи устройства для сжигания топлива j;
tWc,j - расчетная температура дымовых газов источника тепла, °C;
y0, y1, y2 - коэффициент экспоненциального уравнения источника тепла j, кг/с.
Для конструкций удаления дымовых газов под разрежением значения
b и
y для рабочих состояний "в режиме эксплуатации" и "вне эксплуатации" должны определяться отдельно. Если эти значения не указаны, необходимо использовать значения дымовых газов, характерные для источника тепла, указанные в
приложении B.
Для конструкций удаления дымовых газов избыточного давления значения c и y для рабочего состояния "в режиме эксплуатации" должны быть определены изданных производителя источника тепла.
Примечание - Если информация о рабочем состоянии "в режиме эксплуатации" не предоставлена, расчет невозможен.
Для рабочего состояния "вне эксплуатации" c0, c1, c2, c3, c4 и y0, y1, y2 должны быть равны 0 и c2 = -1 000 000.
Примечание - В случае применения конструкций для удаления дымовых газов с избыточным давлением проверка массового расхода основана на том факте, что нет возможности обратного потока дымовых газов через неработающий источник тепла.
Комбинированная теплоэнергетическая система с теплогенератором адекватно описывается номинальным значением массового расхода дымовых газов и номинальным отрицательным давлением или доступным давлением, необходимым для преодоления сопротивления.
Дополнительно должны предоставляться сведения об объемной концентрации CO
2 дымовых газов для обеих величин тепловой мощности (номинальной тепловой мощности и минимальной мощности источника тепла)

. Заявленная объемная концентрация CO
2 дымовых газов может быть также определена для обеих величин тепловой мощности по
таблицам B.1 и
B.2 ГОСТ Р 59978.1-2022.
Расчетное содержание CO
2 в дымовых газах в
j источнике тепла

, для двух режимов эксплуатации "эксплуатация при номинальной тепловой мощности" и "эксплуатация при минимальной тепловой мощности" должно определяться по следующему уравнению:
- для источника тепла на жидком и газообразном топливе и для источника тепла на твердом топливе с автоматической подачей:

(12)
В других случаях:

,
где

- расчетное содержание CO
2 в дымовых газах источника тепла
j, %;
- расчетный массовый расход дымовых газов источника тепла
j, кг/с;

- заявленный массовый расход дымовых газов источника тепла
j, кг/с;

- заявленное содержание CO
2 в дымовых газах источника тепла
j, %.
Для расчета конструкции для удаления дымовых газов под разрежением необходимо запросить у производителя источника тепла значение допустимого разрежения на PWmax, а для расчета конструкции для удаления дымовых газов с избыточным давлением запросить у производителя источника тепла значение необходимого избыточного давления PWOmin, если применимо.
7 Характеристики конструкции для удаления дымовых газов и соединительных элементов
Среднее значение шероховатости (
rj и/или
rv,j) и термическое сопротивление [

и/или

] должны определяться для каждого соединительного элемента и для каждой секции конструкции для удаления дымовых газов (см.
ГОСТ Р 59978.1-2022,
пункт 5.6.2).
8 Исходные значения для расчета
Основные значения расчета должны быть определены для каждой секции системы, если иное не указано ниже.
8.2.1 Температура наружного воздуха (TL)
При расчете температуры наружного воздуха (
TL) см.
ГОСТ Р 59978.1-2022,
подпункт 5.7.1.2; значение действует как единое для всех секций конструкции для удаления дымовых газов.
8.2.2 Температура окружающего воздуха (Tu)
При расчете температуры окружающего воздуха (
Tu) см.
ГОСТ Р 59978.1-2022,
подпункт 5.7.1.3.
8.3 Давление наружного воздуха (PL)
При расчете давления наружного воздуха (
PL) см.
ГОСТ Р 59978.1-2022,
подпункт 5.7.2. Значение едино для всех секций конструкции для удаления дымовых газов.
8.4.1 Газовая постоянная воздуха (RL)
При расчете газовой постоянной воздуха (
RL) см.
ГОСТ Р 59978.1-2022,
подпункт 5.7.3.1. Значение едино для всех секций конструкции для удаления дымовых газов.
8.4.2 Газовая постоянная дымовых газов (R)
При расчете газовой постоянной дымовых газов (
R) см.
ГОСТ Р 59978.1-2022,
подпункт 5.7.3.2.
Уравнение (19) в этом стандарте должно использоваться для газовых смесей.
8.5 Плотность наружного воздуха 
При расчете плотности наружного воздуха

см.
ГОСТ Р 59978.1-2022,
пункт 5.7.4, значение действует как единое для всех секций конструкции для удаления дымовых газов.
8.6 Удельная теплоемкость дымовых газов (cp)
При расчете удельной теплоемкости дымовых газов (
cp) см.
ГОСТ Р 59978.1.
Для газовых смесей следует использовать
формулы (22) и
(21) настоящего стандарта.
8.7 Содержание водяных паров
и температура точки росы (Tsp)
При расчете содержания водяных паров

и температуры точки росы (
Tsp) см.
ГОСТ Р 59978.1-2022,
пункт 5.7.6.
Для газовых смесей следует использовать
уравнение (18) настоящего стандарта.
8.8 Поправочный коэффициент при отсутствующей температурной устойчивости (SH)
Значение едино для всех секций конструкции для удаления дымовых газов.
Чтобы проверить условие для массового расхода и условие по давлению для минимального отрицательного давления и максимального избыточного давления, следует использовать SH = 0,5 для каждой секции конструкции для удаления дымовых газов;
для максимального разрежения или минимального избыточного давления поправочный коэффициент на отсутствие температурной стабильности должен быть SH = 1.
8.9 Аэродинамический коэффициент стабильности потока (SE)
Для расчета минимального отрицательного давления конструкции для удаления дымовых газов с разрежением необходимо использовать коэффициент стабильности потока SE = 1,5. Однако, если точно контролируется работа источника тепла и конструкции для удаления дымовых газов (например, индустриальная конструкция с постоянным контролем), а также для источников тепла, не использующих воздух помещения и оборудованных вентиляторными горелками, следует использовать значение 1,2.
Для расчета максимального избыточного давления в конструкциях для удаления дымовых газов с избыточным давлением необходимо использовать коэффициент стабильности потока SE = 1,2.
Для воздушного канала следует использовать коэффициент стабильности потока SEB = 1,2.
Для расчета максимального отрицательного давления или минимального избыточного давления коэффициенты стабильности потока SE и SEB должны быть равны 1.
8.10 Коэффициент теплоотдачи с внешней поверхности
При расчете коэффициента теплоотдачи с внешней поверхности см.
ГОСТ Р 59978.1-2022,
подпункт 5.8.3.3.
Приведенные в дальнейшем температуры необходимо рассчитывать по
ГОСТ Р 59978.1-2022,
подраздел 5.8:
- расчетная температура дымовых газов источника тепла (
TWc,j) с учетом характеристических значений источника тепла
[формула (11)];
- средние температуры дымовых газов в соединительных элементах (TmV,j);
- температуры дымовых газов в конце соединительных элементов (ToV,j);
- температуры смешения на входе в секцию конструкции для удаления дымовых газов [T
e,j,
формула (7)];
- средние температуры отдельных секций конструкции для удаления дымовых газов (Tm,j);
- температуры дымовых газов на конце каждой из секций конструкции для удаления дымовых газов (To,j);
- температуры внутренней стенки на конце каждой из секций конструкции для удаления дымовых газов (Tiob,j).
Соответствующие формулы для расчета температур собраны вместе в таблице 1. Массовый расход и содержание CO
2 в дымовых газах в соединительных элементах рассчитываются по
формулам (14) и
(17).
Таблица 1
Наименование | Формула | Единица измерения |
Средняя температура дымовых газов в соединительном элементе TmV,j | | К |
Температура дымовых газов на выходе из соединительного элемента ToV,j | ToV,j = TuV,j + (TWc,j - TuV,j)·exp(-KV,j) | К |
Коэффициент охлаждения в соединительном элементе KV,j | | - |
Коэффициент теплопередачи соединительного элемента kV,j (проверка массового расхода и условия по давлению) | | Вт/м2·К |
Коэффициент теплопередачи соединительного элемента kV,j (проверка условия по температуре) | | Вт/м2·К |
Коэффициент теплоотдачи с внутренней поверхности соединительного элемента | | Вт/м2·К |
Коэффициент Нуссельта NuV,j | | - |
Коэффициент Прандтля PrV,j | | - |
Число Рейнольдса ReV,j | | - |
Средняя температура дымовых газов Tm,j | | К |
Температура дымовых газов на выходе из секции j конструкции для удаления дымовых газов To,j | To,j = Tu,j + (Te,j - Tu,j)·exp(-Kj) | К |
Коэффициент охлаждения секции j конструкции для удаления дымовых газов Kj | | - |
Коэффициент теплопередачи kj (проверка массового расхода и условия по давлению) | | Вт/м2·К |
Коэффициент теплопередачи kj (проверка условия по температуре) | | Вт/м2·К |
Коэффициент теплоотдачи с внутренней поверхности  | | Вт/м2·К |
Коэффициент Нуссельта Nuj | | - |
Коэффициент Прандтля Prj | | - |
Число Рейнольдса Rej | | - |
В местах входа дымовых газов в секцию конструкции для удаления дымовых газов следует рассчитывать температуру дымовых газов, содержание CO2- и H2O-, а также газовую постоянную и удельную теплоемкость.
10.2 Массовый расход дымовых газов 
Массовый расход дымовых газов

, кг/с, в секции
j конструкции для удаления дымовых газов рассчитывается по формулам (13) и
(14):

, (13)

. (14)
10.3 Температура дымовых газов на входе в участок конструкции для удаления дымовых газов (Te,j)
Температура дымовых газов Te,j, К, в секции j конструкции для удаления дымовых газов нужно рассчитывать по формуле (15). Чтобы упростить расчет, можно принять, что удельная теплоемкость дымовых газов в соединительном элементе j и на расположенном перед ним участке j - 1 относится к средней температуре дымовых газов.

. (15)
10.4 Содержание CO2 в дымовых газах в секции конструкции для удаления дымовых газов 
Содержание CO
2 
, % от объема, в секции конструкции для удаления дымовых газов рассчитывается по формуле (16):

(16)
Содержание CO2, % от объема, в дымовых газах в соединительном элементе рассчитывается по формуле (17):

. (17)
10.5 Содержание H2O в дымовых газах 
Содержание H
2O, % от объема, в секции
j конструкции для удаления дымовых газов

рассчитывают по формуле (18):

. (18)
Величину

определяют для всех видов топлива устройства для сжигания топлива
j по
таблице B.1 ГОСТ Р 59978.1-2022.
10.6 Газовая постоянная дымовых газов (Rj)
Газовую постоянную (Rj), Дж/кг·К, в секции j конструкции для удаления дымовых газов рассчитывают по формуле

. (19)
Величину
RV,j определяют для всех видов топлива устройства для сжигания топлива
j по
таблице B.1 ГОСТ Р 59978.1-2022.
10.7 Характеристики дымовых газов
10.7.1 Удельная теплоемкость (CpV,j, Cp,j)
Удельную теплоемкость дымовых газов в соединительном элементе CpV,j, Дж/кг·К, рассчитывают по формуле

. (20)
Факторы
fc0,j,
fc1,j,
fc2,j и
fc3,j для определения
CpV,j для всех видов топлива для конструкции для удаления дымовых газов
j по
таблице B.1 ГОСТ Р 59978.1-2022.
Удельная теплоемкость Cp,j, Дж/кг·К, дымовых газов на участке j конструкции для удаления дымовых газов рассчитывается по формуле (21):

. (21)
Факторы fci,j, Дж/кг·К, для определения CpV,j определяют по следующему уравнению:

, (22)
Если все источники тепла, подключенные к конструкции для удаления дымовых газов, работают на одинаковом топливе, то факторы
fci,j(
fc0,j,
fc1,j,
fc2,j и
fc3,j) могут определяться по
таблице B.1 ГОСТ Р 59978.1-2022.
10.7.2 Коэффициент теплопроводности дымовых газов (
,
)
Коэффициент теплопроводности дымовых газов, Вт/м
2·К, в секции
j конструкции для удаления дымовых газов

и в соединительном элементе
j 
определяют по следующим формулам:

, (23)

. (24)
10.7.3 Динамическая вязкость (
,
)
Динамическую вязкость

и

, Н·с/м
2, определяют по следующим формулам:

, (25)

. (26)
Описания для формул в разделе 10:

- массовый расход дымовых газов в секции
j - 1 конструкции для удаления дымовых газов, кг/с;

- массовый расход дымовых газов в соединительном элементе
j, кг/с;
CpV,j - удельная теплоемкость дымовых газов в соединительном элементе j, Дж/кг·К;
ToV,j-1 - температура дымовых газов на выходе из соединительного элемента j, К;
Cp,j - удельная теплоемкость дымовых газов в секции j конструкции для удаления дымовых газов, Дж/кг·К;
Rj-1 - удельная газовая постоянная дымовых газов в секции j конструкции для удаления дымовых газов, Дж/кг·К;
RV,j - удельная газовая постоянная дымовых газов в соединительном элементе j, Дж/кг·К;

- объемная концентрация CO
2 в соединительном элементе
j, % от объема;

- объемная концентрация CO
2 в секции
j конструкции для удаления дымовых газов; % от объема;
tmV,j - средняя температура дымовых газов в соединительном элементе j, °C;
tm,j - средняя температура дымовых газов в секции j конструкции для удаления дымовых газов, °C;
t0,j-1 - температура дымовых газов на выходе из секции j конструкции для удаления дымовых газов, К;
fci,j - факторы для определения удельной теплоемкости устройства для сжигания топлива
j (см. ГОСТ Р 59978.1-2022,
таблица 1);

- объемная концентрация CO
2 в секции
j - 1 конструкции для удаления дымовых газов; % от объема;

- объемная концентрация H
2O в секции
j - 1 конструкции для удаления дымовых газов; % от объема;

