Главная // Актуальные документы // ГОСТ Р (Государственный стандарт)СПРАВКА
Источник публикации
М.: ФГБУ "Институт стандартизации", 2024
Примечание к документу
Документ включен в
Перечень документов в области стандартизации, в результате применения которых на добровольной основе обеспечивается соблюдение требований Федерального
закона от 30.12.2009 N 384-ФЗ "Технический регламент о безопасности зданий и сооружений" (
Приказ Росстандарта от 02.04.2020 N 687).
Документ
введен в действие с 01.08.2024.
Название документа
"ГОСТ Р 54852-2024. Национальный стандарт Российской Федерации. Здания и сооружения. Методы определения показателей теплозащитной оболочки на базе тепловизионного обследования и натурных измерений"
(утв. и введен в действие Приказом Росстандарта от 13.03.2024 N 302-ст)
"ГОСТ Р 54852-2024. Национальный стандарт Российской Федерации. Здания и сооружения. Методы определения показателей теплозащитной оболочки на базе тепловизионного обследования и натурных измерений"
(утв. и введен в действие Приказом Росстандарта от 13.03.2024 N 302-ст)
Утвержден и введен в действие
агентства по техническому
регулированию и метрологии
от 13 марта 2024 г. N 302-ст
НАЦИОНАЛЬНЫЙ СТАНДАРТ РОССИЙСКОЙ ФЕДЕРАЦИИ
ЗДАНИЯ И СООРУЖЕНИЯ
МЕТОДЫ ОПРЕДЕЛЕНИЯ ПОКАЗАТЕЛЕЙ ТЕПЛОЗАЩИТНОЙ ОБОЛОЧКИ
НА БАЗЕ ТЕПЛОВИЗИОННОГО ОБСЛЕДОВАНИЯ И НАТУРНЫХ ИЗМЕРЕНИЙ
Buildings and constructions. Methods for determining
the indicators of the heat shield on the basis
of thermal imaging examination and field measurements
ГОСТ Р 54852-2024
Дата введения
1 августа 2024 года
1 РАЗРАБОТАН Федеральным государственным бюджетным учреждением "Научно-исследовательский институт строительной физики Российской академии архитектуры и строительных наук" (НИИСФ РААСН)
2 ВНЕСЕН Техническим комитетом по стандартизации ТК 465 "Строительство"
3 УТВЕРЖДЕН И ВВЕДЕН В ДЕЙСТВИЕ
Приказом Федерального агентства по техническому регулированию и метрологии от 13 марта 2024 г. N 302-ст
Правила применения настоящего стандарта установлены в статье 26 Федерального закона от 29 июня 2015 г. N 162-ФЗ "О стандартизации в Российской Федерации". Информация об изменениях к настоящему стандарту публикуется в ежегодном (по состоянию на 1 января текущего года) информационном указателе "Национальные стандарты", а официальный текст изменений и поправок - в ежемесячном информационном указателе "Национальные стандарты". В случае пересмотра (замены) или отмены настоящего стандарта соответствующее уведомление будет опубликовано в ближайшем выпуске ежемесячного информационного указателя "Национальные стандарты". Соответствующая информация, уведомление и тексты размещаются также в информационной системе общего пользования - на официальном сайте Федерального агентства по техническому регулированию и метрологии в сети Интернет (www.rst.gov.ru)
Настоящий стандарт распространяется на ограждающие конструкции зданий и сооружений, на которых поддерживается перепад температуры между внутренним и наружным воздухом, и устанавливает методы определения показателей теплозащитной оболочки на базе тепловизионного обследования и натурных измерений.
В настоящем стандарте использованы нормативные ссылки на следующие документы:
ГОСТ 7502 Рулетки измерительные металлические. Технические условия
ГОСТ Р 59939 Здания и сооружения. Метод определения сопротивления теплопередаче в натурных условиях
Примечание - При пользовании настоящим стандартом целесообразно проверить действие ссылочных стандартов (сводов правил) в информационной системе общего пользования - на официальном сайте Федерального агентства по техническому регулированию и метрологии в сети Интернет или по ежегодному информационному указателю "Национальные стандарты", который опубликован по состоянию на 1 января текущего года, и по выпускам ежемесячного информационного указателя "Национальные стандарты" за текущий год. Если заменен ссылочный документ, на который дана недатированная ссылка, то рекомендуется использовать действующую версию этого документа с учетом всех внесенных в данную версию изменений. Если заменен ссылочный документ, на который дана датированная ссылка, то рекомендуется использовать версию этого документа с указанным выше годом утверждения (принятия). Если после утверждения настоящего стандарта в ссылочный документ, на который дана датированная ссылка, внесено изменение, затрагивающее положение, на которое дана ссылка, то это положение рекомендуется применять без учета данного изменения. Если ссылочный документ отменен без замены, то положение, в котором дана ссылка на него, рекомендуется применять в части, не затрагивающей эту ссылку. Сведения о действии сводов правил целесообразно проверить в Федеральном информационном фонде стандартов.
В настоящем стандарте применены термины по
СП 50.13330,
ГОСТ Р 59939, а также следующие термины с соответствующими определениями:
3.1 тепловизор (тепловизионный измерительный прибор, термографическая камера): Оптико-электронный прибор, предназначенный для бесконтактного (дистанционного) наблюдения, измерения и регистрации температурных полей (пространственно-временного распределения температуры поверхности объектов), находящихся в поле зрения прибора.
3.2 тепловизионная съемка; термографирование: Процесс получения термограмм.
3.3 термограмма: Многоэлементное двумерное изображение, каждому элементу которого приписывается цвет (или оттенок одного цвета), определяемый в соответствии с условной температурной шкалой.
3.4 температурная аномалия (зона температурной аномалии): Часть изображения на термограмме, имеющая нехарактерную температуру.
4.1 Методы определения показателей теплозащитной оболочки (наружных ограждающих конструкций зданий и сооружений) на базе тепловизионного обследования и натурных измерений заключаются в определении (статистическом расчете) приведенного сопротивления теплопередаче и/или температуры на внутренней поверхности по результатам измерений температуры и/или плотности тепловых потоков в натурных условиях за определенный период времени, достаточный для накопления статистики изменения измеряемых величин.
4.2 Метод тепловизионного контроля качества теплоизоляции ограждающих конструкций основан на дистанционном измерении тепловизором температурного поля на поверхности ограждающих конструкций, между внутренними и наружными сторонами которых существует перепад температуры, и на визуализации температурных аномалий для определения дефектов в виде областей повышенных теплопотерь, связанных с нарушением теплоизоляции, и областей фильтрации воздуха через ограждающие конструкции. Метод тепловизионной съемки состоит в визуализации температурного поля поверхностей испытуемых ограждающих конструкций для обнаружения участков с относительно низкой и относительно высокой температурой. Метод позволяет качественно определить теплотехнические характеристики испытуемой конструкции, не распространяется на количественное определение (оценку соответствия) значений приведенного сопротивления теплопередаче и минимальной температуры внутренней поверхности испытуемой конструкции.
4.3 Метод определения приведенного сопротивления теплопередаче заключается в расчете фактического значения приведенного сопротивления теплопередаче испытуемой ограждающий конструкции (фрагмента) путем обработки массива статистических данных, полученных прямыми контактными измерениями температур и плотности тепловых потоков через испытуемую конструкцию в натурных условиях.
4.4 Метод определения температуры поверхности в расчетных условиях заключается в расчете (прогнозировании) значения температуры определенной области внутренней испытуемой ограждающей конструкции в условиях эксплуатации путем обработки массива статистических данных, полученного прямыми контактными измерениями температур на испытуемой конструкции в натурных условиях.
5 Применяемое оборудование и средства измерений
5.1 Для проведения испытаний используют средства измерений в соответствии с требованиями
[1].
5.2 Для визуализации температурных полей на испытуемых ограждающих конструкциях и для определения термически однородных зон и теплопроводных включений используют термографическую камеру (тепловизор) с характеристиками не ниже следующих:
- диапазон измерений температуры - от минус 20 °C до плюс 70 °C;
- детектор - неохлаждаемая микроболометрическая матрица размерами не менее 320 x 240 элементов;
- погрешность измерения температуры - +/- 2 °C, но не более +/- 2%.
5.3 Для непрерывной регистрации характера изменения температуры поверхности испытуемой конструкции и воздушной среды следует применять датчики регистрации температуры с требованиями не ниже следующих:
- диапазон измерений - от минус 30 °C до плюс 85 °C;
- минимальная градация регистрации температуры - 0,1 °C;
- погрешность регистрации температуры - +/- 1,0 °C;
- интервал между последовательными отсчетами (частота регистрации) - от 5 до 180 мин.
5.4 Для непрерывной регистрации характера изменения плотности тепловых потоков, проходящих через испытуемую конструкцию, используют преобразователь теплового потока (тепломер). Он представляет собой тонкую термостойкую пластину с требованиями не ниже следующих:
- диапазон измерений плотности теплового потока - от 10 до 200 Вт/м с градацией регистрации от 1 Вт/м;
- пределы допускаемой основной относительной погрешности при измерении плотности теплового потока - +/- 6%.
5.5 Для измерения линейных размеров применяют металлические рулетки по
ГОСТ 7502.
5.6 Допускается применение дополнительного вспомогательного оборудования и иных средств измерений с требованиями, соответствующими или превышающими указанные.
6 Требования к условиям проведения испытаний
6.1 Требования к условиям определения показателей теплозащитной оболочки (наружных ограждающих конструкций) зданий и сооружений на базе тепловизионного обследования и натурных измерений зависят от объемов, характера и условий проводимых исследований.
В общем случае для повышения точности (снижения погрешности) статистических расчетов применима следующая зависимость: чем выше проектное значение сопротивления теплопередаче испытуемой конструкции, тем продолжительнее должен быть период измерений и выше перепад между температурой внутреннего и наружного воздуха.
6.2 При проведении комплексного определения показателей теплозащитной оболочки здания в целом необходимо выполнение следующих требований:
а) холодный период года;
б) стабильность функционирования системы отопления здания. Во всем испытуемом объеме здания минимум за 10 сут до начала испытаний и в течение всего периода испытаний должна функционировать система отопления, поддерживающая перепад между температурой внутреннего и наружного воздуха не менее 20 °C;
