Главная // Актуальные документы // Акт (форма)СПРАВКА
Источник публикации
М.: Стандартинформ, 2015
Примечание к документу
Документ
введен в действие с 1 января 2016 года.
Название документа
"ГОСТ 32691-2014. Межгосударственный стандарт. Услуги общественного питания. Порядок разработки фирменных и новых блюд и изделий на предприятиях общественного питания"
(введен в действие Приказом Росстандарта от 27.05.2014 N 458-ст)
"ГОСТ 32691-2014. Межгосударственный стандарт. Услуги общественного питания. Порядок разработки фирменных и новых блюд и изделий на предприятиях общественного питания"
(введен в действие Приказом Росстандарта от 27.05.2014 N 458-ст)
агентства по техническому
регулированию и метрологии
от 27 мая 2014 г. N 458-ст
МЕЖГОСУДАРСТВЕННЫЙ СТАНДАРТ
УСЛУГИ ОБЩЕСТВЕННОГО ПИТАНИЯ
ПОРЯДОК
РАЗРАБОТКИ ФИРМЕННЫХ И НОВЫХ БЛЮД И ИЗДЕЛИЙ
НА ПРЕДПРИЯТИЯХ ОБЩЕСТВЕННОГО ПИТАНИЯ
Public catering service. Method of elaborating and approving
of house specialties at public catering enterprises
ГОСТ 32691-2014
Дата введения
1 января 2016 года
Цели, основные принципы и основной порядок проведения работ по межгосударственной стандартизации установлены
ГОСТ 1.0-92 "Межгосударственная система стандартизации. Основные положения" и
ГОСТ 1.2-2009 "Межгосударственная система стандартизации. Стандарты межгосударственные, правила и рекомендации по межгосударственной стандартизации. Правила разработки, принятия, применения, обновления и отмены"
1 ПОДГОТОВЛЕН Открытым акционерным обществом "Всероссийский научно-исследовательский институт сертификации" (ОАО "ВНИИС")
2 ВНЕСЕН Федеральным агентством по техническому регулированию и метрологии
3 ПРИНЯТ Межгосударственным советом по стандартизации, метрологии и сертификации (протокол от 18 апреля 2014 г. N 66-П)
За принятие проголосовали:
Краткое наименование страны по МК (ИСО 3166) 004-97 | Код страны по МК (ИСО 3166) 004-97 | Сокращенное наименование национального органа по стандартизации |
Армения | AM | Минэкономики Республики Армения |
Беларусь | BY | Госстандарт Республики Беларусь |
Киргизия | KG | Кыргызстандарт |
Россия | RU | Росстандарт |
4
Приказом Федерального агентства по техническому регулированию и метрологии от 27 мая 2014 г. N 458-ст межгосударственный стандарт ГОСТ 32691-2014 введен в действие в качестве национального стандарта Российской Федерации с 1 января 2016 г.
6 ВВЕДЕН ВПЕРВЫЕ
Информация об изменениях к настоящему стандарту публикуется в ежегодном информационном указателе "Национальные стандарты", а текст изменений и поправок - в ежемесячном информационном указателе "Национальные стандарты". В случае пересмотра (замены) или отмены настоящего стандарта соответствующее уведомление будет опубликовано в ежемесячном информационном указателе "Национальные стандарты". Соответствующая информация, уведомление и тексты размещаются также в информационной системе общего пользования - на официальном сайте Федерального агентства по техническому регулированию и метрологии в сети Интернет
Настоящий стандарт устанавливает общие требования к порядку разработки фирменных и новых блюд и изделий на предприятиях (объектах) общественного питания.
Стандарт распространяется на разработку фирменных и новых блюд и изделий, изготавливаемых предприятиями (объектами) общественного питания различных форм собственности, организационно-управленческой структуры и индивидуальными предпринимателями.
В настоящем стандарте использованы нормативные ссылки на следующие стандарты:
ГОСТ 30390-2013 Услуги общественного питания. Продукция общественного питания, реализуемая населению. Общие технические условия
ГОСТ 31986-2012 Услуги общественного питания. Метод органолептической оценки качества продукции общественного питания
ГОСТ 31987-2012 Услуги общественного питания. Технологические документы на продукцию общественного питания. Общие требования к оформлению, построению и содержанию
ГОСТ 31988-2012 Услуги общественного питания. Метод расчета отходов и потерь сырья и пищевых продуктов при производстве продукции общественного питания
Примечание - При пользовании настоящим стандартом целесообразно проверить действие ссылочных стандартов в информационной системе общего пользования - на официальном сайте Федерального агентства по техническому регулированию и метрологии в сети Интернет или по ежегодному информационному указателю "Национальные стандарты", который опубликован по состоянию на 1 января текущего года, и по выпускам ежемесячного информационного указателя "Национальные стандарты" за текущий год. Если ссылочный стандарт заменен (изменен), то при пользовании настоящим стандартом следует руководствоваться заменяющим (измененным) стандартом. Если ссылочный стандарт отменен без замены, то положение, в котором дана ссылка на него, применяется в части, не затрагивающей эту ссылку.
3.1 фирменное блюдо (изделие): Блюдо (изделие), приготовленное по оригинальным рецептуре и технологии и отражающее специфику предприятия (объекта) питания.
Примечание - Фирменное блюдо (изделие) отличается, как правило, по органолептическим показателям от блюд (изделий), предусмотренных официально изданными сборниками рецептур блюд, кулинарных изделий, мучных кондитерских и булочных изделий на территории государства, принявшего стандарт. Специфика предприятия (объекта) включает национальные, региональные и другие особенности.
3.2 новое блюдо (изделие): Блюдо (изделие), приготовленное на основе новой рецептуры и (или) технологии, и (или) новых видов продовольственного сырья и пищевых продуктов.
Примечание - Новые блюда (изделия) включают фирменные блюда (изделия).
3.3 компонент (ингредиент): Пищевой продукт, продовольственное сырье (включая пищевые добавки), отдельные виды кулинарной продукции, используемые при производстве продукции общественного питания и присутствующие в готовой продукции в исходном или измененном виде.
Примечание - Отдельные виды кулинарной продукции включают соусы, маринады, гарниры и т.п.
4.1 Предприятия (объекты) общественного питания могут разрабатывать фирменные и новые блюда и изделия, включающие блюда, кулинарные изделия, полуфабрикаты, хлебобулочные изделия, мучные и сахаристые кондитерские изделия (далее - кондитерские изделия), напитки.
4.2 Фирменные и новые блюда (изделия) могут быть разработаны для одного конкретного предприятия (объекта) общественного питания, для нескольких предприятий (объектов) общественного питания, входящих в состав одного объединения, в том числе сетевых и предприятий корпоративного питания. Разработанные фирменные и новые блюда могут быть переданы для применения другим предприятиям (объектам) общественного питания по согласованию или на договорной основе.
4.3 Разработка фирменных и новых блюд и изделий при необходимости может осуществляться с привлечением технологических пищевых лабораторий.
4.4 Разработка фирменных и новых блюд и изделий проводится на продовольственном сырье и пищевых продуктах, применяемых на предприятии (объекте) общественного питания и отвечающих требованиям действующих национальных стандартов и других нормативных и технических документов. Сырье и пищевые продукты должны сопровождаться документами, подтверждающими их происхождение, безопасность и качество, и иметь маркировку в соответствии с требованиями, установленными в
[1].
4.5 Порядок разработки фирменных и новых блюд (изделий) включает в себя следующие этапы:
- разработку проекта рецептуры;
- отработку рецептуры и технологии производства;
- оформление рецептур и технологии производства;
- определение органолептических, физико-химических, микробиологических показателей;
- расчет пищевой ценности;
- установление сроков годности (при необходимости).
5. Порядок разработки проекта рецептур и технологии
фирменных и новых блюд (изделий)
5.1 Порядок разработки проекта рецептур на фирменные и новые блюда (изделия) включает в себя этапы, перечисленные в 5.1.1 -
5.1.9.
5.1.1 Выбор блюд (изделий) для разработки с учетом их новизны, кулинарных достоинств, сочетания продуктов, оформления при отпуске.
5.1.2 Изучение возможности применения новых способов кулинарной обработки сырья и продуктов, использования новых видов продовольственного сырья, пищевых продуктов, полуфабрикатов, пищевых добавок и специй и т.д., а также их взаимозаменяемость.
5.1.3 Выбор производственных потерь и потерь при тепловой обработке по аналогичным традиционным рецептурам блюд (изделий).
5.1.4 Составление проекта рецептуры на блюдо (изделие) в виде таблицы, в которой указывают:
- наименование используемых компонентов (ингредиентов) в технологической последовательности;
- нормы закладки (расхода) компонентов (ингредиентов) массой брутто и нетто, при использовании полуфабрикатов - только массу нетто;
- массу полуфабрикатов (при необходимости для получаемых в процессе приготовления блюда (изделия);
- выход готового изделия.
5.1.5 При составлении проекта рецептуры на фирменное мучное кондитерское/хлебобулочное изделие дополнительно к
5.1.4 указывают:
- содержание (массовую долю) сухих веществ в каждом компоненте (ингредиенте); расход компонентов (ингредиентов) на полуфабрикаты, входящие в состав изделия, общий расход компонентов (ингредиентов) массой нетто и в сухих веществах;
- массу полуфабрикатов, в том числе в готовых изделиях;
- влажность полуфабрикатов и готовых изделий (в %).
5.1.6 Описание технологии приготовления блюда (изделия).
5.1.7 Проведение предварительной отработки из расчета не менее двух порций блюд или 300 г кулинарных изделий, полуфабрикатов, а для хлебобулочных и мучных кондитерских не менее 2 кг или 30 единиц штучных изделий.
5.1.8 Корректировка рецептуры блюда (изделия) с учетом сочетаемости продуктов и органолептических показателей [внешнего вида, текстуры (консистенции), запаха, вкуса].
5.1.9 Корректировка выхода блюда (изделия).
5.1.10 Корректировка описания технологии приготовления блюда (изделия) учетом изменений
п. 5.1.8.
5.2 Определение органолептических показателей фирменных и новых блюд (изделий) проводят в соответствии с
ГОСТ 31986, физико-химических показателей - лабораторными методами или расчетным способом, микробиологических показателей - в соответствии с требованиями нормативных документов, действующих на территории государства, принявшего стандарт.
5.3 Расчет пищевой ценности фирменных и новых блюд (изделий) осуществляют в соответствии с методиками <1>, действующими на территории государства, принявшего стандарт.
--------------------------------
<1> На территории Российской Федерации - по
[2].
5.4 Установление сроков годности фирменных и новых изделий осуществляют в соответствии с требованиями нормативных документов <2>, действующих на территории государства, принявшего стандарт, или на основании результатов исследований изделий, проведенных в испытательных лабораториях в установленном порядке в соответствии с методиками <3>, действующими на территории государства, принявшего стандарт.
--------------------------------
<2> На территории Российской Федерации - по
[3].
<3> На территории Российской Федерации - по
[4].
6. Организация проведения отработки рецептур и технологии
фирменных и новых блюд (изделий)
6.1 Отработку рецептур блюд (изделий) проводят с соблюдением требований нормативных документов <4>, действующих на территории государства, принявшего стандарт.
--------------------------------
<4> На территории Российской Федерации - по
[3],
[5].
6.2 Инвентарь, посуду и инструмент для отработки подбирают в соответствии с технологическим процессом и особенностями приготовления блюда (изделия).
6.3 Взвешивание сырья (продуктов) проводят на исправных механических и (или) электронных весах для статического взвешивания, прошедших метрологическую поверку.
| | ИС МЕГАНОРМ: примечание. Нумерация пунктов дана в соответствии с официальным текстом документа. | |
6.5 Для определения продолжительности тепловой обработки используют показания таймера (при наличии на оборудовании), секундомера или часы с секундной стрелкой.
6.6 Температурные режимы тепловой обработки определяют с помощью таймеров или терморегуляторов, установленных на оборудовании, нертутных термометров в металлической оправе или других современных средств измерения. Температуру измеряют в толще продукта (при необходимости).
6.7 При расчете норм расхода сырья в рецептуре блюда (изделия) массой брутто и нетто руководствуются данными официально изданных сборников рецептур блюд, кулинарных изделий, мучных кондитерских и булочных изделий, действующих на территории государства, принявшего стандарт, или актами контрольных проработок; при отсутствии данных - нормами отходов и потерь, установленными в соответствии с
ГОСТ 31988.
7. Порядок отработки рецептур и технологии фирменных
и новых блюд (изделий)
7.1 В процессе отработки рецептур и технологии блюда (изделия) определяют:
- нормы закладки (расхода) компонентов (ингредиентов) массой нетто.
Примечание - При отработке рецептур отходы продовольственного сырья при кулинарной механической обработке, как правило, не устанавливают. Но при необходимости отходы, получаемые при обработке сырья, оформляют актом и рассчитывают массу нетто в соответствии с
ГОСТ 31988;
- массу полуфабриката (полуфабрикатов);
- количество (объем) жидкости (в случаях, если жидкость предусмотрена рецептурой и технологией);
- содержание (массовую долю) сухих веществ (для мучных кондитерских и хлебобулочных изделий);
- производственные потери;
- температурные режимы и продолжительность тепловой обработки;
- кулинарную готовность блюда (изделия);
- выход готового блюда (изделия);
- потери при тепловой обработке (выпечке);
- потери при порционировании;
- потери при зачистке выпеченных полуфабрикатов (для мучных кондитерских изделий);
- потери при отделке (для мучных кондитерских и булочных изделий);
- органолептические и физико-химические показатели качества блюд (изделий), а при необходимости микробиологические показатели безопасности;
- влажность кондитерских и булочных изделий, теста, полуфабрикатов;
- пищевую и энергетическую ценность.
7.2 Отработку рецептуры и технологии проводят на опытной партии из расчета выхода готовой продукции в объеме 1 - 3 кг (1 - 3 л) или 5 - 10 порций (5 - 10 шт.) блюд, напитков, кулинарных изделий, полуфабрикатов, а для хлебобулочных и мучных кондитерских изделий - не менее 2 кг или 30 единиц штучных изделий.
Примечание - Отработку блюд и изделий, изготовляемых по заказу, проводят из расчета не менее двух порций блюд или 300 г кулинарных изделий, полуфабрикатов.
При отклонении выхода блюда (изделия) в сторону увеличения или уменьшения более 3% повторяют отработку рецептуры.
7.3 Производственные потери при изготовлении блюда (изделия) П, кг, %, определяют по формулам (1) и (2) соответственно

