Главная // Актуальные документы // Баланс (форма)СПРАВКА
Источник публикации
М.: Стандартинформ, 2018
Примечание к документу
Текст данного документа приведен с учетом
поправки, опубликованной в "ИУС", N 12, 2021.
Документ
введен в действие с 01.06.2019.
Взамен ГОСТ 24059-88.
Название документа
"ГОСТ 24059-2017. Межгосударственный стандарт. Техника сельскохозяйственная. Транспортные и погрузочные средства. Методы эксплуатационно-технологической оценки"
(введен в действие Приказом Росстандарта от 01.11.2018 N 907-ст)
"ГОСТ 24059-2017. Межгосударственный стандарт. Техника сельскохозяйственная. Транспортные и погрузочные средства. Методы эксплуатационно-технологической оценки"
(введен в действие Приказом Росстандарта от 01.11.2018 N 907-ст)
агентства по техническому
регулированию и метрологии
от 1 ноября 2018 г. N 907-ст
МЕЖГОСУДАРСТВЕННЫЙ СТАНДАРТ
ТЕХНИКА СЕЛЬСКОХОЗЯЙСТВЕННАЯ
ТРАНСПОРТНЫЕ И ПОГРУЗОЧНЫЕ СРЕДСТВА
МЕТОДЫ ЭКСПЛУАТАЦИОННО-ТЕХНОЛОГИЧЕСКОЙ ОЦЕНКИ
Agricultural machinery. Transport and loading facilities.
Methods of operational and technological assessment
ГОСТ 24059-2017
Дата введения
1 июня 2019 года
Цели, основные принципы и основной порядок проведения работ по межгосударственной стандартизации установлены в
ГОСТ 1.0-2015 "Межгосударственная система стандартизации. Основные положения" и
ГОСТ 1.2-2015 "Межгосударственная система стандартизации. Стандарты межгосударственные, правила и рекомендации по межгосударственной стандартизации. Правила разработки, принятия, обновления и отмены"
1 РАЗРАБОТАН Новокубанским филиалом Федерального государственного бюджетного научного учреждения "Российский научно-исследовательский институт информации и технико-экономических исследований по инженерно-техническому обеспечению агропромышленного комплекса" (КубНИИТиМ)
2 ВНЕСЕН Федеральным агентством по техническому регулированию и метрологии
3 ПРИНЯТ Межгосударственным советом по стандартизации, метрологии и сертификации (протокол от 30 ноября 2017 г. N 52)
За принятие проголосовали:
Краткое наименование страны по МК (ИСО 3166) 004-97 | Код страны по МК (ИСО 3166) 004-97 | Сокращенное наименование национального органа по стандартизации |
Армения | AM | Минэкономики Республики Армения |
Беларусь | BY | Госстандарт Республики Беларусь |
Киргизия | KG | Кыргызстандарт |
Россия | RU | Росстандарт |
Таджикистан | TJ | Таджикстандарт |
Туркмения | TM | Главгосслужба "Туркменстандартлары" |
Узбекистан | UZ | Узстандарт |
4
Приказом Федерального агентства по техническому регулированию и метрологии от 1 ноября 2018 г. N 907-ст межгосударственный стандарт ГОСТ 24059-2017 введен в действие в качестве национального стандарта Российской Федерации с 1 июня 2019 г.
5 ВЗАМЕН ГОСТ 24059-88
Информация об изменениях к настоящему стандарту публикуется в ежегодном информационном указателе "Национальные стандарты", а текст изменений и поправок - в ежемесячном информационном указателе "Национальные стандарты". В случае пересмотра (замены) или отмены настоящего стандарта соответствующее уведомление будет опубликовано в ежемесячном информационном указателе "Национальные стандарты". Соответствующая информация, уведомление и тексты размещаются также в информационной системе общего пользования - на официальном сайте Федерального агентства по техническому регулированию и метрологии в сети Интернет (www.gost.ru)
Настоящий стандарт распространяется на транспортные (категорий N, O, T) и погрузочные средства: прицепы и полуприцепы тракторные, грузовые автомобили, автосамосвалы сельскохозяйственного назначения, погрузчики, разгрузчики зерна, семян, кормов, удобрений, ядохимикатов и устанавливает методы эксплуатационно-технологической оценки вышеперечисленных типов транспортных и погрузочных средств (далее - транспортные средства).
В настоящем стандарте использованы нормативные ссылки на следующие стандарты:
ГОСТ 24055-2016 Техника сельскохозяйственная. Методы эксплуатационно-технологической оценки
