Главная // Актуальные документы // ГОСТ Р (Государственный стандарт)СПРАВКА
Источник публикации
М.: ФГБУ "Институт стандартизации", 2023
Примечание к документу
Документ
введен в действие с 01.10.2023.
Название документа
"ГОСТ Р 55706-2023. Национальный стандарт Российской Федерации. Освещение наружное утилитарное. Классификация и нормы"
(утв. и введен в действие Приказом Росстандарта от 13.06.2023 N 377-ст)
"ГОСТ Р 55706-2023. Национальный стандарт Российской Федерации. Освещение наружное утилитарное. Классификация и нормы"
(утв. и введен в действие Приказом Росстандарта от 13.06.2023 N 377-ст)
Утвержден и введен в действие
агентства по техническому
регулированию и метрологии
от 13 июня 2023 г. N 377-ст
НАЦИОНАЛЬНЫЙ СТАНДАРТ РОССИЙСКОЙ ФЕДЕРАЦИИ
ОСВЕЩЕНИЕ НАРУЖНОЕ УТИЛИТАРНОЕ
КЛАССИФИКАЦИЯ И НОРМЫ
Road lighting. Classification and requirements
ГОСТ Р 55706-2023
Дата введения
1 октября 2023 года
1 РАЗРАБОТАН Обществом с ограниченной ответственностью "Всесоюзный научно-исследовательский светотехнический институт имени С.И. Вавилова" (ООО "ВНИСИ")
2 ВНЕСЕН Техническим комитетом по стандартизации ТК 332 "Светотехнические изделия, освещение искусственное"
3 УТВЕРЖДЕН И ВВЕДЕН В ДЕЙСТВИЕ
Приказом Федерального агентства по техническому регулированию и метрологии от 13 июня 2023 г. N 377-ст
Правила применения настоящего стандарта установлены в статье 26 Федерального закона от 29 июня 2015 г. N 162-ФЗ "О стандартизации в Российской Федерации". Информация об изменениях к настоящему стандарту публикуется в ежегодном (по состоянию на 1 января текущего года) информационном указателе "Национальные стандарты", а официальный текст изменений и поправок - в ежемесячном информационном указателе "Национальные стандарты". В случае пересмотра (замены) или отмены настоящего стандарта соответствующее уведомление будет опубликовано в ближайшем выпуске ежемесячного информационного указателя "Национальные стандарты". Соответствующая информация, уведомления и тексты размещаются также в информационной системе общего пользования - на официальном сайте Федерального агентства по техническому регулированию и метрологии в сети Интернет (www.rst.gov.ru)
Настоящий стандарт распространяется на утилитарное наружное освещение и устанавливает классификацию и нормы освещения объектов улично-дорожной сети в пределах территорий городских и сельских населенных пунктов.
Настоящий стандарт применяют при проектировании и эксплуатации стационарных установок утилитарного наружного освещения.
Настоящий стандарт не распространяется на освещение автодорожных тоннелей, территорий железнодорожного, морского, речного, авиационного транспорта и промышленных предприятий, открытых спортивных сооружений, объектов, расположенных в пределах полосы отвода, а также архитектурное, ландшафтное, рекламное и охранное освещение.
В настоящем стандарте использованы нормативные ссылки на следующие документы:
ГОСТ 34819-2021 Приборы осветительные. Светотехнические требования и методы испытаний
СП 42.13330 "СНиП 2.07.01-89* Градостроительство. Планировка и застройка городских и сельских поселений"
СП 98.13330 "СНиП 2.05.09-90 Трамвайные и троллейбусные линии"
Примечание - При пользовании настоящим стандартом целесообразно проверить действие ссылочных стандартов (сводов правил) в информационной системе общего пользования - на официальном сайте Федерального агентства по техническому регулированию и метрологии в сети Интернет или по ежегодному информационному указателю "Национальные стандарты", который опубликован по состоянию на 1 января текущего года, и по выпускам ежемесячного информационного указателя "Национальные стандарты" за текущий год. Если заменен ссылочный документ, на который дана недатированная ссылка, то рекомендуется использовать действующую версию этого документа с учетом всех внесенных в данную версию изменений. Если заменен ссылочный документ, на который дана датированная ссылка, то рекомендуется использовать версию этого документа с указанным выше годом утверждения (принятия). Если после утверждения настоящего стандарта в ссылочный документ, на который дана датированная ссылка, внесено изменение, затрагивающее положение, на которое дана ссылка, то это положение рекомендуется применять без учета данного изменения. Если ссылочный документ отменен без замены, то положение, в котором дана ссылка на него, рекомендуется применять в части, не затрагивающей эту ссылку. Сведения о действии сводов правил целесообразно проверить в Федеральном информационном фонде стандартов.
В настоящем стандарте применены термины по
ГОСТ Р 56228, а также следующие термины с соответствующими определениями:
3.1 венчающий светильник: Осветительный прибор с вертикально ориентируемым корпусом, который устанавливается на вершине вертикальной опоры и световой центр которого лежит на вертикали, проходящей через точку крепления.
3.2 вертикальная освещенность, лк: Освещенность на вертикальной плоскости.
3.3 дорога: Обустроенная и используемая для движения транспортных средств и пешеходов полоса земли либо поверхность искусственного сооружения.
3.4 жилой район: Архитектурно-планировочная структурная часть жилой застройки, состоящая из нескольких микрорайонов, объединенных общественным центром, ограниченная магистральными улицами общегородского и районного значения.
3.5 категория объекта улично-дорожной сети: Градостроительная характеристика объекта улично-дорожной сети, определяемая значимостью объекта и его размещением в пределах территории населенного пункта.
3.6 класс объекта по освещению: Характеристика объекта улично-дорожной сети по освещению, соответствующая категории объекта.
3.7 коэффициент пульсации освещенности Kп, %: Критерий оценки относительной глубины колебаний освещенности в результате изменения во времени светового потока источников света в осветительной установке при питании их переменным током, выраженный формулой