- объемная концентрация H
2O в соединительном элементе
j, % от объема.
10.7.4 Температура точки росы (Tsp)
Температура точки росы должна быть рассчитана в соответствии с
ГОСТ Р 59978.1-2022,
пункт 5.7.6.
В случае комбинации источников тепла, в том числе на угле и/или тяжелой нефти, повышение точки росы для каждого топлива должно быть рассчитано в соответствии с
ГОСТ Р 59978.1-2022,
пункт 5.7.6, и для определения температуры точки росы должно использоваться самое высокое значение.
11 Плотность и скорость дымовых газов
Среднюю плотность дымовых газов

в секции конструкции для удаления дымовых газов, кг/м
3, рассчитывают по следующей формуле:

. (27)
Среднюю скорость wm,j дымовых газов в секции конструкции для удаления дымовых газов, м/с, рассчитывают по следующей формуле:

. (28)
Среднюю плотность

дымовых газов в соединительном элементе, кг/м
3, рассчитывают по следующей формуле:

. (29)
Среднюю скорость wVm,j дымовых газов в соединительном элементе, м/с, рассчитывают по следующей формуле:

. (30)
Описания для формул в разделе 11:

- средняя плотность дымовых газов в секции
j конструкции для удаления дымовых газов, кг/м
3;
PL - давление наружного воздуха, Па;
Rj - удельная газовая постоянная дымовых газов в секции j конструкции для удаления дымовых газов, Дж/кг·К;
Tm,j - средняя температура дымовых газов в секции j конструкции для удаления дымовых газов, К;
Aj - площадь поперечного сечения секции j конструкции для удаления дымовых газов, м2;

- средняя плотность дымовых газов в соединительном элементе
j, кг/м
3;
RV,j - удельная газовая постоянная дымовых газов в соединительном элементе j, Дж/кг·К;
TmV,j - средняя температура дымовых газов в соединительном элементе j, К;

- массовый расход дымовых газов в соединительном элементе
j, кг/с;
AV,j - площадь поперечного сечения соединительного элемента j, м2;

- массовый расход дымовых газов в секции
j конструкции для удаления дымовых газов, кг/с.
12.1 Давление на каждом вводе дымовых газов в секции конструкции для удаления дымовых газов
Наименьшее и максимальное разрежение на вводе дымовых газов в секцию
j конструкции для удаления дымовых газов (
PZ,j и
PZmax,j) возникают из-за разницы суммированных самотяг и суммированных сопротивлений всех секций конструкции для удаления дымовых газов, расположенных выше входа дымовых газов, и рассчитываются с помощью
формул (2) и
(6a).
12.1.2 Избыточное давление
Максимальное и наименьшее избыточное давление на входе дымовых газов в секции
j конструкции для удаления дымовых газов (
PZO,j и
PZOmin,j) возникает из разницы между суммарным давлением сопротивления и суммарным давлением холостого хода всех секций конструкции для удаления дымовых газов, которые находятся над входом дымового газа и используются в
формулах (3b) и
(6d).
12.1.3 Статическое давление в секции конструкции для удаления дымовых газов (PH,j)
Статическое давление PH,j, Па, в секции j конструкции для удаления дымовых газов рассчитывают по следующей формуле:

, (31)
где Hj - высота по вертикали секции j конструкции для удаления дымовых газов, м;
g - ускорение свободного падения, равное 9,81 м/с2;

- плотность наружного воздуха, кг/м
3;

- средняя плотность дымовых газов в секции
j конструкции для удаления дымовых газов, кг/м
3.
12.1.4 Давление сопротивления в секции j конструкции для удаления дымовых газов (PR,j)
12.1.4.1 Общие положения
Давление сопротивления PR,j, Па, в секции j конструкции для удаления дымовых газов рассчитывают по следующей формуле:

, (32)
где PR,j - изменение давления вследствие изменения скорости от секции j до секции j + 1 конструкции для удаления дымовых газов, Па;
SE - аэродинамический коэффициент стабильности потока;

- коэффициент трения дымового тракта на участке конструкции для удаления дымовых газов;
Lj - длина секции j конструкции для удаления дымовых газов, м;
Dh - внутренний гидравлический диаметр секции у конструкции для удаления дымовых газов, м;

- сумма коэффициентов местных сопротивлений секции
j конструкции для удаления дымовых газов;

- средняя плотность дымовых газов в секции
j конструкции для удаления дымовых газов, кг/м
3;
wm,j - средняя скорость дымовых газов в секции j конструкции для удаления дымовых газов, м/с;
SEM,j - аэродинамический коэффициент стабильности потока при изменении давления вследствие потока дымовых газов от одного из ответвлений (SEM,j = SE при P13,j >= 0; SEM,j = 1,0 при P13,j < 0);
SEG,j - аэродинамический коэффициент стабильности потока при изменении давления вследствие изменения скорости дымовых газов (SEG,j = SE при PG,j >= 0; SEG,j = 1,0 при PG,j < 0);
PG,j - изменение давления вследствие смешения в области входа дымовых газов в секцию j + 1 конструкции для удаления дымовых газов, Па.
12.1.4.2 Коэффициент трения трубы шахты дымовых газов

Для расчета коэффициента трения дымоотвода
j секции конструкции для удаления дымовых газов,

, см.
ГОСТ Р 59978.1-2022,
подпункт 5.10.3.3. Для определения среднего коэффициента шероховатости внутренней стены (секции конструкции для удаления дымовых газов и соединительного элемента) см.
ГОСТ Р 59978.1-2022,
таблица B.4.
12.1.4.3 Коэффициенты местного сопротивления
Для определения коэффициентов местного сопротивления см.
ГОСТ Р 59978.1-2022,
таблица B.7.
12.1.4.4 Изменение давления дымовых газов вследствие изменения их скорости
Для определения изменения давления дымовых газов вследствие изменения их скорости см.
ГОСТ Р 59978.1-2022,
подраздел 5.10.
Изменение давления PG,j, Па, от секции j к секции j + 1 конструкции для удаления дымовых газов рассчитывается по следующей формуле:

, (33)
где

- средняя плотность дымовых газов в секции
j конструкции для удаления дымовых газов, кг/м
3;
wm,j - средняя скорость дымовых газов в секции j конструкции для удаления дымовых газов, м/с.
Для последней секции конструкции для удаления дымовых газов (устье конструкции):
PG,N = 0
12.1.4.5 Потери давления вследствие смешения дымовых газов на входе в секцию конструкции для удаления дымовых газов (P13,j)
Изменение давления вследствие смешения дымовых газов на входе
P13,j, Па (см.
рисунок 3), приписывается секции, начинающейся от входа дымовых газов, и рассчитывается по следующей формуле:

, (34)

(35)
Формула (35) действует в случае, если диаметр конструкции для удаления дымовых газов не меняется, при

;

;

.
Для

коэффициент сопротивления в точке смешения может рассматриваться как сумма отдельных коэффициентов местных сопротивлений соответствующих сечений (см.
разделы 6 и
8 или
ГОСТ Р 59978.1-2022,
таблица B.8) и когда в точке смешения действует равенство

,
где

- коэффициент местного сопротивления в точке подключения соединительного элемента
j + 1 к секции
j + 1 конструкции для удаления дымовых газов;

- средняя плотность дымовых газов в секции
j + 1 конструкции для удаления дымовых газов, кг/м
3;
wm,j+1 - средняя скорость дымовых газов в секции j + 1 конструкции для удаления дымовых газов, м/с;

- массовый расход дымовых газов в соединительном элементе
j + 1, кг/с;

- массовый расход дымовых газов в секции
j + 1 конструкции для удаления дымовых газов, кг/с;
A - площадь поперечного сечения конструкции для удаления дымовых газов, м2;
AV,j+1 - площадь поперечного сечения соединительного элемента j + 1, м2;

- угол подключения соединительного элемента
j + 1 в участок
j + 1 конструкции для удаления дымовых газов, град.
Рисунок 3 - Потери давления вследствие смешения
дымовых газов при входе в секцию j + 1 конструкции
для удаления дымовых газов
Коэффициенты местных сопротивлений, которые используются в этом расчете, основываются на допущении, что между отдельными точками входа потока дымовых газов в конструкцию для удаления дымовых газов не встречается никаких препятствий на пути потока дымовых газов.
Препятствия могли бы возникнуть при прерывании или изменении направления движения потока дымовых газов.
12.2 Необходимое разрежение и допустимое разрежение на входе дымовых газов в вертикальной части конструкции для удаления дымовых газов (PZe и PZemax), а также максимально допустимое избыточное давление и требуемое избыточное давление на входе дымовых газов в вертикальной части конструкции для удаления дымовых газов (PZOe и PZOemin)
12.2.1 Необходимое разрежение и допустимое разрежение
Необходимое разрежение
PZe,j на выходе из соединительного элемента
j является суммой расчетного давления, необходимого для преодоления сопротивления
PWc,j источника тепла
j, расчетного давления, необходимого для преодоления сопротивления соединительного элемента
PV,j, и расчетного давления, необходимого для преодоления сопротивления приточного воздуха
PBc,j, и должно быть рассчитано с помощью
формулы (3).
Допустимое отрицательное давление
PZemax,j на выходе из соединительного элемента
j представляет собой сумму расчетного давления, необходимого для преодоления сопротивления
PWc,j источника тепла, расчетного давления, сопротивления соединительного элемента
PV,j и расчетного давления необходимого для преодоления сопротивления приточного воздуха
PBc,j, и должно быть рассчитано с использованием
формулы (6a).
Примечание - Значения
PWc,j,
PV,j и
PBc,j в
формулах (3) и
(6a) могут различаться, поскольку условия разные.
12.2.2 Максимально допустимое избыточное давление и необходимое избыточное давление
Максимально допустимое избыточное давление
PZOe,j на выходе из соединительного элемента
j представляет собой разницу между расчетным располагаемым давлением, необходимым для преодоления сопротивления
PWOc,j источника тепла
j, и суммой расчетного давления сопротивления соединительного элемента
PV,j и расчетного давления, необходимого для преодоления сопротивления приточного воздуха
PBc,j, и рассчитывается с использованием
формулы (3c).
Требуемое избыточное давление P
ZOmin,j на выходе соединительного элемента
j представляет собой разницу между расчетным доступным давлением, необходимым для преодоления сопротивления
PWOc,j источника тепла
j, и суммой расчетного давления сопротивления соединительного элемента
PV,j и расчетного давления, необходимого для преодоления сопротивления для приточного воздуха
PBc,j, и рассчитывается с использованием
формулы (6d).
Примечание - Значения
PWc,j,
PV,j и
PBc,j в
формулах (3) и
(6d) могут различаться, поскольку условия разные.
12.2.3 Расчетное давление, необходимое для преодоления сопротивления соединительного элемента (PV,j)
12.2.3.1 Общие положения
Давление, необходимое для преодоления сопротивления соединительного элемента PV,j, рассчитывается по следующей формуле:
PV,j = PRV,j - PHV,j. (36)
12.2.3.2 Статическое давление в соединительном элементе (PHv,j)
Для определения статического давления в соединительном элементе (
PHV,j) см.
ГОСТ Р 59978.1-2022,
подпункт 5.11.3.2.
12.2.3.3 Аэродинамическое сопротивление соединительного элемента (
PRV,j)
Аэродинамическое сопротивление соединительного элемента PRV,j, Па, рассчитывают по следующей формуле:

, (37)
где SE - аэродинамический коэффициент стабильности потока;

- коэффициент трения трубы соединительного элемента
j, м;
LV,j - длина соединительного элемента j, м;
DhV,j - внутренний гидравлический диаметр соединительного элемента, м;

- сумма отдельных коэффициентов местных сопротивлений соединительного элемента (без учета эффекта смешения на входе в секцию конструкции для удаления дымовых газов);

- средняя плотность дымовых газов в соединительном элементе, кг/м
3;
wmV,j - средняя скорость дымовых газов в соединительном элементе, м/с;
SEMV,j - аэродинамический коэффициент стабильности потока для P23,j (SEMV,j = SE при P23,j >= 0; SEMV,j = 1,0 при P23,j < 0);
SEGV,j - аэродинамический коэффициент стабильности потока при изменении давления вследствие изменения скорости дымовых газов (SEGV,j = SE при PGV,j >= 0; SEGV,j = 1,0 при PGV,j < 0).
Перепад давления PGV,j, Па, основан на разнице скоростей дымовых газов в соединительном элементе и в соответствующей в секции j конструкции для удаления дымовых газов и может быть рассчитан по следующей формуле:

, (38)
Изменение давления вследствие поворота и смешения в области входа дымовых газов в участок j дымовой трубы P23,j (представлено на рисунке 4).
Рисунок 4 - Потери давления P23,j вследствие изменения
направления потока дымовых газов и подмешивания в области
входа дымовых газов в секцию j конструкции
для удаления дымовых газов
P23,j рассчитывается по следующей формуле:

, (39)
где

- отдельные коэффициенты местных сопротивлений при изменении направления потока и смешении потоков в трубе для отвода дымовых газов от соединительного элемента в секцию
j конструкции для удаления дымовых газов;

- средняя плотность дымовых газов в секции
j конструкции для удаления дымовых газов, в кг/м
3;
wm,j - средняя скорость дымовых газов в секции j конструкции для удаления дымовых газов, м/с.