ГОСТ 31286-2005 Транспорт дорожный. Основные термины и определения. Классификация <*>
--------------------------------
<*> В Российской Федерации стандарт не действует.
Примечание - При пользовании настоящим стандартом целесообразно проверить действие ссылочных стандартов в информационной системе общего пользования - на официальном сайте Федерального агентства по техническому регулированию и метрологии в сети Интернет или по ежегодному информационному указателю "Национальные стандарты", который опубликован по состоянию на 1 января текущего года, и по выпускам ежемесячного информационного указателя "Национальные стандарты" за текущий год. Если ссылочный стандарт заменен (изменен), то при пользовании настоящим стандартом следует руководствоваться заменяющим (измененным) стандартом. Если ссылочный стандарт отменен без замены, то положение, в котором дана ссылка на него, применяется в части, не затрагивающей эту ссылку.
В настоящем стандарте применены термины по
ГОСТ 24055, ГОСТ 31286.
4.1 Эксплуатационно-технологическую оценку опытных и серийных образцов транспортных средств проводят в сельскохозяйственной зоне на основных видах работ, составляющих не менее 70% от всех видов работ, для которых они предназначены, согласно техническому заданию (ТЗ), нормативной документации (НД) и руководству по эксплуатации.
4.2 При подготовке транспортного средства к проведению эксплуатационно-технологической оценки должны быть соблюдены следующие требования:
- техническое состояние транспортного средства, представленного на испытания, должно соответствовать требованиям ТЗ (ТУ) и руководства по эксплуатации;
- транспортное средство должно быть агрегатировано с соответствующим энергосредством, отвечающим требованиям ТЗ (ТУ);
- техническое и технологическое обслуживание в агрегате с энергосредством следует проводить с использованием персонала и технических средств, предусмотренных руководством по эксплуатации;
- до проведения контрольных смен транспортное средство должно быть обкатано и отрегулировано в соответствии с руководством по эксплуатации.
4.3 Во время контрольной смены соблюдают режим работы транспортного средства, установленный в ТЗ (ТУ), и определяют эксплуатационно-технологические показатели и показатели качества выполнения технологического процесса по номенклатуре показателей, предусмотренных стандартами на методы испытаний транспортных средств.
4.4 При проведении контрольных смен по образцам выполняют следующие требования:
- испытания сравниваемых транспортных средств проводят на одном и том же виде работ и фоне в одно и то же время;
- на каждом виде работ проводят не менее трех контрольных смен, минимальная продолжительность каждой контрольной смены должна быть не менее 8 ч сменного времени.
4.5 Регистрацию всех элементов времени смены проводят методом сплошной хронографии или поэлементного хронометража в соответствии с приложением Б
(таблица Б.1).
При регистрации элементов времени смены методом поэлементного хронометража число регистрируемых измерений элементов времени смены должно соответствовать указанному в таблице 1.
Таблица 1
Рекомендуемое число регистрируемых
измерений элементов времени смены
Наименование элемента времени смены | Число регистрируемых элементов смены (не менее) |
Основное время, ч | Трех контрольных смен |
- при делении основного времени на контрольные опыты (циклы) | 10 |
- при суммировании всего основного времени | 24 ч времени смены |
Время на технологический переезд; технологическое обслуживание (погрузка, загрузка, разгрузка), ч | 3 |
Время одного ежесменного технического обслуживания (ЕТО) и заправку топливом; агрегатирования; проведения наладки и регулирования, ч | 3 |
4.6 Качество выполнения технологического процесса (рабочей операции), сохранность и качество продукции определяют в соответствии со стандартами, действующими в государствах - участниках Соглашения.
5 Номенклатура и методы получения первичной информации