(1)
где Emax и Emin - соответственно максимальное и минимальное значения освещенности за период ее колебания, лк;

- среднее значение освещенности за период колебаний, лк.
3.8 коэффициент эксплуатации fm: Эксплуатационный показатель осветительной установки, учитывающий снижение уровня освещения в осветительной установке в процессе ее эксплуатации в зависимости от характеристик применяемого светотехнического оборудования, условий окружающей среды и режима обслуживания осветительной установки.
3.9 микрорайон: Часть планировочной структуры городского и сельского поселения, не расчлененная магистральными улицами и дорогами, в границах красных линий магистральных или местных улиц, полос отвода железнодорожного транспорта, наземного внеуличного транспорта общего пользования, границ рекреационных зон.
3.10
общая равномерность распределения яркости дорожного покрытия Uо: Отношение минимального значения яркости дорожного покрытия
Lmin к ее среднему значению

, определенное применительно ко всей ширине дороги

.
3.11 относительная удельная мощность дорожного освещения Dp, мВт·(м-2·лк-1): Показатель энергоэффективности освещения участка дороги, определяемый отношением мощности установленного осветительного оборудования к площади расчетного поля освещенности и средней освещенности этого поля.
3.12 перекресток: Транспортный узел, в котором две или более дороги соединяются или пересекаются в одном уровне.
3.13 пешеходная дорожка: Размещаемое за пределами проезжей части дороги инженерное сооружение, предназначенное для движения пешеходов.
3.14 пешеходная зона: Территория, предназначенная для передвижения пешеходов, на которой не допускается движение автотранспорта, за исключением специального транспорта, обслуживающего эту территорию.
3.15 площадь: Организованное пространство улично-дорожной сети населенных пунктов, предназначенное для движения транспорта и (или) пешеходов.
3.16 полоса отвода: Земельные участки (независимо от категории земель), которые предназначены для размещения конструктивных элементов и дорожных сооружений.
3.17 полуцилиндрическая освещенность Esc, лк: Отношение светового потока, падающего на внешнюю цилиндрическую поверхность бесконечно малого полуцилиндра с центром в заданной точке, к площади этой поверхности.
Примечание - Применительно к утилитарному наружному освещению, полуцилиндрическую освещенность используют в качестве критерия оценки различения лиц встречных пешеходов и определяют как среднюю плотность светового потока на цилиндрической поверхности бесконечно малого полуцилиндра, расположенного вертикально на продольной линии улицы на высоте 1,5 м и ориентированного внешней нормалью к плоской боковой поверхности в направлении преимущественного движения пешеходов.
3.18 поперечный профиль: Поперечное сечение улицы или дороги, которое, в зависимости от категории, включает в себя: проезжую часть, боковые проезды, тротуары (пешеходные, технические), полосы и (или) дорожки для движения велотранспорта, полосы озеленения, полосы размещения ограждений, полосы безопасности, краевые и разделительные полосы, переходно-скоростные полосы, зоны озеленения, обочины, а также зоны для размещения инженерных коммуникаций и другие элементы.
3.19 пороговое приращение яркости TI, %: Мера слепящей блескости, характеризующая увеличение контраста между объектом и его фоном, при котором видимость объекта при наличии блеского источника света стала бы такой же, как и в его отсутствие.
3.20 продольная равномерность распределения яркости дорожного покрытия UI: Отношение минимального значения яркости дорожного покрытия Lmin к ее максимальному значению Lmax по оси полосы движения: UI = Lmin/Lmax.
3.21
равномерность распределения освещенности на дорожном покрытии Uh: Отношение минимального значения освещенности
Emin к ее среднему значению

:

.
3.22 рекреационная территория: Территория, предназначенная для организации мест отдыха населения и включает в себя парки, сады, городские леса, лесопарки, пляжи, иные объекты.
Примечание - В рекреационные зоны допускается включать особо охраняемые природные территории и природные объекты.
3.23 скоростная дорога: Автомобильная дорога, имеющая на всем протяжении многополосную проезжую часть с центральной разделительной полосой, не имеющая пересечений в одном уровне с автомобильными, железными дорогами, трамвайными путями, велосипедными и пешеходными дорожками, доступ на которые возможен через пересечения в разных уровнях и примыкания в одном уровне (без пересечения потоков прямого направления), устроенных не чаще, чем через 3 км друг от друга.
3.24
средняя освещенность
, лк: Освещенность, усредненная по заданной поверхности.
Примечание - На практике эту величину вычисляют усреднением значений освещенности в определенных точках этой поверхности.
3.25
средняя яркость дорожного покрытия
, кд/м2: Яркость дорожного покрытия в направлении глаза наблюдателя, находящегося в стандартных условиях наблюдения на оси полосы движения транспорта, средневзвешенная по площади проезжей части заданного участка.
3.26 стандартные условия наблюдения: Условия наблюдения водителем транспортного средства, при которых глаз наблюдателя располагается на высоте 1,5 м над дорожным покрытием и удален от расчетной точки на расстояние, при котором линия зрения направлена в расчетную точку под углом 1,0° +/- 0,5° к плоскости дороги.
3.27 транспортная развязка: Место пересечения двух или более дорог в разных уровнях с одним или более соединяющими съездами, обеспечивающими перемещение между этими дорогами.
3.28 тротуар: Территория части улиц и дорог населенных пунктов, сформированная вдоль проезжей части, входящая в состав поперечного профиля улиц, отделенная бортовым камнем и приподнятая над проезжей частью или обозначенная разметкой (или отделенная другим способом), предназначенная для движения пешеходов, размещения опор освещения, элементов благоустройства, озеленения.
3.29 улица: Пространство, полностью или частично ограниченное зданиями с одной или обеих сторон, с проезжей частью для транспорта, с пешеходными и велосипедными дорожками.
3.30 улично-дорожная сеть: Совокупность улиц, дорог, проездов, площадей и пешеходные пространства в пределах населенного пункта.
3.31 утилитарное наружное освещение: Стационарное освещение, обеспечивающее безопасное и комфортное движение транспортных средств и пешеходов на магистралях, улицах, велосипедных дорожках, в пешеходных зонах в темное время суток в пределах территорий городских и сельских населенных пунктов.
3.32 участок дороги или улицы со стандартной геометрией проезжей части: Участок дороги или улицы, проезжая часть которого представляет собой плоское прямоугольное полотно, длину которого определяют стандартными условиями наблюдения.
Примечание - Прямолинейность проезжей части определяют следующими условиями: радиус кривизны в плане - не менее 3000 м, радиус кривизны в продольном профиле - не менее 7000 м для выпуклых кривых и не менее 8000 м для вогнутых кривых.
3.33 участок дороги или улицы с нестандартной геометрией проезжей части: Участок дороги или улицы, имеющей отклонения от стандартной геометрии: повороты, развилки, въезды и съезды с эстакад, криволинейные (в плане и профиле) участки и др.
4.1 Категории объектов улично-дорожной сети, предназначенных для движения транспорта в пределах территорий больших городов, и классы по освещению установлены в
таблице 1.
Таблица 1
Категории объектов улично-дорожной сети в пределах
территорий больших городов и классы объектов по освещению
Категории объектов | Основное назначение объектов | Расчетная скорость движения, км/ч | Число полос движения в обоих направлениях | Классы объектов по освещению |
Магистральные дороги |
1-й класс - скоростное движение | Скоростная транспортная связь между удаленными промышленными и жилыми районами; выходы на внешние автомобильные дороги, к аэропортам, крупным зонам массового отдыха и поселениям в системе расселения. Движение непрерывное. Доступ транспортных средств через развязки в разных уровнях. Пропуск всех видов транспорта. Пересечение с дорогами и улицами всех категорий в разных уровнях. Пешеходные переходы устраивают вне проезжей части | 120 | 4 - 8 | А1 |
2-й класс - регулируемое движение | Транспортная связь между районами города, выходы на внешние автомобильные дороги. Проходят вне жилой застройки. Движение регулируемое. Доступ транспортных средств через пересечения и примыкания не чаще, чем через 300 - 400 м. Пропуск всех видов транспорта. Пересечение с дорогами и улицами всех категорий в одном или разных уровнях. Пешеходные переходы устраивают вне проезжей части и в уровне проезжей части | 80 | 2 - 6 | А2 |
Магистральные улицы общегородского значения |
1-й класс - непрерывное движение | Транспортная связь между жилыми, промышленными районами и общественными центрами, а также с другими магистральными улицами, городскими и внешними автомобильными дорогами. Движение непрерывное. Основные транспортные коммуникации, обеспечивающие скоростные связи в пределах урбанизированных городских территорий. Обеспечивают выход на автомобильные дороги. Обслуживание прилегающей застройки осуществляют с боковых или местных проездов. Пропуск всех видов транспорта. Пешеходные тротуары устраиваются вне проезжей части | 100 | 4 - 8 | А2 |
2-й класс - регулируемое движение | Транспортная связь между жилыми, промышленными районами и центром города, центрами планировочных районов; выходы на внешние автомобильные дороги. Транспортно-планировочные оси города, основные элементы функционально-планировочной структуры города, поселения. Движение регулируемое. Пропуск всех видов транспорта. Для движения наземного общественного транспорта устраивают выделенную полосу при соответствующем обосновании. Пересечение с дорогами и улицами других категорий в одном или разных уровнях. Пешеходные переходы устраивают вне проезжей части и в уровне проезжей части со светофорным регулированием | 80 | 4 - 8 | А3 |
3-й класс - регулируемое движение | Связывают районы города, городского округа между собой. Движение регулируемое и саморегулируемое. Пропуск всех видов транспорта. Для движения наземного общественного транспорта устраивают выделенную полосу при соответствующем обосновании. Пешеходные переходы устраивают в уровне проезжей части и вне проезжей части | 60 - 70 | 4 - 6 | А4 |