(40)
где

- массовый расход дымовых газов в соединительном элементе
j, кг/с;

- массовый расход дымовых газов в секции
j конструкции для удаления дымовых газов, кг/с;
AV,j - площадь поперечного сечения соединительного элемента j, м2;
A - площадь поперечного сечения конструкции для удаления дымовых газов, м2;

- угол подключения соединительного элемента к секции конструкции для удаления дымовых газов, град.
Для

коэффициент сопротивления в точке смешения может рассматриваться как сумма отдельных коэффициентов местных сопротивлений соответствующих сечений (см.
разделы 6 и
8 или
ГОСТ Р 59978.1-2022,
таблица B.8, формы 6 и
8) и когда в точке смешения действует равенство

.
Коэффициенты местных сопротивлений, которые используются в этом расчете, основываются на допущении, что между отдельными точками входа потока дымовых газов в конструкцию для удаления дымовых газов не встречается никаких препятствий на пути потока дымовых газов.
Это может быть достигнуто соответствующим разделением или с помощью дефлекторов потока дымовых газов.
12.2.3.4 Отдельные коэффициенты местных сопротивлений

При расчете отдельных коэффициентов местных сопротивлений

см.
ГОСТ Р 59978.1-2022,
подпункт 5.10.3.3.
Значения для устройств, которые безопасно отключают источники тепла, чтобы предотвратить обратный поток дымовых газов, должны быть предоставлены производителем устройства.
12.2.4 Расчет необходимого давления для преодоления сопротивления приточного воздуха (PBc,j)
Необходимое давление для преодоления сопротивления приточного воздуха (
PB,j) должно быть рассчитано в соответствии с
ГОСТ Р 59978.1-2022,
пункт 5.11.4.
Необходимое (отрицательное) давление для преодоления сопротивления приточного воздуха PBc,j, Па, должно определяться с помощью следующей формулы:

, (41)
где PB,j - необходимое планируемое давление для преодоления сопротивления приточного воздуха источника тепла j, Па;

- располагаемый массовый расход дымовых газов в источнике тепла
j, кг/с;

- декларируемый массовый расход дымовых газов источника тепла
j, кг/с;
n - экспонента (показатель степени) в зависимости от типа подвода воздуха:
- через имеющееся отверстие (например, помещение котельной с отверстием для приточного воздуха): n = 2;
- через имеющиеся щели и неплотности (например, оконные рамы в помещениях общего назначения): n = 1,5.
Если в помещении общего назначения несколько источников тепла подключено к одной секции конструкции для удаления дымовых газов, в
уравнение (41) необходимо подставить для

и

сумму потоков дымовых газов от этих источников тепла.
13 Температура внутренней стенки
Температура внутренней стенки
Tiob,j секции
j конструкции для удаления дымовых газов должна быть рассчитана аналогично ГОСТ Р 59978.1-2022,
подраздел 5.12, с использованием формул в таблице 2.
Таблица 2
Формулы для расчета температуры внутренней стенки на конце
участка конструкции для удаления дымовых газов
Наименование | Формула | Единица измерения |
Коэффициент теплопередачи в секции конструкции для удаления дымовых газов вверху kob,j | | Вт/м2·К |
Температура дымовых газов на внутренней стенке Tiob,j | Tuo,j - см. таблицу 2 | К |
Участок j < N |  , если все части одного участка одной конструкции для удаления дымовых газов расположены снаружи;  , если участок конструкции для удаления дымовых газов полностью находится в здании;  , если участок конструкции для удаления дымовых газов не полностью изолирован | Вт/м2·К |
Участок j = N | В случае проветриваемой конструкции обшивки с воздушными прослойками от 1 до 5 см может устанавливаться величина  .  во всех других случаях при отсутствии отделки верхней части дымовой трубы или с учетом расчетного дополнительного термического сопротивления изолированной верхней части дымовой трубы.  - определение по ГОСТ Р 59978.1-2022, A.1 приложения A. | Вт/м2·К |
14.1 Основные принципы метода расчета
Расчет основан на определении распределения массовых потоков в коллекторе (см.
рисунок 5).
Условие по давлению должно соблюдаться на каждом входе дымовых газов в коллекторную секцию
[формула (42)]. После определения такого распределения должны быть выполнены следующие условия:
b) условие по давлению для минимального разрежения или максимального избыточного давления [
формула (47) или
(47b) и
(47c)];
c) условие по давлению для максимального разрежения или минимального избыточного давления [
формула (47a) или
(47d)];
Предполагается, что влияние ветровой нагрузки в конструкции для удаления дымовых газов сводится к минимуму посредством расположения входных отверстий и устья. Поэтому можно принять PL = 0 и не учитывать в формулах.
1 - конструкция для удаления дымовых газов; 2 - коллекторная
секция j, l; 3 - источник тепла j, l + 1; 4 - источник тепла
j, p; 5 - источник тепла j, 2; 6 - источник тепла j, 1;
7 - соединительный элемент; 8 - коллекторная секция j, 1
Рисунок 5 - Пример каскадного подключения и нумерации
источников тепла и коллекторной секции
14.2.1 Каскадное подключение при разрежении
Для каждой коллекторной секции j, l при всех режимах эксплуатации должны выполняться условия следующих формул
|
PZC,j,l -
PZeC,j,l| <= 0,1, (42)

, (43)
PZeC,j,l = P
WC,j,l +
PV,j,l +
PBC,j,l, (44)
где PZC,j,l - разрежение на входе дымовых газов в коллекторную секцию j, l, Па;
PZeC,j,l - необходимое рабочее давление на входе дымовых газов в коллекторную секцию j, l, Па;
PZ,j - рабочее давление на входе дымовых газов в секцию j конструкции для удаления дымовых газов, Па;
NCj - количество источников тепла, подключенных к коллектору j, шт;
PHC,j,n - самотяга в коллекторной секции j, n, Па;
PRC,j,n - аэродинамическое сопротивление в коллекторной секции j, n, Па;
PWC,j,l - расчетное рабочее давление конструкции источника тепла j, l, Па;
PV,j,l - расчетное аэродинамическое сопротивление соединительного элемента источника тепла j, l Па;
PBC,j,l - расчетное рабочее давление для трубопровода приточного воздуха источника тепла j, l, Па.
14.2.2 Каскадное подключение с избыточным давлением
Для каждой коллекторной секции j, l при всех режимах эксплуатации должны выполняться условия следующих формул:
|PZOeC,j,l - PZOC,j,l| <= 0,1, (44a)

, (44b)
PZOeC,j,l = PWOC,j,l - PV,j,l - PBC,j,l, (44c)
где PZOeC,j,l - максимально допустимое избыточное давление на входе дымовых газов в секцию j конструкции для удаления дымовых газов, Па;
PZOC,j,l - избыточное давление на входе дымовых газов в коллекторную секцию j, l, Па;
PZO,j - максимальное избыточное давление на входе дымовых газов в секции j конструкции для удаления дымовых газов, Па;
NCj - количество источников тепла, подключенных к коллектору j, шт.;
PRC,j,n - давление сопротивления в коллекторной секции j, n, Па;
PHC,j,n - самотяга в коллекторной секции j, n, Па;
PWOC,j,l - расчетное располагаемое давление источника тепла j, l, Па;
PV,j,l - расчетное сопротивление соединительного элемента источника тепла j, l, Па;
PBC,j,l - расчетное давление воздуха для горения к источнику тепла j, l, Па.
14.3 Условия для массового расхода
Формула (45) или соответственно
(46) должна выполняться для всех условий эксплуатации (см.
5.6).
Для всех находящихся в работе источников тепла при номинальной или минимальной тепловой мощности:

, (45)
и для всех неработающих источников тепла:

, (46)
где

- расчетный массовый расход дымовых газов источника тепла
j,
l, кг/с;

- заявленный массовый расход дымовых газов источника тепла
j,
l, кг/с.
Если в конструкцию встроен клапан для дымовых газов, аэродинамическое сопротивление массового потока дымовых газов принимают равным 0, если в распоряжении нет точных данных.
14.4.1 Конструкции для удаления дымовых газов при разрежении
Для каскадного подключения при разрежении необходимо проверить разрежение в коллекторе (
PZC,j,l) превышает или равно разрежению в помещении для установки источника тепла при расчетных соотношениях давления подачи приточного воздуха. Проверка условий давления должна выполняться при тех же условиях, что и проверка условий массового расхода (см.
14.3 и
14.6). Необходимо доказать следующее соотношение:
где PZC,j,l - разрежение на входе дымовых газов в коллекторной секции j, l, Па;
PBC,j,l - расчетное давление приточного воздуха источника тепла в коллекторной секции
j,
n (см.
12.2.4), Па.
Если необходимо, нужно также проверить для всех соответствующих условий эксплуатации (см.
5.6), действительно ли разрежение (тяга) в коллекторе (
PZCmax,j,l) меньше или равно допустимому разрежению (
PZeCmax,j,l), создаваемому источником тепла
(47a).
Это условие по давлению необходимо проверить с помощью отдельного расчета с использованием вновь рассчитанных массовых потоков дымовых газов, которые соответствуют условиям давления при температуре наружного воздуха
TL = 258,15 К (
tL = 15 °C, см.
ГОСТ Р 59978.1).

, (47a)
где PZCmax,j,l - максимально допустимое разрежение на входе дымовых газов в коллекторную секцию j, l, в Па;
PZ,j - разрежение на входе дымовых газов в секции j системы удаления дымовых газов, Па;
NCj - количество источников тепла, подключенных к коллектору j, шт;
PHC,j,n - статическое давление в коллекторной секции j, n, Па;
PRC,j,n - давление сопротивления в коллекторной секции j, l, Па;
PWmax,j,l - допустимое разрежение источника тепла j, l, Па;
PV,j,l - расчетное давление сопротивления соединительного элемента источника тепла j, l; Па;
PBC,j,l - расчетное давление приточного воздуха источника тепла j,
l, (см.
п. 12.2.4), Па;
PZemax,j,l - максимально допустимое разрежение на входе дымовых газов в коллекторную секцию j, l, Па.
Примечание - Значения
PHC,j,n и
PRC,j,n в
формулах (43) и
(47a) обычно различаются, потому что условия разные.
14.4.2 Конструкции для удаления дымовых газов с избыточным давлением
В случае каскадных подключений в конструкциях с избыточным давлением необходимо также проверить, не превышает ли максимальное избыточное давление в соединительном элементе и в коллекторе избыточное давление, на которое оба рассчитаны. Проверка условий давления должна выполняться в тех же условиях, что и проверка условий массового расхода (см.
14.3 и
14.6). Должны быть проверены следующие отношения:
PZOC,j <=
PZCexcess, (47b)
PZOC,j PV,j,l <=
PZVexcess, (47c)
где PZOC,j - избыточное давление на входе дымовых газов в секции j конструкции для удаления дымовых газов, Па;
PZCexcess - максимально допустимое давление согласно обозначению коллектора, Па;
PV,j,l - расчетное давление сопротивления соединительного элемента коллекторной секции j, n, Па;
PZCexcess - максимально допустимое давление по маркировке соединительного элемента, Па.
Также необходимо проверить, не превышает ли избыточное давление в коллекторе (
PZOCmin,j,l) допустимое минимальное избыточное давление (
PZOCemin,j,l), вызванное соответствующими условиями эксплуатации источника тепла (см.
5.6).
Это условие по давлению необходимо проверить с помощью отдельного расчета с использованием вновь рассчитанных массовых потоков дымовых газов, которые соответствуют условиям давления при температуре наружного воздуха
TL = 258,15 К (
tL = 15 °C, см.
ГОСТ Р 59978.1).

, (47d)
где PZOCmin,j,l - минимальное избыточное давление при входе дымовых газов в коллекторную секцию, Па;
PZO,j - максимальное избыточное давление на входе дымовых газов в секции j конструкции для удаления дымовых газов, Па;
PRC,j,n - давление сопротивления коллекторной секции j, l, Па;
PHC,j,n - статическое давление в коллекторной секции j, n, Па;
PWOmin,j,l - требуемое избыточное давление источника тепла j, l, Па;
PBc,j,l - расчетное давление приточного воздуха источника тепла j, l, Па;
PV,j,l - расчетное давление сопротивления соединительного элемента источника тепла j, l; Па;
PZOCemin,j,l - необходимое избыточное давление на входе дымовых газов в коллекторную секцию, j, n, Па.
Примечание - Значения
PHC,j,n и
PRC,j,n в
формулах (44b) и
(47d) обычно различаются, потому что условия разные.
14.5 Условие по температуре
Условия по температуре проверяют отдельным расчетом, с учетом вновь рассчитанных величин массового расхода дымовых газов при соблюдении условия по давлению при температуре наружного воздуха от TL = Tuo.
где Tiob,j,l - температура внутренней стенки на выходе из коллекторной секции j, l, К;
Tg,j,l - предельная температура для коллекторной секции j, n, К.
Предельная температура
Tg,j,l для сухого режима эксплуатации равна температуре точки росы дымовых газов
Tsp,j,l (см.
8.6):
Tg,j,l =
Tsp,j,l.
Предельная температура Tg,j,l для влажного режима эксплуатации равна температуре замерзания воды: Tg,j,l = 273,15 К.
14.7 Давление в устье соединительного элемента и давление на входе дымовых газов в коллекторную секцию
14.7.1 Разрежение на входе дымовых газов в коллекторную секцию (PZC,j,l или PZOC,j,l)
14.7.1.1 Разрежение
Минимальное и максимальное разрежения на входе дымовых газов в коллекторную секцию
j,
l (
PZC,j,l и
PZCmax,j,l) должно быть рассчитано с использованием
формул (43) и
(47a).
14.7.1.2 Избыточное давление
Максимальное и минимальное избыточные давления на входе дымовых газов в коллекторную секцию
j,
l коллектора (
PZOC,j,l и
PZOCmin,j,l) должны быть рассчитаны с использованием
формул (44b) и
(47d).
14.7.1.3 Самотяга в коллекторной секции (PHC,j,l)
Самотягу PHC,j,l в коллекторной секции j, l рассчитывают по следующей формуле:

, (49)
где HC,j,l - эффективная высота коллекторной секции j, l, м;
g - ускорение свободного падения, равное 9,81 м/с2;

- плотность наружного воздуха, кг/м
3;

- средняя плотность дымовых газов в секции
j,
l, кг/м
3.
14.7.1.4 Аэродинамическое сопротивление коллекторной секции (PRC,j,l)
14.7.1.4.1 Общие положения
Аэродинамическое сопротивление (PRC,j,l) коллекторной секции j, l рассчитывают по следующей формуле:

, (50)
где SE - аэродинамический коэффициент стабильности потока;

- коэффициент трения трубы коллекторной секции
j,
l;
LC,j,l - длина коллекторной секции j, l, м;
DhC,j,l - внутренний гидравлический диаметр коллекторной секции, j, l, м;

- сумма отдельных коэффициентов местных сопротивлений коллекторной секции
j,
l;