5.1 При проведении эксплуатационно-технологической оценки транспортного средства фиксируют следующие данные:
- дату и место проведения испытаний;
- состав, наименование и марку транспортного средства;
- вид работы;
- условия испытаний (характеристику дорог, грузов, расстояния перевозки, способы погрузки-разгрузки, вид и состояние груза, уклон дороги, метеорологические условия);
- режим работы (скорость движения с грузом и без груза, высоту погрузки, загрузки и т.д.);
- объем выполненной работы (в тоннах, тонно-километрах);
- продолжительность элементов времени смены;
- расход топлива (газа, электроэнергии);
- число основного и вспомогательного обслуживающего персонала;
- качество выполнения технологического процесса.
5.2 Условия, в которых проводят испытания транспортных средств (тип дороги и почвы, вид груза, способ погрузки и разгрузки), должны быть характерными для сельскохозяйственной зоны.
5.3 Объем выполненной работы определяют:
- непосредственным взвешиванием массы груза или объема продукции (перевезенной, погруженной, разгруженной) в течение контрольной смены;
- измерением расстояния, на которое перевозится груз.
5.4 При проведении контрольных смен регистрируют следующие элементы времени смены:
- основное время (время движения с грузом);
- вспомогательное время: время на переезд от агрегата к агрегату, переезды на рабочем месте, время на погрузку и разгрузку, время движения без груза;
- время на ежесменное техническое обслуживание (ЕТО) и заправку топливом;
- время перевода в рабочее и транспортное положения;
- время на агрегатирование;
- время на проведение наладки и регулирования;
- время на устранение нарушений технологического процесса;
- время на устранение технического отказа.
5.4.1 Регистрируемую информацию заносят в форму наблюдательного листа (на электронный или бумажный носитель) по
форме А.1 (приложение А).
5.4.2 При регистрации продолжительности времени на устранение нарушений технологического процесса, технического отказа необходимо записать их причины.
5.4.3 Допускается продолжительность каждого элемента сменного времени регистрировать с помощью электронных средств измерений с последующим переносом информации на бумажный носитель в соответствии с
формой А.1 (приложение А) или непосредственно в персональный компьютер для проведения расчетов эксплуатационно-технологических показателей.
5.5 Расход топлива (газа, электроэнергии и др.) определяют за весь период контрольной смены одним из следующих методов:
- с использованием прибора, регистрирующего расход топлива (газа, электроэнергии и др.);
- методом дозаправки топливом энергосредства до полного бака после окончания контрольной смены (аналогично началу работы) с использованием заправочного агрегата со счетчиком топлива и регистрацией объема долитого топлива в конце смены, который определяется как общий расход топлива, израсходованного за контрольную смену.
5.6 Число обслуживающего персонала определяют по результатам проведения контрольных смен:
- число основного персонала (водитель, механизатор), чел;
- число вспомогательного персонала (мастер на техобслуживании, грузчик и др.), чел.
6 Методы определения эксплуатационно-технологических показателей
6.1 При эксплуатационно-технологической оценке транспортных средств определяют следующие показатели:
- производительность за 1 ч основного времени;
- производительность за 1 ч технологического и сменного времени;
- производительность за 1 ч эксплуатационного времени;
- удельный расход топлива (газа, электроэнергии и др.) за сменное время;
- число обслуживающего персонала;
- коэффициенты технологического обслуживания, надежности технологического процесса, использования технологического времени, использования сменного времени;
- скорость движения с грузом;
- скорость движения без груза;
- среднюю техническую скорость;
- коэффициент использования номинальной грузоподъемности.
6.2 Производительность за 1 ч основного времени
i-й контрольной смены