Магистральные улицы районного значения | Транспортная и пешеходная связи в пределах жилых районов, выходы на другие магистральные улицы. Обеспечивают выход на улицы и дороги межрайонного и общегородского значения. Движение регулируемое и саморегулируемое. Пропуск всех видов транспорта. Пересечение с дорогами и улицами в одном уровне. Пешеходные переходы устраивают вне проезжей части и в уровне проезжей части | 60 | 4 - 6 | Б1 |
Улицы и дороги местного значения |
Улицы в жилой застройке | Транспортные и пешеходные связи на территории жилых районов (микрорайонов), выходы на магистральные улицы районного значения, улицы и дороги регулируемого движения. Обеспечивают непосредственный доступ к зданиям и земельным участкам | 60 | 2 - 4 | В1 |
Улицы в общественно-деловых и торговых зонах | Транспортные и пешеходные связи внутри зон и районов для обеспечения доступа к торговым, офисным и административным зданиям, объектам сервисного обслуживания населения, образовательным организациям и др. Пешеходные переходы устраивают в уровне проезжей части | 60 | 2 - 4 | В2 |
Улицы и дороги в производственных зонах | Транспортные и пешеходные связи внутри промышленных, коммунально-складских зон и районов, обеспечение доступа к зданиям и земельным участкам этих зон. Пешеходные переходы устраивают в уровне проезжей части | 50 | 2 - 4 | В3 |
Категории объектов улично-дорожной сети, предназначенных для движения транспорта в пределах территорий малых городов, и классы по освещению установлены в
таблице 2.
Примечания
1 Категории объектов улично-дорожной сети - в соответствии с
СП 42.13330.
2 К территориям больших городов относятся городские поселения с населением более 100 000 человек.
3 К территориям малых городов относятся городские поселения с населением менее 100 000 человек.
Таблица 2
Категории объектов улично-дорожной сети в пределах
территорий малых городов и классы объектов по освещению
Категории объектов | Основное назначение объектов | Расчетная скорость движения, км/ч | Число полос движения в обоих направлениях | Классы объектов по освещению |
Городские дороги | Транспортная связь между районами города, выходы на внешние автомобильные дороги. Проходит вне жилой застройки. Движение регулируемое и саморегулируемое. Пропуск всех видов транспорта. Пересечение с дорогами и улицами в одном уровне. Пешеходные переходы устраивают в уровне проезжей части | 60 - 70 | 2 - 4 | Б1 |
Улицы общегородского значения | Транспортная связь между жилыми, промышленными районами и центром города, выходы на внешние автомобильные дороги. Транспортно-планировочные оси города. Движение регулируемое и саморегулируемое. Пропуск всех видов транспорта. Пешеходные переходы устраивают в уровне проезжей части | 60 - 70 | 2 - 4 | Б1 |
Улицы районного значения | Транспортные и пешеходные связи в пределах жилых районов, выходы на улицы общегородского значения. Движение регулируемое и саморегулируемое. Пропуск всех видов транспорта. Пересечение с дорогами и улицами в одном уровне. Пешеходные переходы устраивают в уровне проезжей части | 60 | 2 - 4 | Б2 |
Улицы в жилой застройке | Транспортные и пешеходные связи на территории жилых районов (микрорайонов), выходы на улицы общегородского и районного значения. Обеспечивают непосредственный доступ к зданиям и земельным участкам | 60 | 2 - 4 | В1 |
Улицы в общественно-деловых и торговых зонах | Транспортные и пешеходные связи внутри зон и районов для обеспечения доступа к торговым, офисным и административным зданиям, объектам сервисного обслуживания населения, образовательным учреждениям и др. Пешеходные переходы устраивают в уровне проезжей части | 60 | 2 - 4 | В2 |
Улицы и дороги в производственных зонах | Транспортные и пешеходные связи внутри промышленных, коммунально-складских зон и районов, обеспечение доступа к зданиям и земельным участкам этих зон. Пешеходные переходы устраивают в уровне проезжей части | 50 | 2 - 4 | В3 |
4.2 Категории объектов улично-дорожной сети, предназначенных для движения транспорта, в пределах территорий сельских населенных пунктов установлены в
таблице 3.
Таблица 3
Категории объектов улично-дорожной сети в пределах
территорий сельских населенных пунктов
Категории объектов | Основное назначение объектов | Расчетная скорость движения, км/ч | Число полос движения в обоих направлениях |
Основные улицы сельского поселения | Проходят по всей территории сельского населенного пункта, осуществляют основные транспортные и пешеходные связи, а также связь территории жилой застройки с общественным центром. Выходят на внешние дороги | 60 | 2 - 4 |
Местные улицы | Обеспечивают связь жилой застройки с основными улицами | 40 | 2 |
Местные дороги | Обеспечивают связи жилых и производственных территорий, обслуживают производственные территории | 30 | 2 |
Проезды | Обеспечивают непосредственный подъезд к участкам жилой, производственной и общественной застройки | 30 | 1 |
Примечание - Поселковые дороги, проезды на территории садовых товариществ и дачных кооперативов относятся к категории "Проезды". |
4.3 Классы по освещению пешеходных зон установлены в
таблице 4.
Таблица 4
Классы объектов по освещению пешеходных зон
Классы объектов по освещению | Характеристика объектов |
П1 | Площадки перед входами в парки, культурно-массовые, развлекательные, торговые и спортивные объекты |
П2 | Главные пешеходные улицы исторической части города и основных общественных центров административных округов, площадки детские и для отдыха |
П3 | Пешеходные улицы, аллеи городских парков, выставок и спортивных объектов, тротуары |
П4 | Подъезды, подходы и центральные аллеи детских, учебных и лечебно-оздоровительных учреждений и санаториев |
П5 | Проезды и проходы на улицах местного значения в жилой застройке |
П6 | Хозяйственные площадки на улицах местного значения в жилой застройке, непроезжие и предзаводские площади |
Утилитарное наружное освещение должно быть предусмотрено на всех объектах улично-дорожной сети в пределах территорий городских и сельских населенных пунктов, а также за пределами улиц и дорог всех категорий, проходящих в городских и сельских населенных пунктах, на расстоянии от них не менее 100 м.
5.1 Параметры нормирования освещения объектов улично-дорожной сети
5.1.1 Параметры нормирования по яркости:
- средняя яркость дорожного покрытия

