Главная // Актуальные документы // Акт (форма)СПРАВКА
Источник публикации
М.: Стройиздат, 1987
Примечание к документу
Название документа
"Рекомендации по организации ремонта строительных машин агрегатным методом"
"Рекомендации по организации ремонта строительных машин агрегатным методом"
ПО ОРГАНИЗАЦИИ РЕМОНТА СТРОИТЕЛЬНЫХ МАШИН АГРЕГАТНЫМ МЕТОДОМ
Рекомендованы к изданию решением секции механизации и автоматизации строительства Научно-технического совета ЦНИИОМТП Госстроя СССР.
Изложены основные положения, особенности агрегатного ремонта строительных машин, предложена необходимая документация для планирования их ремонта. Даны периодичность и трудоемкость ремонта машин, а также комплекты сборочных единиц, заменяемые при различных видах ремонтов.
Для инженерно-технических работников в сфере ремонта и эксплуатации машин, а также для проектировщиков ремонтных предприятий и баз.
Табл. 14, ил. 1.
Разработаны ЦНИИОМТП Госстроя СССР (канд. техн. наук М.М. Якунцев, инженеры М.В. Безрукавый, Д.И. Таран, В.В. Бреусов, С.А. Рябенко, Б.Н. Родионов, А.Д. Таран, А.Г. Шамардин, Н.И. Чинский, канд. техн. наук В.Г. Вердников, инж. В.П. Рыкунов), Госстроем СССР (инж. В.П. Кушнер) при участии ПКБ Главстроймеханизации Минтрансстроя (инженеры М.Л. Хайкис, С.И. Шипилов), СКТБ Стройдормаша (канд. техн. наук М.В. Топольский).
1.1. Агрегатный метод ремонта является составной частью действующей системы технического обслуживания и ремонта строительных машин. Определение агрегатного метода ремонта машин соответствует
ГОСТ 18322-78.
Выполнение ремонта агрегатным методом осуществляется с целью восстановления работоспособности техники и относится, как правило, к текущему ремонту, реже к капитальному ремонту машин.
Агрегатный метод ремонта осуществляется путем замены отдельных сборочных единиц или их комплектов, что позволяет более оперативно восстанавливать работоспособность машины, предотвращая излишние затраты за счет более полного использования ресурса всех составных частей машины, исключает преждевременный капитальный ремонт.
Примечание. Под комплектом понимается группа сборочных единиц с одинаковыми или кратными периодичностями замены.
Периодичность замены (межконтрольной наработки) каждой конкретной сборочной единицы должна быть обоснована в соответствии с ГОСТ 21571-76.
1.2. Ремонт машин агрегатным методом может производиться: по плану периодически; при необходимости с учетом технического состояния машин; в случаях возникновения отказов и неисправностей.
| | ИС МЕГАНОРМ: примечание. Постановлением Госстандарта СССР от 15.11.1989 N 3375 с 01.07.1990 введен в действие ГОСТ 27.002-89. | |
Предельные состояния сборочных единиц устанавливают на основании ГОСТ 24406-80 с изм., ГОСТ 24407-80 с изм., ГОСТ 24408-80 с изм., ГОСТ 27.002-83, ГОСТ 27.103-83 и (или) эксплуатационной документации, разработанной в соответствии с требованиями ГОСТ 2.601-68 с изм.
1.3. Ремонту агрегатным методом подлежат строительные машины, конструкция которых позволяет расчленить их на монтажные сборочные единицы.
Примечание. Монтажная сборочная единица (далее по тексту - сборочная единица) - составная часть машины, определяемая технологическими задачами ремонта и технологическими возможностями организации, выполняющей ремонт агрегатным методом.
Сборочные единицы, заменяемые при ремонте агрегатным методом, должны быть транспортабельными.
Трудоемкость (продолжительность) работ по демонтажу и монтажу сборочной единицы должна быть меньше, чем трудоемкость (продолжительность) замены отказавшей детали.
Номенклатура строительных машин, для которых возможно применение агрегатного метода ремонта, помещена в
прил. 1.
Номенклатура сборочных единиц при переходе на ремонт агрегатным методом определяется технико-экономическими факторами, в частности:
технологическими возможностями предприятий владельцев машин и ремонтных заводов;
возможностями создания обменного фонда на конкретную монтажную сборочную единицу;
возможностью обезличенного ремонта монтажной сборочной единицы и т.д.
Номенклатура монтажных сборочных единиц при переходе на агрегатный метод ремонта может состоять из 1 - 2 наименований.
Устранение неисправностей и отказов сборочных единиц, появляющихся при нарушении регулировок или выхода из строя легкодоступных деталей и сопряжений, производят непосредственно на месте работы машины или на эксплуатационной базе без снятия или замены сборочных единиц.
1.4. Переход на ремонт машин агрегатным методом должен быть экономически обоснован
(прил. 16).
1.5. Технологический процесс ремонта строительных машин агрегатным методом разделяется на:
ремонт сборочных единиц;
технологические работы по замене сборочных единиц, производимые в стационарных или эксплуатационных условиях;
проведение приемосдаточных испытаний и оценки качества отремонтированных строительных машин (сборочных единиц).
Ремонт сборочных единиц завершается контролем качества и испытанием их, технологические работы по замене - проверкой работоспособности сборочных единиц в составе машины, технологический процесс ремонта - оценкой качества его выполнения.
Эксплуатационные хозяйства и ремонтные заводы должны иметь оборудование и оснастку для ремонта и замены сборочных единиц в стационарных условиях, а также передвижные средства для технической диагностики и замены сборочных единиц на местах эксплуатации машин (
прил. 11,
12).
Примечание. Расходы на дополнительное оснащение эксплуатационных баз и ремонтных предприятий, а также экономический эффект от их применения учитываются в приведенных затратах при определении общей экономической целесообразности перехода на агрегатный метод ремонта.
1.6. Материальной основой агрегатного метода ремонта является обменный фонд, который создается из новых или из сборочных единиц, снятых со списанных машин и капитально отремонтированных.
В дальнейшем обменный фонд поддерживается путем ремонта заменяемых на машине сборочных единиц.
1.7. Неисправные сборочные единицы демонтируются, подвергаются ремонту и передаются на пополнение обменного фонда.
Ремонт сборочных единиц производится на ремонтных заводах или в приспособленных для этой цели ремонтно-механических мастерских эксплуатирующих организаций.
Ремонт пневмо- и гидрооборудования строительных машин производится на специализированных участках ремонтных заводов.
1.8. Технические требования к сборочным единицам, сдаваемым в ремонт и выдаваемым из ремонта, должны соответствовать ГОСТ 24406-80 с изм., ГОСТ 24407-80 с изм., ГОСТ 24408-80 с изм. Качество отремонтированных сборочных единиц должно оцениваться в порядке, установленном ГОСТ 24826-81 и
разд. 6 настоящих Рекомендаций.
1.9. В процессе замены отдельных сборочных единиц может производиться попутная замена близких к предельному состоянию сборочных единиц.
1.10. При выполнении работ по демонтажу и монтажу и регулировке сборочных единиц следует руководствоваться указаниями, содержащимися в эксплуатационной и ремонтной документации заводов-изготовителей.
Демонтажно-монтажные работы при замене сборочных единиц в условиях эксплуатации машин должны осуществляться в соответствии с разработанной технологией.
1.11. Основными техническими предпосылками, необходимыми для внедрения агрегатного метода ремонта, являются: наличие достаточного количества однотипных машин, допускающих обезличенную замену сборочных единиц; наличие обменного фонда, достаточного для обеспечения выполняемых ремонтов; возможность осуществления ремонта сборочных единиц на ремонтно-механических заводах или на базах эксплуатации;
наличие выездных ремонтных бригад с квалифицированными рабочими, оснащенных необходимым оборудованием для транспортировки сборочных единиц, подъемным оборудованием и приспособлениями для производства монтажно-демонтажных работ; наличие необходимой нормативной и технической документации для производства ремонтных работ, в том числе инструкции (положения) по организации ремонта машин агрегатным методом, технических указаний, чертежей сборочных единиц машин, технологических карт на разборочно-сборочные работы, технологии ремонта сборочных единиц, прейскуранта цен на ремонт.
1.12. При проведении организационных работ по переходу на ремонт машин агрегатным методом следует руководствоваться следующей технической документацией:
эксплуатационной и ремонтной документацией, разработанной в соответствии с ГОСТ 2.601-68 с изм., ГОСТ 2.602-68 с изм., ГОСТ 2.609-79, ОСТ 22-10-75, ОСТ 22-987-77;
ГОСТ 18322-78, ГОСТ 20831-75, ГОСТ 24406-80*, ГОСТ 24408-80*, ГОСТ 19504-74* и другими нормативно-техническими документами, устанавливающими требования к сдаче изделий в ремонт и выдаче их из ремонта, а также требования к качеству отремонтированных изделий;
альбомами чертежей монтажных сборочных единиц и маршрутными технологическими процессами демонтажно-монтажных работ при ремонте машин агрегатным методом, разработанными проектно-конструкторскими организациями строительных министерств и ведомств;
ведомственными положениями или инструкциями по выполнению агрегатного метода ремонта, содержащими трудоемкость демонтажно-монтажных работ, нормативное время выполнения ремонта, прейскурант стоимости выполнения работ.
1.13. Применение агрегатного метода ремонта позволяет: сократить продолжительность пребывания машин в ремонте и простои на устранение последствий отказов, повысить коэффициенты готовности и технического использования машин; обеспечить более полное использование ресурса сборочных единиц; повысить производительность машин; создать на ремонтных предприятиях поточные линии и специализированные посты, увеличить съем продукции с существующих площадей за счет большей их пропускной способности; снизить удельные затраты на запасные части в целом.
| | ИС МЕГАНОРМ: примечание. Взамен ГОСТ 25646-83 Постановлением Госстандарта России от 17.02.1997 N 57 с 01.07.1997 введен в действие ГОСТ 25646-95. | |
1.14. При переходе на ремонт строительных машин агрегатным методом должны быть выполнены требования разд. 5 ГОСТ 25646-83.
2. ОБЩИЕ ПРИНЦИПЫ ОРГАНИЗАЦИИ АГРЕГАТНОГО РЕМОНТА
2.1. При выборе схемы организации ремонта машин агрегатным методом должны учитываться особенности различных видов строительства (сосредоточенное, рассредоточенное, линейное и др.), определяющие концентрацию строительных машин на объектах эксплуатации, подчиненность и территориальное размещение действующей ремонтно-эксплуатационной базы, удаленность от нее мест использования машин, а также существующей формы управления эксплуатацией строительных машин.
2.2. Общая структурная схема организации агрегатного ремонта помещена на рис. 1. Согласно схемы агрегатный ремонт строительных машин, принадлежащих управлениям механизации (УМ), а также управлениям механизированных работ (УМР), строительным управлениям (СУ), передвижным механизированным колоннам (ПМК) и другим организациям - владельцам машин, входящих в состав трестов и объединений, осуществляется ремонтно-механическими мастерскими (РММ или ЦРММ) или участками агрегатного ремонта (УАР).
Рис. 1. Структурная схема организации агрегатного ремонта
Обменный фонд сборочных единиц концентрируется на техническом обменном пункте (ТОП), который создает трест (объединение) при одном из управлений механизации или при каждом управлении в случае их территориальной удаленности. ТОП может быть также создан при УПТК треста (объединения) или при ремонтном заводе.
ТОП передает новые или полученные от ремонтно-механических заводов (РМЗ) отремонтированные сборочные единицы в ремонтно-механические мастерские, которые в зависимости от вида машин, характера и объема работ организуют проведение ремонта агрегатным методом в стационарных условиях или силами выездных ремонтных бригад (ВРБ), непосредственно на местах использования машин.
Снятые с машин неисправные и (или) отработавшие свой ресурс сборочные единицы доставляются на ТОП и направляются им в ремонт непосредственно на ремонтно-механические заводы или сдаются на районные (территориальные или зональные) технические обменные пункты (РТОП), через которые осуществляется загрузка РМЗ, а также распределение запасных частей, получаемых от промышленности или изготавливаемых на заводах строительных министерств.
РТОПы находятся в подчинении организаций по материально-техническому обеспечению эксплуатации машин, созданных при главных управлениях механизации строительных министерств. Возможно также подчинение РТОП территориальным главкам (управлениям строительства).
2.3. Схема организации ремонта агрегатным методом (см.
рис. 1) является общей (основной) и может быть уточнена и скорректирована с учетом конкретных структурных и управленческих связей, установленных в системе строительного министерства.
В соответствии со структурной схемой на практике могут быть осуществлены различные варианты организации ремонтных работ агрегатным методом. Выбранный вариант должен обеспечивать наилучшее соответствие конкретным условиям использования машин.
Например, для условий, когда эксплуатационная организация находится близко от ремонтного завода, на него может быть возложено выполнение комплекса работ по ремонту сборочных единиц. При этом на ремонтном заводе создается обменный фонд сборочных единиц, а работа по их замене производится силами выездных ремонтных бригад, создаваемых как производственное звено ремонтного завода.
В случае, когда строительная техника эксплуатируется в условиях рассредоточенного строительства, машины, подлежащие ремонту и работающие на расстоянии до 50 км от базы эксплуатирующей организации (РММ, ЦРММ) или ремонтно-механического завода (РМЗ), доставляются непосредственно на базу (завод). Если машины эксплуатируются на расстоянии более 50 км от базы (завода), то ремонт агрегатным методом выполняется на месте эксплуатации машины силами выездных ремонтных бригад. Обменные пункты в этом случае могут создаваться при РММ.
В условиях линейного строительства организация ремонтных работ может возлагаться на территориальные управления механизации, которым подчиняются участки агрегатного ремонта (УАР). Для производства демонтажно-монтажных работ, доставки отремонтированных сборочных единиц на место монтажа и снятых сборочных единиц на ремонтные предприятия создаются выездные ремонтные бригады (ВРБ). В задачу ВРБ входит контроль за регламентными сроками замены сборочных единиц.
2.4. При организации ремонта агрегатным методом (главные) управления механизации строительных министерств и ведомств должны осуществить следующие мероприятия: организовать и провести работы по материально-техническому обеспечению агрегатного метода ремонта на подведомственных предприятиях; организовать выполнение работ по разработке чертежей монтажных сборочных единиц и маршрутных технологических процессов демонтажно-монтажных работ; произвести разработку чертежей монтажных сборочных единиц и маршрутных технологических процессов демонтажно-монтажных работ; провести работы по материально-техническому обеспечению ремонта машин агрегатным методом; организовать разработку и утвердить нормативы трудоемкости и стоимости ремонта агрегатным методом; специализировать ремонтные предприятия на ремонте машин агрегатным методом с учетом внутри- и межведомственной кооперации, утвердить предприятиям производственную программу и номенклатуру ремонта сборочных единиц; оказать помощь организациям владельцам машины в создании обменного фонда сборочных единиц по маркам машин, ремонт которых планируется производить агрегатным методом.
2.5. Тресты, объединения должны выполнять следующие мероприятия: произвести оценку технической и экономической целесообразности применения агрегатного метода ремонта машин; издать приказ о внедрении ремонта машин агрегатным методом, в котором установить номенклатуру и количество машин, подлежащих ремонту агрегатным методом; определить организационную структурную схему проведения ремонта агрегатным методом с участием ремонтных заводов (РМЗ), технических обменных пунктов (РТОП, ТОП), ремонтно-механических мастерских (ЦРММ, РММ), строительных организаций (УМ, СУ и др.); организовать при ремонтных предприятиях и строительных организациях складские помещения для хранения сборочных единиц машин, оборудованные средствами механизации для выполнения погрузочно-разгрузочных работ и оргоснасткой; создать технические обменные пункты; создать выездные ремонтные бригады (ВРБ), оснащенные транспортом, необходимым оборудованием, приспособлениями, приборами и инструментом; разместить заказ на изготовление контейнеров для перевозки сборочных единиц; организовать службу технического диагностирования машин с обеспечением ее необходимым оборудованием, приборами и инструментом, методикой диагностирования, технологическими картами и другими документами, разработанными в соответствии с
ГОСТ 25044-81.
2.6. Организации-владельцы машин (УМ, ПМК, СУМ и др.) должны осуществить следующие работы: в соответствии с установленной номенклатурой уточнить количество машин, подлежащих ремонту агрегатным методом; составить годовой план-график ремонта машин агрегатным методом, согласовать его с ремонтными предприятиями, техническими обменными пунктами и передать его на утверждение вышестоящей организации; организовать учет наработки машин; организовать диспетчерскую службу; заключить договоры с ремонтными предприятиями на ремонт сборочных единиц; организовать выполнение работ по проведению диагностирования машин с целью определения остаточного ресурса (технического состояния) сборочных единиц; организовать выполнение ремонта агрегатным методом в стационарных условиях или силами выездных ремонтных бригад.