, т/ч (т·км/ч), вычисляют по формуле

, (1)
где Fi - объем работы за i-ю контрольную смену, т (т·км);

- фактическое основное время за
i-ю контрольную смену, ч.
6.2.1 Объем работы за
i-ю контрольную смену
Fi, т (

, т·км) вычисляют по формулам
Fi = Gi, (2)
где Gi - масса перевезенного груза за i-ю контрольную смену, т;

, (3)
где lтр - расстояние транспортировки груза, км.
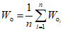
6.2.2 Производительность за 1 ч основного времени за период контрольных смен Wо, т/ч (т·км/ч), вычисляют по формуле

, (4)
где n - число контрольных смен.
6.3 Производительность за 1 ч технологического времени Wтех, т/ч (т·км/ч), вычисляют по формуле
Wтех = WоKтех, (5)
где Kтех - коэффициент использования технологического времени за период контрольных смен.
6.4 Производительность за 1 ч сменного времени, Wсм, т/ч (т·км/ч), вычисляют по формуле
Wсм = WоKсм, (6)
где Kсм - коэффициент использования сменного времени за период контрольных смен.
6.5 Производительность за 1 ч эксплуатационного времени
Wэк 
, т/ч (т·км/ч), вычисляют по формуле

(7)
или

, (8)
где Kг - коэффициент готовности.
6.6 Коэффициент технологического обслуживания за
i-ю контрольную смену

вычисляют по формуле

, (9)
где

- основное время, приведенное к нормативной продолжительности смены за
i-ю контрольную смену, ч;

- время на погрузочно-разгрузочные работы (погрузку, погрузку на ходу, переезды при погрузке, разгрузку, маневрирование), приведенное к нормативной продолжительности смены за
i-ю контрольную смену, ч;

- время на проведение наладки и регулирования, приведенное к нормативной продолжительности смены за
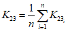
i-ю контрольную смену, ч. Коэффициент технологического обслуживания за период контрольных смен вычисляют по формуле

. (10)
6.7 Коэффициент надежности технологического процесса за
i-ю контрольную смену

вычисляют по формуле

, (11)
где

- время устранения нарушения технологического процесса, приведенное к нормативной продолжительности смены за
i-ю контрольную смену, ч.
Коэффициент надежности технологического процесса K41 за период контрольных смен вычисляют по формуле

. (12)
6.8 Коэффициент использования технологического времени за
i-ю контрольную смену

вычисляют по формуле

, (13)
где

- технологическое время за
i-ю контрольную смену, приведенное к нормативной продолжительности смены, ч.
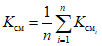
6.8.1 Коэффициент использования технологического времени Kтех за период контрольных смен вычисляют по формуле

. (14)
6.8.2 Технологическое время за i-ю контрольную смену, приведенное к нормативной продолжительности смены, вычисляют по формуле

, (15)
где

- время на переезды от одного обслуживаемого агрегата к другому, приведенное к нормативной продолжительности смены за
i-ю контрольную смену, ч;

- время на холостой переезд (без груза) от места разгрузки до места погрузки, приведенное к нормативной продолжительности смены за
i-ю контрольную смену, ч;

- время на взвешивание, оформление документов, взятие проб и др., ч.
6.9 Коэффициент использования сменного времени за
i-ю контрольную смену

вычисляют по формуле

, (16)
где Tн.см - продолжительность нормативной смены, ч.
Коэффициент использования сменного времени Kсм за период контрольных смен вычисляют по формуле

. (17)
6.10 Продолжительность приведенной нормативной смены Tн.см, ч, вычисляют и проверяют баланс времени смены по формулам

(18)
или

. (19)
6.10.1 Элементы технологического времени i-й контрольной смены, приведенные к нормативной продолжительности смены, вычисляют по формулам
- основное время

, ч, вычисляют по формуле

, (20)
где

- коэффициент приведения фактического элемента времени к нормативному (приведенному) элементу времени
i-й контрольной смены (вычисляют по
формуле (36));
- время на переезды от одного обслуживаемого агрегата к другому

, ч, вычисляют по формуле

; (21)
- время на холостой переезд (без груза) от места разгрузки до места погрузки

, ч, вычисляют по формуле

; (22)
- время на погрузочно-разгрузочные работы (погрузку, погрузку на ходу, переезды при погрузке, разгрузку, маневрирование)

, ч, вычисляют по формуле

; (23)
- время на взвешивание, оформление документов, взятие проб и др.