;
- общая равномерность яркости Uо;
- продольная равномерность яркости UI.
Параметры нормирования по яркости следует применять при проектировании освещения проезжей части участков улиц, дорог и площадей со стандартной геометрией и асфальтобетонным покрытием.
5.1.2 Параметры нормирования по освещенности:
- средняя освещенность на дорожном покрытии

;
- равномерность освещенности Uh.
Параметры нормирования по освещенности следует применять при проектировании освещения:
- улиц и дорог в сельских населенных пунктах;
- участков улиц и дорог с нестандартной геометрией;
- участков улиц и дорог с покрытием, отличным от асфальтобетонного (брусчатка, бетонные плиты и другие материалы);
- улиц местного значения в жилой застройке;
- трамвайных путей;
- подъездов к местам заправки транспорта и на открытых автостоянках;
- пешеходных зон и велодорожек;
- пешеходных переходов;
- дорог и улиц поселений, расположенных в северной климатической зоне азиатской части России и севернее 66° северной широты европейской части России.
5.1.3 Параметры качества осветительной установки:
- пороговое приращение яркости TI;
- коэффициент пульсации освещенности;
- относительная удельная мощность дорожного освещения Dp.
5.2 Нормы освещения проезжей части объектов улично-дорожной сети
5.2.1 Нормы освещения проезжей части объектов улично-дорожной сети в городских населенных пунктах приведены в
таблице 5, а в сельских населенных пунктах - в
таблице 6.
Примечание - При проектировании освещения проезжей части участков улиц, дорог и площадей со стандартной геометрией и южнее 66° северной широты нормирование осуществляют как по яркости, так и по освещенности с приоритетом нормирования по яркости.
Таблица 5
Нормы освещения проезжей части объектов улично-дорожной сети
городских населенных пунктов
Классы объектов по освещению | Средняя яркость дорожного покрытия  , кд/м 2, не менее | Общая равномерность распределения яркости дорожного покрытия Uо, не менее | Продольная равномерность распределения яркости дорожного покрытия UI, не менее | Пороговое приращение яркости TI, %, не более | Средняя освещенность дорожного покрытия  , лк, не менее | Равномерность распределения освещенности дорожного покрытия Uh, не менее | Коэффициент пульсации освещенности Kп, % не более <1> | Относительная удельная мощность дорожного освещения Dp, мВт·(м -2·лк -1), не более <2> |
А1 | 2,00 | 0,40 | 0,70 | 10 | 30,0 | 0,35 | 15 | 60 |
А2 | 1,60 | 10 | 20,0 | 50 |
А3 | 1,40 | 12 | 20,0 | 45 |
А4 | 1,20 | 12 | 20,0 | 45 |
Б1 | 1,20 | 0,40 | 0,60 | 12 | 20,0 | 0,35 | 45 |
Б2 | 1,00 | 15 | 15,0 | 53 |
В1 | 0,80 | 0,40 | 0,50 | 15 | 15,0 | 0,25 | 50 |
В2 | 0,60 | 15 | 10,0 | 50 |
В3 | 0,40 | 0,35 | 0,40 | 20 | 6,00 | 50 |
<1> Значения приведены для осветительных установок со светодиодными источниками света. Для осветительных установок с разрядными источниками света норму коэффициента пульсации освещенности не применяют. <2> Определение показателя относительной удельной мощности установки утилитарного наружного освещения приведено в приложении А. |
Таблица 6
Нормы освещения проезжей части объектов улично-дорожной сети
сельских населенных пунктов
Освещаемые объекты | Нормы  , лк, не менее | Равномерность Uh, не менее |
Основные улицы сельского поселения | 15,0 | 0,25 |
Местные улицы | 10,0 |
Местные дороги | 5,00 |
Проезды | 3,00 | 0,10 |
5.2.2 Средняя яркость