2.7. При организации ремонта машин агрегатным методом ремонтные предприятия должны осуществить следующие мероприятия: уточнить согласно полученным заявкам производственную программу ремонта сборочных единиц и передать ее на утверждение вышестоящей организации; создать специализированные участки по очистке и мойке, разборке, дефектации, восстановлению, сборке, испытанию и окраске сборочных единиц; создать складские помещения для хранения сборочных единиц; создать при необходимости обменный фонд сборочных единиц в пределах установленных нормативов; создать (если это предусмотрено структурной схемой организации ремонта) выездные ремонтные бригады и оснастить их передвижными мастерскими.
2.8. Выездные ремонтные бригады должны выполнять следующие работы: участвовать в оценке технического состояния машин и их сборочных единиц; поставлять сборочные единицы к месту работы машин, производить их разгрузку и расконсервацию; производить демонтаж с ремонтируемой машины изношенных сборочных единиц, установку новых или заранее отремонтированных сборочных единиц на машину, осуществлять их регулировку и испытание и сдачу отремонтированной машины; производить консервацию снятых с машины изношенных сборочных единиц и их доставку на технический обменный пункт или на ремонтные предприятия; в отдельных случаях производить техническое обслуживание машин; вести журнал учета выполненных работ.
3. ПЛАНИРОВАНИЕ РЕМОНТА АГРЕГАТНЫМ МЕТОДОМ
| | ИС МЕГАНОРМ: примечание. Взамен ГОСТ 25646-83 Постановлением Госстандарта России от 17.02.1997 N 57 с 01.07.1997 введен в действие ГОСТ 25646-95. | |
3.1. Планирование ремонта агрегатным методом должно производиться в соответствии с настоящими Рекомендациями и с учетом ГОСТ 25646-83 и "Рекомендаций по организации технического обслуживания и ремонта строительных машин" (М., Стройиздат, 1978) и заключаться для организации-владельца машин в составлении:
годового и месячного планов-графиков проверки технического состояния, ТО и ремонта машин и их составных частей (
прил. 2,
3); плана-графика потребности в замене сборочных единиц
(прил. 4).
3.2. Планы-графики должны разрабатываться на основании: данных о фактической наработке на начало планируемого года или данных с момента проведения соответствующей проверки технического состояния, ТО, ремонта или с начала эксплуатации; планируемой наработки на год, определяемой с учетом коэффициента внутрисменного использования рабочего времени машин; принятых значений по периодичности замен сборочных единиц.
3.3. План-график потребности в замене сборочных единиц (или ремонтных комплектов) является дополнением годового плана-графика проверки технического состояния, ТО и ремонта машин. Исходными данными при его составлении служат показатели периодичности замен сборочных единиц (ремонтных комплектов).
3.4. Дата проверки технического состояния отдельной сборочной единицы в годовом плане проверки технического состояния должна совпадать со сроком замены или опережать его.
3.5. Определение периодичности проверки технического состояния (замен) сборочных единиц может быть выполнено либо по их ресурсу, либо по наработке на отказ.
Сбор и обработка информации для установления численных значений показателей надежности сборочных единиц производится в соответствии с требованиями государственных стандартов.
Рекомендуемые периодичности замены сборочных единиц строительных машин приведены в
прил. 13,
14.
Примечание. Приведенные данные по периодичностям замен сборочных единиц строительных машин могут служить основой для установления периодичностей замен одноименных сборочных единиц в конкретных условиях эксплуатации и ремонта.
3.6. Установление плановых сроков замены сборочных единиц следует производить с учетом рекомендуемых периодичностей выполнения технических обслуживаний и ремонтов, установленных в эксплуатационной документации на машины.
Номенклатура и сроки замены сборочных единиц могут быть скорректированы в зависимости от результатов оценки их технического состояния, которая должна осуществляться по плану с применением средств технического диагностирования. При этом сборочные единицы, остаточный ресурс которых позволяет их эксплуатировать до очередного планового технического обслуживания или ремонта, замене не подлежат.
3.7. Потребность в обменном фонде сборочных единиц определяют с учетом числа однотипных машин, их плановой наработки, периодичности замен и времени оборачиваемости сборочных единиц. Определение потребности в обменном фонде сборочных единиц помещено в
прил. 10.
3.8. При выполнении ремонта агрегатным методом разрабатывается график замены ремонтных комплектов, в котором приводят, составы комплектов и периодичность их замены, установленные с учетом показателей надежности.
4. СОЗДАНИЕ, УЧЕТ И ИСПОЛЬЗОВАНИЕ ОБМЕННОГО ФОНДА
4.1. Обменный фонд сборочных единиц создается с целью обеспечения оперативной замены неисправных сборочных единиц при ремонте машин агрегатным методом.
В зависимости от принятой структурной схемы обменный фонд сборочных единиц создается на ремонтном предприятии, в организации-владельце машин или в техническом обменном пункте.
Обменный фонд создается только для обмена сборочных единиц на сдаваемые аналогичные, подлежащие ремонту. Использование обменного фонда, который находится в обороте, на другие цели не допускается.
4.2. Обменный фонд сборочных единиц создается и пополняется за счет новых и (или) отремонтированных сборочных единиц.
Остаточную балансовую стоимость сборочных единиц, снятых со списанных машин, рекомендуется устанавливать в размере 15% от первоначальной прейскурантной цены вне зависимости от их технического состояния.
4.3. Отремонтированные сборочные единицы перед сдачей в обменный фонд подлежат клеймению и пломбированию. Сборочным единицам, поступающим для пополнения обменного фонда, присваивается порядковый номер. Сборочные единицы, имеющие номера заводов-изготовителей (например, двигатель), учитываются по этим номерам.
4.4. Сборочные единицы обменного фонда должны учитываться и храниться на складе по наименованиям и маркам. При этом должна быть установлена материальная ответственность за сохранность.
Учет обменного фонда ведется в натуральном и в стоимостном (денежном) выражении. При этом учет новых сборочных единиц обменного фонда производят по соответствующим прейскурантам, а отремонтированных, с учетом стоимости ремонта.
Технические обменные пункты как имеющие финансовую самостоятельность, так и созданные в составе эксплуатирующей организации при расчетах со смежниками взыскивают с них только стоимость выполненных услуг с учетом накладных расходов, связанных с функционированием ТОП.
4.5. Для создания и содержания обменного фонда техническим обменным пунктам или предприятиям, при которых они созданы, необходимо выделять средства из расчета 45-дневного запаса ремонтного фонда на складе, стоимости приобретенного обменного фонда, прейскурантной стоимости ремонта сборочных единиц через обменные пункты с учетом коэффициентов оборачиваемости обменного фонда и содержания неснижаемого запаса сборочных единиц на технических обменных пунктах.
При определении норматива оборотных средств на содержание обменного фонда цена сборочных единиц исчисляется по средней учетной стоимости.
4.6. Норматив и фактическое наличие обменного фонда по средней учетной стоимости отражается в балансе по основной деятельности на счете 08 (запасные части для ремонта) по строке 180 в составе запасных частей для ремонта собственного оборудования.
4.7. Норматив и фактический запас отремонтированного обменного фонда, включая новый обменный фонд по цене приобретения за минусом остаточной стоимости, отражается в балансе основной деятельности на счете 41 (товары) в строке 280.
4.8. Учет движения сборочных единиц на технических обменных пунктах осуществляется материально-ответственным лицом на карточках или в книге по рекомендуемой форме
прил. 5,
6. Учет ведется по номенклатуре и маркам (для двигателей, насосов, и др.) независимо от технического состояния сборочных единиц.
Каждая операция с заказчиком по обмену сборочных единиц должна отражаться в карточке или в книге в соответствующей графе.
4.9. На ремонтных предприятиях учет обменного фонда ведется в количественно-суммарном выражении по номенклатуре и маркам на двух балансовых счетах: на счете 08 (запасные части для ремонта) по средней учетной стоимости и на счете 40 (готовая продукция) по стоимости капитального ремонта или на балансовом счете 41 (товары).
4.10. Аналитический учет движения обменного фонда должен осуществляться по средней учетной стоимости на следующих субсчетах балансового счета 08 (запасные части для ремонта):
08-2 - сборочные единицы новые;
08-3 " " отремонтированные;
08-4 " " , подлежащие ремонту;
08-5 " " , находящиеся в ремонте.
Примечание. На субсчете 08-1 производится учет запасных частей для ремонта собственного оборудования.
4.11. Отремонтированные сборочные единицы обменного фонда ремонтные заводы должны учитывать в составе готовой продукции на балансовом счете 40 (готовая продукция) по прейскурантной стоимости капитального ремонта. Новые сборочные единицы, полученные заводами для обменного фонда, учитываются на балансовом счете 41 (товары) по стоимости приобретения за минусом средней остаточной стоимости.
4.12. Сборочные единицы, направленные после ремонта на технические обменные пункты, учитываются на балансовом счете 41 (товары) по прейскурантной цене капитального ремонта.
4.13. На отправленные в ремонт сборочные единицы технический обменный пункт выписывает товаротранспортную накладную, в которой указывают их наименование, марку и количество.
4.14. Числящееся в бухгалтерском учете количество обменного фонда по каждому наименованию должно соответствовать наличию его на обменных пунктах с учетом количества, находящегося в ремонте.
4.15. Сборочные единицы обменного и ремонтного фондов учитываются на ремонтном заводе материально-ответственным лицом на карточках складского учета материалов по наименованиям и маркам.
4.16. Передача в ремонт сборочных единиц со склада ремфонда оформляется накладной, составляемой в трех экземплярах. Один экземпляр накладной передается в производство, где выполняется ремонт, второй экземпляр в бухгалтерию, а третий остается у материально-ответственного лица (с распиской о передаче).
4.17. Передача отремонтированных сборочных единиц из ремонтного производства на склад оформляется приемным документом (квитанцией или накладной).
4.18. Приемка обменным пунктом сборочных единиц от заказчиков и выдача их из обменного фонда взамен принятых изделий того же наименования и количества оформляется актом. Рекомендуемая
форма приемосдаточного акта на обмен сборочных единиц помещена в прил. 7.
Акт составляется в трех экземплярах, из которых один вручается заказчику, второй передается в бухгалтерию ремонтного завода, а третий остается у материально-ответственного лица обменного пункта.
4.19. При получении из обменного фонда отремонтированных сборочных единиц заказчики возмещают стоимость их ремонта по утвержденным прейскурантным ценам (при отсутствии утвержденных цен по сметной стоимости ремонта, согласованной с заказчиком) и накладные расходы подразделения, выполняющего ремонт агрегатным методом, в процентах к стоимости ремонта. Размеры накладных расходов на содержание обменного пункта, включая транспортные расходы, утверждаются вышестоящей организацией.
4.20. При выдаче из обменного фонда новых сборочных единиц в обмен на бывшие в эксплуатации заказчик возмещает стоимость новых (по прейскурантным ценам с учетом расходов на их приобретение и накладных расходов на содержание обменного пункта) за вычетом остаточной стоимости сдаваемых им в обмен сборочных единиц.
4.21. Формы и порядок расчетов за произведенный обмен сборочных единиц должны быть определены в договорах, заключенных с владельцами машин.
4.22. Выданные из обменного фонда сборочные единицы при транспортировании должны быть предохранены от повреждений, установлены и закреплены на транспортных средствах с учетом правил перевозок и техники безопасности.
4.23. На основании рекомендуемых положений строительным министерствам и ведомствам целесообразно разработать и утвердить в установленном порядке инструкции или положения о порядке создания, учета и использования обменного фонда сборочных единиц строительных машин.
5. ТРЕБОВАНИЯ К ОРГАНИЗАЦИИ ТЕХНИЧЕСКИХ ОБМЕННЫХ ПУНКТОВ
5.1. Технические обменные пункты создаются с целью своевременного и быстрого восстановления работоспособности машин, поддержания высокого уровня технической готовности парка машин, обеспечивания ремонтных предприятий ремонтным фондом для равномерной их загрузки. Технические обменные пункты позволяют улучшить оборачиваемость обменного фонда, сокращают потребность в нем, снижают транспортные расходы при ремонте машин.
5.2. Технические обменные пункты организуют для выполнения следующих работ: заключения и реализации договоров с ремонтными предприятиями и машиностроительными заводами; приемки от эксплуатационных организаций изношенных сборочных единиц и передачи их в ремонт на ремонтные предприятия; ведения оперативного и бухгалтерского учета движения сборочных единиц обменного фонда; хранения сборочных единиц обменного фонда; обмена неисправных или отработавших свой ресурс сборочных единиц на новые или отремонтированные; выполняют, в отдельных случаях, операции технологического процесса ремонта.
Организация (организации), в составе которой (которых) создают технический обменный пункт, оснащает (оснащают) его необходимыми технологическим и складским оборудованием, подъемно-транспортными средствами и оснасткой, технологической документацией, укомплектовывает производственным персоналом.
Численность и состав работников технических обменных пунктов зависит от объема применения агрегатного ремонта и устанавливается в пределах штатного расписания и фонда заработной платы организаций, при которых создаются обменные пункты.
5.3. В соответствии с общей структурной схемой организации агрегатного ремонта машин (см.
рис. 1) могут быть организованы районные (территориальные или зональные) технические обменные пункты и технические обменные пункты строительных организаций.
РТОП создаются, как правило, при организациях по материально-техническому обеспечению эксплуатации строительных машин (по типу контор "Строймехзапчасть"), подчиненных главным управлениям механизации строительных министерств и обслуживают группу организаций, перешедших на агрегатный метод ремонта машин.
РТОП выступает как самостоятельная финансовая организация. Оборотные средства для финансовой деятельности РТОП предоставляются вышестоящей организацией (главк, управление).
ТОП создаются при трестах (объединениях), а также при ремонтных заводах и финансовой самостоятельности не имеют. В районах строительства, удаленных от ТОП, например, в условиях линейного строительства, могут быть созданы временные обменные пункты (стационарные или передвижные).
5.4. Прием от эксплуатационных организаций изношенных сборочных единиц производится в соответствии с действующими отраслевыми НТД и требованиями государственных стандартов ГОСТ 24406-80 с изм., 24407-80 с изм., 24408-80 с изм. на сдачу в ремонт и выдачу из ремонта машин и их составных частей. Окончательное решение о пригодности к ремонту сборочных единиц, принятых обменным пунктом, принимается после их разборки и дефектации.
При выявлении непригодных к ремонту сборочных единиц производится их описание в установленном порядке с участием представителя-заказчика.
| | ИС МЕГАНОРМ: примечание. Взамен ГОСТ 10198-78 Постановлением Госстандарта СССР от 13.03.1991 N 249 с 01.01.1993 введен в действие ГОСТ 10198-91. | |
| | ИС МЕГАНОРМ: примечание. Взамен ГОСТ 15841-77 Постановлением Госстандарта СССР от 04.07.1988 N 2607 с 01.01.1990 введен в действие ГОСТ 15841-88. | |
| | ИС МЕГАНОРМ: примечание. Взамен ГОСТ 16536-84 Постановлением Госстандарта СССР от 10.04.1990 N 841 с 01.01.1992 введен в действие ГОСТ 16536-90. | |
5.5. Хранение сборочных единиц на технических обменных пунктах производится в специально оборудованных складских помещениях и на площадях в соответствии с требованиями ГОСТ 10198-78; ГОСТ 15841-77 с изм., ГОСТ 16536-84 с изм. и ГОСТ 7751-79 с изм.
5.6. Функция технических обменных пунктов, их взаимоотношения с эксплуатационными организациями и ремонтными заводами, порядок доставки сборочных единиц на технический обменный пункт, их сдача, выдача и учет, взаиморасчеты по обменным операциям, штаты и обязанности работников ТОП, вопросы поощрения и стимулирования должны устанавливаться в положении о техническом обменном пункте, разрабатываемом строительными министерствами (ведомствами) с учетом принятой структурной схемой организации ремонта машин агрегатным методом.
5.7. При анализе производственной деятельности технических обменных пунктов в качестве показателей рекомендуется принимать количество произведенных обменов сборочных единиц за отчетный период (год, квартал, месяц), коэффициент оборачиваемости обменного фонда и коэффициент одновременности обмена.
Методика определения указанных показателей приведена в прил. 8.
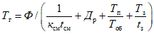
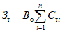
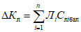
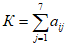
5.8. Целесообразность создания технических обменных пунктов должна быть обоснована выполнением условия:

,
где B - годовой объем реализации сборочных единиц, руб.;
Ni - количество сборочных единиц i-го наименования, на обмен которых заключены договоры, шт;
m - количество наименований сборочных единиц, шт.;
Цi - действующая оптовая цена ремонта сборочной единицы i-го наименования, руб.;
Сэ - эксплуатационные затраты на содержание технического обменного пункта, включающие затраты на амортизацию и текущий ремонт здания и оборудования, отопление, освещение, заработную плату персоналу ТОПа, прочие расходы;
По - процент отчислений на содержание технического обменного пункта.
6. ОБЕСПЕЧЕНИЕ КАЧЕСТВА АГРЕГАТНОГО РЕМОНТА
6.1. Качество ремонта строительных машин агрегатным методом обеспечивается соблюдением требований технологической подготовки производства, в том числе: качеством разработки конструкторско-технологической документации на ремонт; правильностью выбора средства технологического оснащения и их качеством; квалификацией ремонтных рабочих; наличием и качеством запасных частей и ремонтных материалов; наличием и качеством средств измерений.
6.2. Работоспособность машины, прошедшей ремонт, зависит от качества ремонта сборочных единиц и качества выполнения сборочных и регулировочных работ.
6.3. Качество ремонта сборочных единиц определяется соблюдением технологической дисциплины (в соответствии со стандартами предприятий), в том числе: наличием на рабочем месте исполнителя необходимой документации (технологических карт); соответствием средств технологического оснащения требованиям технологической документации; соблюдением последовательности, режимов и технических условий выполнения операций, контроля параметров; соблюдением правил эксплуатации и хранения средств измерений.
6.4. Сборочные единицы, после окончания ремонта, подвергаются обкатке (в соответствии с требованиями технической документации).
6.5. По окончании ремонта каждая машина подвергается приемосдаточным испытаниям.
6.6. Контроль технологической дисциплины осуществляется:
на ремонтных предприятиях - контролерами ОТК;
в ремонтно-механических мастерских эксплуатирующих организаций - мастером ремонтного цеха.
6.7. Приемосдаточные испытания должны включать: визуальный контроль, испытания без нагрузки, испытания под нагрузкой, ходовые испытания, оформление акта приемосдаточных испытаний.
6.8. При визуальном контроле проверяется: общее техническое состояние отремонтированной строительной машины; качество сборки и техническое состояние отдельных составных частей и деталей (отсутствие видимых дефектов сварных швов, резьбовых соединений, утечки жидкости из гидросистемы, подтекание масла в силовых механизмах машины и др.); комплектность машины; товарный вид (для машин, прошедших капитальный ремонт); наличие технической документации на машину.
При обнаружении дефектов в процессе визуального контроля они должны быть устранены, после чего машина предъявляется к повторному контролю.
6.9. Машина, признанная годной при визуальном контроле, должна подвергаться испытаниям без нагрузки в течение 20 мин с целью проверки всех составных частей и качества соединений. Перед началом испытаний проверяется готовность двигателя согласно инструкции по уходу за двигателем. В процессе испытаний без нагрузки проверяются параметры, определяющие техническую характеристику машины путем перемещения рабочих органов в крайние положения. Проверку перемещения рабочих органов следует осуществлять на ровной площадке.
Опробование системы гидроуправления рабочими органами машины без нагрузки должно производиться при совместной работе испытываемых механизмов. При этом проверяется: безотказность и плавность перемещения рабочих органов; соответствие их движений и рабочих положений позициям рукояток гидрораспределителя; соответствие давления в гидросистеме (пневмосистеме) техническим условиям; равномерность шумов в работе насоса; отсутствие подтекания рабочей жидкости в трубопроводах, резьбовых соединениях, уплотнениях и т.д.
6.10. Машина, прошедшая испытания без нагрузки, подвергается испытаниям под нагрузкой. При этом проверяется: отсутствие заеданий и заклиниваний на рычагах управления при их перемещении; герметичность гидросистемы (пневмосистемы) и ее способность удерживать исполнительные механизмы в заданном положении при максимальной нагрузке; отсутствие посторонних шумов в работе механизмов; соответствие давления в гидросистеме (пневмосистеме); проверка по паспорту численных значений мощности двигателя и удельного расхода топлива, которые должны соответствовать техническим условиям на ремонт.
Все дефекты, выявленные при испытаниях, должны быть устранены.
Примечание. В объем испытаний кранов под нагрузкой входят статические и динамические испытания, выполняемые в соответствии с требованиями Госгортехнадзора. При испытаниях проверяется соответствие машин грузовой характеристике, а также работа тормозов и ограничителей грузоподъемности.
6.11. Отремонтированная строительная машина считается пригодной к дальнейшей эксплуатации, если ремонт ее выполнен в соответствии с техническими условиями и получены положительные результаты при проведении приемосдаточных испытаний.
6.12. По результатам приемосдаточных испытаний отремонтированных строительных машин оформляется протокол,
форма которого приведена в прил. 9.
7. РЕКОМЕНДАЦИИ ПО ВЫБОРУ СРЕДСТВ ТЕХНОЛОГИЧЕСКОГО ОСНАЩЕНИЯ <*>
--------------------------------
<*> Перечень средств технологического оснащения определяется технологическими картами на ремонт машин агрегатным методом, отвечающим требованиям настоящих Рекомендаций. Материалами данного раздела следует руководствоваться при разработке новых или совершенствовании имеющихся технологических процессов на ремонт машин агрегатным методом.
7.1. Эксплуатационные организации и ремонтные заводы, в зависимости от организации ремонта машин агрегатным методом должны обеспечиваться необходимыми передвижными и стационарными средствами технологического оснащения.
7.2. В состав передвижных средств технологического оснащения, применяемых для ремонта машин на местах их использования, входят передвижные мастерские, а также транспортные и грузоподъемные машины.
Для агрегатного ремонта рекомендуется использовать передвижные мастерские технического диагностирования, технического обслуживания и ремонта, а также ремонтные мастерские.
Передвижные мастерские технического диагностирования предназначены для контроля технического состояния составных частей машин, прогнозирования их остаточного ресурса и выявления причин отказов машин.
Передвижные ремонтные мастерские предназначены для выявления причин и устранения отказов и неисправностей машин (включая замену сборочных единиц).
Передвижные мастерские технического обслуживания и ремонта дополнительно к возможностям ремонтных мастерских обеспечивают выполнение работ по техническому обслуживанию и (отдельные модели) диагностированию машин.
Передвижные мастерские должны быть укомплектованы оборудованием, приспособлениями, инструментом, грузоподъемными средствами, инвентарем, специальными подставками и контейнерами для транспортирования составных частей машин, предусмотренными конструкторской документацией мастерских.
Для улучшения условий труда в тяжелой природно-климатической обстановке (низкая температура воздуха, сильный ветер, обильное выпадание осадков и др.) выездные ремонтные бригады следует оснащать также специальными палатками для создания микроклимата при выполнении работ.
| | ИС МЕГАНОРМ: примечание. Нумерация пунктов дана в соответствии с официальным текстом документа. | |
7.4. В состав передвижных средств дополнительно включаются транспортные и грузоподъемные машины. Оснащение выездных ремонтных бригад зависит от технических возможностей передвижных мастерских, условий выполнения подъемно-транспортных операций, а также массы и габаритов заменяемых сборочных единиц и деталей.
Транспортное средство дается выездной бригаде в случае отсутствия возможности для размещения сборочных единиц и деталей непосредственно в передвижной мастерской.
Автокран дается выездной бригаде в случае отсутствия у передвижной мастерской автономного грузоподъемного средства или невозможности осуществить с его помощью необходимые демонтажно-монтажные работы при ремонте машин на местах их использования.
7.5. Выбор типов передвижных мастерских для использования в конкретных условиях определяется объемами работ по ремонту, техническому обслуживанию и диагностированию машин на местах их использования и удаленностью машин от обслуживающего предприятия и друг от друга.
При ограниченных объемах ремонтных работ и большой удаленности объектов, что свойственно рассредоточенному строительству, следует применять в первую очередь наиболее универсальные из передвижных мастерских, обеспечивающие возможность выполнения работ по ремонту, техническому обслуживанию и диагностированию разнотипных машин с различными видами привода (механическим, гидравлическим, электрическим, смешанным). В обоснованных случаях можно использовать также мастерские технического обслуживания и ремонта, не оснащенные средствами диагностирования, в сочетании с наиболее универсальными мастерскими технического диагностирования.
В условиях сосредоточенного строительства при объемах работ, достаточных для полной загрузки соответствующих передвижных технических средств, целесообразно применять в основном диагностические и ремонтные мастерские, специализированные на обслуживании машин, однотипных по виду привода или назначению.
7.6. Выбор конкретных моделей из числа однотипных передвижных мастерских следует производить с учетом их назначения, специализации по видам выполняемых работ и типам обслуживаемых машин, климатического исполнения, запаса грузоподъемности, проходимости, наличия и технологических возможностей автономных грузоподъемных средств и в зависимости от величины, структуры, конструктивных особенностей и степени рассредоточения парка обслуживаемых машин, принятого варианта организации агрегатного ремонта машин, природно-климатических условий района строительства, качества автодорог и подъездных путей на строительных площадках.
Краткая техническая характеристика и назначение передвижных мастерских, рекомендуемых для ремонта машин агрегатным методом, указаны в
прил. 11. Для каждой мастерской приведены рекомендуемые области применения, характеризуемые видами и климатическими условиями использования обслуживаемых машин, а также степенью рассредоточенности строительства.
При выборе диагностических мастерских и мастерских технического обслуживания и ремонта, оснащенных средствами диагностирования, следует учитывать диагностические параметры сборочных единиц и систем конкретных марок обслуживаемых машин и технологические возможности мастерских в части контроля диагностических параметров, а также перечни операций, определяемые видом диагностирования (общее или углубленное). Диагностические параметры и операции для основных строительных машин приведены в "Руководстве по организации технического диагностирования строительных машин" (М., Стройиздат, 1983).
Выбор одного из образцов передвижных мастерских, близких по назначению и области применения, определяется практическими возможностями предприятий в приобретении мастерских, выпускаемых промышленностью, или в изготовлении собственными силами на базе одной из указанных в
прил. 11 марок автомобилей, которые использованы в качестве шасси мастерских.
7.7. В состав стационарных средств технологического оснащения, используемых при ремонте машин агрегатным методом, следует включать соответствующее оборудование, приспособления, инструмент, средства оснащения процессов технического контроля и испытаний, а также средства механизации и автоматизации технологических процессов, указанные в заявках - спецификациях Госагропрома, "Рекомендациях по выполнению моечно-очистных, дефектовочных, комплектовочных и окрасочных работ при капитальном ремонте строительных машин" (М., Стройиздат, 1982), "Руководстве по организации технического диагностирования строительных машин" (М., Стройиздат, 1983), альбоме "Средства технологического оснащения для ремонта строительных машин" (М., ЦНИИОМТП, Бюро внедрения, 1981), в справочном пособии "Техническая эксплуатация строительных машин" (М., Стройиздат, 1982) и др.
Дополнительно к вышеперечисленным используются указанные в
прил. 12 средства технологического оснащения для выполнения разборочно-сборочных и слесарных работ, а также операций контроля и испытаний при ремонте некоторых сборочных единиц машин.
7.8. Выбор конкретных стационарных средств технологического оснащения осуществляется с учетом их назначения, степени универсальности и сложности в зависимости от объема и уровня специализации ремонтного предприятия.
В
прил. 12 указаны техническая характеристика, назначение, а также область применения средств технологического оснащения в зависимости от специализации заводов на ремонте машин и сборочных единиц и специализации эксплуатационных организаций по группам строительных машин (если последними организован ремонт монтажных сборочных единиц).
При незначительных объемах выпуска ремонтируемых сборочных единиц следует использовать простые и универсальные (из числа аналогичных по назначению) средства оснащения.
| | ИС МЕГАНОРМ: примечание. В официальном тексте документа, видимо, допущена опечатка: имеется в виду "Инструкция по определению экономической эффективности использования в строительстве новой техники, изобретений и рационализаторских предложений (СН 509-78)". | |
При сравнительно больших объемах выпуска сборочных единиц в условиях ремонтных заводов возможно использование сложного и специализированного оборудования. Это должно обосновываться сравнительной оценкой эффективности его применения по отношению к более простому, аналогичному по назначению оборудованию или (при отсутствии такого аналога) ручному труду. Расчет приведенных затрат в этом случае следует производить в соответствии с "
Инструкцией по определению экономической эффективности в строительстве новой техники, изобретений и рационализаторских предложений (СН 507-78)".
8. ТЕХНИКА БЕЗОПАСНОСТИ ПРИ ВЫПОЛНЕНИИ РЕМОНТА МАШИН АГРЕГАТНЫМ МЕТОДОМ
8.1. При производстве ремонта строительных машин агрегатным методом должны быть выполнены требования:
СНиП III-4-80 "
Правил устройства и безопасной эксплуатации грузоподъемных кранов", утвержденных 30.12.69 г. по надзору за безопасным ведением работ в промышленности и горному надзору при Совете Министров СССР; "
Правил техники безопасности при эксплуатации электроустановок потребителей" Госэнергонадзора, согласованных 09.04.69 г. ВЦСПС; "
Правил пожарной безопасности при производстве строительно-монтажных работ, утвержденных 04.11.77 г. Главным управлением пожарной охраны МВД СССР и согласованных 24.02.77 г. с Госстроем СССР; Санитарно-гигиенических норм и правил Минздрава СССР; безопасности, предусмотренных в ремонтной и эксплуатационной документации и других ведомственных документах, разработанных в соответствии с требованиями
п. 1.1 СНиП III-4-80.
8.2. Порядок использования грузоподъемных машин, механизмов, электрооборудования, светильников и электроинструмента в период демонтажа и монтажа заменяемых сборочных единиц производится в соответствии с требованиями действующих правил Госгортехнадзора СССР, Госэнергонадзора СССР и
ГОСТ 12.3.009-76 с изм.,
ГОСТ 12.1.013-78.
8.3. К ремонту строительных машин агрегатным методом, в том числе к выполнению такелажных работ, допускаются лица, имеющие удостоверение об обучении и сдаче экзаменов по технике безопасности при ремонтных и такелажных работах.
8.4. Маршрутные и операционные технологические процессы ремонта строительных машин агрегатным методом должны разрабатываться с учетом требований техники безопасности.
8.5. Площадка, на которой производится ремонт, должна быть ровной, без уклонов, удаленной от котлованов, траншей, выемок на расстояние не менее указанных в
табл. 3,
п. 3.8 СНиП III-4-80, имеющей подъездные пути, необходимое освещение в соответствии с СН 81-80, свободной от построенных объектов.
8.6. При демонтажно-монтажных работах вблизи воздушной линии электропередачи (ближе 30 м) необходимо оформлять разрешение и наряд-допуск на проведение работ согласно
п. 2.24 ГОСТ 12.1.013-78.
8.7. Установка (дислокация) машин для выполнения работ, указанных в
п. 8.6, должна производиться на расстоянии от воздушной линии электропередачи не менее приведенного в
табл. 2.25 ГОСТ 12.1.013-78. Работа крана осуществляется в соответствии с
пп. 2.24,
2.25 ГОСТ 12.1.013-78.
8.8. Запрещается производить демонтажно-монтажные работы при сильном снегопаде или тумане, когда машинист не видит подаваемых ему сигналов.
8.9. Категорически запрещается производить осмотр сборочных единиц строительных машин с помощью факела, подогревать двигатель и другие механизмы открытым огнем, курить при заправке и проверке топлива и рабочей жидкости в баках.
8.10. Запрещается производить ремонтные работы на агрегатах в момент их работы при включенных элементах гидро-, пневмо- и электросистем.
8.11. Запрещается производить демонтаж элементов гидравлического и пневматического приводов, находящихся под давлением.
8.12. Подъем, опускание и перемещение сборочных единиц и деталей машин производится только по команде руководителя ремонтными работами.
8.13. В зоне демонтажно-монтажных работ не должно быть никого из посторонних лиц, кроме непосредственно производящих эти работы. Лица, выполняющие демонтажно-монтажные работы, должны быть в защитных касках.
8.14. Не допускается производить подъем сборочных единиц примерзших, присыпанных грунтом или заложенных другими сборочными единицами.
8.15. Запрещается подтаскивание сборочных единиц крюком грузоподъемного устройства или поворотом стрелы крана.
8.16. На время перерывов в работе запрещается оставлять на весу поднятые сборочные единицы.
8.17. Освобождение крюка грузоподъемного механизма, а также перестановка домкратов допускается лишь после закрепления сборочной единицы.
8.18. Электросварочные работы должны производиться в соответствии с требованиями
ГОСТ 12.3.003-75.
8.19. Места сварочных работ должны быть ограждены специальными щитами, а при невозможности этого - расположить сварщика таким образом, чтобы ремонтные рабочие не получали светового воздействия от сварочной дуги.
8.20. Сварка трубопроводов должна производиться только после тщательного удаления масла. Место сварки необходимо обжечь горелкой.
8.21. При работе с электроинструментом напряжением выше 36 В их корпусы должны быть заземлены. Рабочие должны производить работы в диэлектрических перчатках и галошах, применять инструмент с изолирующими рукоятками.
8.22. При работе с электрическим ручным инструментом запрещается: использовать инструменты на работах, не предусмотренных паспортом и инструкцией завода-изготовителя; оставлять без надзора инструмент с работающим двигателем, а также присоединенным к электросети; работать с приставных лестниц, а также на открытых площадках во время дождя и снегопада без наличия на рабочем месте навеса; разбирать и производить какой-либо ремонт инструмента.
8.23. Требованиям техники безопасности при выполнении моечно-очистных, дефектовочных, комплектовочных и окрасочных работ при агрегатном ремонте машин согласно "Рекомендаций по выполнению моечно-очистных, дефектовочных, комплектовочных и окрасочных работ при капитальном ремонте строительных машин (Стройиздат, 1980).
8.24. При работе на стендах по ремонту, обкатке и испытанию сборочных единиц необходимо соблюдать требования
ГОСТ 12.3.002-75 с изм. (СТ СЭВ 1728-79); а также следующие правила техники безопасности: проверять надежность крепления обкатываемого и испытываемого гидрооборудования на стенде; проверять надежность крепления металлических трубопроводов и шлангов высокого давления; проверять исправность предохранительных клапанов, дросселей, манометров и другого оборудования; перед началом обкатки или испытания гидрооборудования все рычаги пускорегулирующей аппаратуры должны стоять в таком положении, чтобы при включении стенда в напорной магистрали отсутствовало давление; повышение давления в напорной магистрали следует производить плавным поворотом дросселя; запрещается повышать давление в напорной магистрали с использованием предохранительного клапана; предохранительный клапан должен быть опломбирован и его проверку следует производить не реже чем через 100 ч работы стенда; в помещении, где расположены стенды, запрещается пользоваться открытым огнем и курить.
8.25. При складировании сборочных единиц на кратковременное или временное хранение должны соблюдаться правила гл. 3 "Типовых правил пожарной безопасности для промышленных предприятий", утвержденных Главным управлением пожарной охраны МВД СССР 21 августа 1975 г., согласованных с Отделом охраны труда ВЦСПС 31 июля 1975 г.
8.26. Укладка сборочных единиц для хранения должна производиться на прокладки, подставки, стеллажи и в специальные контейнеры.
8.27. При заправке машин ТСМ не допускается переполнение емкостей и баков. Пролитые на землю нефтепродукты засыпают песком и затем песок удаляют с ремонтной или с заправочной площадки. Заправка машин во время грозы запрещается.
8.28. Во время заправки и слива ТСМ курение и применение открытого огня запрещается.
8.29. При вынужденном применении этилированного бензина необходимо соблюдать следующие правила безопасности: не засасывать бензин через шланг ртом, не продувать ртом бензопровод; не мыть бензином руки и не чистить одежду; если бензин попал на кожу, сразу же смыть его чистым керосином или дизельным топливом, а затем теплой водой с мылом; одежду, облитую бензином, немедленно снять и перед стиркой проветрить ее на открытом воздухе в течение двух часов.
8.30. Масляные тряпки и использованные обтирочные материалы складываются в специальные железные ящики с крышками и по мере наполнения ящиков удаляют.
8.31. Каждая отремонтированная строительная машина должна быть осмотрена, отрегулирована и испытана на холостом ходу и под нагрузкой в соответствии с требованиями эксплуатационной и ремонтной документации.
8.32. Первый пуск отремонтированной строительной машины производится в присутствии представителя ремонтной организации.
ПЕРЕЧЕНЬ БАЗОВЫХ МОДЕЛЕЙ СТРОИТЕЛЬНЫХ МАШИН <*>,
РЕМОНТ КОТОРЫХ МОЖЕТ ПРОИЗВОДИТЬСЯ АГРЕГАТНЫМ МЕТОДОМ
--------------------------------
<*> Возможность проведения ремонта агрегатным методом распространяется на все модификации перечисленных базовых моделей.
Наименование машин | Базовая модель машин |
Экскаваторы одноковшовые | ЭО-2621, Э-302, ЭО-3311, Э-304, ЭО-3322, Э-5015, ЭО-4121, ЭО-4124, ЭО-4321, Э-652, Э-10011, ЭО-5111, Э-1251, Э-1252, ЭО-5122, ЭО-5123, ТЭ-3 |
Экскаваторы многоковшовые | ЭТЦ-202, ЭТЦ-252, ЭТР-134 |
Краны пневмоколесные | К-161, КС-4361, КС-4362, КС-4372, КС-5363, КС-6362, МКП-25, МКП-40, МКТ-40, МКТ-6 |
" автомобильные | КС-1562, КС-2561, КС-2571, КС-3561, КС-3562, КС-3571, КС-4561, КС-4571, МКА-6,3, МКА-10, МКА-16, СМК-10. |
" гусеничные | МКГ-6,3, МКГ-10, МКГ-16, МКГ-20, МКГ-25, МКГ-40, Э-1258, СКГ-40, СКГ-63, СКГ-100 |
" башенные | КБ-100,3, КБ-302 (КБ-100.1), КБ-306 (С-981), КБ-307 (КБ-100.0), КБ-308, КБ 401 (КБ-160.2), КБ-402 (КБ-160.4), КБ-403, КБ-405.2, КБ-573, КБ-674, КБ-675, КБ-676 |
Бульдозеры | ДЗ-17 (Д-492), ДЗ-18 (Д-493) ДЗ-27, ДЗ-35 (Д-575), ДЗ-37 (Д-579), ДЗ-42, (Д-606), ДЗ-53, (Д-686) ДЗ-54 (Д-687), ДЗ-101, ДЗ-104, ДЗ-109, ДЗ-110, ДЗ-116, ДЗ-117, ДЗ-118, ДЗ-120, ДЗ-126, ДЭ-133 |
Автогрейдеры и грейдер-элеваторы | ДЗ-31 (Д-557), ДЗ-31-1 (Д-557-1), ДЗ-98, ДЗ-99, ДЗ-99-1-2, ДЗ-99-1-4, ДЗ-99-2-2, ДЗ-99-2-4, ДЗ-ДЗ-99-1-2, ДЗ-99А-1-4, ДЗ-122, ДЗ-122-1, Д-437А, Д-507 |
Скреперы | МоАЗ-546П-Д-357П, ДЗ-111 |
Погрузчики | ТО-1 (Т-157), ТО-2 (Д-443, Д-451), ТО-6 (Д-561), ТО-6, ТМ-1 (Д-565), ТО-7 (Д-574), ТО-10, ТО-18, ТО-25 |
Трубоукладчики | ТЛ-3, ТЛ-4, ТЛГ-4М, ТО-1224, Т-1530, ТО-2550, Т-3560, Т-614, ТГ-123К |
Рекомендуемое
ПЛАН-ГРАФИК ПРОВЕРКИ ТЕХНИЧЕСКОГО СОСТОЯНИЯ,
ТЕХНИЧЕСКОГО ОБСЛУЖИВАНИЯ И РЕМОНТА МАШИН
на ___________________________________ месяц 198_ г.
(наименование организации и ее ведомственная подчиненность) |
Наименование, марка (индекс) и заводской номер машины | Наименование и обозначение сборочной единицы | Число месяца и даты проверок технического состояния, ТО и ремонта |
1 | 2 | 3 | 4 | 5 | ... | 26 | 27 | 28 | 29 | 30 | 31 |
1 | 2 | 3 | 4 | 5 | 6 | 7 | ... | 28 | 29 | 30 | 31 | 32 | 33 |
| | | | | | | | | | | | | |
Рекомендуемое
ПЛАН ПРОВЕРКИ ТЕХНИЧЕСКОГО СОСТОЯНИЯ,
ТЕХНИЧЕСКОГО ОБСЛУЖИВАНИЯ И РЕМОНТА МАШИН
И ИХ СБОРОЧНЫХ ЕДИНИЦ на 19__ г.
(наименование организации) |
Инвентарный номер машины | Наименование, марка (индекс) и заводской номер машины | Наименование и обозначение сборочной единицы | Фактическая наработка, мото-час. | Наработка в планируемом году | Число проверок, ТО и ремонтов в планируемом году |
с начала эксплуатации | Со времени проведения |
К | Т и ТО-3 | ТО-1 | ТО-2 | проверки технического состояния <*> | К | проверка технического состояния <*> | Т и ТО-3 | ТО-2 | ТО-1 |
число | месяц проведения |
| | | | | . | | | | | | | | | | |
--------------------------------
<*> Сроки проверки технического состояния отдельных сборочных единиц машины должны, как правило, совпадать со сроками выполнения одного из видов ТО или ремонта машины.
Рекомендуемое
ПЛАН-ГРАФИК ПОТРЕБНОСТИ В ЗАМЕНЕ СБОРОЧНЫХ ЕДИНИЦ
В __________________________________ на 19__ г.
(наименование организации)
Наименование марка (индекс) машины | Наименование и обозначение сборочной единицы | Месяцы года | Всего на год, шт. | В том числе по кварталам |
I | II | III | IV | V | VI | VII | VIII | IX | X | XI | XII | I | II | III | IV |
| | | | | | | | | | | | | | | | | | |
Рекомендуемое
КАРТОЧКА СКЛАДСКОГО УЧЕТА <*>
Наименование сборочной единицы |
Отремонтированные плановые (обменный фонд) | Требующие ремонта (ремонтный фонд) |
Приход | Расход | Приход | Расход |
От кого получено | По какому документу | Дата получения | Количество, шт. | Итого, шт. | Кому выдано | По какому документу | Дата выдачи | Количество, шт. | Итого, шт. | Остаток | От кого получено | По какому документу | Дата получения | Количество, шт. | Итого, шт. | Кому выдано | По какому документу | Дата выдачи | Количество, шт. | Итого, шт. | Остаток |
| | | | | | | | | | | | | | | | | | | | | |
--------------------------------
<*> По каждому наименованию сборочной единицы заводится отдельная карточка.
Рекомендуемое
ФОРМА СВОДНОЙ ВЕДОМОСТИ НАЛИЧИЯ
И ДВИЖЕНИЯ <*> ОБМЕННОГО ФОНДА
___________________________________________________________________________
(наименование технического обменного пункта)
за ________________________________________________________________________
период
Наименование сборочных единиц | Отремонтированные или новые (обменный фонд) | Требующие ремонта (ремонтный фонд) | Примечание |
Приход | Расход | Остаток на ____ | Приход | Расход | Остаток на ____ |
Гидроцилиндр <**> в сборе | 3 | 1 | 2 | 2 | 1 | 1 | |
Редуктор хода с тормозом | 1 | - | 1 | 1 | - | 1 | |
--------------------------------
<*> Составляется ежемесячно, один экземпляр вместе с отчетом о деятельности технического обменного пункта направляется в вышестоящую организацию.
Рекомендуемое
ФОРМА ПРИЕМОСДАТОЧНОГО АКТА N ______ НА ОБМЕН
СБОРОЧНЫХ ЕДИНИЦ СТРОИТЕЛЬНЫХ МАШИН
ОТ " " ____________ 198_ г.
Настоящий акт составлен представителем ____________________________________
___________________________________________________________________________
(наименование участка АУР или ремонтного завода)
___________________________________________________________________________
(должность, фамилия, имя, отчество)
с одной стороны и представителем, _________________________________________
(наименование строительной
___________________________________________________________________________
организации заказчика, должность, фамилия, имя, отчество)
действующим на основании письменного отношения N ___ от " " ______ 19 г.
с другой на предмет _______________________________________________________
(Наименование проводимой по акту операции,
___________________________________________________________________________
наименование сборочных единиц и их количество)
___________________________________________________________________________
N паспорта изделий __________________________________________, N формуляров
(при наличии паспорта)
__________________________. Наработка с начала эксплуатации _______________
(при наличии формуляров) (мото-часы или
машино-часы)
после последнего капитального ремонта _____________________________________
(мото-часы или машино-часы)
Техническое состояние изделий и комплектность _________________________
(соответствует
___________________________________________________________________________
или нет ТУ на ремонт и требованиям соответствующих ГОСТов)
Характеристика технического состояния
N п. п. | Наименование деталей | Номера деталей по каталогу | Наименование дефекта (отсутствие деталей) | Количество деталей, требующих замены | Цена за штуку, руб. | Сумма, руб. |
1. | Отсутствующие детали, узлы | | | | | |
2. | Аварийные детали и детали, подлежащие выбраковке вследствие применения способов ремонта, исключающих их восстановление | | | | | |
3. | Детали, подлежащие замене по другим причинам | | | | | |
Заключение ________________________________________________________________
(приняты или нет на обмен, если не приняты -
___________________________________________________________________________
по какой причине, сумма доплаты заказчиком за комплектность)
Наименование сборочных единиц, выданных в обмен на требующие ремонта ______
___________________________________________________________________________
Номер документа, по которому сборочные единицы получены от ремонтного
завода ____________________________________________________________________
Заказчик __________________________________________________________________
Представитель подразделения, выполняющего агрегатный ремонт (ремонтного
завода) ___________________________________________________________________
Рекомендуемое
МЕТОДИКА ОПРЕДЕЛЕНИЯ ПОКАЗАТЕЛЕЙ РАБОТЫ
ТЕХНИЧЕСКИХ ОБМЕННЫХ ПУНКТОВ
1. Количество произведенных обменов за отчетный период (год, квартал, месяц) Qо определяется по числу обменных операций по каждой сборочной единице и выражается формулой:

,
где qijk - число обменных операций сборочной единицы i-го наименования в течение k-го рабочего дня;
i - число наименований сборочных единиц в обменном фонде;
j - число обменов сборочной единицы

;
k - рабочие дни в отчетном периоде

определяется для каждого фиксирования
i.
2. Коэффициент оборачиваемости обменного фонда Kоб по каждому наименованию сборочных единиц определяется отношением количества произведенных обменов за отчетный период Qо к среднему числу (наличию) сборочных единиц каждого наименования в обменном фонде ТОПа за отчетный период Nср.
Kоб = Qо/Nср
определяется по формуле

,
где Ni - количество сборочных единиц i-го наименования находящихся на ТОПе за отчетный период;
mi - число дней пребывания сборочных единиц i-го наименования на ТОПе за отчетный период;
M - число календарных дней в отчетном периоде.
Для рентабельности работы ТОПа должно выполняться неравенство Kоб >= 8.
Пример определения Kоб
На 1 января 1983 г. на ТОПе имелось 20 двигателей Д-108, из них 10 двигателей поступило с 1 июля 1982 г. За год было произведено 180 обменов двигателя.
Определяем среднегодовое количество двигателей за отчетный год
Nср = [(20 - 10)365 + 10182]/365 = 15.
Тогда коэффициент оборачиваемости двигателя равен
Kоб = 180/15 = 12.
Таким образом, когда обмен сборочных единиц в день сдачи ремонтного фонда не производится, также обмены не учитываются при определении оборачиваемости обменного фонда ТОПов.
Для определения объема обменных операций, производимых техническим обменным пунктом, рекомендуется в качестве показателя оборачиваемости обменного фонда принимать коэффициент оборачиваемости от суммы реализации


,
где Qо - объем обменных операций за отчетный период (год, квартал, месяц), тыс. руб.;
q' - стоимость обменного фонда, закрепленного за ТОПом в отчетном периоде, тыс. руб.
Например, общие расходы на содержание ТОПа в год 5000 руб., объем обменных операций в году составил 450 тыс. руб., стоимость обменного фонда, закрепленного за ТОПом, в отчетном году 50 тыс. руб.
Тогда коэффициент оборачиваемости от суммы реализации будет