- средняя плотность дымовых газов в коллекторной секции
j,
l, кг/м
3;
wmC,j,l - средняя скорость дымовых газов в коллекторной секции j, l, м/с;
SEMC,j,l - аэродинамический коэффициент стабильности потока при изменении давления вследствие слияния потоков (SEMC,j,l = SE при P13C,j,l >= 0; SEMC,j,l = 1,0 при P13C,j,l < 0);
P13C,j,l - потери давления при смешении дымовых газов на входе в коллекторную секцию j, l + 1, Па;
SEGC,j,l - аэродинамический коэффициент стабильности потока при изменении давления вследствие изменения скорости дымовых газов (SEGC,j,l = SE при PGC,j,l >= 0; SEGC,j,l = 1,0 при PGC,j,l < 0);
PGC,j,l - изменение давления вследствие изменения скорости дымовых газов от коллекторной секции j, l к секции j, l + 1, Па.
На последнем участке коллекторной секции
j,
NCj (там, где дымовые газы входят в конструкцию для удаления дымовых газов) используется значение
P23,j вместо значения

(
P23,j,l - потеря давления из-за отклонения и примеси дымовых газов на входе дымовых газов в секции
j конструкции для удаления дымовых газов, Па).
14.7.1.4.2 Коэффициент трения трубы соединительного элемента

Для расчета коэффициента трения трубы

коллекторной секции
j дымового канала конструкции для удаления дымовых газов см.
ГОСТ Р 59978.1-2022,
подпункт 5.10.3.3. Для определения среднего коэффициента шероховатости внутренней стенки (коллекторной секции и соединительного элемента) см.
ГОСТ Р 59978.1-2022,
таблица B.4.
14.7.1.4.3 Отдельные коэффициенты местных сопротивлений
Для расчета отдельных коэффициентов местных сопротивлений следует использовать
ГОСТ Р 59978.1-2022,
таблица B.7.
14.7.1.4.4 Изменение давления вследствие изменения скорости дымовых газов (PGC,j,l)
При расчете изменения давления вследствие изменения скорости дымовых газов (
PGC,j,l) см.
ГОСТ Р 59978.1-2022,
подпункт 5.10.3.2.
Изменение давления PGC,j,l от коллекторной секции j, l к секции j, l + 1 рассчитывается по следующей формуле:

, (51)
где

- средняя плотность дымовых газов в коллекторной секции
j,
l, кг/м
3;
wmCj,l - средняя скорость в коллекторной секции j, l, м/с;
Для последней секции коллектора j, NCj (исходя из точки входа дымовых газов в конструкцию для удаления дымовых газов):

, (52)
где

- средняя плотность дымовых газов в секции
j конструкции для удаления дымовых газов, кг/м
3;
wm,j - средняя скорость дымовых газов в секции j конструкции для удаления дымовых газов, м/с.
14.7.1.4.5 Потери давления вследствие подмешивания дымовых газов в участок коллектора (P13C,j,l)
Потери давления P13C,j,l вследствие подмешивания дымовых газов в коллекторной секции учитываются как аэродинамическое сопротивление коллекторной секции от входа дымовых газов и определяют по следующим формулам:

, (53)

(54)
где

- отдельные коэффициенты местного сопротивления в точке соединения соединительного элемента
j,
l + 1 и коллекторной секции
j,
l + 1;

- средняя плотность дымовых газов в коллекторной секции
j,
l + 1, кг/м
3;
wmC,j,l+1 - средняя скорость дымовых газов в коллекторной секции j, l + 1, м/с;

- массовый расход дымовых газов в соединительном элементе
j,
l + 1, кг/с;

- массовый расход дымовых газов в коллекторной секции
j,
l + 1, кг/с;
AC,j,l+1 - площадь поперечного сечения коллекторной секции j, l + 1, м2;
AV,j,l+1 - площадь поперечного сечения соединительного элемента j, l + 1, м2;
- угол входа дымовых газов соединительного элемента
j,
l + 1 в коллекторную секцию
j,
l + 1, град.
Для

коэффициент сопротивления в точке смешения может рассматриваться как сумма отдельных коэффициентов местных сопротивлений соответствующих сечений (см.
ГОСТ Р 59978.1-2022,
таблица B.8, формы 6 и
8) и когда в точке смешения действует равенство

.
14.7.1.4.6 Потери давления вследствие изменения направления и подмешивания дымовых газов при их входе в секцию конструкции для удаления дымовых газов (P23,j)
Для расчета потери давления вследствие изменения направления и подмешивания дымовых газов при их входе в секцию конструкции для удаления дымовых газов (
P23,j) см.
12.2.3.3.
В
формуле (40) AC,j,NCj подставляется вместо
AV,
j и

вместо

,
где

- площадь поперечного сечения коллекторной секции
j, NC
j, м
2;

- массовый расход дымовых газов в коллекторной секции
j, NC
j, кг/с.
14.7.1.5 Давление на входе дымовых газов в секции конструкции для удаления дымовых газов (PZ,j и PZmax,j или PZO,j и PZOmin,j)
14.7.1.5.1 Разрежение
Для расчета разрежения на входе дымовых газов в секцию конструкции для удаления дымовых газов (
PZ,j и
PZmax,j) см.
12.1.1.
где

- площадь поперечного сечения коллекторной секции
j + 1, NC
j+1, м
2;

- массовый расход дымовых газов в коллекторной секции
j + 1, NC
j+1, кг/с.
14.7.1.5.2 Избыточное давление
Для расчета максимального и минимального избыточного давления на входе дымовых газов в секции системы удаления дымовых газов (
PZO,j и
PZOmax,j) см.
12.1.2.
где

- площадь поперечного сечения коллекторной секции
j + 1, NC
j+1, м
2;

- массовый расход дымовых газов в коллекторной секции
j + 1, NC
j+1, кг/с.
14.7.2 Необходимое разрежение или максимально допустимое избыточное давление на выходе из соединительного элемента (PZeC,j,l, PZOeC,j,l)
14.7.2.1 Необходимое разрежение
Необходимое разрежение (
PZeC,j,l) на выходе из соединительного элемента
j,
l является суммой рассчитанного разрежения
PWc,j,l источника тепла
j,
l и расчетного давления сопротивления соединительного элемента
PV,j,l и расчетного давления для преодоления сопротивления приточного воздуха,
PBc,j,l. Это разрежение должно быть рассчитано согласно
формуле (44).
14.7.2.2 Максимально допустимое избыточное давление
Максимально допустимое избыточное давление (
PZOeC,j,l) на выходе из соединительного элемента
j,
l представляет собой разницу между расчетным доступным давлением
PWOc,j,l для преодоления сопротивления источника тепла
j,
l и суммой расчетного давления сопротивления соединительного элемента
PV,j,l и давления для преодоления сопротивления приточного воздуха
PBc,j,l и должно быть рассчитано в соответствии с
формулой (44).
14.7.2.3 Расчетное аэродинамическое сопротивление соединительного элемента (PV,j,l)
14.7.2.3.1 Общие положения
Расчетное аэродинамическое сопротивление соединительного элемента (PV,j,l) определяется по следующему уравнению:
PV,j,l = PRV,j,l - PHV,j,l. (55)
14.7.2.3.2 Самотяга в соединительном элементе (PHV,j,l)
14.7.2.3.3 Аэродинамическое сопротивление соединительного элемента (PRV,j,l)
Аэродинамическое сопротивление соединительного элемента PRV,j,l, Па, определяется по следующей формуле:

, (56)
где SE - аэродинамический коэффициент стабильности потока;

- коэффициент трения трубы соединительного элемента
j,
l, м;
LV,j,l - длина соединительного элемента j, l, м;
DhV,j,l - внутренний гидравлический диаметр соединительного элемента, м;

- сумма отдельных коэффициентов местных сопротивлений соединительного элемента (без учета эффекта смешения на входе в секцию конструкции для удаления дымовых газов);

- средняя плотность дымовых газов в соединительном элементе, кг/м
3;
wmV,j,l - средняя скорость дымовых газов в соединительном элементе, м/с;
SEMV,j,l - аэродинамический коэффициент стабильности потока для P23C,j,l (SEMV,j,l = SE при P23Cj,l >= 0; SEMV,j,l = 1,0 при P23C,j,l < 0);
SEGV,j,l - аэродинамический коэффициент стабильности потока при изменении давления вследствие изменения скорости дымовых газов (SEGV,j,l = SE при PGV,j,l >= 0; SEGV,j,l = 1,0 при PGV,j,l < 0).
Перепад давления PGV,j,l, Па, определяется по следующей формуле как разница скоростей дымовых газов в соединительном элементе и в соответствующей коллекторной секции j:

, (57)
Потери давления P23C,j,l вследствие изменения направления и подмешивания дымовых газов на входе их в коллекторную секцию j, l рассчитывают по следующей формуле:

, (58)

(59)
где

- отдельные коэффициенты местных сопротивлений в отводах и в местах смешения потоков при входе дымовых газов в коллекторную секцию
j,
l;

- средняя плотность дымовых газов в коллекторной секции
j,
l, кг/м
3;
wmC,j,l+1 - средняя скорость дымовых газов в коллекторной секции j, l, м/с;

- массовый расход дымовых газов в соединительном элементе
j,
l, кг/с;

- массовый расход дымовых газов в коллекторной секции
j,
l, кг/с;
AV,j,l - площадь поперечного сечения соединительного элемента j, l, м2;
AC,j,l - площадь поперечного сечения коллекторной секции j, l, м2;

- угол входа соединительного элемента
j,
l в коллекторную секцию
j,
l, град.
Для

коэффициент сопротивления в точке смешения может рассматриваться как сумма отдельных коэффициентов местных сопротивлений соответствующих сечений (см.
ГОСТ Р 59978.1-2022,
таблица B.8, формы 6 и
8) и когда в точке смешения действует равенство

.
14.7.2.3.4 Коэффициент гидравлического сопротивления

Расчет коэффициента местного сопротивления

по
ГОСТ Р 59978.1-2022,
подпункт 5.10.3.4.
14.7.2.4 Давление, необходимое для преодоления сопротивления приточного воздуха (PB,j,l)
Расчет давления, необходимого для преодоления сопротивления приточного воздуха (
PB,j,l) по
ГОСТ Р 59978.1-2022,
пункт 5.11.4.
14.8 Температура внутренней стенки (Tiob,C,j,l)
Расчет температуры внутренней стенки (
Tiob,C,j,l) по
ГОСТ Р 59978.1-2022,
подраздел 5.12.
15 Система "воздух-дымовые газы" (LAS)
15.1 Основные принципы метода расчета
Расчет основан на определении массового расхода дымовых газов в конструкции для удаления дымовых газов и массового расхода воздуха для горения в шахте приточного воздуха. При этом должно быть выполнено условие по давлению для каждой точки входа дымовых газов в конструкцию для удаления дымовых газов (см.
рисунок 6). Если подобное распределение массовых расходов было определено, должно быть подтверждено выполнение следующих условий:
b) условие по давлению для дымового газа при минимальном разрежении или максимальном избыточном давлении [
формула (61) или
(61a) и
(61b)];
c) условие по давлению для максимального разрежения или минимального избыточного давления [
формула (6a) или
(6d)];
В конструкциях для удаления дымовых газов под разряжением
формулы (1),
(2) и
(3) должны быть выполнены при всех режимах эксплуатации для каждой секции
j конструкции для удаления дымовых газов, а также для перепускного отверстия для
j = 0.
Для конструкций удаления дымовых газов с избыточным давлением
формулы (3a),
(3b) и
(3c) должны выполняться для каждой секции
j конструкции удаления дымовых газов для всех соответствующих рабочих условий. Давление для преодоления сопротивления приточного воздуха
PBc,j источника тепла
j, который подключен к системе "воздух-дымовые газы" (LAS), должно быть рассчитано по следующей формуле:

, (60)
где N - количество источников тепла, подключенных к конструкции для удаления дымовых газов, шт.;
PBc,j - давление для преодоления сопротивления приточного воздуха источника тепла j, Па;
PRB,k - давление сопротивления шахты приточного воздуха в секции к конструкции для удаления дымовых газов, Па;
PHB,k - самотяга в шахте приточного воздуха в секции k конструкции для удаления дымовых газов, Па;
PRBV,j - давление сопротивления в соединительном элементе j шахты приточного воздуха, Па;
PHBV,j - самотяга в соединительном элементе j шахты приточного воздуха, Па.
При проектировании отверстия для забора воздуха для горения и устья конструкции для удаления дымовых газов необходимо исходить из того, чтобы влияние ветровых нагрузок было незначительным. Поэтому можно принять PL = 0 и не учитывать в формулах.
Примечание - Если максимально полезное избыточное давление источника тепла включает необходимое давление для преодоления сопротивления соединительного элемента или воздушной шахты (например, газовые устройства типов C4 и C(10)), значения PV,j, PRBV,j и PHBV,j могут быть приняты как 0 Па.
15.3 Условия для массового расхода
15.4.1 Конструкции для удаления дымовых газов под разрежением
В случае конструкции для удаления дымовых газов под разрежением необходимо также проверить, действительно ли минимальное разрежение в шахте дымовых газов (
PZ,j) больше или равно разрежению в шахте подачи воздуха в той же точке. Проверка этого условия давления должна выполняться в тех же условиях, что и проверка условия для массового расхода (см.
5.3 и
5.6). Следующие соотношения должны быть подтверждены.
Следующую формулу необходимо проверить во всех точках входа в шахту дымовых газов канала и для всех условий эксплуатации:

, (61)
где PZ,j - давление на входе дымовых газов в участок j конструкции для удаления дымовых газов, Па;
PRB,k - давление сопротивления воздушной шахты секции k конструкции для удаления дымовых газов, Па;
PHB,k - самотяга в шахте приточного воздуха секции к конструкции для удаления дымовых газов, Па.
При необходимости следует также проверить, не превышает ли разрежение (тяга) в конструкции для удаления дымовых газов (
PZmax,j) максимально допустимое разрежение (
PZemax,j), создаваемое источником тепла.
Формула (6a) должна быть проверена для всех соответствующих условий эксплуатации (см.
5.6).
Условие по давлению необходимо проверить с помощью отдельного расчета с использованием вновь рассчитанных массовых потоков дымовых газов, которые соответствуют условиям давления при температуре наружного воздуха
TL = 258,15 K (
tL = -15 °C, см.
ГОСТ Р 59978.1).
15.4.2 Конструкции для удаления дымовых газов с избыточным давлением
В случае конструкции для удаления дымовых газов с избыточным давлением необходимо проверить, не превышает ли максимальный перепад давления между соединительным элементом и вертикальной частью конструкции для удаления дымовых газов и соединением подвода воздуха в воздушной шахте избыточное давление, для которого они предназначены. Проверка этого условия по давлению должна выполняться в тех же условиях, что и проверка условия для массового расхода (см.
5.3 и
5.6). Должны быть проверены следующие соотношения:

, (61a)

, (61b)
где PZO,j - избыточное давление на входе дымовых газов в секцию j конструкции для удаления дымовых газов, Па;
N - количество источников тепла, подключенных к конструкции для удаления дымовых газов;
PRB,k - сопротивление давлению воздуховода секции k конструкции для удаления дымовых газов, Па;
PHB,k - статическое давление в воздуховоде секции k конструкции для удаления дымовых газов, Па;
PZexcess - максимально допустимое расчетное давление конструкции для удаления дымовых газов, Па;
PV,j - расчетное давление сопротивления соединительного элемента секции j конструкции для удаления дымовых газов, Па;
PRBV,j - давление сопротивления соединительного элемента воздушной шахты и секции j конструкции для удаления дымовых газов, Па;
PHBV,j - самотяга соединительного элемента воздушной шахты и секции j конструкции для удаления дымовых газов, Па.
PZVexcess - максимально допустимое расчетное давление соединительного элемента, Па.
При необходимости следует также проверить, не превышает ли избыточное давление в конструкции для удаления дымовых газов (
PZOmin,j) минимально допустимое избыточное давление (
PZOemin,j), создаваемое источником тепла.
Формула (6d) должна быть проверена для всех соответствующих рабочих условий (см.
5.6).
Условие по давлению необходимо проверить с помощью отдельного расчета с использованием вновь рассчитанных массовых потоков дымовых газов, которые соответствуют условиям давления при температуре наружного воздуха
TL = 258,15 К (
tL = -15 °C, см.
ГОСТ Р 59978.1).
1 - система "воздух-дымовые газы" (LAS); 2 - шахта
приточного воздуха; 3 - шахта для удаления дымовых газов;
4 - трубопровод приточного воздуха; 5 - источник тепла, j;
6 - соединительный элемент; 7 - трубопровод приточного
воздуха; 8 - источник тепла 2; 9 - соединительный элемент;
10 - секция конструкции для удаления дымовых газов;
11 - трубопровод приточного воздуха; 12 - источник тепла 1;
13 - соединительный элемент; 14 - перепускное отверстие
Рисунок 6 - Пример нумерации значений давления и температуры
конструкции для удаления дымовых газов воздух-дымовые газы
(LAS) с многократным подключением источников тепла
15.5 Условие по температуре
15.6 Последовательность расчета системы "воздух-дымовые газы" (LAS)
Для расчета значений давления и температуры в системе "воздух-дымовые газы" (LAS) с многократным подключением источников тепла необходим метод итерации (последовательного приближения) (см.
15.8.2.9). Эта последовательность расчета аналогична
5.6.
Каждая итерация (приближение) состоит из двух фаз.
Фаза 1
Рассчитывают параметры, начиная от самого нижнего узла подключения и до устья и выхода в атмосферу (см.
рисунок 7) следующим образом:
- для конструкции для удаления дымовых газов под разрежением, при наличии перепускного отверстия:
- массовый расход воздуха для горения в перепускном отверстии:

, (62)
где

- массовый расход воздуха для горения на участке 0 конструкции для удаления дымовых газов, кг/с;
PZ,0 - разрежение в конструкции для удаления дымовых газов над перепускным отверстием (рассчитывается по
ГОСТ Р 59978.1-2022,
подраздел 5.11), Па;
PB,0 - разрежение в шахте приточного воздуха над перепускным отверстием, Па;

- коэффициент местного сопротивления перепускного отверстия; подставляется значение 3,0, если производителем не заданы другие данные;
A0 - площадь поперечного сечения перепускного отверстия, м2;

- плотность приточного воздуха в секции 0 конструкции для удаления дымовых газов, кг/м
3.
- в каждой трубе для отвода дымовых газов и в каждом трубопроводе приточного воздуха соединительных элементов:
- массовый расход дымовых газов и массовый расход воздуха для горения (соответствуют массовому расходу в патрубке дымовых газов и массовому расходу в подводящем патрубке приточного воздуха источника тепла);
- температура дымовых газов и температура воздуха для горения на выходе из соединительного элемента [см.
ГОСТ Р 59978.1-2022,
подраздел 5.8, или в случае концентрических трубопроводов - по
формулам (97) и
(99)];
- средние температуры дымовых газов и воздуха для горения [см.
ГОСТ Р 59978.1-2022,
подраздел 5.8 или в случае концентрических трубопроводов по
формулам (100) и
(101)].
- в каждой шахте дымовых газов и каждом трубопроводе приточного воздуха секции конструкции для удаления дымовых газов:
- массовый расход дымовых газов после смешения и массовый расход воздуха для горения перед разделением по
формуле (8) для дымовых газов и по
формуле (63) для воздуха для горения;
- температура дымовых газов/приточного воздуха после смешения [по
формуле (9) для дымовых газов, причем температуры воздуха для горения на входе в трубопровод приточного воздуха соединительного элемента и на входе в расположенную далее секцию шахты приточного воздуха должны быть одинаковы];
- средняя температура дымовых газов и средняя температура воздуха для горения: см.
ГОСТ Р 59978.1-2022,
подраздел 5.8. В случае концентрических трубопроводов средние температуры определяют по
формулам (78) и
(79).
Фаза 2
В случае конструкции для удаления дымовых газов с разрежением фактические значения разрежения должны быть рассчитаны в каждом узле, а именно от устья конструкции для удаления дымовых газов в атмосферу назад до узла, наиболее удаленного от него:
- самотягу на входе в секцию конструкции для удаления дымовых газов определяют по
формулам (31) и
(104);
- аэродинамическое сопротивление секции конструкции для удаления дымовых газов определяют по
формуле (32);
- разрежение на входе в секцию конструкции для удаления дымовых газов вычисляют по
формуле (2);
- аэродинамическое сопротивление секции конструкции для удаления дымовых газов у перепускного отверстия, если оно есть, рассчитывают по
формуле (32);
Рисунок 7 - Потери давления
P23,j вследствие изменения
направления потока дымовых газов и подмешивания дымовых
газов в области входа дымовых газов в секцию j конструкции
для удаления дымовых газов
- разрежение на входе в секцию конструкции для удаления дымовых газов у перепускного отверстия, если оно есть, определяют по
формуле (2).
В случае конструкции для удаления дымовых газов с избыточным давлением фактические значения давления должны быть рассчитаны в каждом узле, а именно от устья конструкции для удаления дымовых газов в атмосферу назад до узла, наиболее удаленного от него:
- сопротивление давлению в секции конструкции для удаления дымовых газов определяют по
формуле (32);
- избыточное давление на входе в секцию конструкции для удаления дымовых газов определяют по
формуле (3b).
Вышеописанная итерация (фаза 1 и фаза 2) должна проводиться для рассматриваемых условий эксплуатации, пока не будет выполнено условие по давлению
[формула (1)].
15.7 Массовый расход воздуха для горения
Для каждого места соединения шахты дымовых газов секции конструкции для удаления дымовых газов и соединительного воздуховода соединительного элемента должна быть выполнена следующая формула

, (63)
где

,

,

- массовый расход воздуха для горения в воздушной шахте или в соединительных воздуховодах, кг/с.
15.8 Определение температур в системах "воздух-дымовые газы" (LAS)
Если термическое сопротивление шахты дымовых газов и воздушной шахты равно или более 0,65 Вт/м
2·К, то определение температуры дымовых газов, движущихся в отдельной шахте, проводят в соответствии с
разделом 9. За температуру воздуха для горения принимают температуру наружного воздуха.
Если термическое сопротивление шахты дымовых газов и воздушной шахты меньше 0,65 Вт/м
2·К, но равно или больше термического сопротивления внешних стенок конструкции для удаления дымовых газов, то температуры дымовых газов в отдельных шахтах должны определяться в соответствии с
разделом 9. Средняя температура воздуха для горения в секции
j шахты воздуха,
TmB,j, должна быть рассчитана по следующей формуле:

(64)
где TL - температура наружного воздуха, К;
Tm,j - средняя температура дымовых газов в секции j, К.
В противном случае температуру следует определять аналогично тому, как описано в 15.8.2.
15.8.2 Концентрические шахты
15.8.2.1 Общие требования
Следующие расчеты применимы к секции конструкции для удаления дымовых газов длиной до 3 м.
В случае секций конструкции для удаления дымовых газов более 3 м эти секции необходимо разделить на несколько участков и повторить соответствующий расчет.
15.8.2.2 Основные положения расчета по определению температур
Повторяя методику расчета, изложенную в
5.6, расчет температур в концентрических шахтах основывается на предположении, что начальные значения температур неизвестны. Уравнения, представленные в 15.8.2, должны использоваться для итерации до тех пор, пока не будут выполнены условия
15.8.2.10.
15.8.2.3 Коэффициент теплопередачи в месте подвода приточного воздуха к дымовым газам
Коэффициент теплопередачи между шахтой дымовых газов и воздушной шахтой (см.
рисунок 8) рассчитывают по следующей формуле:

(65)
где kj - коэффициент теплопередачи между каналом дымовых газов и каналом приточного воздуха в секции j конструкции для удаления дымовых газов, Вт/м2·К;

- коэффициент теплоотдачи от дымовых газов к внутренней поверхности шахты дымовых газов в секции
j конструкции для удаления дымовых газов, Вт/м
2·К;
SH - поправочный коэффициент при отсутствии температурного равновесия;

- термическое сопротивление шахты дымовых газов, Вт/м
2·К;
Dh - гидравлический диаметр канала для удаления дымовых газов, м;
Dha - гидравлический диаметр по внешней стороне шахты дымовых газов, м;

- коэффициент теплоотдачи от внешней стенки шахты дымовых газов к воздушному потоку в секции
j конструкции для удаления дымовых газов, Вт/м
2·К;
Srad - поправочный коэффициент для теплового излучения с наружной поверхности шахты для удаления дымовых газов к внутренней поверхности шахты приточного воздуха.
В случае конструкции для удаления дымовых газов с концентрическими каналами SH необходимо установить на 1.
Чтобы учесть тепловое излучение от внешней поверхности шахты для удаления дымовых газов к внутренней поверхности шахты воздуха, при расчете коэффициента теплопередачи kj необходимо принять поправочный коэффициент теплового излучения Srad = 2.
Для секций конструкций для удаления дымовых газов, в которых температура внутренней поверхности шахты для удаления дымовых газов постоянно меньше или равна температуре точки росы дымовых газов, коэффициент Srad = 1.
Для более подробной оценки передачи тепла излучением см.
ГОСТ Р 59978.1-2022,
пункт 7.8.3.
1 - канал для удаления дымовых газов (с дымовыми газами);
2 - шахта для удаления дымовых газов со стенками
соответствующей толщины; 3 - канал для подачи воздуха
(с воздухом для горения); 4 - шахта приточного воздуха;
5 - температура окружающей среды
Рисунок 8 - Определение символов для расчета
концентрических конструкций "воздух-дымовые газы" (LAS)
Коэффициент теплоотдачи

от внешней стенки шахты дымовых газов к воздушному потоку в секции
j конструкции для удаления дымовых газов, Вт/м
2·К, должен быть рассчитан по следующей формуле:

, (66)
с

, (67)

, (68)
и

, (69)
с

, (70)
где

- коэффициент теплоотдачи от внешней стенки шахты дымовых газов к воздушному потоку в секции
j конструкции для удаления дымовых газов, Вт/м
2·К;

- коэффициент теплопроводности воздуха для горения в секции
j конструкции для удаления дымовых газов, Вт/м·К;
Nua,j - число Нуссельта для внешней стороны шахты для удаления дымовых газов в секции j, Вт/м2·К;
DhB - гидравлический диаметр канала приточного воздуха, м;
AB - свободное поперечное сечение канала приточного воздуха, м2;
Ua - наружный периметр шахты приточного воздуха, м;
UiB - внутренний периметр шахты приточного воздуха, м;
Dha - гидравлический диаметр внешней стороны шахты для удаления дымовых газов, м;
NuB,j - число Нуссельта для заявленного массового расхода приточного воздуха в шахте приточного воздуха;

- самое высокое значение коэффициента трения для внутренней стороны шахты приточного воздуха и наружной стороны секции
j конструкции для удаления дымовых газов;

- значение коэффициента трения для ламинарного течения приточного воздуха в секции
j конструкции для удаления дымовых газов;
ReB,j - число Рейнольдса свободного поперечного сечения шахты приточного воздуха в секции j конструкции для удаления дымовых газов;
PrB,j - число Прандтля для воздуха для горения в секции j конструкции для удаления дымовых газов;
Lj - длина секции j конструкции для удаления дымовых газов, м;
wmB,j - средняя скорость воздуха для горения в секции j конструкции для удаления дымовых газов, м/с;

- средняя плотность воздуха для горения в секции
j конструкции для удаления дымовых газов, кг/м
3;

- динамическая вязкость воздуха для горения в секции
j конструкции для удаления дымовых газов, Н·с/м
2.
15.8.2.4 Коэффициент теплопередачи между воздухом для горения и окружающим воздухом
Коэффициент теплопередачи между воздухом для горения и окружающим воздухом следует рассчитывать по следующей формуле:

(71)
где kB,j - коэффициент теплопередачи между воздухом для горения и окружающим воздухом в секции j конструкции для удаления дымовых газов, Вт/м2·К;