или средняя освещенность

дорожного покрытия улиц и дорог, пересекающихся в одном уровне, должна соответствовать значениям, установленным для основной магистрали, на расстоянии не менее 100 м от линии примыкания.
На съездах и ответвлениях улиц и дорог, пересекающихся в разных уровнях, в границах транспортной развязки значение средней яркости

дорожного покрытия должно быть не менее 1,2 кд/м
2 или значение средней освещенности

- не менее 20 лк.
Средняя яркость

или средняя освещенность

дорожного покрытия улиц местного значения, примыкающих к скоростной дороге или магистральной улице, должны быть не менее 1/3 значений

или

, установленных для соответствующей улицы или дороги, на расстоянии не менее 100 м от линии примыкания.
5.2.3 Средняя освещенность

и равномерность освещенности
Uh на поверхности прокладки трамвайных путях, расположенных на проезжей части улиц или дорог, должны соответствовать указанным в
таблице 4. Средняя освещенность

на обособленном трамвайном пути должна быть не менее 10 лк.
Допускается не освещать обособленные трамвайные пути на перегонах вне городской застройки.
Высоту размещения осветительных приборов на улицах, дорогах и площадях с трамвайным и троллейбусным движением определяют с учетом требований
СП 98.13330.
5.2.4 Средняя освещенность

покрытия велодорожек в составе поперечного профиля улицы или дороги должна быть не менее 50% от средней нормируемой освещенности на проезжей части улицы или дороги, в составе которых расположена велодорожка.
Средняя освещенность

покрытия велодорожек на рекреационных территориях в жилых районах должна быть не менее 10 лк при равномерности
Uh - не менее 0,3.
5.2.5 Для ограничения слепящего действия на улицах, дорогах и в транспортных зонах площадей, для которых нормируется освещенность, осветительные приборы, применяемые в осветительной установке, должны соответствовать требованиям ГОСТ 34819-2021
(подпункт 5.1.1.5).
5.2.6 Осветительные приборы, используемые в установке для освещения больших площадей (пространств) и транспортных развязок, установленные на опорах высотой 20 м и более, должны обеспечивать направление максимума силы света под углом не более 65° от вертикали. Сила света под углами 80°, 85°, 90° в рабочем положении осветительных приборов не должна превышать соответственно 50, 30 и 10 кд на 1 клм светового потока осветительных приборов. Высота расположения осветительных приборов над дорожным покрытием проезжей части верхнего уровня транспортного пересечения должна быть не менее 10 м.
5.2.7 При нормируемой средней яркости

более 0,8 кд/м
2 или средней освещенности

более 15 лк для проезжей части городских улиц, дорог и площадей допускается в ночное время отключение части осветительных приборов или понижение их мощности, при этом соответствующие нормируемые значения снижают:
на 30% - при уменьшении интенсивности движения до 1/3 максимального значения;
на 50% - при уменьшении интенсивности движения до 1/5 максимального значения.
В ночное время частичное отключение осветительных приборов при их установке по одному на опоре не допускается.
Примечание - Требование применяют при наличии информации об интенсивности с датчиков интенсивности движения или на основании статистических данных.
5.2.8 Для ориентации водителей осветительные приборы должны быть расположены так, чтобы образуемая ими линия однозначно указывала направление дороги.
5.2.9 При проектировании установок утилитарного наружного освещения при условии проведения чисток осветительных приборов не менее двух раз в год коэффициент эксплуатации должен иметь следующие значения:
- 0,67 - при применении осветительных приборов с лампами;
- 0,70 - при применении осветительных приборов со светодиодами.
5.2.10 Значения средней освещенности