в) осуществление тепловизионного обследования - сплошной тепловизионной съемки наружных ограждающих конструкций здания. Тепловизионную съемку проводят в пасмурную погоду снаружи (со стороны улицы) и внутри (со стороны помещения), во всех помещениях, имеющих наружные ограждающие конструкции, включая подвал и чердак;
г) по результатам тепловизионного обследования осуществляют подбор конструкций для проведения измерений. В целях повышения точности результатов измерений при подборе фрагментов конструкций, на которых проводят измерения, необходимо учитывать следующее:
- подбор элементов должен как можно полнее характеризовать теплозащиту здания, необходимо подбирать элементы (фрагменты конструкций) наиболее распространенных конструктивных решений испытуемого объекта,
- измерения необходимо проводить на всех типах конструкций (стеновые конструкции, оконные блоки, перекрытия над подвалом, покрытия и т.д.), при этом не менее чем на двух однотипных фрагментах конструкций, выполненных по одному конструктивному решению. Первоочередное значение имеет проведение измерений на наиболее распространенных по площади ограждающих конструкциях. Рекомендуется проводить измерения не менее чем на двух элементах: стеновых конструкциях с оконным проемом, стеновых конструкциях без оконных проемов, совмещенных покрытиях (чердачных перекрытиях); фрагментах перекрытия первого этажа, стен и полов подвала, оконных блоках и иных светопрозрачных конструкциях;
д) рекомендуемый период проведения измерений - 20 сут. Минимальный период проведения измерений - 10 сут.
6.3 При проведении выборочного определения сопротивления теплопередаче или температуры внутренней поверхности одного заранее оговоренного с заказчиком типа ограждающих конструкций (например, перекрытия над последним этажом или определенного типа конструкций стен) или части здания (этажа, квартиры) необходимо выполнение следующих требований:
а) холодный период года;
б) стабильность функционирования системы отопления здания в части с установленной испытуемой конструкцией. Минимум за 10 сут до начала испытаний и в течение всего периода испытаний должна функционировать система отопления, поддерживающая перепад между температурой внутреннего и наружного воздуха не менее 20 °C. При этом стабильный перепад температур должен быть, как минимум, во всех смежных с помещением, в котором проводят измерения, помещениях. Например, при определении сопротивления теплопередаче стен в квартире, находящейся на 5-м (условно) этаже здания, температурный перепад 20 °C должен быть обеспечен в смежных помещениях соседних с испытуемой квартирой квартир на 5-м, а также на 4-м и 6-м этажах;
в) осуществление выборочного тепловизионного обследования - тепловизионной съемки наружных ограждающих конструкций в помещениях с установленной испытуемой конструкцией и смежных помещениях здания. Тепловизионную съемку проводят в пасмурную погоду снаружи (со стороны улицы) и внутри (со стороны помещения);
г) рекомендуемый период проведения измерений - 20 сут. Минимальный период проведения измерений - 10 сут.
6.4 При проведении выборочного определения сопротивления теплопередаче одного заранее оговоренного с заказчиком типа ограждающих конструкций с малой тепловой инерцией и проектным значением сопротивления теплопередаче до 1,1 м2·°C/Вт (например, оконных блоков) необходимо выполнение следующих требований:
а) создание и поддержание температурного перепада не менее 15 °C между температурой наружного и внутреннего воздуха минимум за 2 сут до начала измерений и в течение всего периода испытаний;
б) осуществление выборочного тепловизионного обследования - тепловизионной съемки испытуемых наружных ограждающих конструкций в пасмурную погоду (не менее 3 ч без воздействия прямого солнечного света);
в) минимальный период проведения измерений - 5 сут.
7.1 Тепловизионное обследование
7.1.1 Метод тепловизионного контроля качества теплоизоляции ограждающих конструкций основан на дистанционном измерении тепловизором температурного поля на поверхности ограждающих конструкций, между внутренними и наружными сторонами которых существует перепад температуры, и на визуализации температурных аномалий для определения дефектов в виде областей повышенных теплопотерь, связанных с нарушением теплоизоляции, а также областей фильтрации воздуха через ограждающие конструкции и пр.
7.1.2 Температурные поля поверхностей ограждающих конструкций получают на экране тепловизора и на экранах вспомогательных устройств в виде псевдоцветного или монохромного изображения изотермических поверхностей. Градации цвета или яркости на изображении соответствуют различной температуре. Кроме того, температурные поля и другую сопутствующую измерениям информацию записывают в виде термограмм во встроенной памяти тепловизора и/или на внешних съемных носителях.
7.1.3 Обследуемые поверхности не должны находиться в зоне прямого и отраженного солнечного облучения, а также иных температурных влияний в течение 3 ч до и во время проведения термографирования. Окна и двери на обследуемом объекте рекомендуется сохранять в закрытом положении в течение не менее 24 ч до начала и в процессе проведения термографирования. Если окно или наружную (балконную) дверь открывали или закрывали непосредственно до начала проведения обследования или в его процессе, то наружные ограждающие конструкции данного помещения не подлежат термографированию, и в отчет по результатам проведенных работ вносят соответствующую информацию.
7.1.4 При обследовании объекта капитального строительства в целом рекомендуется проведение термографирования сначала изнутри, а потом снаружи. Перед наружным термографированием включенный тепловизор со снятой защитной крышкой объектива выдерживают при наружной температуре не менее 20 мин. Крышка объектива должна быть в воздушной среде наружного воздуха, не допускается контакт поверхности крышки объектива тепловизора с поверхностями, имеющими температуру выше или ниже температуры наружного воздуха.
7.1.5 Для последующей идентификации испытанных конструкций, выявленных температурных аномалий и проведенных работ необходимо соблюдать четкую последовательность проведения термографирования и расположения термограмм в отчете.
7.1.6 Тепловизор устанавливают таким образом, чтобы в поле зрения попала по возможности вся конструкция, на которой проводят измерения (окно, простенок, область стыка конструкций). Допускается получение изображения всей площади испытуемого фрагмента ограждающей конструкции, последовательно термографируя участки. При этом термограммы соседних участков должны перекрывать друг друга не менее чем на 10%.
Точки съемки по возможности выбирают так, чтобы поверхность объекта измерений находилась в прямой видимости. Для наглядности изображения распределения температур в зоне теплотехнических аномалий допускается дополнительно осуществлять термографирование под различными углами и с различных точек. При этом термограммы должны демонстрировать, что показания тепловизора, полученные при термографировании одной и той же конструкции с различных точек, соответствуют и дополняют друг друга.
7.1.7 На термограммах не допускается искажения температурного поля (повышения или понижения температуры испытуемой поверхности, фиксируемой тепловизором), вызванного посторонними факторами или деятельностью оператора.
7.1.8 При проведении выборочной тепловизионной съемки фрагменты конструкций, на которых проводят измерения, должны наиболее репрезентативно характеризовать теплотехнические характеристики ограждающих конструкций данного типа.
7.1.9 Отчет о проведенном тепловизионном обследовании (термографировании) объекта капитального строительства должен быть оформлен в соответствии с требованиями
приложения А.
7.1.10 При осуществлении тепловизионного обследования объекта капитального строительства в целом отчет должен содержать термограммы всех внутренних поверхностей наружных ограждающих конструкций и фасадов здания с нескольких точек. В исключительных случаях, при изложенном в отчете обосновании, допускается осуществление тепловизионной съемки значительной части (секции) объекта капитального строительства. При этом должны быть обязательно обследованы все типы наружных ограждающих конструкций, включая чердачную и подвальную части здания. Размер частей исследуемого объекта, попадающих в тепловизионный кадр, должен наиболее наглядно характеризовать температурное поле поверхности конструкции. Рекомендуемый вид изображения при наружной съемке здания: секция целиком, затем приближение, часть фасада - 6 x 6 м, затем следующая по вертикали часть фасада и т.д. Направление движения съемки снизу вверх - по ходу часовой стрелки. При обнаружении температурных аномалий необходимо осуществлять более детальную съемку. При осуществлении внутренней тепловизионной съемки проводят съемку внутренней поверхности наружной ограждающей конструкции в масштабе "на комнату". При обнаружении температурных аномалий необходимо осуществлять более детальную съемку, последовательно увеличивая (детализируя) зону температурной аномалии, сохраняя при этой последовательности основную привязку местоположения зоны температурных аномалий на поверхности испытуемой конструкции.
7.1.11 Все термограммы должны сопровождаться фотографией с изображением обследуемой конструкции, выполненной с такого же ракурса и в таком же масштабе, как и термограмма, а также температурной шкалой для интерпретации температуры и цвета и информацией о расположении изображенной конструкции (привязкой) на обследуемом объекте.
Термограммы с обнаруженными зонами температурных аномалий должны дополнительно содержать результаты обработки термограмм в виде графиков, гистограмм и прочих инструментов, демонстрирующих величину и характер температурной аномалии с соответствующим комментарием под термограммой.
7.1.12 Пример оформления термограмм приведен в
приложении А.
7.2 Определение сопротивления теплопередаче
7.2.1 Метод определения приведенного сопротивления теплопередаче наружных ограждающих конструкций зданий и сооружений в натурных условиях основан на проведении тепловизионного обследования здания, измерении значений температуры и плотности теплового потока для формирования массива статистических данных и последующего расчета фактического значения приведенного сопротивления теплопередаче испытуемой конструкции.
Допускается применять данный метод для оценки соответствия значения фактического сопротивления теплопередаче конструкций требованиям нормативных документов и проектной документации.
Период (длительность) проведения измерений в большой степени зависит от проектного значения сопротивления теплопередаче испытуемой конструкции, режима работы системы отопления и погодных условий. Минимальная длительность проведения измерений на светопрозрачных конструкциях составляет 5 сут, на несветопрозрачных - 10 сут. Увеличение длительности периода измерений и температурного перепада оказывает положительное влияние на точность результатов испытаний.