, ч, вычисляют по формуле

; (24)
- время на проведение наладки и регулирование

, ч, вычисляют по формуле

; (25)
- время на устранения нарушения технологического процесса

, ч, вычисляют по формуле

. (26)
6.10.2 Элементы технологического времени за весь период контрольных смен, приведенные к нормативной продолжительности смены и приводимые в балансе времени смены по виду работы, вычисляют по следующим формулам:
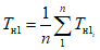
- основное время Tн1, ч,

; (27)
- время на переезд от одного обслуживаемого агрегата к другому

, ч,

; (28)
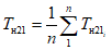
- время на холостой переезд (без груза) от места разгрузки до места погрузки Tн22, ч,

; (29)
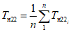
- время на погрузочно-разгрузочные работы (погрузку, погрузку на ходу, переезды при погрузке, разгрузку, маневрирование) Tн23, ч,

; (30)
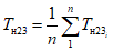
- время на взвешивание, оформление документов, взятие проб и др. Tн24, ч,

; (31)
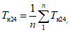
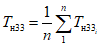
- время на проведение наладки и регулирование Tн33, ч,

; (32)
- время на устранения нарушения технологического процесса Tн41, ч,

. (33)
6.10.3 Полученные данные заносят в
таблицу В.1 (приложение В).
6.11 Время регламентированных внутрисменных элементов времени по машине Tconst, ч, вычисляют по формуле

, (34)
где T31 - время на ежесменное техническое обслуживание агрегата и заправку топливом, ч;
T32 - время перевода машины в рабочее и транспортное положения, ч;

- время агрегатирования, приходящееся на смену, приведенную к нормативной смене, ч;
Tн5 - время на отдых (принимается нормативным), ч.
Время агрегатирования, приходящееся на смену, приведенную к нормативной продолжительности смены

, ч, вычисляют по формуле

, (35)
где T34 - фактическое время агрегатирования сельскохозяйственной машины с энергосредством, ч;
Пагр - период от агрегатирования до очередного агрегатирования, число смен.
6.12 Коэффициент приведения фактического элемента времени к нормативному (приведенному) элементу времени i-й контрольной смены вычисляют по формуле

, (36)
где

- фактическое технологическое время
i-й контрольной смены, ч.
Фактическое технологическое время i-й контрольной смены вычисляют по формуле

, (37)
где

- фактическое время на переезды от одного обслуживаемого агрегата к другому
i-й контрольной смены, ч;

- фактическое время на холостой переезд (без груза) от места разгрузки до места погрузки,
i-й контрольной смены, ч;

- фактическое время на погрузочно-разгрузочные работы (погрузку, погрузку на ходу, переезды при погрузке, разгрузку, маневрирование),
i-й контрольной смены, ч;

- фактическое время на взвешивание, оформление документов, взятие проб и др.,
i-й контрольной смены, ч;

- фактическое время на проведение наладки и регулирования
i-й контрольной смены, ч;

- фактическое время устранения нарушения технологического процесса
i-й контрольной смены, ч.
6.13 Удельный расход топлива при выполнении транспортной работы вычисляют по формулам:
- на единицу перевезенного груза в тоннах
i-й контрольной смены,

, кг/т

, (38)
- на единицу объема работ в тонно-километрах
i-й контрольной смены,

, кг/т·км

, (39)
где Qi - общий расход топлива за время i-й контрольной смены , кг;
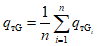
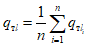
Удельный расход топлива за период контрольных смен вычисляют по формулам:
- на единицу перевезенного груза в тоннах, qтG, кг/т