(2)
где МН - суммарная масса компонентов (ингредиентов) нетто, входящих в состав полуфабриката, кг;
МПФ - масса полуфабриката, кг.
Данные, полученные при отработке, сравнивают с расчетными данными в рецептуре. При необходимости проводят уточнение норм закладки (расхода) компонентов (ингредиентов) массой нетто в проекте рецептуры.
7.4 Количество (объем) жидкости, входящей в состав рецептуры, определяют с учетом потерь на выкипание, как правило, из расчета от 5% до 15% рецептурного количества жидкости.
7.5 Потери при тепловой обработке блюда (изделия) с учетом потерь при остывании блюда ПТ рассчитывают в процентах к массе полуфабриката по формуле:

(3)
где МПФ - масса полуфабриката, подготовленного к тепловой обработке, кг;
МГ - масса готового блюда (изделия), кг.
Примечание - Блюда (изделия), отпускаемые и реализуемые в горячем виде (супы, вторые блюда и т.п.), взвешивают после остывания до температуры 40 °C; блюда (изделия), отпускаемые и реализуемые в холодном виде (закуски, салаты и т.п.), взвешивают после охлаждения до температуры 14 °C.
7.6 Потери при порционировании ПП, %, рассчитывают к массе готового блюда (изделия) по формуле:

(4)
где МГ - масса готового блюда (изделия) до порционирования, кг;
МП - масса готового блюда (изделия) после порционирования, кг.
При определении потерь можно использовать данные официально изданных сборников рецептур.
7.7 Результаты отработки рецептур оформляют актами (см.
приложение А).
7.8 На основании акта отработки уточняют выход блюд (изделий) и корректируют массу полуфабриката (полуфабрикатов), массу нетто по полученным данным о потерях при порционировании, при тепловой обработке (в том числе выпечке), производственных потерях по
формулам (1) -
(4).
7.9 Для расчета содержания сухих веществ кондитерских и булочных изделий определяют:
- расход каждого компонента (ингредиента), входящего в состав изделия, в сухих веществах;
- расход всех видов сырья в сухих веществах, входящих в изделие;
- содержание (массовую долю) сухих веществ в готовом изделии.
7.9.1 Расход каждого компонента (ингредиента), входящего в состав кондитерского и булочного изделия Сi, в сухих веществах, г, определяют по формуле:

(5)
где Сi - расход каждого компонента (ингредиента), в (сухих веществах), г;
МС - расход компонентов массой нетто, г;
СВ - содержание (массовая доля) сухих веществ в каждом компоненте (ингредиенте), %;
i - порядковый номер компонента (ингредиента).
Примечание - Сухие вещества в каждом компоненте (ингредиенте), включенном в рецептуру, определяют с учетом массовой доли сухих веществ в 100 г продукта, пользуясь официально изданными таблицами химического состава пищевых веществ.
7.9.2 Расход всех компонентов (ингредиентов) в сухих веществах, входящих в изделие, определяют по формуле:

(6)
где

- общий расход компонентов (ингредиентов), в сухих веществах, г;
С1, С2, Сn - масса отдельных компонентов (ингредиентов), в сухих веществах, г;
n - количество компонентов (ингредиентов).
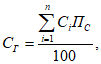
7.9.3 Содержание (массовую долю) сухих веществ в готовом изделии СГ определяют по формуле:

(7)
где СГ - содержание (массовая доля) сухих веществ в готовом изделии, г;

- общий расход компонентов (ингредиентов), в сухих веществах, г;
ПС - потери сухих веществ, %.
Примечание - Потери сухих веществ ПС могут быть применены как рекомендательные по официально изданным сборникам рецептур, так и фактические, полученные при отработке в лабораторных и условиях.
7.10 Влажность мучных кондитерских и булочных изделий WТ, %, рассчитывают по формуле:

(8)
где WТ - влажность кондитерского изделия, %;
СГ - содержание сухих веществ в готовом изделии, г.
7.11 Количество воды, необходимое для приготовления теста В, г, рассчитывают по формуле:

(9)
где A - заданная влажность теста, %;
МН - масса компонентов нетто, г;
С - масса компонентов в сухих веществ, г.
7.12 Полученные данные округляют согласно
СТ СЭВ 543.
8. Оформление рецептур и технологии фирменных
и новых блюд (изделий)
8.1 На основании уточненной массы нетто проводят расчет необходимого количества компонентов (ингредиентов), массой брутто по следующей формуле:

(10)
где МБ - масса сырья, брутто, кг;
МН - масса сырья, нетто, кг;
О - отходы при механической обработке сырья, %.
8.2 Рецептуры и технологии фирменных и новых блюд (изделий) оформляют в виде технико-технологических карт (ТТК) или технологических карт (ТК) в соответствии с
ГОСТ 31987 или в виде стандартов организации (СТО) в соответствии с национальными стандартами <1>, действующими на территории государства, принявшего стандарт.
--------------------------------
<1> На территории Российской Федерации действует
ГОСТ Р 1.4-2004 "Стандартизация в Российской Федерации. Стандарты организаций. Общие положения".
8.3. Рецептуры технологии фирменных и новых блюд (изделий) утверждают самостоятельно руководители предприятий (объектов)-разработчиков.
Рецептуры на новые и фирменные блюда (изделия) и технология приготовления являются интеллектуальной собственностью разработчика и защищаются правовыми нормативными документами <2> в сфере защиты авторских прав.
--------------------------------
<2> На территории Российской Федерации действует
[6].
(рекомендуемое)
ПРИМЕРНЫЙ ОБРАЗЕЦ АКТА ОТРАБОТКИ РЕЦЕПТУРЫ И ТЕХНОЛОГИИ
НОВЫХ И ФИРМЕННЫХ БЛЮД (ИЗДЕЛИЙ)
Утверждаю
Руководитель предприятия
Ф.И.О.
Дата
АКТ
отработки рецептуры и технологии новых и фирменных блюд
(изделий)
Наименование предприятия __________________________________________________
Дата проведения отработки _________________________________________________
Наименование блюда (изделия) ______________________________________________
Наименование продуктов | Масса нетто сырья <1>, продуктов, кг | Данные отработки на партиях, кг | Средние данные, кг | Принятая рецептура, кг |
опыт 1 | опыт 2 | опыт 3 |
Масса набора сырья, продуктов, г
Масса полуфабрикатов, г
Производственные потери, %
Масса готового блюда (изделия)
в горячем состоянии, г
в остывшем состоянии, г
Потери при тепловой обработке, %
Описание технологического процесса
Заключение
Разработчики _________________ Подпись __________________ Фамилия, инициалы
--------------------------------
<1> Масса нетто сырья может быть рассчитана на основании акта
по определению отходов и потерь при механической обработке сырья
| ТР ТС 022/2011 Технический регламент таможенного союза "Пищевая продукция в части ее маркировки" |
| Таблицы химического состава пищевых продуктов, официально изданные на территории Российской Федерации |
| Санитарно-эпидемиологические правила и нормативы СанПиН 2.3.2.1324-03 Гигиенические требования к срокам годности и условиям хранения пищевых продуктов |
| Методические указания МУК 4.2.1847-04 Санитарно-эпидемиологическая оценка обоснования сроков годности и условий хранения пищевых продуктов |
| Санитарно-эпидемиологические правила и нормативы СП 2.3.6.1079-01 Санитарно-эпидемиологические требования к организациям общественного питания, изготовлению и оборотоспособности в них пищевых продуктов и продовольственного сырья (с изменениями и дополнениями) |
| Гражданский кодекс Российской Федерации от 18 декабря 2006 г. часть 4 (с изменениями и дополнениями) |