- коэффициент теплоотдачи между воздухом для горения и окружающим воздухом в секции
j конструкции для удаления дымовых газов, Вт/м
2·К;
SH - поправочный коэффициент при отсутствии температурного равновесия;

- термическое сопротивление шахты приточного воздуха, Вт/м
2·К;
DhiB - внутренний гидравлический диаметр шахты приточного воздуха, м;
DhaB - внешний гидравлический диаметр шахты приточного воздуха, м;

- коэффициент теплоотдачи от внешней поверхности шахты приточного воздуха к окружающему воздуху, Вт/м
2·К.
Для системы "воздух-дымовые газы" (LAS) с концентрическими шахтами необходимо принимать SH = 1.
Для расчета

принимают следующую формулу:

, (72)
с

, (73)
где

- коэффициент теплопроводности воздуха для горения в секции
j конструкции для удаления дымовых газов, Вт/м
2·К;
NuiB,j - число Нуссельта на внутренней стороне шахты приточного воздуха в секции j конструкции для удаления дымовых газов;
DhB - гидравлический диаметр шахты подачи приточного воздуха, м;
Dha - внешний гидравлический диаметр шахты дымовых газов, м;
DhiB - внутренний гидравлический диаметр шахты приточного воздуха, м;
NuB,j - число Нуссельта для базового массового расхода приточного воздуха в шахте приточного воздуха.
15.8.2.5 Коэффициент охлаждения шахты дымовых газов
Коэффициент охлаждения рассчитывают по следующей формуле:

, (74)
где Kj - коэффициент охлаждения секции j конструкции для удаления дымовых газов;
kj - коэффициент теплопередачи между дымовыми газами и приточным воздухом на входе в секцию j конструкции для удаления дымовых газов, Вт/м2·К;
U - периметр канала для дымовых газов, м;
Lj - длина секции j конструкции для удаления дымовых газов, м;

- массовый расход дымовых газов в секции
j конструкции для удаления дымовых газов, кг/с;
Cp,j - удельная теплоемкость дымовых газов на участке j конструкции для удаления дымовых газов, Дж/кг·К.
15.8.2.6 Коэффициент охлаждения в шахте приточного воздуха
Коэффициент охлаждения в шахте приточного воздуха рассчитывают по следующей формуле:

, (75)
где KB,j - коэффициент охлаждения шахты приточного воздуха участка j конструкции для удаления дымовых газов;
kB,j - коэффициент теплопередачи между воздухом на горение и окружающим воздухом в секции j конструкции для удаления дымовых газов, Вт/м2·К;
UiB - внутренний периметр шахты приточного воздуха, м;
LB,j - длина участка j конструкции для удаления дымовых газов, м;

- массовый расход воздуха для горения на участке
j конструкции для удаления дымовых газов, кг/с;
CpB,j - удельная теплоемкость воздуха для горения в секции j конструкции для удаления дымовых газов, Дж/кг·К.
15.8.2.7 Температура дымовых газов в конце секции конструкции для удаления дымовых газов
Температура дымовых газов на конце трубопровода для удаления дымовых газов секции j конструкции для удаления дымовых газов рассчитывается по формуле (76); если итерация начинается от принятого стартового значения для каждой температуры To,j.

. (76)
или согласно формуле (77), если итерация начинается с предполагаемым начальным значением ToB,1:

, (77)

, (78)
где To,j - температура дымовых газов в конце секции j конструкции для удаления дымовых газов, К;
Kj - коэффициент охлаждения шахты дымовых газов в секции j конструкции для удаления дымовых газов;
KB,j - коэффициент охлаждения шахты приточного воздуха в секции j конструкции для удаления дымовых газов;
Te,j - температура дымовых газов на входе в секцию j конструкции для удаления дымовых газов, К;
Ej - коэффициент тепловых потоков дымовых газов и воздуха для горения в секции j конструкции для удаления дымовых газов;
TeB,j - температура воздуха для горения в секции j конструкции для удаления дымовых газов, К;
Tu,j - температура окружающего воздуха в секции j конструкции для удаления дымовых газов, К;
ToB,j - температура воздуха для горения на входе в секцию j конструкции для удаления дымовых газов, К;

- массовый расход дымовых газов в секции
j конструкции для удаления дымовых газов, кг/с;
Cp,j - удельная теплоемкость дымовых газов в секции j конструкции для удаления дымовых газов, Дж/кг·К.

- массовый расход воздуха для горения в секции
j конструкции для удаления дымовых газов, кг/с;
CpB,j - удельная теплоемкость воздуха для горения, подаваемого в секцию j конструкции для удаления дымовых газов, Дж/кг.
Температура воздуха для горения в конце секции j конструкции для удаления дымовых газов рассчитывается для концентрических шахт по формуле (79), если итерация начинается с принятой стартовой величины для каждой температуры TeB,j:

(79)
или по формуле (80), если итерация начинается с одного из принятых стартовых значений ToB,j:

, (80)
где To,j - температура дымовых газов в конце секции j конструкции для удаления дымовых газов, К;
Te,j - температура дымовых газов на входе в секцию j конструкции для удаления дымовых газов, К;
ToB,j - температура воздуха для горения на входе в секцию j конструкции для удаления дымовых газов, К;
TeB,j - температура воздуха для горения в секции j конструкции для удаления дымовых газов, К;
Kj - коэффициент охлаждения в секции j конструкции для удаления дымовых газов.
Примечание - Приведенные выше уравнения основаны на предположении, что передачу тепла можно приблизительно рассчитать по разнице средних температур.
15.8.2.8 Температура дымовых газов, усредненная по длинам секции конструкции для удаления дымовых газов
Температура дымовых газов, усредненная по длинам секции j конструкции для удаления дымовых газов, рассчитывается для концентрических шахт по следующей формуле

, (81)
где Tm,j - температура дымовых газов, усредненная по длинам одной секции j конструкции для удаления дымовых газов, К;
Te,j - температура дымовых газов на входе в секцию j конструкции для удаления дымовых газов, К;
To,j - температура дымовых газов на конце одной секции j конструкции для удаления дымовых газов, К.
15.8.2.9 Температура воздуха для горения, усредненная по длинам одного участка конструкции для удаления дымовых газов
Температуру воздуха для горения, усредненную по длинам одной секции j конструкции для удаления дымовых газов, рассчитывают для концентрических установленных трубопроводов по следующей формуле:

, (82)
где TmB,j - температура воздуха для горения, усредненная по длинам одной секции j конструкции для удаления дымовых газов, К;
TeB,j - температура воздуха для горения на входе в секцию j конструкции для удаления дымовых газов, К;
ToB,j - температура воздуха для горения на конце одной секции j конструкции для удаления дымовых газов, К.
Для расчета To,j и ToB,j необходимо знать соответствующие температуры воздуха для горения TeB,j во всех узловых точках. Для определения температуры воздуха для горения на входе в самую верхнюю секцию конструкции для удаления дымовых газов Nseg, К, используют формулу

, (83)
где

- температура воздуха для горения на входе в секцию
Nseg конструкции для удаления дымовых газов, К;
TL - температура наружного воздуха, К.
Начиная с одного из предполагаемых стартовых значений для
TeB,j формулы (64) -
(81) используются с соответствующим повторением до тех пор, пока приближение к
TeB,j <
Nseg не достигнет выполнения следующей формулы:

. (84)
При расчете температур воздуха для горения от основания до устья для концентрических шахт в системах "воздух-дымовые газы" (LAS) используют следующую формулу:
ToB,j =
TeB,j-1 для
j > 1, (85)
где TeB,j - температура воздуха для горения на входе в секцию j конструкции для удаления дымовых газов, К;
ToB,j+1 - температура воздуха для горения на конце секции j + 1 конструкции для удаления дымовых газов, К;
Nseg - количество участков конструкции для удаления дымовых газов для расчета.
Итерацию по определению ToB,1 необходимо продолжать до тех пор, пока не будет выполняться следующая формула:

, (86)
Примечание - До тех пор, пока выполняются условия
уравнений 85 и
87, для решения
формул (64) -
(82) могут использоваться также другие математические методы.
15.8.3 Концентрические соединительные элементы
15.8.3.1 Коэффициент теплопередачи между дымовыми газами и приточным воздухом в концентрических соединительных элементах
Коэффициент теплопередачи между дымовыми газами и воздухом для горения в концентрических соединительных элементах j рассчитывают по следующей формуле:

(87)
где kV,j - коэффициент теплопередачи между дымовыми газами и воздухом для горения в соединительном элементе j, Вт/м2·К;

- коэффициент теплоотдачи между дымовыми газами и внутренней поверхностью трубы для удаления дымовых газов концентрического соединительного элемента
j, Вт/м
2·К;
SH - поправочный коэффициент при отсутствии температурного равновесия;

- термическое сопротивление трубы дымовых газов концентрического соединительного элемента
j, Вт/м
2·К;
DhV,j - гидравлический диаметр канала для удаления дымовых газов в концентрическом соединительном элементе j, м;
DhaV,j - наружный гидравлический диаметр трубы для удаления дымовых газов концентрического соединительного элемента j, м;

- коэффициент теплоотдачи между воздухом для горения и внешней поверхностью дымовой трубы концентрического соединительного элемента
j, Вт/м
2·К;
Srad - поправочный коэффициент для излучения.
Для концентрических соединительных элементов корректирующий фактор SH = 1.
Чтобы учесть влияние излучения от внешней поверхности трубы для дымовых газов на внутреннюю поверхность трубы приточного воздуха в соединительном элементе, величина kj содержит поправочный коэффициент Srad, значение которого принимается равным 2.
Для концентрических соединительных элементов, в которых температура внутренней стенки трубы для удаления дымовых газов всегда ниже температуры точки росы, необходимо использовать значение Srad = 1.
Следует определять

, Вт/м
2·К, по формуле

, (88)
с

, (89)

, (90)
и

, (91)
с

, (92)
где

- коэффициент теплопроводности воздуха для горения в соединительном элементе
j, Вт/м·К;
NuaV,j - число Нуссельта для внешней стороны трубы дымовых газов соединительного элемента j, Вт/м2·К;
DhBV,j - гидравлический диаметр канала приточного воздуха концентрического соединительного элемента j, м;
ABV,j - площадь поперечного сечения канала приточного воздуха концентрического соединительного элемента j, м2;
UaV,j - внешний периметр трубы для дымовых газов концентрического соединительного элемента j, м;
UiB,j - внутренний периметр трубы воздуха для горения концентрического соединительного элемента j, м;
DhVa,j - внешний гидравлический диаметр трубы дымовых газов концентрического соединительного элемента j, м;
NuBV,j - число Нуссельта для базового массового расхода концентрического соединительного элемента j;

- самое высокое значение коэффициента трения внутренней поверхности соединительного воздуховода приточного воздуха или внешней поверхности трубы дымовых газов в концентрическом соединительном элементе
j;

- значение коэффициента трения для канала приточного воздуха концентрического соединительного элемента
j при ламинарном течении;
ReBV,j - число Рейнольдса в канале приточного воздуха концентрического соединительного элемента j;
PrBV,j - число Прандтля для воздуха для горения в концентрическом соединительном элементе j;
LV,j - длина концентрического соединительного элемента j, м.
15.8.3.2 Коэффициент теплопередачи между воздухом для горения и окружающим воздухом для концентрических соединительных элементов
15.8.3.2.1 Общие положения
Коэффициент теплопередачи между воздухом для горения и окружающим воздухом для концентрических соединительных элементов определяется по формуле

(93)
где kBV,j - коэффициент теплопередачи между воздухом для горения и окружающим воздухом в концентрическом соединительном элементе j, Вт/м2·К;

- коэффициент теплоотдачи между воздухом для горения и внутренней поверхностью трубы приточного воздуха концентрического соединительного элемента
j, Вт/м
2·К;
SH - поправочный коэффициент при отсутствии температурного равновесия;

- термическое сопротивление трубы приточного воздуха концентрического соединительного элемента
j, Вт/м
2·К;
DhiBV,j - гидравлический диаметр канала приточного воздуха концентрического соединительного элемента j, м;
DhaBV,j - наружный гидравлический диаметр соединительного воздуховода приточного воздуха концентрического соединительного элемента j, м;

- коэффициент теплоотдачи от внешней поверхности соединительного воздуховода приточного воздуха концентрического соединительного элемента
j к окружающему воздуху, Вт/м
2·К.
Для концентрических соединительных элементов корректирующий фактор
SH = 1 следует определять

, Вт/м
2·К, по следующей формуле:

(94)
с

, (95)
где

- коэффициент теплопроводности воздуха для горения в концентрическом соединительном элементе
j, Вт/м·К;
NuBV,j - число Нуссельта для базового массового расхода в концентрическом соединительном элементе j, Вт/м2·К;
DhBV,j - гидравлический диаметр канала приточного воздуха концентрического соединительного элемента j, м;
NuiBV,j - число Нуссельта для внутренней стороны соединительного воздуховода приточного воздуха концентрического соединительного элемента j, Вт/м2·К;
DhaV,j - внешний гидравлический диаметр трубы дымовых газов концентрического соединительного элемента j, м;
DhiBV,j - внутренний гидравлический диаметр соединительного воздуховода приточного воздуха концентрического соединительного элемента j, м.
15.8.3.2.2 Коэффициент охлаждения для трубы дымовых газов концентрического соединительного элемента
Коэффициент охлаждения для трубы дымовых газов концентрического соединительного элемента рассчитывают по формуле

, (96)
где KV,j - коэффициент охлаждения трубы дымовых газов концентрического соединительного элемента j;
kV,j - коэффициент теплопередачи между каналом дымовых газов и каналом приточного воздуха концентрического соединительного элемента j, Вт/м2·К;
UV,j - периметр трубы дымовых газов концентрического соединительного элемента j, м;
LV,j - длина концентрического соединительного элемента j, м;

- массовый расход дымовых газов в концентрическом соединительном элементе
j, кг/с;
CpV,j - удельная теплоемкость дымовых газов в концентрическом соединительном элементе j, Дж/кг·К.
15.8.3.2.3 Коэффициент охлаждения соединительного воздуховода концентрических соединительных элементов
Коэффициент охлаждения соединительного воздуховода концентрических соединительных элементов j рассчитывают по формуле

, (97)
где KBV,j - коэффициент охлаждения в соединительном воздуховоде приточного воздуха концентрического соединительного элемента j;
kBV,j - коэффициент теплопередачи между воздухом для горения и окружающим воздухом в концентрическом соединительном элементе j, Вт/м2·К;
UiBV,j - внутренний периметр соединительного воздуховода концентрического соединительного элемента j, м;
LV,j - длина концентрического соединительного элемента j, м;

- массовый расход воздуха для горения в концентрическом соединительном элементе
j, кг/с;
CpBV,j - удельная теплоемкость воздуха для горения в концентрическом соединительном элементе j, Дж/кг·К.
15.8.3.3 Температура дымовых газов в конце концентрического соединительного элемента (ToV,j)
Температуру дымовых газов в конце концентрического соединительного элемента j рассчитывают по формуле

, (98)

, (99)
где ToV,j - температура дымовых газов в конце концентрического соединительного элемента j, К;
KV,j - коэффициент охлаждения дымовой трубой в концентрическом соединительном элементе j;
KBV,j - коэффициент охлаждения соединительного воздуховода в концентрическом соединительном элементе j;
TW,j - температура дымовых газов на выходе из патрубка источника тепла j, К;
EV,j - отношение тепловых потоков дымовых газов и приточного воздуха в концентрическом соединительном элементе j;
TeBV,j - температура воздуха для горения на входе в концентрический соединительный элемент j, К;
TuV,j - температура окружающего воздуха концентрического соединительного элемента j, К;

- массовый расход дымовых газов в концентрическом соединительном элементе
j, кг/с;
CpV,j - удельная теплоемкость дымовых газов в концентрическом соединительном элементе j, Дж/кг·К.