7.2.2 Работы по определению приведенного сопротивления теплопередаче наружных ограждающих конструкций зданий и сооружений рекомендуется начинать с ознакомления с проектной документацией.
Затем проводят выезд на обследуемый объект для проведения тепловизионного обследования в целях уточнения температурно-влажностного состояния объекта, обнаружения скрытых теплотехнических дефектов, наличия необходимых и достаточных условий для проведения измерений, а также для уточнения выбора испытуемых ограждающих конструкций и помещений для осуществления измерений.
Наружную и внутреннюю тепловизионные съемки наружных ограждающих конструкций обследуемого объекта, включая обследование подвальных и чердачных помещений, проводят согласно требованиям
7.1.
В случае определения сопротивления теплопередаче определенных типов конструкций, например оконных блоков или покрытия здания, тепловизионную съемку допускается осуществлять не в обследуемом объекте в целом, а в помещениях с примененным обследуемым типом конструкций.
7.2.3 По результатам тепловизионного обследования проводят подбор конструкций для проведения измерений. Подобранные для проведения измерений конструкции (фрагменты) должны наиболее репрезентативно характеризовать теплозащитные качества всех ограждающих конструкций данного типа. В целях повышения точности результатов измерений при подборе фрагментов конструкций, на которых проводят измерения, необходимо учитывать следующее:
- подбор элементов должен наиболее полно характеризовать теплозащиту здания, поэтому необходимо подбирать элементы (фрагменты конструкций) наиболее распространенных конструктивных решений испытуемого объекта;
- измерения рекомендуется проводить на всех типах конструкций, при этом не менее чем на двух однотипных фрагментах конструкций, выполненных по одному конструктивному решению;
- для выполнения работ по комплексной оценке соответствия сопротивления теплопередаче теплозащитной оболочки здания рекомендуется проводить измерения не менее чем на двух из перечисленных элементах: стеновых конструкциях с оконным проемом, стеновых конструкциях без оконных проемов, совмещенных покрытиях (чердачных перекрытиях); фрагментах перекрытия первого этажа, стен и полов подвала, оконных блоках и иных светопрозрачных конструкциях.
7.2.4 Помещения, в которых проводят измерения, должны, по возможности, максимально репрезентативно отображать температурный режим обследуемого объекта. Рекомендуется выбирать помещения в угловой части здания на первом, среднем и верхнем этажах. Для минимизации воздействия солнечной радиации испытуемые конструкции и помещения, в которых они установлены, по возможности, должны быть ориентированы на север.
Должна быть возможность установки средств измерений в запираемые помещения на испытуемые ограждающие конструкции для регистрации в автономном режиме температуры и плотности теплового потока в течение всего периода испытаний.
Отключение системы отопления, несанкционированный испытателем вход-выход в помещения с установленной измерительной аппаратурой, проведение работ, сопровождающихся выделением тепла вблизи испытуемых конструкций, категорически запрещены.
7.2.5 В исключительных случаях, когда система отопления обследуемого объекта не функционирует и требуется определить фактическое значение приведенного сопротивления теплопередаче установленного на объекте оконного блока или иных строительных конструкций с низкой тепловой инерцией и проектным значением сопротивления теплопередаче до 1,1 м2·°C/Вт, обязательными для проведения измерений являются следующие условия:
- наличие замкнутого нагреваемого в ходе испытаний строительного объема (помещения) с установленной согласно требованиям проекта испытуемой ограждающей конструкцией;
- температурный перепад между температурой внутреннего и наружного воздуха не менее 15 °C, создаваемый электронагревательным оборудованием. Расстановка нагревательных приборов осуществляется таким образом, чтобы тепловой поток от них направлялся внутрь помещений;
- наличие электропитания необходимой мощности для создания нагревательным оборудованием стабильного температурного перепада на обследуемой конструкции не менее 15 °C;
- по крайней мере у одного элемента испытуемой конструкции должна быть возможность открывания на 90° для обеспечения установки датчиков снаружи конструкции;
- возможность запирания помещения, в котором проводят измерения;
- энергопитание нагревательного электрооборудования должно осуществляться бесперебойно в круглосуточном режиме на всем протяжении испытательного цикла;
- при проведении работ по определению сопротивления теплопередаче ограждающих конструкций с низкой тепловой инерцией при значительном влиянии солнечной радиации (теплый период года, ориентация конструкций на юг и т.д.) рекомендуется исключать из расчетов результаты измерений, полученные во временной период с момента рассвета до момента по прошествии 2 ч после заката.
7.2.6 При наличии на обследуемом объекте необходимых условий для проведения измерений осуществляют тепловизионную съемку подобранных для проведения измерений конструкций (фрагментов) испытуемых наружных ограждающих конструкций.
7.2.7 По результатам анализа термограмм отобранных для проведения измерений конструкций проводят расстановку датчиков измерений и фиксации температур и плотности тепловых потоков. Датчики располагают в соответствии с разработанной непосредственно для конкретного испытуемого фрагмента схемой, которую затем приобщают к результатам измерений. Внутреннюю поверхность ограждающей конструкции планомерно разбивают на участки правильной геометрической формы. При наличии на термограммах зон с теплопроводными включениями испытуемую конструкцию разбивают на более мелкие по площади зоны в соответствии с конструктивными особенностями.
На схеме указывают номера датчиков и места их расположения на испытуемой конструкции, а также привязку к строительным осям объекта и другую информацию, необходимую для идентификации и проведения обработки результатов измерений.
7.2.8 Датчики измерения и фиксации температуры и плотности тепловых потоков на внутренних поверхностях испытуемой конструкции устанавливают по вертикальной и горизонтальной осям в центрах предполагаемых однородных температурных зон, исключая места влияния нагревательных приборов (не ближе 400 мм от нагревательного прибора).
7.2.9 Чувствительные элементы датчиков должны быть плотно, без воздушных прослоек, прижаты к поверхности испытуемой конструкции в течение всего периода измерений. В качестве воздухозамещающего слоя между датчиком и поверхностью испытуемой конструкции обязательно применение теплопроводной кремнийорганической пасты.
Провод датчика отводят по поверхности ограждающей конструкции, фиксируя с помощью скотча или иным способом, для того чтобы он был надежно закреплен и не смещался в период измерений. Нахлест или касание провода чувствительных (измеряющих) элементов датчиков не допускаются.
7.2.10 Для измерения плотности теплового потока, проходящего через ограждающую конструкцию, на ее внутренней поверхности устанавливают по одному преобразователю теплового потока в центре каждой характерной зоны.
7.2.11 На каждый основной элемент испытуемой конструкции необходимо устанавливать не менее трех датчиков измерений теплового потока. Всего на фрагменте испытуемой ограждающей конструкции, как правило, устанавливают не менее 10 датчиков измерения плотности теплового потока, что позволяет получать интегральную характеристику плотности теплового потока, проходящего через испытуемую конструкцию.
7.2.12 Датчики измерения и фиксации температур устанавливают в непосредственной близости (на расстоянии около 30 мм) от соответствующего датчика теплового потока на сторону, обращенную внутрь помещения, и симметрично напротив друг друга снаружи по направлению нормали к наружной поверхности.
На практике, в натурных условиях возникают определенные трудности с установкой датчиков снаружи конструкции по оси нормали к установленному датчику на внутренней поверхности. Допускается температуру наружной поверхности стен, покрытий и прочих массивных несветопрозрачных конструкций принимать по показаниям датчиков измерения и фиксации температуры, установленных для фиксации температуры воздушной среды вблизи испытуемой конструкции.
7.2.13 Для измерения температуры воздушной среды с теплой и холодной сторон оконного блока устанавливают датчики температуры, располагая их по центру на расстоянии 10 - 15 см от наружной и внутренней поверхностей.
7.2.14 Датчики, фиксирующие температуру воздуха в помещении с испытуемыми конструкциями, устанавливают в центре помещения на расстоянии около 1,5 м от поверхности пола (перекрытия).
7.2.15 Система измерения температуры и плотности тепловых потоков должна проводить регистрацию теплотехнических параметров в автоматическом режиме, синхронно, в один момент времени фиксируя результаты измерений всех датчиков. Рекомендуемый интервал фиксации измерений - 10 мин. В зависимости от целей, состояния объекта и прочих условий фиксацию измерений проводят с интервалом от 5 до 20 мин.
Интервал фиксации измерений указывают в отчете.
7.2.16 После установки измерительных датчиков осуществляют повторные фотофиксацию и термографирование испытуемых конструкций с установленным испытательным оборудованием, а также помещений с испытуемыми конструкциями в целом.
7.2.17 Измерения и фиксацию результатов измерений в память приборов следует осуществлять непрерывно в течение всего периода испытаний. Продолжительность измерений должна составлять не менее 10 сут.
7.2.18 Продолжительность испытаний по определению приведенного сопротивления теплопередаче окон и иных ограждающих конструкций с низкой тепловой инерцией и проектным значением сопротивления теплопередаче менее 1,1 м2·°C/Вт должна составлять не менее 5 сут.
7.2.19 По завершении периода измерений переносят данные контактных измерений температуры и плотности тепловых потоков в компьютер для проведения обработки массива полученных статистических данных и для анализа характера процесса теплопередачи.
Рекомендуется осуществлять хранение информации о проведении работ по определению показателей теплозащитной оболочки на базе тепловизионного обследования и натурных измерений не менее 10 лет.
7.2.20 Для каждого испытанного фрагмента наружного ограждения формируют массивы данных, характеризующих процессы теплопередачи в период измерений:
- массив значений температур наружного воздуха, зафиксированных в непосредственной близости с испытуемыми ограждающими конструкциями,