, а плановый товарооборот пункта при условии отчисления ему за услугу из расчета 2% стоимости ремонта обменных сборочных единиц составит 5000 : 0,02 = 250 000 руб. На эту сумму следует заключать договоры с эксплуатационными организациями и ремонтными предприятиями, чтобы пункт работал рентабельно.
3. Коэффициент одновременности обмена сборочных единиц показывает, какой процент отремонтированных сборочных единиц каждого наименования был выдан эксплуатационным организациям в день сдачи сборочных единиц, требующих ремонта.
Коэффициент Kо определяется по формуле
Kо = (Q/Qо)100%,
где Q - количество обменов сборочных единиц данного наименования в день приемки ремонтного фонда за отчетный период.
Пример определения Kо
За год было произведено 180 обменов двигателя Д-108, из них 160 двигателей было обменено в день сдачи ремонтного фонда.
Тогда коэффициент одновременности обмена двигателя равен
Kо = (160/180)100% = 89%.
ПРОТОКОЛ ПРИЕМОСДАТОЧНЫХ ИСПЫТАНИЙ
ОТРЕМОНТИРОВАННОЙ СТРОИТЕЛЬНОЙ МАШИНЫ
Представитель Отдела главного механика (ОГМ) ______________________________
___________________________________________________________________________
(наименование организации)
___________________________________________________________________________
(должность, инициалы, фамилия)
в присутствии представителя ремонтного цеха _______________________________
___________________________________________________________________________
(должность, инициалы, фамилия)
______________ провел приемосдаточные испытания
(дата)
___________________________________________________________________________
(наименование и марка машины)
В результате испытаний установлено:
1. ремонт выполнен ________________________________________________________
(оценка соответствия проведенного ремонта
___________________________________________________________________________
техническим условиям)
2. отремонтированная строительная машина __________________________________
(соответствует
___________________________________________________________________________
или не соответствует предъявленным требованиям)
Представитель ОГМ _________________________________________________________
(подпись, инициалы, фамилия)
Представитель ремонтного цеха _____________________________________________
(подпись, инициалы, фамилия)
Рекомендуемое
МЕТОДИКА РАСЧЕТА ПОТРЕБНОСТИ В НЕСНИЖАЕМОМ ЗАПАСЕ
СБОРОЧНЫХ ЕДИНИЦ ПРИ АГРЕГАТНОМ МЕТОДЕ РЕМОНТА
СТРОИТЕЛЬНЫХ МАШИН
Неснижаемый запас сборочных единиц -
k, обеспечивающий заданную вероятность отсутствия простоя, рассчитывается с использованием следующих данных:
N - количество однотипных машин;
n - количество однотипных сборочных единиц;
T - установленная наработка до замены данной сборочной единицы;

- среднее время восстановления (замена данной сборочной единицы).
Вероятность отсутствия простоя определяется при предположении, что поток заявок на ремонт рассматривается как простейший, обладающий ординарностью, стационарностью и отсутствием последствия. Кроме того, предполагается, что число обслуживающих каналов условно бесконечно. Это вытекает из факта, что ремонтные предприятия (ремонтно-эксплуатационные базы) имеют достаточные производственные мощности и изменение потребности в числе ремонтов не влияет на время оборота сборочной единицы. Наличие в такой системе k требований на замену сборочных единиц соответствует наличию k неисправных сборочных единиц, которые находятся в процессе транспортирования или в ремонте. Вероятность выхода из строя k сборочных единиц равна

,
где

- приведенная плотность потока заявок. Целая часть

определяет потребность в сборочных единицах, если бы потребности в заменах возникли регулярно, а время ремонта было одинаковым.
Условием работы системы без непрерывного увеличения очереди, т.е. в установленном режиме, является превышение числа сборочных единиц
n над их средней потребностью,

.
Вероятность отсутствия простоя в произвольный момент времени при наличии (k + 1) запасных сборочных единиц определяется по формуле

.
Число запасных сборочных единиц определяется при достижении
P(k+1) заданной вероятности
P:
P(k+1) >=
P. Для вычисления вероятности можно пользоваться
табл. 1.
Количество машин в парке, N = 10. Вероятность отсутствия простоя, P = 0,8.
Расчетная формула

,
где

.
1. Мост задний

;
Таблица 1
| Функция e-x |
X | 0 | 1 | 2 | 3 | 4 | 5 | 6 | 7 | 8 | 9 |
0 | 1 | 0,99 | 0,99 | 0,99 | 0,99 | 0,99 | 0,99 | 0,99 | 0,99 | 0,99 |
0 | 1 | 0,99 | 0,98 | 0,97 | 0,96 | 0,95 | 0,94 | 0,93 | 0,92 | 0,91 |
0,1 | 0,9 | 0,89 | 0,88 | 0,87 | 0,86 | 0,86 | 0,85 | 0,84 | 0,83 | 0,82 |
0,2 | 0,82 | 0,81 | 0,8 | 0,79 | 0,78 | 0,77 | 0,77 | 0,67 | 0,75 | 0,74 |
0,3 | 0,74 | 0,73 | 0,72 | 0,71 | 0,71 | 0,7 | 0,69 | 0,69 | 0,69 | 0,67 |
0,4 | 0,67 | 0,66 | 0,65 | 0,65 | 0,64 | 0,63 | 0,63 | 0,62 | 0,61 | 0,61 |
0,5 | 0,6 | 0,6 | 0,59 | 0,58 | 0,58 | 0,57 | 0,57 | 0,56 | 0,56 | 0,55 |
0,6 | 0,55 | 0,54 | 0,53 | 0,53 | 0,52 | 0,52 | 0,51 | 0,51 | 0,5 | 0,5 |
0,7 | 0,49 | 0,49 | 0,48 | 0,48 | 0,47 | 0,47 | 0,46 | 0,46 | 0,45 | 0,45 |
0,8 | 0,49 | 0,44 | 0,44 | 0,43 | 0,43 | 0,42 | 0,42 | 0,41 | 0,41 | 0,41 |
0,9 | 0,4 | 0,4 | 0,39 | 0,39 | 0,39 | 0,38 | 0,38 | 0,37 | 0,37 | 0,37 |
1 | 0,36 | 0,33 | 0,3 | 0,27 | 0,24 | 0,22 | 0,2 | 0,18 | 0,16 | 0,15 |
2 | 0,13 | 0,12 | 0,11 | 0,1 | 0,09 | 0,08 | 0,07 | 0,06 | 0,06 | 0,05 |
3 | 0,05 | 0,04 | 0,04 | 0,03 | 0,03 | 0,03 | 0,02 | 0,02 | 0,02 | 0,02 |
4 | 0,01 | 0,01 | 0,01 | 0,01 | 0,01 | 0,01 | 0,01 | 0,01 | 0,01 | 0,01 |
5 | 0,006 | 0,006 | 0,005 | 0,005 | 0,004 | 0,004 | 0,003 | 0,003 | 0,003 | 0,002 |
6 | 0,002 | 0,002 | 0,002 | 0,001 | 0,002 | 0,001 | 0,001 | 0,001 | 0,001 | 0,001 |
Таблица 2
ПРИМЕР РАСЧЕТА НЕСНИЖАЕМОГО ЗАПАСА
ДЛЯ КОНКРЕТНОЙ СТРОИТЕЛЬНОЙ МАШИНЫ
Пневмоколесный кран К-161
Наименование сборочной единицы | Количество однотипных сборочных единиц | Средняя наработка до замены, ч | Среднее время восстановления, ч | Неснижаемый запас сборочных единиц |
Мост задний | 1 | 1600 | 240 | 3 |
Мост передний | 1 | 1700 | 210 | 3 |
Коробка перемены передач | 1 | 1510 | 180 | 3 |
Редуктор | 1 | 1400 | 160 | 3 |
Лебедка | 1 | 1680 | 260 | 4 |
Гидрораспределитель | 1 | 1800 | 120 | 2 |
Гидротрансформатор | 1 | 1650 | 175 | 3 |
Количество машин в парке, N = 10
Вероятность отсутствия простоя, P = 0,8

;

;

.
Таким образом, при k = 3 P3 > P.
2. Мост передний

;

;

;

.
При k = 3 P3 > P.
3. Коробка перемены передач

;

;

;

.
При k = 3 P3 > P.
4. Редуктор

;

;

;
5. Лебедка

.

;

;

;

.
6. Гидрораспределитель

;

;

.
7. Гидротрансформатор

;

;

;