- массовый расход воздуха для горения в концентрическом соединительном элементе
j, кг/с;
CpBV,j - удельная теплоемкость воздуха для горения в концентрическом соединительном элементе j, Дж/кг;
ToB,j - температура воздуха для горения в конце секции j конструкции для удаления дымовых газов, К.
Примечание - Вышеприведенное
уравнение (98) основано на предположении, что теплопередачу можно приблизительно рассчитать на основе разницы средних температур.
Температуру воздуха для горения на конце соединительного воздуховода концентрического соединительного элемента рассчитывают по формуле

, (101)
где ToBV,j - температура воздуха для горения в конце концентрического соединительного элемента j, К;
TW,j - температура дымовых газов на выходе из патрубка источника тепла j, К;
ToV,j - температура дымовых газов на конце трубы для удаления дымовых газов концентрического соединительного элемента j, К;
TeBV,j - температура воздуха для горения на входе в концентрический соединительный элемент j, К;
KV,j - коэффициент охлаждения дымовых газов в концентрическом соединительном элементе j.
Примечание - Дополнительно к проверке условия по температуре конструкции для удаления дымовых газов может быть также необходима проверка температуры воздуха для горения на конце воздуховода приточного воздуха концентрической трубы для дымовых газов, если производитель источника тепла указывает самую высокую температуру приточного воздуха.
15.8.3.4 Температура дымовых газов, усредненная по длине концентрического соединительного элемента j
Температуру дымовых газов, усредненную по длине концентрического соединительного элемента j, рассчитывают по формуле

, (102)
где TmV,j - температура дымовых газов, усредненная по длине концентрического соединительного элемента j, К;
TW,j - температура дымовых газов в патрубке дымовых газов источника тепла j, К;
ToV,j - температура дымовых газов на конце дымового канала концентрического соединительного элемента j, К.
15.8.3.5 Температура воздуха для горения, усредненная по длине концентрического соединительного элемента j
Температуру воздуха для горения, усредненную по длине концентрического соединительного элемента j, рассчитывают по формуле

, (103)
где TmBV,j - температура воздуха для горения, усредненная по длине концентрического соединительного элемента j, К;
TeBV,j - температура воздуха для горения на входе в воздушный канал концентрического соединительного элемента j, К;
ToBV,j - температура воздуха для горения на конце канала приточного воздуха концентрического соединительного элемента j, К.
15.9 Давление в шахте приточного воздуха
15.9.1 Самотяга в воздушной шахте секции j конструкции для удаления дымовых газов
Самотягу в шахте приточного воздуха в системах "воздух-дымовые газы" (LAS) с отдельными шахтами, как и в системах "воздух-дымовые газы" (LAS) с концентрическими шахтами с коэффициентом теплопередачи более 0,65 Вт/м2·К следует принимать равной 0.
Самотягу в шахте приточного воздуха на участках j конструкции для удаления дымовых газов других конструкций систем "воздух-дымовые газы" (LAS) рассчитывают по формуле

, (104)
где PHB,j - самотяга в шахте приточного воздуха секции j конструкции для удаления дымовых газов, Па;
Hj - высоты секции j конструкции для удаления дымовых газов j, К;
g - ускорение свободного падения, равное 9,81, м/с2;

- плотность окружающего воздуха, кг/м
3;

- плотность воздуха для горения, усредненная по длине секции конструкции для удаления дымовых газов, кг/м
3.
Примечание - Основываясь на опыте, целесообразно предусмотреть для поперечного сечения концентрической шахты приточного воздуха минимальные размеры. Рекомендуется принять поперечное сечение шахты приточного воздуха как 1,5-кратное значение поперечного сечения дымовой трубы.
15.9.2 Самотяга соединительного элемента трубы приточного воздуха
Самотягу соединительного элемента трубы приточного воздуха в системе "воздух-дымовые газы" (LAS) с разделенными шахтами и с шахтами с концентрической дымовой трубой с коэффициентом теплопередачи более

следует принимать равной нулю.
Самотягу j соединительного элемента трубы приточного воздуха в системе "воздух-дымовые газы" (LAS) рассчитывают по формуле

, (105)
где PHBV,j - самотяга в трубе приточного воздуха соединительного элемента j, Па;
HV,j - высоты соединительного элемента j, м;
g - ускорение свободного падения, равное 9,81 м/с2;

- плотность окружающего воздуха, кг/м
3;

- плотность воздуха для горения, усредненная по длине трубы приточного воздуха соединительного элемента
j, кг/м
3.
15.9.3 Аэродинамическое сопротивление в шахте приточного воздуха участка j конструкции для удаления дымовых газов (PRB,j)
Аэродинамическое сопротивление в шахте приточного воздуха секции j конструкции для удаления дымовых газов (PRB,j) рассчитывают по формуле

, (106)
где PRB,j - аэродинамическое сопротивление в шахте приточного воздуха секции j конструкции для удаления дымовых газов, Па;
SEB - аэродинамический коэффициент стабильности потока для шахты приточного воздуха;

- коэффициент трения в трубе приточного воздуха секции
j конструкции для удаления дымовых газов, м;
Lj - длины участка j, м;
DhB,j - гидравлический диаметр трубы приточного воздуха секции j конструкции для удаления дымовых газов, м;

- сумма коэффициентов местных сопротивлений в трубе приточного воздуха секции
j конструкции для удаления дымовых газов;

- плотность воздуха для горения, усредненная по длине участка
j конструкции для удаления дымовых газов, кг/м
3;
wmB,j - скорость воздуха для горения на основании средней плотности воздуха для горения секции j конструкции для удаления дымовых газов, м/с;
SEMB,j - аэродинамический коэффициент стабильности потока аэродинамического сопротивления, возникающего вследствие изменения скорости потока в секции j конструкции для удаления дымовых газов (SEMB,j = SEB при P31,j >= 0; SEMB,j = 1,0 при P31,j < 0);
PB31,j - потери давления из-за разделения потока приточного воздуха на входе в трубу приточного воздуха соединительного элемента секции j + 1 конструкции для удаления дымовых газов, Па;
SEGB,j - аэродинамический коэффициент стабильности потока аэродинамического сопротивления, возникающего вследствие разделения потоков приточного воздуха (SEGB,j = SEB при PGB,j >= 0; SEGB,j = 1,0 при PGB < 0);
PGB,j - перепад давления из-за изменения скорости воздушного потока в трубе приточного воздуха секции j конструкции для удаления дымовых газов, Па.
Изменение давления вследствие изменения скорости потока PGB,j в трубе приточного воздуха секции j конструкции для удаления дымовых газов рассчитывают по формуле

, (107)

, (108)
где PGB,j - изменение давления вследствие изменения скорости потока в трубе приточного воздуха секции j конструкции для удаления дымовых газов, Па;

- плотность воздуха для горения, усредненная по длине секции
j конструкции для удаления дымовых газов, кг/м
3;
wmB,j - скорость воздуха для горения на основании средней плотности воздуха для горения в секции j, м/с.
Потери давления PB31,j вследствие разделения массовых потоков в области входа приточного воздуха в соединительный элемент j + 1 рассчитывают по уравнению:

, (109)
с

, (110)
и
PB31,N = 0. (111)
где PB31,j - потери давления вследствие разделения массовых потоков в области входа приточного воздуха в соединительный элемент j + 1, Па;

- коэффициент местного сопротивления вследствие разделения массовых потоков приточного воздуха на входе в трубу приточного воздуха соединительного элемента
j + 1,

- плотность воздуха для горения, усредненная по длине секции
j конструкции для удаления дымовых газов, кг/м
3;

- массовый расход воздуха для горения в соединительном элементе
j, кг/с;

- массовый расход воздуха для горения в секции
j конструкции для удаления дымовых газов, кг/с.
15.9.4 Аэродинамическое сопротивление трубы приточного воздуха соединительного элемента j (PRBV,j)
Аэродинамическое сопротивление трубы приточного воздуха соединительного элемента j (PRBV,j) рассчитывают по формуле

, (112)
где PRBV,j - аэродинамическое сопротивление в шахте приточного воздуха секции j соединительного элемента j, Па;
SEB - аэродинамический коэффициент стабильности потока для шахты приточного воздуха;

- коэффициент трения в трубе приточного воздуха соединительного элемента
j, м;
LV,j - длины соединительного элемента j, м;
DhBV,j - гидравлический диаметр трубы приточного воздуха соединительного элемента j, м;

- сумма коэффициентов местных сопротивлений в трубе приточного воздуха соединительного элемента
j;

- плотность воздуха для горения, усредненная по длине соединительного элемента
j, кг/м
3;
wmBV,j - скорость воздуха для горения на основании средней плотности устройства для сжигания топлива соединительного элемента j, м/с;
SEMBV,j - аэродинамический коэффициент стабильности потока аэродинамического сопротивления, возникающего вследствие разделения потоков приточного воздуха соединительного элемента j (SEMBV,j = SEB при PB32,j >= 0; и SEMBV,j = 1,0 при PB32,j < 0);
PB32,j - потери давления из-за разделения массовых потоков приточного воздуха на входе в трубу приточного воздуха соединительного элемента секции j + 1 конструкции для удаления дымовых газов, Па;
SEGBV,j - аэродинамический коэффициент стабильности потока аэродинамического сопротивления, возникающего вследствие изменения скорости потока соединительного элемента j (SEGBV,j = SEB при PGBV,j >= 0; и SEGBV,j = 1,0 при PGBV,j < 0);
PGBV,j - перепад давления из-за изменения скорости воздушного потока в трубе приточного воздуха соединительного элемента j, Па.
Изменение давления вследствие изменения скорости потока PGBV,j в трубе приточного воздуха соединительного элемента j рассчитывают по следующей формуле:

, (113)
где PGBV,j - изменение давления вследствие изменения скорости в трубе приточного воздуха соединительного элемента j, Па;

- плотность воздуха для горения, усредненная по длине соединительного элемента
j, кг/м
3;
wmBV,j - скорость воздуха для горения в соединительном элементе j, м/с;

- плотность воздуха для горения, усредненная по длине секции
j конструкции для удаления дымовых газов, кг/м
3;
wmB,j - скорость воздуха для горения на основании средней плотности воздуха для горения в соединительном элементе j, м/с.
Потери давления PB32,j вследствие разделения потоков приточного воздуха на входе в трубу приточного воздуха соединительного элемента j рассчитывают по следующей формуле:

, (114)
с

(115)
где PB32,j - потери давления вследствие разделения потоков приточного воздуха на входе в трубу приточного воздуха соединительного элемента j + 1, Па;

- плотность потока воздуха для горения, усредненная по длине секции
j конструкции для удаления дымовых газов, кг/м
3;
wmB,j - скорость потока воздуха для горения, определенная на основании средней плотности приточного воздуха в секции j конструкции для удаления дымовых газов, м/с;

- массовый расход воздуха для горения в соединительном элементе
j, кг/с;

- массовый расход устройства в секции
j конструкции для удаления дымовых газов, кг/с;
AB - площадь поперечного сечения шахты приточного воздуха конструкции для удаления дымовых газов, м2;
ABV,j - площадь поперечного сечения трубы приточного воздуха соединительного элемента j, м2;

- угол подключения трубы приточного воздуха соединительного элемента
j к шахте приточного воздуха в секции
j конструкции для удаления дымовых газов.
Если имеются данные от производителя, их необходимо использовать.
15.10 Плотность и скорость воздуха для горения
15.10.1 Плотность и скорость устройства для сжигания топлива в шахте приточного воздуха, усредненные по длине участка конструкции
При расчете "воздух-дымовые газы" (LAS) с одной дымовой трубой с коэффициентом теплопередачи не более 0,65 Вт/м2·К, температура воздуха для горения будет варьироваться и поэтому необходимо последовательно проводить расчет плотности.
Плотность

, кг/м
3, воздуха для горения в шахте приточного воздуха, усредненная по длине участка
j, рассчитывают по формуле

, (116)
где pL - давление наружного воздуха, Па;
RL - газовая постоянная воздуха, Дж/кг·К;
TmB,j - температура воздуха для горения в соединительном элементе j воздушной шахты, К.
Скорость wmB,j, м/с, воздуха для горения в шахте приточного воздуха, усредненная по длине секции j конструкции для удаления дымовых газов, рассчитывают по формуле