на дорожном покрытии подъездов к местам заправки транспорта и на открытых автостоянках должны соответствовать указанным в
таблице 7.
Таблица 7
Нормы освещенности на дорожном покрытии подъездов к местам
заправки транспорта и на открытых автостоянках
Освещаемые объекты |  , лк, не менее |
Подъездные пути с улиц и дорог классов по освещению: | |
- А1, А2, А3, А4, Б1 и Б2; | 15,0 |
- В1, В2, В3 | 10,0 |
Места заправки и слива нефтепродуктов | 20,0 |
Открытые стоянки на улицах всех классов по освещению, а также платные вне улиц, открытые стоянки в микрорайонах, проезды между рядами гаражей боксового типа | 6,00 |
Осветительные приборы, установленные на территориях автозаправок и автостоянок, прилегающих к улицам и дорогам, должны иметь силу света Iпред в направлении глаза водителя транспортного средства не более 30 кд на 1 клм светового потока осветительного прибора. Не допускается направлять прожекторы, установленные на крышах и навесах строений или опорах, в сторону проезжей части улицы или дороги.
5.3 Нормы освещения улиц местного значения внутри жилых застроек
5.3.1 Нормы освещения проезжей части улиц местного значения внутри жилых застроек должны соответствовать классам по освещению В1 и В2, указанным в
таблице 5, а проездов и проходов - классу освещения П5 в соответствии с
таблицей 9.
Ограничение слепящего действия при освещении улиц - в соответствии с
5.2.5.
5.3.2 Вертикальная освещенность на окнах жилых зданий от совместного действия установок всех видов наружного освещения, включая утилитарное, архитектурное, ландшафтное, рекламное и витринное, в зависимости от норм средней яркости

или средней освещенности

проезжей части не должна превышать значений
Ev,max, приведенных в
таблице 8.
Таблица 8
Нормы вертикальной освещенности на окнах жилых зданий
 , кд/м 2 |  , лк | Ev,max, лк |
До 0,6 | До 10 | 7 |
От 0,8 до 1,0 | 15 | 10 |
От 1,2 до 2,0 | От 20 до 30 | 20 |
На пешеходных улицах вне центра города, на внутридворовых территориях, а также на любых улицах, прилегающих к спальным корпусам больниц и лечебно-курортных учреждений, вертикальная освещенность Ev,max на окнах квартир жилых зданий и палат спальных корпусов детских учреждений должна быть не более 5 лк.
Для ограничения засветки окон применяют осветительные приборы с ограниченным светораспределением или с экранирующими решетками и козырьками.
5.3.3 Средняя освещенность

дорожного покрытия подъездов к противопожарным источникам воды, расположенным на неосвещенных частях проездов, должна быть не менее 2 лк.
5.3.4 Над входом в здание или рядом с ним устанавливают осветительные приборы, обеспечивающие среднюю освещенность покрытия

, не менее:
- 6 лк - на площадке основного входа;
- 4 лк - на площадке запасного или технического входа, а также на пешеходной дорожке в пределах 4 м от основного входа в здание.
5.4 Нормы освещения пешеходных зон
5.4.1 Нормы освещения для пешеходных зон в зависимости от класса объекта по освещению должны соответствовать указанным в
таблице 9.
Таблица 9
Нормы освещения для пешеходных зон
Классы объектов по освещению |  , лк, не менее | Uh, не менее |
П1 | 25 | 0,3 |
П2 | 15 |
П3 | 10 |
П4 | 10 | 0,2 |
П5 | 6 |
П6 | 4 |
5.4.2 Средняя освещенность

на покрытии тротуара, примыкающего к проезжей части улицы или дороги, должна быть не менее 50% от средней нормируемой освещенности на проезжей части этой же улицы или дороги.
Равномерность освещенности Uh на покрытии тротуара должна быть не менее 0,3.
5.4.3 Среднее значение полуцилиндрической освещенности

для пешеходных улиц должно быть не менее 6 лк, а минимальное
Esc,min - 2 лк.
5.4.4 Для ограничения слепящего действия венчающих светильников для освещения пешеходных зон, парковых зон, скверов, бульваров и т.д. значение показателя ограничения слепящего действия I85/A0,5, кд/м, должно быть не более:
- 4000 - при высоте установки осветительного прибора до 4,5 м включительно;
- 5500 - при высоте установки осветительного прибора свыше 4,5 до 6 м включительно;
- 7000 - при высоте установки осветительного прибора свыше 6 м.
Определение показателя ограничения слепящего действия венчающих светильников приведено в
приложении Б.
5.4.5 Значение средней освещенности

покрытий площадок, проездов, проходов между рядами павильонов, палаток, контейнеров и т.п. на территории открытых рынков и торговых ярмарок должно быть не менее 10 лк. Минимальная освещенность

- не менее 4 лк.
Допускается снижение средней освещенности

до 4 лк после закрытия рынка или торговой ярмарки.
5.5 Нормы освещения пешеходных переходов
5.5.1 Освещение наземных пешеходных переходов
5.5.1.1 При освещении наземных пешеходных переходов для обозначения зоны перехода следует применять осветительные приборы с источниками света с цветностью, контрастной по отношению к цветности источников света основного освещения улицы.
5.5.1.2 На пешеходных переходах в одном уровне с проезжей частью улиц и дорог классов по освещению А и Б норма средней освещенности

должна быть в 1,5 раза выше, чем на пересекаемой проезжей части. Повышение уровня освещенности достигают уменьшением шага опор, установкой дополнительных или более мощных осветительных приборов.
5.5.1.3 Светораспределение осветительных приборов и их ориентация относительно наземного пешеходного перехода должны обеспечивать контраст пешехода с фоном (проезжей частью) и не вызывать ослепления водителей. Осветительные приборы устанавливают перед переходом по отношению к приближающемуся транспорту, направляя свет на пешехода со стороны водителя. На дорогах с двусторонним движением осветительные приборы устанавливают перед перекрестком относительно обоих направлений движения.
Для снижения слепимости водителей рекомендуется использовать осветительные приборы с асимметричным светораспределением (кососветы).
5.5.2 Освещение подземных и надземных пешеходных переходов
5.5.2.1 Нормы средней освещенности