, °C;
- массив значений температур внутреннего воздуха, зафиксированных в помещениях с испытуемыми ограждающими конструкциями,

, °C;
- массив значений температур наружной поверхности фрагмента испытуемой ограждающей конструкции

, °C;
- массив значений температур внутренней поверхности фрагмента испытуемой ограждающей конструкции

, °C;
- массив значений плотности теплового потока фрагмента испытуемой ограждающей конструкции qij, Вт/м2.
Все значения фиксируют с заданным при программировании интервалом (момент времени j = 1, ..., n), на который разбит весь период измерений.
Каждая испытуемая конструкция разбита на зоны i, число зон в фрагменте - i = 1, ..., k.
При отсутствии возможности установки датчиков измерения и фиксации температуры на наружной поверхности конструкций с большой тепловой инерцией и проектным значением сопротивления теплопередаче более 1,1 м2·°C/Вт допускается принимать в качестве значений температур наружной поверхности зоны фрагмента испытуемой ограждающей конструкции значения температур наружного воздуха, зафиксированные датчиками в соответствующий момент времени в непосредственной близости с испытуемыми ограждающими конструкциями.
7.2.21 При проведении испытаний светопрозрачных ограждающих конструкций с низкой тепловой инерцией для исключения влияния солнечной радиации на измеряемые величины при проведении расчетов теплотехнических характеристик могут быть приняты данные, зафиксированные в ночное время наблюдений (от момента после двух часов от заката до восхода солнца).
Для остальных конструкций принимают полный массив данных, полученных за время испытаний.
7.2.22 Термическое сопротивление Rij теплотехнически однородной зоны i в момент времени j рассчитывают по формуле

, (1)
где

- температура на внутренней поверхности
i-й зоны конструкции в момент времени
j;

- температура на наружной поверхности
i-й зоны конструкции в момент времени
j;
qij - плотность теплового потока, проходящего через i-ю зону конструкции в момент времени j.
7.2.23 Термическое сопротивление фрагмента испытуемой конструкции в целом, разбитого на i зон в момент времени j, определяют по формуле

, (2)
где Fi - площадь i-й зоны конструкции.
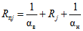
7.2.24 Фактическое приведенное сопротивление теплопередаче испытанной конструкции Rп определяют по формуле

(3)
где

- коэффициент теплоотдачи внутренней поверхности ограждающей конструкции, принимаемый по СП 50.13330.2012
(таблица 4);

- коэффициент теплоотдачи наружной поверхности ограждающей конструкции для условий холодного периода, принимаемый по СП 50.13330.2012
(таблица 6);
n - количество замеров.
7.2.25 При осуществлении расчетов приведенного сопротивления теплопередаче испытанных конструкций по статистическим массивам данных контактных измерений проводят анализ процесса теплопередачи, результаты которого в графической форме приобщают к отчету по результатам испытаний.
7.2.26 Каждый фрагмент испытанной конструкции сопровождают следующей информацией:
- фотографиями фрагмента с установленными датчиками измерения и информацией о привязке к обследуемому объекту;
- термограммами фрагмента с комментариями (анализом) температурных полей;
- графиками изменения температуры наружного и внутреннего воздуха за весь период измерений;
- графиком изменения значений средней плотности теплового потока через испытуемую конструкцию за весь период измерений;
- графиком изменения значений приведенного сопротивления теплопередаче конструкции по результатам измерений за весь период.
Допускается приобщение дополнительной информации, характеризующей процесс теплопередачи и теплотехнические характеристики испытуемой конструкции.
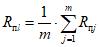
7.2.27 Среднюю плотность теплового потока, проходящего через поверхность испытуемого фрагмента конструкции в момент времени j, qj рассчитывают по формуле

. (4)
7.2.28 Приведенное сопротивление теплопередаче испытуемой конструкции Rпj в момент времени j определяют по формуле