; (40)
- на единицу объема работ в тонно-километрах, qтl, кг/т·км

. (41)
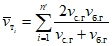
6.14 Среднюю техническую скорость на каждом виде транспортной работы

, км/ч, вычисляют по формуле

, (42)
где vс.г - скорость транспортного средства с грузом, км/ч;
vб.г - скорость транспортного средства без груза, км/ч;
n' - число измерений скорости с грузом и без груза (не менее трех измерений).
6.15 Коэффициент использования номинальной грузоподъемности Kном на каждом виде работ вычисляют по формуле

, (43)
где G - объем работы за период наблюдения, т (т·км);
g - номинальная грузоподъемность, т;
n" - число поездок с грузом.
6.16 При анализе эксплуатационно-технологических показателей:
- отражают соответствие условий проведения испытаний типичным условиям сельскохозяйственной зоны, соответствие сроков выполнения работы агротехническим срокам, отмечают факторы, благоприятствовавшие работе транспортного средства, а также затрудняющие его работу;
- устанавливают причинно-следственные связи показателей с конструкцией машины и оценивают их влияние на качество выполнения технологического процесса;
- характеризуют универсальность транспортного средства, вписываемость в технологический процесс;
- сопоставляют фактические показатели с показателями ТЗ (ТУ) и сравниваемой машины, анализируют эксплуатационно-технологические коэффициенты, выявляют преимущества и недостатки.
По результатам эксплуатационно-технологической оценки делают вывод о соответствии машины требованиям ТЗ (ТУ).
6.17 Результаты эксплуатационно-технологической оценки оформляют в соответствии с
формой Г.1 (приложение Г).
6.18 Показатели эксплуатационно-технологической оценки служат исходными данными для определения экономической эффективности испытуемых образцов транспортных средств и показателей ресурсосбережения.
(обязательное)
ОФОРМЛЕНИЕ РЕЗУЛЬТАТОВ НАБЛЮДЕНИЙ
Транспортное средство _______________________________
Марка _______________________________
Наблюдатель _______________________________
Водитель (механизатор) _______________________________
Область, район ____________________________ | |
Наименование хозяйства ____________________ | | Дата | Контрольная смена | |
Технологическая операция __________________ | | | |
Вид работы _______________________________ | | Время наблюдения | |
____________________________________________ | | Начало | Конец | Продолжительность | |
1) Число обслуживающего персонала: _______ | | | | | |
| |
2) Определение скорости движения во время смены: | Расход горючего: Долито до полного бака да - нет ___ л Остаток на конец смены __________ л Израсходовано за смену __________ л Израсходовано за смену __________ кг Долито: - масла в картер _________________ л - масла в гидросистему ___________ л - воды в радиатор ________________ л Объем выполненной работы за смену: ___________________ км ___________________ т |
| Показатель | Значение показателя | |
| Длина пути, км | | | | | | | | | |
| Время, ч | | | | | | | | | |
| Скорость, км/ч | | | | | | | | | |
3) Условия работы: способ погрузки ________________ способ выгрузки ____________________ 4) Сведения о перевозимом грузе: наименование груза _____________________ состояние груза ________________________ ______________________________________ 5) Дорожные условия: вид пути: поле, дорога <*>название дороги: шоссе, грунтовая, асфальт <*>рельеф: с уклоном, ровный, холмистый <*>микрорельеф: кочки, гряды, ямы <*>влажность почвы: грязь, сухо, сыро <*>характеристика места погрузки: _________________________________________________ _________________________________________________ _________________________________________________ |
| Показания спидометра | |
| в начале смены | в конце смены | |
| | | |
|
|
Продолжение формы А.1
Дата _______________ Марка _________________ с _____