, (117)
где

- массовый расход воздуха для горения в воздушной шахте устройства в секции
j конструкции для удаления дымовых газов, кг/с;
AB,j - площадь поперечного сечения шахты приточного воздуха в секции j конструкции для удаления дымовых газов, м2;

- плотность воздуха для горения в воздушной шахте, усредненная по длине секции
j конструкции соединительного элемента, кг/м
3.
15.10.2 Плотность и скорость воздуха для горения, усредненные по длине соединительного элемента
При расчете систем "воздух-дымовые газы" (LAS) с одной трубой для удаления дымовых газов с коэффициентом теплопередачи не более 0,65 Вт/м2·К температура воздуха для горения будет варьироваться и поэтому необходимо последовательно проводить расчет плотности.
Плотность

, кг/м
3, воздуха для горения, усредненная по длине соединительного элемента
j, рассчитывают по формуле

, (118)
где pL - давление наружного воздуха, Па;
RL - газовая постоянная воздуха, Дж/(кг·К);
TmBV,j - температура воздуха для горения в соединительном элементе подключения воздушной линии, К.
Скорость wmBV,j, м/с, воздуха для горения, усредненную по длине соединительного элемента j, рассчитывают по формуле

, (119)
где wmBV,j - скорость воздуха для горения, усредненная по длине соединительного элемента j воздушной линии, Дж/(кг·К);

- массовый воздух для горения в шахте устройства в секции соединительного элемента
j, кг/с;
ABV,j - площадь поперечного сечения воздуховода соединительного элемента j, м2;

- плотность воздуха для горения, усредненная по длине соединительного элемента
j, кг/м
3.
16 Учет вентиляторов дымовых газов
Вентиляторы дымовых газов могут учитываться при расчете конструкций удаления дымовых газов только в том случае, если:
- работа вентилятора дымовых газов контролируется предохранительным устройством, которое отключает все источники тепла в случае выхода из строя вентилятора дымовых газов, или
- имеется достаточно доказательств того, что работа всех источников тепла безопасна в случае выхода из строя вентилятора дымовых газов.
Прирост давления Pвен, Па, создаваемый вентилятором дымовых газов, можно рассчитать с помощью следующей формулы

, (120)

, (121)

, (122)
где
c0 - характеристика вентилятора дымовых газов (см.
[1]), Па;
c1 - характеристика вентилятора дымовых газов (см.
[1]), Па/(м
3/с);
c2 - характеристика вентилятора дымовых газов (см.
[1]), Па/(м
3/с)
2;
c3 - характеристика вентилятора дымовых газов (см.
[1]), Па/(м
3/с)
3;
c4 - характеристика вентилятора дымовых газов (см.
[1]), Па/(м
3/с)
4;

- объемный расход дымовых газов на вентиляторе дымовых газов, м
3/с;

- плотность дымовых газов на вентиляторе дымовых газов, кг/м
3;

- массовый расход дымовых газов на выходе из системы удаления продуктов сгорания, кг/с;
pL - внешнее давление воздуха (см.
ГОСТ Р 59978.1-2022,
пункт 5.7.2), Па;
R - газовая постоянная дымовых газов (см.
ГОСТ Р 59978.1-2022,
подпункт 5.7.3.2), Дж/(кг·К);
Tвен - температура дымовых газов на вентиляторе дымовых газов, К.
Характеристики вентилятора дымовых газов от c0 до c4 должны быть указаны производителем вентилятора дымовых газов или в документации.
Примечание - В случае вентилятора дымовых газов, который не используется постоянно, расчет должен выполняться без учета увеличения давления, создаваемого вентилятором дымовых газов, а скорее без учета сопротивления потоку.
16.2 Встроенные вентиляторы
Встроенные вентиляторы могут быть учтены при расчете конструкции для удаления дымовых газов с несколькими источниками тепла только в том случае, если все эти источники тепла соединены через один общий каскад и если вентилятор расположен в последней коллекторной секции NC этого каскада.
В отличие от
формулы (49), теоретическая самотяга (основанная на эффекте дымохода) в последней коллекторной секции
N,
PHC,N, для встроенного вентилятора должна быть рассчитана по формуле

, (123)
где HC,N - эффективная высота последней коллекторной секции N, м;
g - ускорение свободного падения, равное 9,81 м/с2;

- плотность наружного воздуха, кг/м
3;

- средняя плотность дымовых газов в последней коллекторной секции
N, кг/м
3;
Pвен - прирост давления, создаваемый встроенным вентилятором, Па.
В случае конструкций для удаления дымовых газов под разрежением должны быть подтверждены требования, изложенные в
14.2.1, и следующая взаимосвязь:
PZe >= PB, (124)
где PZe - необходимое разрежение на входе дымовых газов в конструкцию для удаления дымовых газов, Па;
PB - необходимое давление для преодоления сопротивления приточного воздуха, Па.
Примечание - При необходимости мощность встроенного вентилятора должна быть соответственно уменьшена.
В случае конструкций для удаления дымовых газов с избыточным давлением должны быть подтверждены требования, изложенные в
14.2.1, и следующая взаимосвязь:
PZOe + PHC,N - PRC,N <= PZexcess, (125)
где PZOe - максимально допустимое избыточное давление на входе дымовых газов в вертикальную часть конструкций для удаления дымовых газов, Па;
PHC,N - самотяга в последней коллекторной секции N, Па;
PRC,N - давление сопротивления последней коллекторной секции N, Па;
PZexcess - максимально допустимое расчетное давление конструкций для удаления дымовых газов, Па.
Примечание - При необходимости мощность встроенного вентилятора должна быть соответственно уменьшена.
Следующее уравнение обычно можно использовать для расчета прироста давления
Pвен, создаваемого встроенным вентилятором, в соответствии с
формулой (120):
Tвен = TeC,N, (126)
где Tвен - температура дымовых газов на встроенном вентиляторе, К;
TeC,N - температура дымовых газов на входе в последнюю коллекторную секцию N, К.
В отличие от
уравнения (31) теоретическая самотяга (основанная на эффекте дымохода) в последней секции конструкции для удаления дымовых газов
N,
PH,N для устройства всасывания дымовых газов должна быть рассчитана с использованием следующего уравнения:

, (127)
где HN - эффективная высота последней секции конструкции для удаления дымовых газов N, м;
g - ускорение свободного падения, равное 9,81 м/с2;

- плотность наружного воздуха, кг/м
3;

- средняя плотность дымовых газов в последней секции конструкций для удаления дымовых газов
N, кг/м
3;
Pвен - прирост давления, создаваемый дымососом, Па.
Расчет прироста давления Pвен, создаваемого дымососом, проводят в соответствии с формулой
Tвен = TO,N, (128)
где Tвен - температура дымовых газов на дымососе, К;
TO,N - температура дымовых газов на выходе из системы удаления продуктов сгорания, К.
(справочное)
Проектирование конструкций для удаления дымовых газов с несколькими источниками тепла требует некоторого опыта. Поэтому здесь перечислены некоторые рекомендации. Их следует соблюдать по мере возможности.
A.1 Рекомендации по конструкциям для удаления дымовых газов и источникам тепла
Источники тепла, которые долгое время не работают, должны быть закрыты дымовым клапаном или шибером для дымовых газов, если это разрешено. Эти устройства должны быть закрыты в периоды, когда не происходит сжигание топлива. Во всех случаях дверцы камер сгорания и отверстия подачи приточного воздуха устройства для сжигания топлива должны быть закрытыми.
A.2 Рекомендации касательно соединительных элементов
Соединительные элементы должны быть вертикальными и подключаться непосредственно от источника тепла к конструкции для удаления дымовых газов. Если это невозможно, тогда их длины не должны быть менее 0,5 м. Вертикальный участок от источника тепла должен быть по размеру более половины общей длины соединительного элемента. Общая длина соединительного элемента не должны быть более 2,5 м.
Поперечное сечение соединительного элемента должно быть постоянным по форме и размерам и иметь как минимум тот же гидравлический диаметр, что и у штуцера для удаления дымовых газов источника тепла. Если два источника тепла подключают к конструкции для удаления дымовых газов одним общим соединительным элементом, то поперечное сечение общего соединительного элемента рассчитывается по методике расчета, представленной в этих нормах, с учетом суммы номинальной тепловой мощности обоих источников тепла.
(справочное)
ПАРАМЕТРЫ ИСТОЧНИКА ТЕПЛА
Если производителем не заданы факторы
b0,
b1 и
b2, а также факторы
y0,
y1,
y2 для
уравнений (10) и
(11), от производителя источника тепла не указаны, однако значение выхлопных газов указано, применяют таблицу B.1, если данные по дымовым газам отсутствуют.
Таблица B.1
Параметры дымовых газов источника тепла с предоставленными
производителем данными по дымовым газам
Устройство для сжигания топлива | Условия эксплуатации | PWc,j | tWc,j |
b0 | b1 | b2 | b3 | b4 | y0 | y1 | y3 |
Источник тепла на твердом топливе без вентилятора | включен | 0 | 0 | 0 | 0 | PW,j | tW,j | 0 | 0 |
выключен | 0 | 0 | PW,j | 0 | 0 | tuV,j | 0 | 0 |
Источник тепла на жидком топливе без вентилятора | включен | 0 | 0 | PW,j | 0 | 0 | tW,j | 0 | 0 |
выключен | 0 | 0 | PW,j | 0 | 0 | tuV,j | 0 | 0 |
Источник тепла с предохранителем потока для газа | включен | 0 | 0 | PW,j | 0 | 0 | tuV,j | tW,j - tuV,j | -1 |
выключен | 0 | 0 | PW,j | 0 | 0 | tuV,j | 0 | 0 |
Источник тепла без защиты потока газа с вентилятором | включен | - PWG,j | 0 | PW,j + PWG,j | 0 | 0 | tW,j | 0 | 0 |
выключен | 0 | 0 | PW,j + PWG,j | 0 | 0 | tuV,j | 0 | 0 |
Примечание - В настоящей таблице применены следующие обозначения: tuV,j - температура окружающего воздуха рядом с источником тепла; tW,j - температура дымовых газов источника тепла j; PW,j - необходимое разрежение на источнике тепла, j; PWG,j - гарантированная разница давлений, обеспечиваемая вентилятором при номинальной тепловой мощности; PW,j может быть наименьшем значением, при котором источник тепла работает должным образом, как указано производителем. При этом tuV,j и tW,j должны соответствовать этому значению. |
Таблица B.2
Параметры дымовых газов источников тепла,
для которых нет доступных значений по дымовым газам
Устройство для сжигания топлива | Условия эксплуатации | PWc,j | tWc,j |  , г/(с·кВт) | (CO2)W,j, % |
b0, Па | b1, Па | b2, Па | b3, Па | b4, Па | y0, °C | y1, °C | y2, °C |
Источник тепла топлива на твердом топливе без вентилятора | включен | 0 | 0 | 0 | 250 | 12 | 250 | 0 | 0 | 1,2 | 8,1 |
выключен | 0 | 0 | 13,5 | 0 | 0 | tuV,j | 0 | 0 | 1,2 | 0 |
Источник тепла на жидком топливе без вентилятора | включен | 0 | 0 | 9 | 0 | 0 | tW,j | 0 | 0 | 0,85 | 7,0 |
выключен | 0 | 0 | 13,5 | 0 | 0 | tuV,j | 0 | 0 | 0,85 | 0 |
Источник тепла с предохранителем потока для газа | включен | 0 | 0 | 3,1 | 0 | 0 | tuV,j | 130 - tuV,j | 0 | 0,84 | 5,4 |
выключен | 0 | 0 | 3,6 | 0 | 0 | tuV,j | 0 | 0 | 0,84 | 0 |
Источник тепла без защиты потока газа с вентилятором | включен | -50 | 0 | 50 | 0 | 0 | tW,j | 0 | 0 | - | - |
выключен | 0 | 0 | 50 | 0 | 0 | tuV,j | 0 | 0 | - | - |
Таблица B.3
Спецификация котлов на газообразном топливе типа C(10)
для использования в качестве исходных данных
для расчета дымовых газов
Свойство | При минимальной нагрузке (Qmin,j) | При номинальной нагрузке (QN,j) |
 , г/с | | |
ToV,j, °C | 25 | 25 |
PWO,j, Па | 25 | |
Примечание - В настоящей таблице применены следующие обозначения: QN,j - номинальная тепловая мощность источника тепла, кВт; Qmin,j - наименьшая тепловая мощность источника тепла j, кВт;  - массовый расход дымовых газов источника тепла j, г/с; ToV,j - температура дымовых газов на конце разъема, °C; PWO,j - максимально допустимое избыточное давление источника тепла j, Па. |
(справочное)
СВЕДЕНИЯ О СООТВЕТСТВИИ ССЫЛОЧНЫХ НАЦИОНАЛЬНЫХ СТАНДАРТОВ
ЕВРОПЕЙСКИМ СТАНДАРТАМ, ИСПОЛЬЗОВАННЫМ В КАЧЕСТВЕ ССЫЛОЧНЫХ
В ПРИМЕНЕННОМ СТАНДАРТЕ
Таблица ДА.1
Обозначение ссылочного национального, стандарта | Степень соответствия | Обозначение и наименование ссылочного стандарта |
(EN 1443:2019) | MOD | EN 1443:2019 "Конструкции для удаления дымовых газов. Общие требования безопасности" |
| MOD | DIN EN 13384-1:2015+A1:2019 "Конструкции для удаления дымовых газов. Теплотехнический и аэродинамический расчет. Часть 1. Конструкции для удаления дымовых газов от одного источника тепла" |
Примечание - В настоящей таблице использовано следующее условное обозначение степени соответствия стандартов: - MOD - модифицированные стандарты. |
| ЕН 16475-2:2017 | Дымоходы. Вспомогательные приспособления. Часть 2. Вытяжные трубные вентиляторы (Chimneys - Accessories - Part 2: Chimney fans - Requirements and test methods) |
УДК 66.065.54:006.354 | |
Ключевые слова: устройства для удаления, дымовые газы, металлические конструкции, строительные компоненты, испытания |