. (5)
7.2.29 Натурные условия проведения измерений связаны с наличием большого и постоянно меняющегося числа факторов, не зависящих от экспериментатора и оказывающих значительное влияние на величину измеряемых показателей. Для определения фактического значения приведенного сопротивления теплопередаче или температуры внутренней поверхности конструкции в расчетных условиях необходимо проведение анализа характера процесса теплопередачи в период проведения измерений, представленного в графическом виде.
В общем случае в процессе измерений значения искомого показателя (например, приведенного сопротивления теплопередаче конструкции) в каждый момент времени будут колебаться (отклоняться) от некоего искомого среднего значения. Анализ процесса теплопередачи должен обоснованно определить диапазон отклонений и исключить из расчетов данные, не связанные с характерным режимом тепломассопереноса через конструкцию в процессе эксплуатации. Например, даже кратковременное отключение системы отопления приводит к мгновенному падению плотности теплового потока и к неадекватным для условий нормальной эксплуатации значениям приведенного сопротивления теплопередаче.
Проведение анализа процесса теплопередачи в каждом конкретном случае значительно зависит от квалификации и добросовестности исследователя. Наиболее благоприятными для проведения измерений являются условия, когда температура внутреннего воздуха в помещениях с испытуемыми конструкциями в период испытаний относительно стабильна (tср +/- 2 °C) и не снижается монотонно (за период измерений).
Увеличение периода измерений и температурного перепада, а также стабильная работа системы отопления значительно снижают погрешность определения теплотехнических показателей.
7.2.30 Для оценки погрешности измерений полученный в результате обработки измерений массив значений приведенного сопротивления теплопередаче {Rпj(x)}, j = 1, ..., n следует разбивать на интервалы, границами которых являются локальные экстремальные значения в определенные моменты времени.
Для каждого интервала разбиения x [xl-1, xl], l = 1, 2, ..., q методом наименьших квадратов строят аппроксимирующий полином степени k (k = 5 - 7), описывающий зависимость измеряемого сопротивления теплопередаче R(x) от времени, по формуле

, (6)
где ai - коэффициенты аппроксимирующего полинома;
x - время измерений, характеризующее выбранный интервал.
Приведенное сопротивление теплопередаче фрагмента конструкции Rпl на интервале разбиения l является интегральной величиной вида

, (7)
где xl-1 - момент начала интервала;
xl - момент окончания интервала испытаний.
Близкий результат дает вычисление Rпl по формуле

, (8)
где m - число замеров в выбранном интервале времени.
Погрешность измерений

в каждый момент времени
j определяют разностью экспериментальной величины
Rпj и значения полинома в тот же момент времени
xj по формуле

. (9)
Массив погрешностей

,
j = 1, ...,
n характеризуется математическим ожиданием

и дисперсией

. В случае нормального распределения при доверительной вероятности 0,95 доверительный интервал величины приведенного сопротивления теплопередаче составляет

, а при доверительной вероятности 0,997 соответственно

.
7.2.31 При необходимости определяют аппроксимирующую кривую для всего периода измерений методом тригонометрического ряда Фурье по формуле

, (10)
где a0, ap и bp - коэффициенты ряда Фурье;
p - порядковый номер коэффициентов;
x - значения интервалов времени, преобразованные к интервалу от

(начало измерений) до

(конец измерений).
Коэффициенты ряда Фурье рассчитывают по формулам:

, (11)

, (12)

. (13)
Число слагаемых ряда Фурье принимают в интервале от n/4 до n/3, где n - число измерений.
Погрешность измерений

в каждый момент времени
x определяют разностью экспериментальной величины
Rпj и значения в тот же момент времени

по формуле

. (14)
Массив погрешностей

,
j = 1, ...,
n характеризуется математическим ожиданием

и дисперсией

. В случае нормального распределения при доверительной вероятности 0,95 доверительный интервал величины приведенного сопротивления теплопередаче составляет

, а при доверительной вероятности 0,997 соответственно

.
7.2.32 В отчете по результатам испытаний фрагмента теплозащитной оболочки погрешность определения приведенного сопротивления теплопередаче фиксируют в сводной таблице результатов измерений по доверительной вероятности 0,997.
7.2.33 Результат определения приведенного сопротивления теплопередаче конструкции записывают в виде

, где
Rп - значение фактического сопротивления теплопередаче конструкции;

- погрешность результатов испытаний.
7.3 Определение температуры поверхности
7.3.1 Метод определения температуры поверхности наружных ограждающих конструкций зданий и сооружений в натурных условиях основан на проведении тепловизионной съемки испытуемой конструкции здания, на измерении и формировании массива статистических данных значений температуры воздуха и поверхности конструкции и последующего расчета (прогнозирования) значения температуры внутренней поверхности испытуемой конструкции в расчетных условиях эксплуатации.
Период (длительность) проведения измерений в большей степени зависит от проектного значения сопротивления теплопередаче испытуемой конструкции, режима работы системы отопления и погодных условий. Минимальная длительность проведения измерений на светопрозрачных конструкциях составляет 5 сут, на несветопрозрачных - 10 сут. Увеличение длительности периода измерений и температурного перепада оказывает положительное влияние на точность результатов испытаний.
Метод не применяют для проверки требований СП 50.13330.2012
(таблица 5).
7.3.2 Работы по определению значения температуры поверхности наружных ограждающих конструкций в расчетных условиях рекомендуется совмещать с определением фактического значения приведенного сопротивления теплопередаче по
7.2.
7.3.3 Требования к условиям проведения измерений - в соответствии с
6.3.
7.3.4 Работы по определению значения минимальной температуры внутренней поверхности наружных ограждающих конструкций в расчетных условиях начинаются с проведения тепловизионного обследования испытуемых наружных ограждающих конструкций, осуществляемого в соответствии с требованиями
7.1.
7.3.5 По результатам анализа термограмм подбирают наружные ограждающие конструкции и места установки датчиков для проведения измерений по определению температуры поверхности. При осуществлении работ по комплексной оценке показателей теплозащитной оболочки здания подбор испытуемых конструкций должен быть наиболее репрезентативен и отражать наиболее часто встречающиеся проектные решения с наиболее характерными значениями температуры. В то же время обязательно дополнительно проводить измерения в выявленных тепловизионным обследованием зонах с наиболее низкой температурой. При осуществлении работ по выборочному обследованию конструкций для определения значения минимальной температуры внутренней поверхности испытуемой конструкции датчики устанавливают в зонах с минимальным значением температуры, выявленным тепловизионной съемкой.
7.3.6 Схема установки датчиков зависит от типа и конструктивных особенностей испытуемой ограждающей конструкции, а также от результатов тепловизионной съемки. На светопрозрачной конструкции датчики измерения температуры следует устанавливать в зонах с наиболее низкой температурой внутренней поверхности, в нижнем углу стеклопакета и на нижнем профиле светопрозрачной конструкции (снаружи и изнутри), а также в помещении и снаружи для фиксации температуры воздушной среды.
7.3.7 Схема установки датчиков зависит от типа и конструктивных особенностей испытуемой ограждающей конструкции, а также от результатов тепловизионной съемки. На наружной и внутренней поверхностях испытуемой конструкции датчики измерения и фиксации температуры должны располагаться напротив друг друга по направлению нормали к поверхности. Для измерения температуры воздушной среды с теплой и холодной сторон испытуемой конструкции устанавливают датчики фиксации температуры, располагая их на расстоянии 150 мм от наружной и внутренней поверхностей.
7.3.8 Показания датчиков фиксируют с интервалом 10 мин в течение периода испытаний в автоматическом режиме в течение не менее 5 сут подряд при определении минимальной температуры поверхности светопрозрачной конструкции и не менее 10 сут - несветопрозрачной.
7.3.9 Проводят фотофиксацию испытуемой наружной ограждающей конструкции с установленным испытательным оборудованием.
7.3.10 Минимальную температуру на внутренней поверхности

в точке измерений для заданных температур наружного и внутреннего воздуха определяют по формуле

, (15)
где

- средняя за период измерений температура внутреннего воздуха, °C;

- средняя за период измерений температура на внутренней поверхности, °C;

- средняя за период измерений температура наружного воздуха, °C;
tв - расчетная температура внутреннего воздуха, °C;
tн - расчетная температура наружного воздуха, °C.
Погрешность