.
ПЕРЕДВИЖНЫЕ МАСТЕРСКИЕ ДЛЯ АГРЕГАТНОГО РЕМОНТА
СТРОИТЕЛЬНЫХ МАШИН
Наименование и обозначение (шифр проекта) | Разработчик, завод-изготовитель | Краткая техническая характеристика | Назначение и область применения |
Мастерские технического диагностирования |
Передвижная диагностическая установка КИ-13905 | Тартусский опытно-экспериментальный завод Госагропрома СССР | На базе автомобиля УАЗ-452. Запас грузоподъемности 300 кг. Габаритные размеры 4360 x 1940 x 2100 мм. Масса 2100 кг. Источник энергообеспечения - внешняя сеть переменного тока напряжением 220 В | Техническое диагностирование двигателей внутреннего сгорания, трансмиссии ходовой части, гидросистемы давлением до 12,5 МПа, пневмо- и электросистем строительных машин на базе тракторов и автомобилей. Обслуживание землеройного, подъемно-транспортного или смешанного парков машин в условиях сосредоточенного и, ограниченно, территориально рассредоточенного строительства при температуре воздуха от -20 до +40 °C |
Станция самоходная диагностическая КП-503 | Ленинградский завод дорожных машин Минавтодора РСФСР | На базе автомобиля ГАЗ-53А. Запас грузоподъемности 2155 кг. Габаритные размеры: 6410 x 2380 x 3000 мм. Масса 5245 кг. Кузов-фургон имеет теплоизоляцию и обогрев. Источник энергообеспечения - бензоэлектрический агрегат | Техническое диагностирование двигателей внутреннего сгорания, трансмиссии, ходовой части, гидросистемы давлением до 12,5 МПа, пневмо- и электросистем строительных машин на базе тракторов. Обслуживание землеройного или смешанного парков машин в условиях сосредоточенного и, ограниченно, территориально рассредоточенного строительства при температуре воздуха от -20 до +40 °C |
Контрольно-измерительная передвижная станция КИПС | ПКБ по лифтам Минстройдормаша | На базе автомобиля НЫСА-522 (модель 04). Запас грузоподъемности 710 кг. Габаритные размеры 4500 x 2120 x 2235 кг. Масса 1758 кг. Кузов-фургон имеет обогрев. Источник энергообеспечения - внешняя сеть переменного тока напряжением 220 В | Техническое диагностирование электрических систем переменного и постоянного тока (0 - 100 А, 0 - 500 В, 0 - 100 кВт, 40 - 1000 Гц). Измерение параметров: геометрических; усилия; твердости; движения; времени; вибрации; акустических; температуры газообразных, жидких и твердых тел. Обслуживание подъемно-транспортных и смешанных парков строительных машин в условиях сосредоточенного и ограниченно рассредоточенного строительства в районах с умеренным климатом по ГОСТ 16350-80. |
Мастерские технического обслуживания и ремонта |
Станция самоходная технического обслуживания ССТО-1А | Волжское производственное опытно-техническое объединение Энерготехмаш Минэнерго СССР | На базе автомобиля УРАЛ-375Е. Запас грузоподъемности 1225 кг. Габаритные размеры 10250 x 2500 x 3440 мм. Масса 12430 кг. Кузов-фургон имеет термоизоляцию и обогрев. Объем баков, л, для: веретенного масла - 110; трансмиссионного масла - 110; дизельного масла - 110; автола - 110; компрессорного масла - 110; солидола - 14; отработанных масел - 160. На прицепе размещен сварочный генератор. Источник энергообеспечения - автономная электростанция | Механизированная смазка и заправка машин маслами и водой, проверка и регулировка электрооборудования машин, механизированное выполнение крепежных работ электро- и газосварочные работы, а также разборочно-сборочные работы. Техническое обслуживание смешанного парка строительных и дорожных машин в условиях сосредоточенного и рассредоточенного строительства при температуре воздуха от -40 до +40 °C |
Станция самоходная для технического обслуживания дорожно-строительных машин А-701М | Ленинградский завод дорожных машин Минавтодора РСФСР | На базе автомобиля ЗИЛ-130. Запас грузоподъемности 1550 кг. Габаритные размеры 1000 x 2380 x 3200 мм. Масса 9400 кг. Кузов имеет термоизоляцию и обогрев. Грузоподъемное устройство 10,2 кН: переднего расположения. Объем баков, л, для: дизельного масла - 150, трансмиссионного масла - 100; автотракторного масла - 20; рабочей жидкости для гидросистем - 100; воды - 700; солидола - 14. На прицепе размещен сварочный генератор. Источник энергоснабжения - автономная электростанция | Мойка машин водой, демонтажно-монтажные, разборочно-сборочные, слесарные, смазочно-заправочные, сварочные, а также работы по проверке технического состояния двигателей внутреннего сгорания, пневмо- и электросистем, гидравлических систем машин до 10 МПа. Техническое обслуживание и устранение отказов машин на местах их использования при температуре воздуха от -40 до +40 °C |
Мастерская передвижная технического обслуживания и ремонта ЛВ-8А | Пожвинский завод "Лесосплавмаш" Минстройдормаша | На базе автомобиля ЗИЛ-130 с прицепом ОН-8326 для заправочного агрегата. Габаритные размеры (без прицепа) 7490 x 2486 x 3300 мм. Масса 10410 кг. Кузов-фургон имеет теплоизоляцию и обогрев. Грузоподъемное устройство с ручной лебедкой 12,74 кН. Объем наливных емкостей, л, для: дизельного масла и топлива - 230; 1600; рабочей гидравлической жидкости - 400; моторного масла - 70; солидола - 15. Источник энергообеспечения - двигатель автомобиля | Моечные, демонтажно-монтажные, разборочно-сборочные, сварочные, слесарные, смазочно-заправочные, контрольно-регулировочные работы при ремонте и техническом обслуживании строительных машин. Обслуживание и ремонт землеройного и смешанного парков машин в условиях рассредоточенного и, ограниченно, рассредоточенного строительства при температуре воздуха до -40 °C |
Передвижной комплекс для обслуживания строительных машин | Тындинская мерзлотная станция ЦНИИ транспортного строительства Минтрансстроя и Тульский КТИ Минюгстроя СССР | Состав: седельный тягач МАЗ; двухосный полуприцеп-фургон МАЗ-9367; двухосный автомобильный прицеп с заменяемыми сборочными единицами; самомонтирующийся козловой кран-ангар на пневмоходу. Площадь крытого тентом крана - ангара в рабочем состоянии 74 м2. Грузоподъемность электротельфера крана-ангара - 3,3 т, высота подъема груза - 4 м, пролет крана - 10 м. Фургон имеет теплоизоляцию и обогрев. Время монтажа кран-ангара - 1 смена. Источник энергообеспечения - внешняя электросеть или автономная электростанция. | Мойка пароводоструйной смесью, монтаж-демонтаж, разборка-сборка, сварка, а также сверлильные, смазочно-заправочные, кузнечные, окрасочные и контрольно-регулировочные работы при ремонте и техническом обслуживании строительных машин. Обслуживание землеройного и смешанного парков машин в условиях рассредоточенного строительства при температуре от +40 до -40 °C |
|
|
Шефмонтажная летучка на железнодорожном ходу 167-0000-00 | ПКБ Главстроймеханизация Минтрансстроя | Состав: вагон 4-осный крытый грузовой с объемом кузова 106 м3 по ГОСТ 10935-69. Платформа 4-осная грузоподъемностью 60 т - 3 шт. Кран автомобильный (на платформе) грузоподъемностью 10 - 16 т. Дополнительно в холодное время года разборная обогреваемая палатка размером 16 x 6 м (проект 13028.13039). В вагоне - тельфер электрический грузоподъемностью 1 т. Источник энергообеспечения - автономная электростанция 15 кВт | Мойка холодной водой, монтаж-демонтаж, разборка-сборка, сварка, а также шиноремонтные, сверлильные, смазочные, окрасочные и контрольно-регулировочные (включая обслуживание гидросистем до 10 МПа) работы при ремонте и техническом обслуживании строительных машин. Обслуживание землеройного и смешанного парков машин на объектах линейного строительства в условиях отсутствия автодорог |
Ремонтно-диагностическая мастерская МПР-9924 ГОСНИТИ | Предприятия Госагропрома СССР | На базе автомобиля ГАЗ-52-01. Запас грузоподъемности - 430 кг. Габаритные размеры (без прицепа) 6400 x 2300 x 2700 мм. Масса 4670 кг. Кузов-фургон имеет теплоизоляцию. Грузоподъемное устройство заднего расположения с ручной лебедкой 12,25 кН, основной стрелой вылетом 1,6 м и высотой подъема 3,9 м. Источник энергообеспечения: кузова - двигатель автомобиля; сварочного агрегата на прицепе - автономный двигатель внутреннего сгорания | Монтажно-демонтажные, разборочно-сборочные, сварочные, сверлильные, контрольно-регулировочные работы при ремонте, а также диагностирование технического состояния при плановых технических обслуживаниях тракторов. Ремонт землеройного и частично смешанного парков строительных машин в условиях сосредоточенного и ограниченно территориально-рассредоточенного строительства при температуре воздуха от -20 до +40 °C |
Мастерская передвижная ремонтно-диагностическая для обслуживания машин с гидроприводом, МРД-ГМ-130 | Тульский КТИ, Казанский завод "Ремстройдормаш" Минюгстроя СССР | На базе автомобиля ЗИЛ-130 обычной проходимости. Габаритные размеры 6880 x 2335 x 3790 мм. Масса 9300 кг. Кузов имеет теплоизоляцию и обогрев. Объем наливных емкостей, л; рабочей гидравлической жидкости - 550; моторного масла - 200; трансмиссионного масла - 550; солидола - 20; отработанного масла - 550. Источник энергообеспечения - двигатель автомобиля | Диагностика гидросистемы, <*> крепежные, прессовые, механообрабатывающие и смазочно-заправочные работы, очистка рабочей гидравлической жидкости строительных машин с гидроприводом. Обслуживание землеройного и смешанного парков машин с гидроприводом в условиях сосредоточенного и, ограниченно, территориально рассредоточенного строительства при температуре воздуха от +35 до -40 °C |
Передвижная установка "Гидросервис" (Проект 384-00-00.000) | СКТБ Главмосинжстроя | На базе автомобиля КрАЗ-257Б1. Запас грузоподъемности - 2030 кг. Габаритные размеры 10 000 x 2705 x 3580 мм. Масса 27100 кг. Кузов имеет теплоизоляцию и обогрев. Грузоподъемное устройство переднего расположения с вылетом стрелы 35,28 кН, грузоподъемностью 0,5 т и гидроприводом. Объем наливных емкостей, л, трансмиссионного масла - 160; индустриального масла - 240; моторного масла - 310; гидравлической жидкости - 1050; загрязненной гидравлической жидкости - 540; воды - 750. Источник энергообеспечения - двигатель автомобиля | Мойка горячей водой, монтаж-демонтаж, разборка-сборка, сбор и очистка рабочей гидравлической жидкости, окраска, а также работы по ТО, СО и диагностике строительных машин с гидроприводом давлением до 22 МПа. Обслуживание землеройного и частично смешанного парков машин в условиях сосредоточенного и территориально рассредоточенного строительства в умеренной климатической зоне по ГОСТ 16350-80. |
|
Передвижная ремонтная мастерская МТП-871 "Алтай" | Заларинский механический и Большереченский ремонтный заводы Госагропрома СССР | На базе автомобилей ГАЗ-52 или ГАЗ-66. Запас грузоподъемности 600 кг. Габаритные размеры (без прицепа) 6400 x 2150 x 2760 мм. Масса 4500 кг. Кузов-фургон имеет теплоизоляцию. Грузоподъемное устройство заднего расположения с электрифицированной лебедкой 11,8 кН, основной стрелой вылетом 1,7 м и высотой подъема 4 м. Электросварочный агрегат расположен на прицепе. Источник энергообеспечения мастерской - двигатель автомобиля; сварочного аппарата - бензоэлектрический агрегат. Имеется радиостанция | Демонтажно-монтажные, разборочно-сборочные, регулировочные, слесарные, заправочные, жестяницкие, электро- и газосварочные, а также работы по проверке технического состояния двигателей внутреннего сгорания, пневмо- и гидросистем давлением до 12,5 МПа и электросистем тракторов и автомобилей. Неплановый ремонт землеройного парка строительных машин в условиях сосредоточенного и ограниченно территориально рассредоточенного строительства в климатических зонах IIав, IIб, IIбв, III, IVав, по ГОСТ 16350-80. |
Передвижная ремонтная мастерская ПРМ-5А | Рассказовский завод по ремонту специальных строительных и дорожных машин и механизмов Миннефтегазстроя | На базе автомобиля ГАЗ-66-01. Запас грузоподъемности 260 кг. Габаритные размеры 5760 x 2500 x 3150. Масса 5210 кг. Кузов-фургон имеет теплоизоляцию и обогрев. Грузоподъемное устройство переднего расположения с ручной лебедкой 7,35 кН. Источник энергообеспечения - двигатель автомобиля | Демонтажно-монтажные, разборочно-сборочные, газосварочные и контрольно-регулировочные работы при ремонте строительных машин. Неплановый ремонт землеройного и смешанного парков машин в условиях сосредоточенного и рассредоточенного строительства при температуре воздуха от -40° до +50 °C. |
Передвижная ремонтная мастерская ПРМ-7 | То же | На базе автомобиля ЗИЛ-157 или ЗИЛ-131. Запас грузоподъемности 1860 кг. Габаритные размеры 6900 x 2500 x 3280 мм. Масса 7750 кг. Кузов-фургон имеет теплоизоляцию и обогрев. Грузоподъемное устройство переднего расположения с ручной лебедкой 9,8 кН. Источник энергообеспечения - двигатель автомобиля. | То же |
Передвижная ремонтная мастерская ПРМ-8 | Рассказовский завод по ремонту специальных строительных и дорожных машин и механизмов Миннефтегазстроя | На базе автомобиля УРАЛ-375Е. Запас грузоподъемности 1860 кг. Габаритные размеры 7500 x 2500 x 3400 мм. Масса 11040 кг. Кузов-фургон имеет теплоизоляцию и обогрев. Грузоподъемное устройство переднего расположения с ручной лебедкой 9,8 кН. Источник энергообеспечения - двигатель автомобиля | Демонтажно-монтажные, разборочно-сборочные, газосварочные и контрольно-регулировочные работы при ремонте строительных машин. Неплановый ремонт землеройного и смешанного парков машин в условиях сосредоточенного и рассредоточенного строительства при температуре воздуха от -40 до +50 °C |
Мастерская технического обслуживания - слесарно-механическая МТО-СМ | ПКБ Главстроймеханизация Минтрансстроя | На базе автомобиля ЗИЛ-131. Запас грузоподъемности 2510 кг. Габаритные размеры 7370 x 2450 x 3320 мм. Масса 8950 кг. Кузов-фургон имеет теплоизоляцию и обогрев. Мастерская дополнительно комплектуется палаткой размером 16 x 6 м (проект 13028.13039), транспортируемой на двухосном прицепе. Грузоподъемное устройство 14,7 кН переднего расположения. Источник энергообеспечения - двигатель автомобиля | Демонтажно-монтажные, крепежные, сварочные, контрольно-регулировочные и окрасочные работы при техническом обслуживании и ремонте строительных машин. Неплановый ремонт землеройного и смешанного парков машин в условиях сосредоточенного и рассредоточенного строительства при температуре воздуха от -40 до +40 °C |
Мастерская технического обслуживания - слесарно-механическая МТО-СМТС | ПКБ Главстроймеханизация Минтрансстроя | На базе автомобиля КрАЗ-255В. Габаритные размеры - 9210 x 2750 x 3695 мм. Масса 19604 кг. Кузов-фургон имеет теплоизоляцию и обогрев. Мастерская дополнительно комплектуется разборной палаткой размером 16 x 6 м (проект 13028.13039), транспортируемой на двухосном прицепе. Внутреннее грузоподъемное устройство 2,42 кН. Внешнее грузоподъемное устройство 29,4 кН, переднего расположения с гидроприводом. Обогрев палатки от теплогенератора. Источник энергообеспечения - двигатель автомобиля. | Демонтажно-монтажные, моечные, крепежные, сварочные, смазочные, контрольно-регулировочные и окрасочные работы при техническом обслуживании и ремонте строительных машин. Обслуживание землеройного и смешанного парков машин в условиях сосредоточенного и рассредоточенного строительства при температуре воздуха от -40 до +40 °C. |
Передвижная механическая мастерская ПММ-3К <**> | ПКБ Главстроймеханизация Минтрансстроя | Состав: автомобиль ЭИЛ-131 повышенной проходимости с кузовом; двухосный крытый прицеп со сварочным, кузнечным, прессовым оборудованием и ручной талью 29,4 кН; одноосный прицеп с электростанцией. Кузов-фургон имеет теплоизоляцию и обогрев. Источник энергообеспечения - автономная электростанция | Разборочно-сборочные, сварочные, кузнечные, токарные, сверлильные, столярные работы при ремонте строительных и путевых машин. Обслуживание землеройного и смешанного парков машин в условиях рассредоточенного строительства |