Номер операции | Фактический элемент времени смены | Номер рейса | Время конца операции | Продолжительность, ч, мин, с | Шифр | Число обслуживающего персонала (при работе, ЕТО, наладке, регулировании, устранении технических отказов, нарушении технологического процесса и др.) |
часы | минуты | секунды | элемента времени | режима работы |
| | | | | | | | | |
| | | | | | | | | |
| | | | | | | | | |
| | | | | | | | | |
| | | | | | | | | |
| | | | | | | | | |
| | | | | | | | | |
| | | | | | | | | |
| | | | | | | | | |
| | | | | | | | | |
| | | | | | | | | |
| | | | | | | | | |
| | | | | | | | | |
| | | | | | | | | |
| | | | | | | | | |
| | | | | | | | | |
Дата ________________ Марка ________ + _______ + ________ с _____
Сводные показатели по машине
Номер шифра | Число операций | Суммарное время, ч | Номер шифра | Число операций | Суммарное время, ч |
| | | | | |
| | | | | |
| | | | | |
| | | | | |
| | | | | |
| | | | | |
| | | | | |
| | | | | |
| | | | | |
| | | | | |
| | | | | |
| | | | | |
Окончание формы А.1
Замечания о работе машины
___________________________________________________________________________
___________________________________________________________________________
___________________________________________________________________________
___________________________________________________________________________
___________________________________________________________________________
___________________________________________________________________________
___________________________________________________________________________
___________________________________________________________________________
___________________________________________________________________________
Основное время, ч | |
Режим работы: | |
| |
| |
| |
Производительность за 1 ч основного времени, т/ч (т·км/ч) | |
Удельный расход топлива, кг/км (кг/т·км) | |
| |
Наблюдатель ___________ __________________ ___________________
должность личная подпись инициалы, фамилия
Ведущий инженер ___________ __________________ ___________________
должность личная подпись инициалы, фамилия
Ведущий экономист ___________ __________________ ___________________
должность личная подпись инициалы, фамилия
(обязательное)
ХАРАКТЕРИСТИКА ЭЛЕМЕНТОВ ВРЕМЕНИ СМЕНЫ
Наименование показателя | Обозначение | Элемент времени | Обозначение |
Основное время | T1 | Время движения с грузом от места погрузки (окончания погрузки) до мест разгрузки. Для погрузчиков периодического действия включает время, затрачиваемое на отделение и захват материала, возврат погрузчика в исходное положение перед новым отделением и захватом материала. Для погрузчиков непрерывного действия к основному времени относят непосредственное время погрузки | T1 |
Время вспомогательное | T2 | Время на переезд от одного обслуживаемого агрегата к другому | T21 |
Время на холостой переезд (без груза) от места разгрузки до места погрузки | T22 |
Время на погрузочно-разгрузочные работы (погрузка, погрузка на ходу, переезды при погрузке, разгрузка, маневрирование) | T23 |
Время на взвешивание, оформление документов, взятие проб и др. | T24 |
Время на техническое обслуживание, подготовку и окончание работ | T3 | Время на проведение ежесменного технического обслуживания (ЕТО), заправку топливом | T31 |
Время на перевод в рабочее или транспортное положение | T32 |
Время на проведение наладки и регулирования | T33 |
Время агрегатирования транспортного средства с энергосредством | T34 |
Время на устранение нарушения технологического процесса и технического отказа | T4 | Время на устранение нарушения технологического процесса | T41 |
Время на устранение технического отказа | T42 |
Время на отдых | T5 | | |
Время простоя по причинам, не зависящим от транспортного средства | T8 | Из-за неблагоприятных метеоусловий, по организационным причинам, прочие | T8 |
(справочное)
ПРИВЕДЕНИЕ ФАКТИЧЕСКИХ ЭЛЕМЕНТОВ ВРЕМЕНИ КОНТРОЛЬНОЙ
СМЕНЫ К ЭЛЕМЕНТАМ ВРЕМЕНИ НОРМАТИВНОЙ СМЕНЫ