, °C, определения минимальной температуры может быть оценена формулой

, (16)
где

- абсолютная погрешность измерения датчиков температуры, °C;
k - коэффициент погрешности экстраполяции.
Для обоснованного выбора значения
k требуется анализ большого количества результатов испытаний с заданием доверительной вероятности нахождения минимальной температуры в интервале

. При отсутствии обоснованных данных о коэффициенте погрешности интерполяции рекомендуется принимать
k = 1,5.
8 Оформление результатов испытаний
8.1 По результатам обследования (испытаний) оформляют отчет (протокол/заключение), в котором указывают:
- сведения об организации-исполнителе, проводившей испытания, наименование и реквизиты организации (испытательного центра, лаборатории) с указанием номера аттестата либо других документов, дающих право на проведение натурных обследований;
- ФИО, должность, квалификацию специалистов, выполняющих измерения;
- сведения о заказчике (организации или физическом лице), наименование, юридический адрес организации - заказчика испытаний;
- сведения об обследуемом объекте: адрес, описание испытуемых конструкций, объемно-планировочные и конструктивные решения, сведения о проектных решениях, влияющих на энергоэффективность, значение приведенного сопротивления теплопередаче обследуемых конструкций по нормативным документам и/или проектной документации (при наличии);
- наименование испытуемой конструкции, маркировку и нормативный документ на объект испытаний, имеющуюся проектную документацию;
- программу обследования, включающую в себя цель и задачи обследования, описание, нормативные документы, содержащие требования к определяемым величинам, а также в соответствии с которыми проводят испытания, включая настоящий стандарт; обоснование выбора продолжительности периода измерений;
- сведения о выбранных для испытаний конструкций, включая привязку к объекту, эскиз и техническую характеристику объекта испытаний (включая схему расстановки датчиков, фотографии и термограммы), геометрические характеристики и иные данные, характеризующие испытуемые конструкции;
- информацию об условиях проведения тепловизионного обследования и измерений, включая даты и время термографирования, погодные условия, сведения о режиме эксплуатации объекта, температурно-влажностном режиме, режиме эксплуатации системы отопления, даты проведения измерений;
- термограммы ограждающих конструкций с расшифровкой абсолютных значений температуры и комментариями к обнаруженным теплотехническим неоднородностям;
- термограммы подобранных для измерений ограждающих конструкций с расшифровкой абсолютных значений температуры и комментариями (пояснениями) к обнаруженным теплотехническим неоднородностям;
- результаты испытаний;
- дату оформления отчета (протокола/заключения);
- сведения о примененных методиках расчета, программно-расчетных комплексах, поверке примененных приборов и средств измерений;
- подписи ответственных за проведение работ и испытаний лиц;
- вывод о соответствии (несоответствии) полученных значений искомых величин требованиям нормативных документов;
- рекомендации по улучшению температурно-влажностного режима обследованного объекта;
- другую дополнительную информацию по согласованию с заказчиком.
8.2 Результаты испытаний каждого испытанного фрагмента конструкции включают в отчет (протокол/заключение) по результатам натурных испытаний и сопровождают следующими документами:
- фотографиями фрагмента с установленными датчиками измерения и информацией о привязке к обследованному объекту для возможности последующей идентификации;
- термограммой испытуемого фрагмента с анализом температурных полей, включающим в себя шкалу для интерпретации температуры и цвета, комментарий к термограмме, дополнительную информацию (при необходимости);
- графиками изменения температуры наружного и внутреннего воздуха помещения с установленной испытуемой конструкцией за весь период измерений с привязкой к календарным датам и обоснованием интервалов измерений, использованных для обработки данных;
- графиками изменения значений средней плотности теплового потока через испытуемую конструкцию за весь период измерений с привязкой к календарным датам и с обоснованием интервалов измерений, использованных для обработки данных;
- графиками изменения значений приведенного сопротивления теплопередаче конструкции по результатам измерений за весь период измерений с привязкой к календарным датам и обоснованием интервалов измерений, использованных для обработки данных.
Допускается приобщение дополнительной информации, характеризующей процесс теплопередачи и теплотехнические характеристики испытуемой конструкции.
8.3 Термограммы выявленных в процессе тепловизионной съемки зон и температурных аномалий, а также результаты обработки измерений оформляют в соответствии с требованиями
приложения А, включают в отчет (протокол/заключение) по результатам натурных испытаний, сопровождают описанием месторасположения и комментариями (пояснениями) к выявленным дефектам.
8.4 К отчету необходимо приобщать фотографии, выполненные при проведении работ и отражающие конкретные участки, места, измерения, испытания, идентифицирующие проводимые работы.
8.5 Вывод отчета (протокола/заключения) должен содержать следующие сведения:
- проведенные работы и измерения;
- результаты анализа термограмм;
- результаты определения показателей теплозащитной оболочки, включая сравнение полученных значений с требованиями нормативных документов и/или проектной документации;
- заключение о выявлении зон повышенных теплопотерь, возможного конденсатообразования, повышенной воздухопроницаемости и прочих теплотехнических дефектов;
- рекомендации по проведению мероприятий по улучшению температурно-влажностного режима обследуемого объекта.
9 Требования безопасности
9.1 К работам допускаются лица, достигшие 18 лет и прошедшие инструктаж по технике безопасности.
9.2 Лица, осуществляющие испытания, должны быть ознакомлены с соответствующими инструкциями по технике безопасности и соблюдать их при проведении работ.
9.3 При работе с электрооборудованием следует соблюдать общие требования по электробезопасности.
9.4 При работах на высоте монтаж средств измерений (датчиков) на испытуемых конструкциях следует осуществлять с соблюдением соответствующих требований безопасности.
(обязательное)
ТРЕБОВАНИЯ К ОФОРМЛЕНИЮ РЕЗУЛЬТАТОВ ИСПЫТАНИЙ
А.1 Документ по результатам испытаний (отчет/заключение/протокол) должен быть оформлен(о) в соответствии с требованиями настоящего стандарта и содержать информацию, указанную в
разделе 8.
А.2 Титульный лист документа по результатам испытаний должен содержать информацию о проведенных работах, наименование организации, выполнявшей работы, печать организации и подпись уполномоченного лица, утверждающего документацию, с указанием соответствующей даты.
Допускается размещение дополнительной информации.
А.3 Документ по результатам испытаний должен быть структурирован и содержать разделы со следующими рекомендуемыми наименованиями и содержанием: "1 Общие данные"; "2 Краткая характеристика объекта и исследуемых конструкций"; "3 Программа проведения исследований"; "4 Результаты тепловизионной съемки"; "5 Оценка теплозащитных качеств ограждающих конструкций"; "6 Заключение по результатам испытаний"; "7 Приложение".
А.4 Раздел 1 "Общие данные" содержит, как правило, следующую информацию:
- основание для проведения работы, номер договора, техническое задание;
- наименование работы, определяемые теплотехнические характеристики;
- наименование и адрес объекта капитального строительства;
- ФИО, должности сотрудников, проводивших измерения и оформлявших отчет;
- результаты испытаний, сравнение полученных значений теплотехнических характеристик с требованиями нормативных документов и/или проектной документации.
А.5 Раздел 2 "Краткая характеристика объекта и исследуемых конструкций" должен, по возможности, содержать следующую информацию:
- карту, схему расположения объекта в застройке;
- график изменения температуры наружного воздуха (например, по показаниям ближайшей метеостанции) за период до начала испытаний и весь период измерений. График измерения температуры должен демонстрировать изменение температуры наружного воздуха не менее чем за 5 сут до начала и во время всего периода измерений с шагом не более 4 ч и привязкой к конкретным календарным датам;
- сведения об объемно-планировочных и конструктивных решениях объекта, включая, по возможности, описание конструктивных решений конструкций с теплотехническими характеристиками.
А.6 Пример оформления графика изменения температуры наружного воздуха представлен на рисунке А.1.
Рисунок А.1 - График изменения температуры наружного воздуха
в период с 11.02.18 г. по 26.02.18 г. с временным шагом 3 ч
(00:00, 03:00, 06:00, 09:00, 12:00, 15:00, 18:00, 21:00)
А.7 Раздел 3 "Программа проведения исследований" должен содержать следующую информацию:
- краткое описание методики исследований, включая обоснование выбора проводимых работ, периода измерений, методов обработки результатов;
- сведения о метрологическом обеспечении используемых средств измерений.
А.8 Раздел 4 "Результаты тепловизионной съемки" должен содержать следующую информацию:
- описание условий проведения тепловизионной съемки, дату, временной интервал, погодные условия, полноту исследований;
- термограммы. Рекомендуется размещение порядка 10 - 15 наиболее информативных термограмм с комментариями обнаруженных температурных аномалий, остальные термограммы, полученные в результате проведения сплошной тепловизионной съемки, рекомендуется размещать в "7 Приложение". Термограммы, размещаемые в приложении к отчету, должны сопровождаться фотографическим изображением конструкции, температурной шкалой для интерпретации температуры и цвета и подрисуночной подписью с комментариями (пояснениями) относительно характера температурного поля и привязкой к объекту для возможности идентификации;
- наиболее информативные термограммы, которые должны сопровождаться фотографическим изображением конструкции, выполненным с тем же ракурсом, температурной шкалой для интерпретации температуры и цвета, подрисуночной подписью с комментариями относительно характера температурного поля и привязкой к объекту для возможности идентификации. На термограммах должны быть показаны точки локальных максимумов температур (наружная съемка) и локальных минимумов температур (внутренняя съемка). Значения локальных минимумов и максимумов температур указывают в таблицах, соответствующих термограммам. Должны быть выделены характерные участки, для которых проводился анализ однородности теплофизических качеств, а также фрагменты, свойства которых отличны от подобных участков ограждения. Построение сечений на термограммах рекомендуется осуществлять по одной и той же схеме, например слева направо и снизу вверх. В тех случаях, когда применены другие направления построения графиков, в комментариях к рисункам должны быть даны соответствующие примечания. Изображения должны быть, по возможности, четкими, размер термограмм должен обеспечивать четкую визуализацию температурного поля на испытуемой конструкции. Рекомендуются использование палитры "радуга" и размещение не более двух термограмм на одной странице отчета формата A4. Температурную шкалу подбирают для наиболее информативной демонстрации температурного поля испытуемой конструкции. Примеры оформления термограмм представлены на рисунках А.2 и
А.3.