Автомастерская АМ-1 | Брянский завод по ремонту дизельных машин Миннефтегазстроя | На базе автомобиля УРАЛ-375Е. Запас грузоподъемности 4000 кг. Габаритные размеры 7495 x 2500 x 2750 мм. Масса 9300 кг. На открытой платформе мастерской может устанавливаться металлический или деревянный кузов-фургон для укрытия перевозимых составных частей (габариты платформы 2300 x 2100 x 1800 мм) Грузоподъемное устройство в виде портального гидравлического самопогрузчика. Грузоподъемность 29,2 кН. Вылет крюка 2,64 м, высота подъема 3,94 м. Источник энергообеспечения - двигатель автомобиля | Демонтажно-монтажные работы при текущем ремонте землеройного, подъемно-транспортного и смешанного парков строительных машин агрегатным методом в условиях сосредоточенного и рассредоточенного строительства при температуре воздуха от -40 до +40 °C |
--------------------------------
<*> Тип оборудования для диагностики гидросистемы, которым может комплектоваться мастерская, определяется требованиями и чертежами заказчика.
<**> Находится в стадии модернизации.
СРЕДСТВА ТЕХНОЛОГИЧЕСКОГО ОСНАЩЕНИЯ ДЛЯ РЕМОНТА
СБОРОЧНЫХ ЕДИНИЦ СТРОИТЕЛЬНЫХ МАШИН <1>
--------------------------------
<1> Конструкторская документация предназначена для изготовления опытных образцов.
Наименование | Шифр проекта, разработчик | Краткая техническая характеристика | Назначение и область применения |
Оборудование для ремонта экскаваторов |
Стенд для разборки и сборки экскаваторных узлов | 300-00-00 Управление механизации N 4 Главленинградстроя | Стационарный, горизонтальный. Мощность 2,8 кВт. Габаритные размеры 4470 x 1300 x 1425 мм. Масса 3600 кг. | Механизированная разборка и сборка прессовых соединений сборочных единиц экскаваторов марки Э-652, Э-10011, Э-1252 и других строительных машин (РМЗ, БМС, БМЗ) <2> |
Стенд для разборки и сборки ленточного транспортера экскаваторов ЭТЦ-202 | Вологодский РМЗ, Минводхоза РСФСР | Стационарный. Мощность 0,8 кВт. Габаритные размеры 2880 x 1020 x 900 мм. Масса 500 кг | Разборка и сборка с механизированным поворотом в вертикальной плоскости, а также обкатка ленточного транспортера без нагрузки (СРЗ, БМЗ) |
Стенд для разборки ковшовых цепей экскаваторов ЭТЦ-202, ЭТУ-354, ЭТЦ-252 | ОР-15834 Калининский филиал ЦОКТБ ГОСНИТИ | Стационарный. Мощность 11 кВт. Максимальное усилие 150 кН. Габаритные размеры 3600 x 3400 x 1975 мм. Масса 1500 кг. | Полная разборка цепей с механизацией размотки, подачи и выпрессовки пальца (СРЗ) |
Пресс для правки рам экскаваторов ЭТЦ-202 | КТБ объединения "Нечерноземремэкскаватор" Минводхоза РСФСР | Стационарный. Мощность 11 кВт. Максимальное усилие 1000 кН. Максимальные габаритные размеры обрабатываемых изделий 6000 x 3500 мм. Габаритные размеры 6300 x 4200 x 3950 мм. Масса 1650 кг | Механизированная правка рам в двух плоскостях с помощью гидроцилиндров (СРЗ) |
Вертикальный гидравлический пресс | ПКБ Главэнергомеханизация | Стационарный с откидной траверсой. Мощность 17,4 кВт. Максимальное усилие 2000 кН. Максимальные размеры распрессовываемых изделий длина 1800 мм, диаметр 1230 мм. Габаритные размеры 3100 x 3550 x 3000 мм | Механизированная перепрессовка сборочных единиц экскаваторов Э-652, КМ-602, Э-1252, Э-10011 и других строительных машин (РМЗ, СРЗ, БМЗ, БМС) |
Передвижной пресс | ПКБ Главэнергомеханизация | Перемещение путем качения или с помощью крана. Максимальное усилие 1000 кН. Габаритные размеры 2055 x 670 x 1080 мм. Масса (без наладки) 580 кг | Механизированная разборка и сборка прессовых соединений в поворотных и ходовых рамах экскаваторов с помощью пневмогидравлической головки, которую можно располагать в вертикальном и горизонтальном положении (РМЗ, СРЗ, БМЗ, БМС). |
Манипулятор | 1138-05 ЭПКБ | Стационарный с ручным приводом. Габаритные размеры 1230 x 820 x 960 мм. Масса 223 кг | Поворот редукторов экскаваторов Э-302, ЭО-3322 при разборке и сборке в вертикальной плоскости в удобное для работы положение (СРЗ) |
Стенд для разборки и сборки главного редуктора экскаваторов ЭО-3322 и Э-302 | НБХ-00-00-00. Проектный институт N 3 <3> | Стационарный с ручным приводом. Габаритные размеры 780 x 750 x 836 мм. Масса 215 кг | Поворот редуктора в вертикальной плоскости в удобное для работы положение (СРЗ) |
Стенд для правки и ремонта поворотной платформы экскаватора ЭО-3322А | НГИ-00-00-00 | Стационарный. Максимальное усилие правки 250 кН. Габаритные размеры 4915 x 1620 x 1005 мм. Масса 1720 кг | Правка поворотной платформы во время ремонта при помощи гидроцилиндров (СРЗ) |
Стенд для сборки в вертикальном положении вала поворотного механизма экскаваторов | ОП-00-00-00 Проектный институт N 3 Минюгстроя СССР | Стационарный. Габаритные размеры 620 x 620 x 600 мм. Масса 52 кг | Крепление валов экскаваторов Э-10011, Э-1252 в удобном для работы положении (РМЗ, СРЗ, БМЗ, БМС) |
Стенд для сборки фрикционных муфт с крестовинами экскаватора Э-10011 | 78-105. Костромской завод "Рабочий металлист" Минстройдормаша | Стационарный с ручным приводом. Высота 830 мм. Диаметр барабана 760 мм. Масса 55 кг. | Поворот сборочной единицы в горизонтальной плоскости при разборке и сборе (СРЗ) |
Универсальный кантователь для ремонта ходовых рам экскаватора | НГН-00-00. Проектный институт N 3 | Стационарный. Мощность 2,2 кВт. Габаритные размеры 5675 x 3000 x 2162 мм. Масса 2230 кг. | Механизированный поворот рам экскаваторов ЭО-4121А, Э-10011, Э-1252, Э-652 в вертикальной плоскости при ремонте (РМЗ, СРЗ) |
Универсальный кантователь для ремонта рамных конструкций строительных машин | НГП-00-00. Проектный институт N 3 | Стационарный. Мощность 2,2 кВт. Габаритные размеры 7020 x 1500 x 2162 мм. Масса 2700 кг | Механизированный поворот рамных конструкций экскаваторов ЭО-3322А, Э-302, ЭО-4121 и кранов КС-3571 в вертикальной плоскости при ремонте (РМЗ, СРЗ) |
Стенд для ремонта гидротрансформатора экскаватора Э-10011 | СКБ Главдальводстроя | Стационарный с ручным приводом. Габаритные размеры 1338 x 1000 x 1070 мм Масса 213 кг | Поворот гидротурботрансформаторов У358018А в вертикальной плоскости при разборке, ремонте и сборке (СРЗ, БМС) |
Оборудование для ремонта кранов |
Стенд для ремонта тормозов | 1138-06. ЭПКБ | Стационарный. Габаритные размеры 1200 x 800 x 1180 мм. Масса 450 кг | Разборка, сборка и испытание тормозов типа АМТ-1, АМТ-2 лебедок автокранов АК-75, КС-2561ДЛ с использованием гидроцилиндра (СРЗ) |
Гидропресс горизонтального действия для выпрессовки и запрессовки трудноразборочных узлов башенных кранов | УМ-3 треста Строймеханизация-2 Главленинградстроя | Стационарный с гидравлическим приводом. Габаритные размеры 1000 x 1500 x 2500 мм. Масса 1000 кг | Механизированная разборка и сборка прессовых соединений сборочных единиц башенных кранов (РМЗ, БМБ) |
Оборудование для ремонта тракторов и машин на их базе |
Кантователь для сборки и разборки коробки передач трактора Т-130 | Ногинский ЭРМЗ Минводхоза РСФСР | Стационарный. Габаритные размеры 1500 x 1500 x 1050 мм. Масса 210 кг | Повороты в вертикальной плоскости КПП трактора Т-130 при ремонте (РМЗ, БМЗ) |
Стенд для разборки и сборки механизма натяжения гусениц тракторов Т-100М, Т-130, Т-4А | База механизации треста Спецстроймеханизация Минуралсибстроя СССР | Стационарный с гидроприводом. Габаритные размеры 1400 x 800 x 500 мм. Масса 3000 кг | Разборочно-сборочные работы, включая механизированное сжатие пружины механизма натяжения гусеничного хода тракторов (РМЗ, СРЗ, БМЗ) |
Механизированная линия разборки натяжных колес тракторов | ПКБ Главэнергостроймеханизация | Стационарная. Мощность 1,7 кВт. Усилие пресса 400 кН. Габаритные размеры 11700 x 1600 x 1515 мм. Масса 1120 кг. | Механизированная выпрессовка подшипников натяжных колес тракторов Т-100, Т-100МЗ, Т-130 с использованием кантователя и гидроцилиндра (СРЗ) |
Переносное гидравлическое приспособление для снятия ведущего колеса трактора Т-100 | УМ-2 треста Мособлстроймеханизация-1 Главмособлстроя | Передвижное. Габаритные размеры 500 x 400 x 400 мм. Масса 70 кг. Привод от ручного гидронасоса | Спрессовка ведущего колеса трактора Т-100 (РМЗ, ОРЗ, БМЗ) |
Стенд для разборки и сборки шестерни со ступицей бортового редуктора трактора Т-100 и Т-130 | НТМ-00-00-00. Проектный институт N 3 | Стационарный, двухместный с передвижным гайковертом. Мощность 0,18 кВт. Габаритные размеры 300 x 1875 x 2390 мм. Масса 950 кг | Механизированная разборка и сборка с поворотом сборочной единицы в вертикальной плоскости (СРЗ) |
Приспособление для высверливания заломов болтов М12 в корпусе бортового редуктора трактора Т-100М | ПЗБ-030-00-00. Донецкий РМЗ | Переносное. Габаритные размеры 1200 x 600 x 150 мм. Масса 30 кг. | Механизированное высверливание заломов болтов М12 - М14 (РМЗ, СРЗ) |
Стенд для сборки тормозных устройств Т-100 | НО-ДП. Барнаульский экспериментальный завод | Настольный с пневмоприводом. Габаритные размеры 650 x 650 мм. Масса 35 кг. | Механизированная клепка фрикционных накладок тракторов Т-100М, с помощью клепального молотка (РМЗ, БМЗ, БМС) |
Стенд-кантователь для ремонта отвалов бульдозеров Д-687, Д-686, Д-271 | СМУ-1 Главвладивостокстроя, документация в приморском ЦНТИ | Стационарный с электроприводом | Механизированный поворот отвалов в вертикальной плоскости при ремонте (РМЗ, СРЗ, БМЗ) |
Стенд сборки и разборки КПП тракторов | С416-457. ПКБ Главэнергостроймеханизация | Стационарный с гидроприводом. Мощностью 2,2 кВт. Усилие гидроцилиндров 79 кН. Габаритные размеры 3780 x 1380 x 1300 мм. Масса 1300 кг | Разборка и сборка КПП тракторов Т-100М, Т-130 с использованием механического кантователя, гидропресса и гидроскобы (СРЗ) |
Универсальная линия сборки катков тракторов Т-100М, Т-100МЗ, Т-140 | НВУ-00-00-00. Проектный институт N 3 | Стационарная. Мощность 2,2 кВт Габаритные размеры 5675 x 1470 x 2090 мм. Масса 1145 кг. Усилие прессования 400 кН. Емкость кассеты - 5 шт | Механизированная сборка катков с использованием гидронасоса и ручного кантователя (СРЗ, РМЗ) |
Стенд с гайковертом для сборки гусеничных полотен трактора Т-100, Т-130 | 1АГ-00-00-00 Проектный институт N 3 | Стационарный. Габаритные размеры 10500 x 700 x 1800 мм. Масса 1762 кг | Механизированная сборка гусениц тракторов (РМЗ, СРЗ) |
Механизированная линия сборки гусениц тракторов | С416-465. ПКБ Главэнергостроймеханизация | Стационарная с гидропрессом и четырехшпиндельным гайковертом. Мощность 30 кВт. Усилие пресса 1000 кН. Габаритные размеры 16425 x 1140 x 3660 мм. Масса 10 000 кг | Механизированная сборка гусениц тракторов Т-100 и Т-130 (СРЗ) |
Линия разборки опорных катков тракторов | С416-460. ПКБ Главэнергостроймеханизация | Стационарная с гидропрессом и подвесным гидроцилиндром. Мощность 2,2 кВт. Усилие пресса 300 кН, гидроцилиндров 110 кН. Габаритные размеры 6200 x 1350 x 2445 мм. Масса 715 кг | Механизированная разборка опорных катков тракторов Т-100 и Т-130 (СРЗ) |
Линия сборки натяжных колес трактора | С416-458. ПКБ Главэнергостроймеханизация | Стационарная с гидропрессом. Мощность 2,2 кВт. Усилие пресса 20 кН. Габаритные размеры, 4000 x 2600 x 1580 мм. Масса 2080 кг | Механизированная запрессовка наружных колец подшипников (СРЗ) |
Оборудование для испытания и диагностики сборочных единиц |
Стенд для испытания механизма хода | КД 180-289-056. Тульский ЦНТИ | Стационарный. Мощность 22 + 7,5 + 3 + 0,12 кВт. Габаритные размеры, мм: силовой установки - 1850 x 3280 x 1224, гидростанции - 2530 x 1180 x 1800. Масса 5100 кг. | Испытание и обкатка под нагрузкой редукторов механизма хода экскаватора ЭО-4121 (СРЗ) |
Стенд для испытания турботрансформаторов ТР-325 и ТРЭ-500 | С416-320. ПКБ Главэнергостроймеханизация | Стационарный. Мощность 75 кВт. Габаритные размеры 4575 x 1300 x 1765 мм. Масса 1880 кг | Обкатка и испытание без нагрузки и под нагрузкой турботрансформаторов ТР-325, ТРЭ-500, экскаваторов Э-10011, кранов КС-4361 (К-161) и других строительных машин (СРЗ, РМЗ) |
Стенд для испытания насоса и золотника турботрансформатора | С-306. ПКБ Главэнергостроймеханизация | Стационарный. Мощность 5,2 кВт. Габаритные размеры 820 x 870 x 1600 мм. Масса 440 кг | Испытание под нагрузкой насоса совместно с золотником турботрансформатора ТРЗ-500 экскаватора Э-10011 (СРЗ) |
Стенд для испытания насосов в сборе с редуктором трактора Т-100МГП | С416-316А. ПКБ Главэнергостроймеханизация | Стационарный. Мощность 22 кВт. Габаритные размеры 760 x 1355 x 1470 мм. Масса 630 кг | Обкатка и испытание без нагрузки и под нагрузкой насосов в сборе с редуктором трактора Т-100МГП (СРЗ) |
Стенд для испытания узлов гидросистемы трактора ДЭТ-250 | С-215. ПКБ Главэнергостроймеханизация | Стационарный. Мощность 6,2 кВт. Давление 1 - 1,5 МПа. Габаритные размеры 2250 x 1350 x 1200 мм | Опрессовка силовых цилиндров, корпусов распределителей, кронштейнов, осей, крышек, труб (СРЗ) |
Универсальный стенд для обкатки трансмиссий Т-100М, Т-130 | НГБ-00-00-00. Проектный институт N 3 | Переносной. Мощность 22 кВт. Габаритные размеры 1430 x 1610 x 1250 мм. Масса 646 кг | Обкатка трансмиссии без нагрузки (РМЗ, СРЗ, БМЗ, БМС) |
Стенд для обкатки | 1138-04. ЭПКБ | Стационарный с электромеханическим приводом и гидронагружателем. Габаритные размеры 2500 x 1123 x 1385 мм. Масса 2500 кг. Комплект из 3-х сборочных единиц, обкатываемых за 2 установа | Обкатка без нагрузки и под нагрузкой коробок отбора мощности, промежуточных редукторов и распределительных коробок автокранов КС-2561Д. КС-2561Е (СРЗ) |
Прибор для проверки электропневмовентилей | УМ-6 треста Строймеханизация-1 Главленинградстроя | Переносной. Габаритные размеры 520 x 200 x 250 мм. Масса 4 кг | Проверка и обкатка после ремонта электропневмовентилей ВВ-32Ш и ВВ-32-34Ш автокранов КС-1562А и др. (СРЗ, РМЗ, БМП) |
Прибор для проверки электропневмовентилей | УМ-6 треста Строймеханизация-1 Главленинградстроя | Переносной. Габаритные размеры 520 x 200 x 250 мм. Масса 4 кг | Проверка и обкатка после ремонта электропневмовентилей ВВ-32Ш и ВВ-32-34Ш автокранов КС-1562А и др. (СРЗ, РМЗ, БМП) |
Стенд для регулировки и испытания СГП кранов | НБТ-00-00-000 НБК-00-00-00 Проектный институт N 3 | Стационарный с электрической настройкой. Предел нагрузки датчика усилий 1100 кгс. Габаритные размеры 1240 x 792 x 530 мм. Масса 145 кг | Регулировка и испытание ограничителей грузоподъемности типа ОГП-1 (РМЗ, СРЗ, БМП <5>, БМС) |
Стенд для проверки и настройки ограничителей грузоподъемности стреловых и башенных кранов | УМ-71 треста МОСМ-1 Главмособлстроя | Стационарный. Габаритные размеры 1040 x 550 x 1400 мм. Масса 570 кг | Проверка и комплексная настройка ОГП-1 ОГБ-2 всех модификаций (СРЗ, РМЗ) |
Универсальный стенд для проверки работоспособности и настройки ограничителей грузоподъемности моделей ОГБ-3 и ОГБ-3М | Ивановский завод автомобильных кранов Минстройдормаша | Переносной. Габаритные размеры, мм: стенда - 1000 x 500 x 500; силового устройства - 500 x 400 x 20. Масса стенда 15 кг, силового устройства 15 кг | Обнаружение неисправного узла в ограничителе грузоподъемности автокранов КС-3571, КС-3562А (СРЗ) |
Универсальный диагностический прибор для проверки ограничителей грузоподъемности | Ивановский завод автомобильных кранов Минстройдормаша | Переносной. Габаритные размеры 400 x 250 x 140 мм. Масса 8 кг | Обнаружение неисправных узлов, настройка и проверка работы ограничителей грузоподъемности типа ОГБ-3, ОГБ-3М, автомобильных кранов КС-3571, КС-3562А (СРЗ) |
Универсальный стенд для проверки приборов безопасности грузоподъемных кранов | Мурманское управление механизации строительства | Стационарный. Габаритные размеры 2500 x 1000 x 2000 мм. Масса 300 кг | Выявление неисправностей и настройка приборов безопасности ОГП-1, ОГБ-2 автоматических сигнализаторов опасного напряжения АСОН, УАС, УСОН (РМЗ, СРЗ) |
Линия диагностики автомобилей | Ворошиловградский машиностроительный институт | Стационарная. Состоит из тяговотормозного стенда, стенда диагностики переднего моста, стенда диагностики рулевого управления и др. | Диагностика технического состояния автомобилей ГАЗ-53, ЗИЛ-130, МАЗ-500, КрАЗ-257 (БМП, СРЗ) |
Стенд тягово-тормозной | СТТ-125 | Стационарный. Инерционный с 4 парами беговых барабанов. Габаритные размеры 2660 x 6086 x 940 мм. Масса 1400 кг | Проверка правильности показаний спидометра, потерь в трансмиссии, мощности на ведущих колесах максимального замедления колес и тормозного пути |