Таблица В.1
Результаты контрольных смен
Наименование элемента времени смены | Элементы времени смены |
Фактическое i-й контрольной смены | Приведенное к нормативной продолжительности смены по i-й контрольной смене | Среднее значение элементов времени за n контрольных смен по виду работы |
обозначение | значение | обозначение | значение | обозначение | значение |
Основное время | | | | | Tн1 | |
Время на переезд от одного обслуживаемого агрегата к другому | | | | | Tн21 | |
Время на холостой переезд (без груза) от места разгрузки до места погрузки | | | | | Tн22 | |
Время на погрузочно-разгрузочные работы (погрузка, погрузка на ходу, переезды при погрузке, разгрузка, маневрирование) | | | | | Tн23 | |
Время на взвешивание, оформление документов, взятие проб и др. | | | | | Tн24 | |
Время на наладку, регулирование | | | | | Tн33 | |
Время на устранение нарушения технологического процесса | | | | | Tн41 | |
Таблица В.2
Регламентированные элементы времени смены
Наименование фактического регламентированного элемента времени смены | Среднее значение элемента времени смены |
Время на ежесменное техническое обслуживание и заправку топливом T31 | |
Время перевода в рабочее и транспортное положение T32 | |
Время агрегатирования сельскохозяйственной машины с энергосредством, приходящееся на смену, приведенную к нормативной смене  | |
Время на отдых T5 | |
Время регламентированных внутрисменных элементов времени | |
(справочное)
ОФОРМЛЕНИЕ РЕЗУЛЬТАТОВ
ЭКСПЛУАТАЦИОННО-ТЕХНОЛОГИЧЕСКОЙ ОЦЕНКИ
Эксплуатационно-технологические показатели ____________
Наименование показателя | Значение показателя по |
НД | данным испытаний по виду работ |
1 | 2 | 3 |
Период проведения оценки | | | | |
Место проведения | | | | |
Состав агрегата | | | | |
Вид работы | | | | |
Вид и состояние груза | | | | |
Условия работы: | | | | |
- способ погрузки и разгрузки | | | | |
- класс и состояние дорог | | | | |
- расстояние перевозки груза, км | | | | |
- расстояние переезда без груза, км | | | | |
- расстояние переезда при погрузке (разгрузке), км | | | | |
- расстояние переезда от места стоянки к месту работы, км | | | | |
Режим работы: | | | | |
- скорость движения, км/ч: | | | | |
с грузом | | | | |
без груза | | | | |
техническая | | | | |
Производительность за 1 ч времени, т/ч, (т·км/ч): | | | | |
- основного | | | | |
- технологического | | | | |
- сменного | | | | |
- эксплуатационного | | | | |
Удельный расход топлива, за сменное время, кг/т (кг/т·км) | | | | |
Эксплуатационно-технологические коэффициенты: | | | | |
- технологического обслуживания | | | | |
- надежности технологического процесса | | | | |
- использования технологического времени | | | | |
- использования сменного времени | | | | |
Число обслуживающего персонала, чел.: | | | | |
- основного | | | | |
- вспомогательного | | | | |
Качество выполнения технологического процесса | | | | |
Баланс времени смены при нормативной продолжительности
Наименование элемента времени | Значение элемента времени |
вид работы |
1 | 2 | 3 |
ч | % | ч | % | ч | % |
Основное время | | | | | | |
Время на переезд от одного обслуживаемого агрегата к другому | | | | | | |
Время на холостой переезд (без груза) от места разгрузки до места погрузки | | | | | | |
Время на погрузочно-разгрузочные работы (погрузка, погрузка на ходу, переезды при погрузке, разгрузка, маневрирование) | | | | | | |
Время на взвешивание, оформление документов, взятие проб и др. | | | | | | |
Время на проведение ежесменного технического обслуживания (ЕТО), заправку топливом | | | | | | |
Время на перевод в рабочее или транспортное положение | | | | | | |
Время на проведение наладки и регулирования | | | | | | |
Время агрегатирования транспортного средства с энергосредством | | | | | | |
Время на устранение нарушения технологического процесса | | | | | | |
Время на отдых | | | | | | |
Итого: сменное время | | 100 | | 100 | | 100 |