Рисунок 0.0.1 - Фасад здания в осях 1 - 4 по оси А
На рисунке представлено распределение температур по поверхности ограждающих конструкций фасада здания. На термограммах показаны точки локальных максимумов температур, значения которых приведены в таблицах. Области 1, 2 на термограммах выделены на поверхности фасадов. На гистограммах показано распределение температур.
Примечания
1 Здесь и далее примеры термограмм представляют собой снимки экрана (скриншоты) компьютера, на котором установлено специализированное программное обеспечение. В связи с этим оформление данных примеров отличается от требований основополагающих стандартов к графическим материалам. Светлый курсив использован здесь и далее в рисунках для пояснения и нумерации графических материалов отчета (приложения к отчету), отличной от нумерации графических материалов настоящего приложения.
2 Размер изображений подобран таким образом, чтобы продемонстрировать температурные аномалии и их повторяемость на фасаде. Масштаб изображений - по одному рисунку (в данном случае две термограммы) с графиками и подрисуночными подписями (например,
рисунок 0.1.1) на страницу формата A4.
Рисунок А.2 - Пример оформления термограмм
наружной тепловизионной съемки
Рисунок 0.0.2 - Помещение в осях 7 - 8, А - В,
расположенное на 3-м этаже
На термограммах показаны точки локальных минимумов температур, значения температур приведены в таблицах.
Линия 1 на верхней термограмме проходит по всей поверхности конструкции. Температура поверхности внутренних стен, дающая представление о температуре воздуха помещения, составляет 28,7 °C, средняя температура наружной стены в зоне прохождения линии - 26,7 °C, минимальная температура наблюдается в области импоста и составляет 21,7 °C.
Область 1 на нижней термограмме выделена в нижнем углу, в месте сопряжения наружной и внутренней стен, область 2 - на наружной стене. Разница минимальных значений температур областей 1 и 2 составляет 2,3 °C.
Примечания
1 Размер изображений подобран "на помещение" для демонстрации температурного поля всей внутренней поверхности наружной ограждающей конструкции. Также детализирована область пониженных температур в правом нижнем углу.
2 Масштаб изображений - по одному рисунку (в данном случае две термограммы) с графиками и подрисуночными подписями на страницу формата A4. Таким образом,
рисунок 0.0.2 целиком занимает всю страницу отчета.
Рисунок А.3 - Пример оформления термограмм
внутренней тепловизионной съемки
А.9 Раздел 5 "Оценка теплозащитных качеств ограждающих конструкций" должен содержать следующую информацию:
- информацию о проводимых работах, определяемых величинах, теплотехнических характеристиках испытуемых конструкций;
- описание условий проведения измерений, даты, продолжительность периода измерений с привязкой к конкретным календарным датам, сведения об установившемся температурно-влажностном режиме объекта;
- сведения о методике обработки результатов измерений;
- сведения о режиме проведения измерений, интервале фиксации замеров, количестве установленных датчиков;
- результаты измерений каждой исследованной конструкции, которые должны обязательно сопровождаться информацией, демонстрирующей результаты измерений, указанной ниже отдельно для определения приведенного сопротивления теплопередаче [см. перечисление а)] и для определения минимальных температур [см.
перечисление б)].
а) В случае определения приведенного сопротивления теплопередаче
1) Фотография испытуемой конструкции с установленными датчиками, в подрисуночной подписи которой указывают наименование конструкции и дают привязку к объекту для последующей идентификации.
2) Термограмма испытуемой конструкции с температурной шкалой интерпретации цвета, таблицей значений температур в характерных точках и, по возможности, с разбивкой по расчетным областям.
3) График изменения значений температуры внутреннего и наружного воздуха с привязкой к конкретным датам измерений.
4) График значений средней плотности теплового потока через испытуемую конструкцию.
5) График значений приведенного сопротивления теплопередаче испытуемой конструкции. При определении приведенного сопротивления теплопередаче светопрозрачных конструкций включают в раздел графики определения сопротивления теплопередаче конструктивных элементов. Например, для окон включают в раздел графики сопротивления теплопередаче профиля коробки, створки, стеклопакета.
Для стен или перекрытий рекомендуется дополнительно включать в раздел графики приведенного сопротивления теплопередаче конструкции в зонах минимальных и максимальных значений.
Пример оформления определения приведенного сопротивления теплопередаче оконного блока приведен на рисунке А.4.
Фото 0.1. Оконный блок по оси 9 в осях Е - И на 3-м этаже 1-й секции с датчиками измерения плотности теплового потока и температуры.
Рисунок 0.1.1 - Распределение температурных полей
на испытуемой конструкции
Рисунок 0.1.2 - Графики значений температуры
внутреннего и наружного воздуха, °C
Среднее значение температуры внутреннего воздуха за период измерений составляет плюс 22,6 °C, среднее значение температуры наружного воздуха - минус 0,5 °C.
Рисунок 0.1.3 - График значений средней плотности теплового
потока через испытуемую конструкцию оконного блока, Вт/м2
Среднее значение плотности теплового потока за период измерений составляет 40,3 Вт/м2.
Рисунок 0.1.4 - График значений приведенного сопротивления
теплопередаче оконного блока, м2·°C/Вт
Среднее значение приведенного сопротивления теплопередаче оконного блока с учетом доверительной вероятности 99,7% за период измерений составляет (0,55 +/- 0,02) м2·°C/Вт.
Рисунок 0.1.5 - График значений приведенного сопротивления
теплопередаче профиля коробки, м2·°C/Вт
Среднее значение приведенного сопротивления теплопередаче профиля коробки за период наблюдений составляет 0,63 м2·°C/Вт.
Рисунок 0.1.6 - График значений приведенного сопротивления
теплопередаче профиля створок, м2·°C/Вт
Среднее значение приведенного сопротивления теплопередаче профиля створок за период наблюдений составляет 0,78 м2·°C/Вт.
Рисунок 0.1.7 - График значений приведенного сопротивления
теплопередаче стеклопакета, м2·°C/Вт
Среднее значение приведенного сопротивления теплопередаче стеклопакета за период наблюдений составляет 0,47 м2·°C/Вт.
Рисунок А.4 - Пример оформления определения приведенного
сопротивления теплопередаче оконного блока
Пример оформления определения приведенного сопротивления теплопередаче фрагмента стеновой конструкции приведен на рисунке А.5.
Фото 0.2. Стена (тип 1) с датчиками измерения теплового потока и температуры в осях 1 - 2 по оси В на 7-м этаже. Красным контуром выделена наиболее теплопроводная зона, синим - наименее.
Рисунок 0.2.1 - Распределение температурных полей
на испытуемой конструкции
Рисунок 0.2.2 - Графики значений температуры
внутреннего и наружного воздуха, °C
Среднее значение температуры внутреннего воздуха за период измерений составляет +20,4 °C, среднее значение температуры наружного воздуха - +0,5 °C.
Рисунок 0.2.3 - График значений средней плотности
теплового потока через стену, Вт/м2
Среднее значение плотности теплового потока за период измерений составляет 13,9 Вт/м2.
Рисунок 0.2.4 - График значений приведенного сопротивления
теплопередаче фрагмента стены, м2·°C/Вт
Среднее значение приведенного сопротивления теплопередаче с учетом доверительной вероятности 99,7% за период измерений составляет (1,47 +/- 0,11) м2·°C/Вт.
Рисунок 0.2.5 - График максимальных и минимальных значений
приведенного сопротивления теплопередаче стены, м2·°C/Вт
Максимальное значение приведенного сопротивления теплопередаче стены за период измерений составляет 1,93 м2·°C/Вт; минимальное значение приведенного сопротивления теплопередаче стены за период измерений - 0,95 м2·°C/Вт.
Рисунок А.5 - Пример оформления определения приведенного
сопротивления теплопередаче фрагмента стеновой конструкции
На представленном на
рисунке А.5 примере продемонстрировано явление тепловой инерции, колебаний наружного воздуха, а также последствия кратковременного отключения системы отопления 7 декабря.
б) В случае определения минимальных температур
1) Фотография испытуемой конструкции с установленными датчиками, в подрисуночной подписи которой указывают наименование конструкции и дают привязку к объекту для последующей идентификации.
2) Термограмма испытуемой конструкции с температурной шкалой интерпретации цвета и таблицей значений температур в характерных точках.
3) График изменения значений температуры внутреннего и наружного воздуха с привязкой к конкретным датам измерений.
4) График минимальной температуры испытуемой конструкции в расчетных условиях.
А.10 Раздел 6 "Заключение по результатам испытаний" должен содержать следующую информацию:
- данные о проведенных работах с указанием объекта исследований;
- анализ результатов тепловизионной съемки;
- краткое описание и обоснование выбранных для проведения измерений конструкций;
- результаты определения теплотехнических характеристик (приведенного сопротивления теплопередаче и/или минимальной температуры);
- анализ теплотехнических характеристик;
- сравнение полученных значений теплотехнических характеристик с требованиями нормативных документов и/или проектной документации;
- рекомендации по улучшению температурно-влажностного режима объекта (при необходимости).
А.11 В разделе 7 "Приложение" рекомендуется приводить информацию из проектной документации об архитектурно-планировочных решениях объекта капитального строительства, требования энергоэффективности, энергетический паспорт, схемы расстановки датчиков измерений, а также прочую информацию, имеющую отношение к проведенным работам.
А.12 Обработка результатов измерений должна быть выполнена с учетом требований
раздела 7.
А.12.1 Суть и последовательность расчета приведенного сопротивления теплопередаче ограждающей конструкции изложены ниже. По данным измерений рассчитывают значения термического сопротивления каждой зоны в конкретный момент времени, затем приведенное сопротивление теплопередаче всего фрагмента в каждый конкретный момент времени, далее - среднее значение приведенного сопротивления теплопередаче конструкции (фрагмента) за весь период измерений.
В качестве примера приведен фрагмент конструкции стены, разделенный на три температурные зоны, в центрах которых установлены датчики измерения температуры и плотности теплового потока (см.
рисунок А.6).
Границы каждой однородной температурной зоны подбирают таким образом, чтобы сохранялась термическая однородность выделенного участка конструкции, а точка расположения измерительного оборудования была максимально приближена к его геометрическому центру.
Рисунок А.6 - Схема расположения границ температурных
однородных зон и точек 1, 2, 3 установки средств измерений
Исходные данные: ширина фрагмента - 1 м; высота - 2,7 м; данные измерения температуры и плотности тепловых потоков приведены в таблице А.1.
Таблица А.1
Время | Температура внутренней поверхности зоны  , °C | Температура наружной поверхности зоны  , °C | Плотность теплового потока зоны q, Вт/м2 |
1 | 2 | 3 | 1 | 2 | 3 | 1 | 2 | 3 |
14:00 | 13,2 | 13,5 | 13,7 | -6,1 | -6,1 | -6,1 | 10,4 | 9,4 | 10,3 |
14:10 | 13,2 | 13,6 | 13,8 | -6,1 | -6,1 | -6,1 | 9,7 | 17,1 | 10,2 |
14:20 | 13,2 | 13,7 | 13,8 | -6,3 | -6,3 | -6,3 | 11,5 | 15,9 | 12,1 |
14:30 | 13,2 | 13,5 | 13,7 | -5,9 | -5,9 | -5,9 | 11,1 | 14,9 | 10 |
14:40 | 13,1 | 13,5 | 13,7 | -5,7 | -5,7 | -5,7 | 8,5 | 10,3 | 9,2 |
Площади расчетных зон: F1 = 0,9 м2; F2 = 0,9 м2; F3 = 0,9 м2.
Коэффициенты теплоотдачи поверхности:

;

.
Средняя плотность теплового потока через конструкцию в конкретный момент времени:

;

;

;

;

.
Термическое сопротивление теплопередаче каждой зоны в конкретный момент времени:

;

;

;

;

;

;

;

;

;

;

;

;

;

;

.
Приведенное сопротивление теплопередаче конструкции в конкретный момент времени:
Среднее значение приведенного сопротивления теплопередаче фрагмента конструкции:

.
А.12.2 Поскольку методы определения показателей теплозащитной оболочки на базе тепловизионного обследования и натурных измерений имеют статистический характер и основаны на обработке больших массивов данных результатов измерений, для проведения расчетов используют программную реализацию изложенных алгоритмов.
А.13 Суть и последовательность расчета минимальных температур ограждающей конструкции изложены ниже.
В качестве примера приведен фрагмент конструкции окна, в нижних угловых зонах стеклопакета которого установлены датчики измерения температуры (см. рисунок А.7).
Рисунок А.7 - Схема расположения средств измерений
Испытания проведены в жилом доме в Московском регионе. Требования к минимальным температурам на внутренних поверхностях должны быть обеспечены при условиях tв = 20 °C, tн = -25 °C. Погрешность измерения температуры составляет 0,2 °C.
Минимальную температуру на внутренней поверхности

в точке измерений определяют по
формуле (15).
В течение периода испытаний в автоматическом режиме с интервалом 10 мин регистрировался массив записей измеряемых величин температур.
Результаты анализа выполненных измерений представлены в графическом виде на
рисунках А.8,
А.9.
Фото оконного блока с установленным измерительным оборудованием
Рисунок А.8 - Распределение температурных полей
на испытуемой конструкции
На термограмме выделены зоны А (оконный блок в целом), В (стеклопакет слева), С (стеклопакет справа) с указанием среднего, минимального и максимального значений температуры по зонам. Температура в точках a, b, c, d в момент тепловизионной съемки указана в верхнем правом углу.
Рисунок А.9 - Графики значений температур внутреннего
воздуха (верхняя линия), наружного воздуха (нижняя линия)
и поверхности в точке a на стеклопакете, °C
Среднее значение температуры внутреннего воздуха tв за период наблюдений составляет +20,66 °C.
Среднее значение на внутренней поверхности конструкции

в точке
a за период наблюдений составляет +11,9 °C.
Среднее значение температуры наружного воздуха tн за период наблюдений составляет +1,09 °C.
Значение температуры светопрозрачной ограждающей конструкции в точке a в расчетных условиях составляет:

.
Средние значения на внутренней поверхности конструкции

за период наблюдений в точках
b,
c и
d составили +11,12; +11,31 и +11,61 °C соответственно.
Погрешность расчетов составляет:

.
Значения минимальных температур поверхности конструкции в расчетных условиях с учетом погрешности определены интервалами:

;

;

;

.
| Федеральный закон от 26 июня 2008 г. N 102-ФЗ "Об обеспечении единства измерений" |
УДК 624.01:535.233:006.354 | |
Ключевые слова: здания и сооружения, метод измерения, натурные условия, ограждающие конструкции, тепловизионное обследование, термограмма, температура, сопротивление теплопередаче |