на полу подземных и надземных пешеходных переходов приведены в
таблице 10.
Таблица 10
Нормы освещения подземных и надземных пешеходных переходов
Наименование объекта |  , лк, не менее |
Подземные пешеходные переходы и тоннели: | |
- проходы; | 75 |
- лестницы и пандусы | 40 |
Открытые пешеходные мостики | 10 |
Надземные пешеходные переходы с прозрачными стенами и потолком или застекленными стеновыми проемами: | |
- проходы; | 75 |
- лестничные сходы, съезды и смотровые площадки | 50 |
5.5.2.2 Равномерность освещенности Uh на покрытии подземных и надземных переходов должна быть не менее 0,3.
5.5.2.3 В подземных и надземных пешеходных переходах используют осветительные приборы с защитным углом не менее 15° или с диффузными и призматическими рассеивателями.
(справочное)
ОПРЕДЕЛЕНИЕ ПОКАЗАТЕЛЯ ОТНОСИТЕЛЬНОЙ УДЕЛЬНОЙ МОЩНОСТИ
УСТАНОВКИ УТИЛИТАРНОГО НАРУЖНОГО ОСВЕЩЕНИЯ
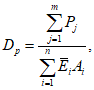
Относительную удельную мощность осветительной установки Dp, мВт·(м-2·лк-1), рассчитывают по формуле

(А.1)
где Pj - мощность j-го осветительного прибора, отнесенного к выбранному расчетному полю, Вт;
m - число осветительных приборов, отнесенных к выбранному расчетному полю;

- расчетное значение средней освещенности на поверхности
i-го элемента расчетного поля, лк;
Ai - площадь i-го элемента расчетного поля, м2;
n - число элементов расчетного поля, учитываемых в расчете.
Примечание - При определении величины
Dp используют величину средней освещенности

независимо от того, какая величина - средняя яркость или средняя освещенность - была выбрана в качестве основной при проектировании освещения данного объекта.
Для участка улицы или дороги со стандартной геометрией величина m равна суммарному числу осветительных приборов, установленных на одной опоре (для односторонней или центральной схемы расположения опор) или двух опорах (для двусторонней или шахматной схемы расположения опор).
Для участка улицы или дороги с нестандартной геометрией величина m равна суммарному числу осветительных приборов, освещающих такой участок.
В качестве примера на
рисунке А.1 показан участок улицы, содержащий двухполосную проезжую часть и два тротуара, отделенные от нее полосами газона. Осветительные приборы расположены по односторонней схеме (справа по ходу движения транспорта) и установлены по два на каждой опоре: один направлен на проезжую часть, другой - на ближний тротуар. Между двумя соседними опорами выделено расчетное поле, содержащее три элемента (проезжую часть, левый и (правый тротуары) с нанесенными расчетными точками, по которым определяют значения средней освещенности

каждого элемента.
1 - полосы газона;
AR, AFL и AFR - элементы расчетного поля:
проезжая часть, левый и правый тротуары улицы
соответственно; PR и PF - светильники, направленные
на проезжую часть и правый тротуар соответственно;
"x" - расчетные точки на расчетном поле
Рисунок А.1 - Пример участка улицы для определения
относительной удельной мощности осветительной установки Dp
Для приведенного на
рисунке А.1 примера относительную удельную мощность осветительной установки
Dp рассчитывают по формуле

(А.2)
где PR и PF - мощности соответствующих светильников, Вт;

,

и

- расчетные значения средней освещенности на поверхности проезжей части, левого и правого тротуаров соответственно, лк;
AR, AFL и AFR - площади расчетного поля проезжей части, левого и правого тротуаров соответственно, м2.
(справочное)
ОПРЕДЕЛЕНИЕ ПОКАЗАТЕЛЯ ОГРАНИЧЕНИЯ
СЛЕПЯЩЕГО ДЕЙСТВИЯ ВЕНЧАЮЩИХ СВЕТИЛЬНИКОВ
Показатель ограничения слепящего действия венчающих светильников
I85/
A0,5 определяют как отношение силы света
I85, кд, венчающего светильника под углом 85° относительно вертикали к площади проекции светящей поверхности светильника
A, м
2, на плоскость, перпендикулярную к направлению силы света
I85 (см.
рисунок Б.1). При этом силу света
I85 выбирают максимальной по всем азимутальным направлениям пешеходного пространства.
I85 - сила света венчающего светильника под углом 85°
к вертикали; A - площадь проекции светящей
поверхности светильника
Рисунок Б.1 - Определение показателя
ограничения слепящего действия I85/A0,5
УДК 721:535.241.46:006.354 | |
Ключевые слова: освещение наружное утилитарное, классификация, нормы, яркость дорожного покрытия, освещенность дорожного покрытия, равномерность яркости, равномерность освещенности |