Стенд диагностики переднего моста автомобилей | СДИМ-125 | Стационарный с 2 парами беговых барабанов. Габаритные размеры 2144 x 393 x 695 мм. Масса 3635 кг | Определение технического состояния передних мостов автомобилей |
Стенд для диагностики рулевого управления | СДРУ-73А | Стационарный. Габаритные размеры 990 x 3320 мм. Масса 1030 кг. Колея колес автомобилей от 1585 до 1950 мм | Контроль свободного хода рулевого колеса, потерь на трение и соотношения углов поворота управляемых колес грузовых автомобилей |
Стенд для опрессовки гидроразмыкателей и испытания вращающихся соединений | НРБ-00-00-00. Проектный институт N 3 | Стационарный. Давление испытания 320 МПа. Габаритные размеры 1820 x 560 x 1200 мм. Масса 560 кг | Испытания на герметичность (РМЗ, СРЗ) |
Стенд универсальный для испытания гидрооборудования | 132.127.0764.00 ППО ВПТИ стройдормаш | Стационарный. Мощность 86,8 кВт. Габаритные размеры 4000 x 2750 x 2300 мм. Масса 6500 кг. Регулируемый поток рабочей жидкости 25 - 400 л/мин, давление, МПа: основного потока - до 25, опрессовки до 50 | Испытание гидромоторов, насосов, гидрораспределителей, гидроцилиндров с ходом штока до 2000 мм, а также другого гидрооборудования (с применением спецоснастки) (СРЗ) |
Стенд для диагностирования гидрооборудования | ВНИИНМАШ Госстандарта | Стационарный. Габаритные размеры 3800 x 450 x 2300 мм. Масса 2700 кг. Подача 50 - 360 л/мин Давление 1 - 2 МПа, 10 - 25 МПа | Контроль технического состояния и качества ремонта насосов типа 223.20 и 223.25 (СРЗ) |
Универсальный стенд для испытания и регулировки гидрораспределителей | УМ-5 Главленинградстроя | Стационарный, мощность 10 кВт. Габаритные размеры 1500 x 1050 x 1630 мм. Масса 530 кг | Проверка рабочим давлением гидрораспределителей всех типов, применяемых на строительных и дорожных машинах (СРЗ, РМЗ, БМЗ, БМС) |
Переносной стенд для проверка гидросистем строительных машин | УМ-70 треста N 15 "Спецстрой" Минпромстроя БССР | Габаритные размеры 710 x 280 x 350 мм. Масса 24 кг. Максимальное измеряемое давление 40 МПа | Диагностирование насосов, гидромоторов, гидрораспределителей строительных машин в полевых условиях (БМЗ, БМС, БМП) |
Универсальный стенд для проверки, регулировки и обкатки гидроаппаратуры | СКБ Строймеханизация Минюгстроя СССР | Стационарный. Мощность 108 кВт. Максимальное давление 32 МПа. Габаритные размеры 3700 x 2850 x 2500 мм. Масса 3200 кг | Проверка, регулировка и обкатка гидронасосов, гидромоторов и гидрораспределителей строительных машин (СРЗ, РМЗ, БМЗ, БМС) |
Стенд для проверки гидрораспределителей | УМ-70 треста N 15 "Спецстрой" Минпромстроя БССР | Стационарный. Мощность 4,5 кВт. Габаритные размеры 1760 x 780 x 1150 мм. Масса 920 кг | Проверка под давлением гидрораспределителей, закрепленных строительных машин (РМЗ, СРЗ, СРЗ, БМЗ, БМС) |
Стенд для испытания пневматических соединений | МГД-00-00-00. Проектный институт N 3 | Стационарный. Габаритные размеры 725 x 630 x 1570 мм. Масса 50 кг. Давление воздуха 1 МПа. Объем ванны 85 л | Испытание на герметичность соединений и узлов пневмосистемы Строительных машин (РМЗ, СРЗ, БМС, БМЗ, БМП) |
Универсальный стенд для испытания пневмооборудования | НГК-00-00-00. Проектный институт N 3 | Стационарный. Мощность 4 кВт. Габаритные размеры 1455 x 1210 x 1355 мм. Масса 270 кг | Испытание сборочных единиц пневмосистемы строительных машин (РМЗ, СРЗ, БМС, БМЗ) |
Стенд для обкатки двигателей мощностью до 220 кВт (300 л. с.) | Трест Строймеханизация-1 Главленинградстроя | Стационарный, переналаживаемый | Обкатка вхолостую и под нагрузкой с определением расхода масла (РМЗ, БМС, БМЗ, БМП) |
Бак раздаточный с замером расхода горючего | НВШ-00-00. Проектный институт N 3 | Стационарный. Габаритные размеры 1370 x 985 x 3816 мм. Масса 219 кг. Емкость бака 250 л | Подача горючего на стенд для обкатки двигателей (СРЗ, РМЗ, БМЗ, БМС, БМП) |
Стенд для диагностики дизельных двигателей | УМ-4 треста Строймеханизация-1 Главленинградстроя | Передвижное. Габаритные размеры 1000 x 300 x 1300 мм. Масса 110 кг | Диагностика технического состояния двигателей СМД-14, Д-48, Д-50 без их демонтажа с машины (БМС, БМЗ, БМП) |
Установка для испытания радиаторов и бензобаков | НАК-00-00-00. Проектный институт N 3 | Стационарная. Габаритные размеры 3880 x 1260 x 1835 мм. Масса 765 кг. Давление 0,15 МПа. Габаритные размеры испытываемых узлов 1000 (810) x 160 (91) x 1000 (710) мм | Испытания на герметичность и тряску радиаторов и бензобаков строительных машин (РМЗ, СРЗ) |
Стенд для контрольного осмотра двигателей | НГЖ-00-00-00. Проектный институт N 3 | Стационарный. Мощность 1,5 кВт. Габаритные размеры 3915 x 1252 x 1192 мм. Масса 1520 кг | Осмотр двигателей СМД-14, А-01М, Д-108, Д-160, ЯМЗ-236, ЯМЗ-238 с их поворотом в вертикальной плоскости (СРЗ, РМЗ, БМС, БМЗ, БМП) |
Ремонтное оборудование общего назначения |
Стенд для сборки опорного кольца | УЗ-00-00-00. Проектный институт N 3 | Стационарный. Диаметр 2016 мм. Высота 948 мм. Масса 200 кг | Разборка и сборка поворотной роликовой опоры строительных машин (СРЗ, РМЗ, БМЗ, БМС) |
Стенд для сборки в горизонтальном положении главного реверсивного вала экскаваторов и пневмоколесных кранов | 1КЛ-00-00. Проектный институт N 3 | Стационарный. Габаритные размеры 1700 x 830 x 1275 мм. Масса 415 кг | СРЗ, БМЗ |
Универсальный стенд для ремонта главных муфт и лебедок | НБЖ-00-00-00. Проектный институт N 3 | Стационарный с ручным приводом. Габаритные размеры 1500 x 600 x 710 мм. Масса 135 кг | Разборка и сборка в удобном положении, обеспечиваемом поворотом на роликах в вертикальной плоскости (СРЗ, РМЗ, БМЗ, БМС, БМП) |
Универсальный стенд для разборки и сборки валовых узлов | НВЕ-00-00-00. Проектный институт N 3 | Стационарный. Габаритные размеры 1600 x 880 x 1525 мм. Масса 280 кг | Разборка и сборка узлов строительных машин (СРЗ, РМЗ, БМС, БМП) |
Универсальный стенд для разборки и сборки мостов | НАР-00-00-00. Проектный институт N 3 | Стационарный двухместный. Габаритные размеры 1625 x 1510 x 1100 мм. Масса 398 кг | Ремонт мостов строительных машин (СРЗ, РМЗ, БМЗ, БМС, БМП) |
Универсальный стенд для ремонта пультов | НБИ-00-00-00. Проектный институт N 3 | Стационарный с ручным приводом. Габаритные размеры 1420 x 870 x 975 мм. Масса 108 кг | Ремонт с поворотом в вертикальной плоскости пультов строительных машин (СРЗ, РМЗ) |
Стенд для сборки поворотных соединений | НБП-00-00-00. Проектный институт N 3 | Стационарный двухместный с пневмоприводом. Габаритные размеры 1200 x 660 x 1035 мм. Масса 196 кг | Крепление при сборке соединений с помощью цангового пневмозажима (СРЗ) |
Стенд для сборки предохранительных и обратноуправляемых клапанов | НБС-00-00-00. Проектный институт N 3 | Стационарный двухместный с пневмоприжимом. Габаритные размеры 1500 x 600 x 1186 мм. Масса 183 кг | Сборка гидроклапанов строительных машин (СРЗ) |
Стенд-кантователь для ремонта сдвоенных гидронасосов | УМ-70 треста N 15 "Спецстрой" Минюгстроя СССР | Стационарный с ручным приводом. Габаритные размеры 900 x 100 мм. Масса 210 кг | Разборка и сборка сдвоенных гидронасосов (СРЗ, РМЗ) |
Стенд для разборки и сборки и испытания гидроцилиндров | УМ-10 Главленинградстроя | Стационарный. Габаритные размеры 3200 x 1100 x 1300 мм. Масса 1300 кг. Производительность 3,2; 150 л/мин. Давление - 3,5; 40 МПа | Ремонт гидроцилиндров строительных машин (СРЗ, РМЗ, БМЗ, БМС) |
Станок для притирки распределителя с блоком цилиндров | УМ-70 треста N 15 "Спецстрой" Минпромстроя БССР | Стационарный. Габаритные размеры 1700 x 990 x 1360 мм. Масса 550 кг | Притирка сферической поверхности блока цилиндров сдвоенных гидронасосов и гидромоторов с распределителем (СРЗ, РМЗ) |
Станок для притирки плоских поверхностей гидронасосов | УМ-70 треста N 15 "Спецстрой" Минпромстроя БССР | Стационарный. Габаритные размеры 1140 x 990 x 1330 мм. Масса 530 кг. Диаметр стола 610 мм. Число возвратно-поступательных движений детали 22 в 1 мин | Притирка плоских поверхностей деталей сборочных единиц гидросистемы строительных машин (СРЗ, РМЗ) |
Станок для притирки сферических поверхностей при ремонте гидравлических насосов и моторов | УМ-5 Главленинградстроя | Стационарный. Габаритные размеры 1700 x 990 x 1360 мм. Масса 550 кг | Притирка сферических поверхностей блока цилиндров сдвоенных гидронасосов и гидромоторов с распределителем (СРЗ, РМЗ) |
Станок для притирки сферических поверхностей при ремонте гидравлических насосов и моторов | УМ-5 Главленинградстроя | Стационарный. Габаритные размеры 650 x 1000 x 1000 мм. Масса 300 кг | Восстановление работоспособности распределителей гидронасосов типа 223.20, 223.25 и гидромоторов типа 210.20, 210.25 и 217.32 (СРЗ, РМЗ) |
Универсальный стенд для ремонта блоков двигателей | НГВ-00-00. Проектный институт N 3 | Стационарный. Мощность 1,1 кВт. Габаритные размеры 760 x 760 x 925 мм | Поворот в вертикальной плоскости при ремонте блоков двигателей СМД-14, А-01М, Д-108, Д-160, ЯМЗ-236, ЯМЗ-238 (СРЗ, РМЗ) |
Универсальный стенд для разборки и сборки головок блоков двигателей | НГГ-00-00-00. Проектный институт N 3 | Стационарный, с ручным приводом. Габаритные размеры 1846 x 600 x 1065 мм. Масса 150 кг | Поворот в вертикальной плоскости головок блоков двигателей СМД-14, А-01М, Д-108, Д-160, ЯМЗ-236, ЯМЗ-238 (СРЗ, РМЗ, БМС, БМП) |
Эстакада для сборки двигателей | НГЕ-00-00-00. Проектный институт N 3 | Стационарная. Многопозиционная. Мощность 1,5 кВт. Габаритные размеры 21855 x 1378 x 1650 мм. Масса 4487 кг | Ремонт двигателей СМД-14, А-01М, ЯМЗ-236, ЯМЗ-238 (СРЗ, РМЗ, БМС, БМП) |
Универсальный аппарат для индукционного нагрева деталей | НБМ-00-00-00. Проектный институт N 3 | Передвижной. Габаритные размеры 835 x 500 x 1300 мм. Масса 158 кг. Внутренние диаметры деталей 35 - 150 мм | Нагрев различных деталей строительных машин перед напрессовкой (СРЗ, РМЗ) |
Масляная ванна для нагрева деталей | НБВ-00-00-00. Проектный институт N 3 | Стационарная с электронагревателем. Габаритные размеры 630 x 630 x 870 мм. Масса 158 кг | Нагрев деталей перед напрессовкой с обеспечением режима нагрева (РМЗ, БМЗ, БМС, БМП) |
Станок для шлифовки сферической поверхности распределителей | УМ-70 треста N 15 "Спецстрой" Минпромстроя БССР | Габаритные размеры 600 x 420 x 1530 мм. Масса 210 кг | Шлифовка сферической поверхности максимально-поршневых гидромашин (СРЗ, РМЗ) |
--------------------------------
<2> РМЗ - ремонтно-механический завод; СРЗ - специализированный ремонтный завод. БМЗ - эксплуатационная база для землеройных машин, БМС - эксплуатационная база для смешанного парка строительных машин.
<3> Калькодержателем разработок Проектного института N 3 является Киевский филиал ЦИТП.
<4> БМБ - эксплуатационная база для башенных кранов.
<5> БМП - эксплуатационная база для подъемно-транспортных машин.
РЕКОМЕНДУЕМЫЕ ВЕЛИЧИНЫ ПЕРИОДИЧНОСТЕЙ ЗАМЕН И ТРУДОЗАТРАТ
ПРИ РЕМОНТЕ СТРОИТЕЛЬНЫХ МАШИН АГРЕГАТНЫМ МЕТОДОМ
Наименование машины | Тип (марка) машин | Вид ремонта | Периодичность выполнения ремонтов, мото-ч. | Продолжительность демонтажно-монтажных работ, рабочие дни | Трудоемкость демонтажно-монтажных работ, чел.-ч. | Продолжительность ремонта комплектов сборочных единиц на ремонтных предприятиях, дни |
Экскаваторы одноковшовые | Э-652А (ЭО-4111А) Э-652Б (ЭО-4111Б) | Р-1 | 1920 | 6 | 200 | 10 |
Р-2 | 3840 | 9 | 300 | 12 |
Р-3 | 7680 | 9 | 300 | 15 |
Э-10011 (ЭО-5111) Э-10011А.Д (ЭО-5111А.Д) | Р-1 | 2160 | 7 | 250 | 10 |
Р-2 | 4320 | 10 | 350 | 12 |
Р-3 | 8640 | 10 | 350 | 15 |
Э-1252Б (ЭО-6112Б) Э-1252БС (ЭО-6112БС) | Р-1 | 2400 | 7 | 250 | 10 |
Р-2 | 4800 | 10 | 350 | 12 |
Р-3 | 9600 | 10 | 350 | 15 |
Экскаваторы одноковшовые | Э-5015 (ЭО-4122) Э-5015А (ЭО-4122А) | Р-1 | 1920 | 7 | 250 | 9 |
Р-2 | 3840 | 10 | 350 | 14 |
Р-3 | 7680 | 10 | 350 | 19 |
ЭО-3322 | Р-1 | 1920 | 3 | 100 | 8 |
Р-2 | 3840 | 8 | 250 | 10 |
Р-3 | 7680 | 8 | 250 | 12 |
ЭО-4121 ЭО-4121А | Р-1 | 2160 | 6 | 250 | 9 |
Р-2 | 4320 | 8 | 350 | 14 |
Р-3 | 8640 | 8 | 350 | 19 |
То же | ЭО-5122 | Р-1 | 2500 | 6 | 250 | 10 |
Р-2 | 5000 | 10 | 350 | 14 |
Р-3 | 10000 | 10 | 350 | 19 |
Бульдозеры на базе тракторов Т-100М, Т-100МЗ | Д-686 (ДЗ-53) Д-492А (ДЗ-17) | Р-1 | 1440 | 1 | 40 | 5 |
Р-2 | 2880 | 4 | 110 | 7 |
Р-3 | 5760 | 5 | 220 | 9 |
Бульдозеры на базе тракторов Т-100МГП, Т-100МЗГП | Д-686 (ДЗ-54) Д-493А (ДЗ-18) | Р-1 | 1440 | 1 | 40 | 5 |
Р-2 | 2880 | 4 | 110 | 7 |
Р-3 | 5760 | 5 | 220 | 9 |
Бульдозеры на базе трактора Т-130 | ДЗ-27 | Р-1 | 1440 | 1 | 40 | 5 |
Р-2 | 2880 | 4 | 120 | 7 |
Р-3 | 5760 | 5 | 230 | 9 |
Скреперы самоходные | Д-357П Д-357М | Р-1 | 1440 | 5 | 100 | 6 |
Р-2 | 2880 | 7 | 150 | 8 |
Автогрейдеры | Д-557 Д-557А (ДЗ-31-1) | Р-1 | 3360 | 4 | 150 | 6 |
Р-2 | 6720 | 6 | 225 | 8 |
Трубоукладчики | ТО-1224 Т-1530 | Р-1 | 1440 | 1 | 60 | 4 |
Р-2 | 2880 | 4 | 240 | 6 |
Р-3 | 5760 | 5 | 380 | 10 |
Трубоукладчики | Т-3560 | Р-1 | 1440 | 1 | 70 | 4 |
Р-2 | 2880 | 4 | 290 | 8 |
Р-3 | 5760 | 5 | 580 | 10 |
Экскаватор траншейный роторный | ЭТР-231 | Р-1 | 1440 | 1 | 250 | 10 |
Р-2 | 2880 | 4 | 570 | 12 |
Р-3 | 5760 | 5 | 960 | 15 |
Буровая машина | БМ-276 | Р-1 | 1440 | 1 | 65 | 7 |
Р-2 | 2880 | 4 | 170 | 9 |
Р-3 | 5760 | 5 | 280 | 10 |
Компрессоры | ДК-9М КС-9 | Р-1 | 2400 | 2 | 20 | 6 |
Р-2 | 7200 | 4 | 50 | 8 |
Примечания:
1. Периодичность проведения ремонтов приведена в мото-часах и определяется по показателям счетчиков учета работы.
При отсутствии счетчиков наработка определяется по данным учета сменного времени, скорректированного с помощью коэффициента внутрисменного использования.
2. Продолжительность демонтажно-монтажных работ указана в рабочих днях при односменной работе.
| | ИС МЕГАНОРМ: примечание. В официальном тексте документа, видимо, допущена опечатка: графа 8 отсутствует. | |
3. Данные
гр. 6 и 8 определены по оперативной продолжительности демонтажно-монтажных работ и ремонта сборочной единицы, имеющей указанные показатели максимальными.
СБОРОЧНЫХ ЕДИНИЦ СТРОИТЕЛЬНЫХ МАШИН,
ЗАМЕНЯЕМЫХ ПРИ АГРЕГАТНОМ МЕТОДЕ РЕМОНТА
Наименование сборочных единиц | Индексация сборочных единиц различных модификаций строительных машин | Количество на машину |
ЭКСКАВАТОРЫ ОДНОКОВШОВЫЕ |
| Э-652А (ЭО-4111А) | Э-652Б (ЭО-4111Б) | |
Ремонт Р-1 (через 1920 мото-ч) <*> |
Двигатель с приводом и главной муфтой | 652А-472 | 652А-470 | 1 |
Вал горизонтальный реверсивного механизма | 652-032 | 652Б-036 | 1 |
Колесо ведущее | 652-112 | 652-21-08-000 (652Б-321 левое) (652-322 правое) | 2 |
" натяжное | 652-113 | 652-21-05-000 (652-113) | 2 |
" опорное | 652-114 | 652-21-09-000 (652-114) | 10 |
Ролик поддерживающий | 652-115 | 652-115 | 4 |
Оборудование драглайна | | | |
Наводка драглайна | 652-210 | 652-210 | 1 |
Ковш драглайна с подвешиванием вместимостью 0,8 м3 | 758-220 (2476-000-00) | 758-220 (2476-000-00) | 1 |
Оборудование прямой лопаты | | | |
Ковш 0,65 м3 с блоком ковша | 652-191 (1342-0100) | 652-191 (1342-010-00) | 1 |
Оборудование обратной лопаты | | | |
Ковш обратной лопаты 0,65 м3 с блоком ковша в сборе | 652-306 | 652-306 | |
Ремонт Р-2 (через 3840 мото-ч) |
Двигатель с приводом и главной муфтой | 652-472 | 652-470 | 1 |
Установка компрессора | 304-157 | 304-157 | 1 |
Тележка ходовая (без гусениц) | 652-100 | 652В-21-00-000 | 1 |
Ход гусеничный (без гусениц) в сборе с рамой ходовой | - | - | 1 |
Ролик обратный | 652-092 | - | 3 |
Вал горизонтальный реверсивного механизма | 652-032 | 652Б-036 | 1 |
Лебедка главная | 652-050 | 652-050 | 1 |
Тормоз главной лебедки | 652-054 | 652-054 | 2 |
Реверс главной лебедки | 652-040 | 652-040 | 1 |
Оборудование драглайна | | | |
Наводка драглайна | 652-210 | 652-210 | 1 |
Ковш драглайна с подвешиванием емкостью 0,8 м3 | 758-220 | 758-220 | 1 |
Оборудование прямой лопаты | | | |
Ковш вместимостью 0,65 м3 с блоком ковша | 652-191 (1342-010-00) | 652-191 (1342-010-00) | 1 |
Комбинированный напорный барабан | 652-172 | - | 1 |
Барабан напорный комбинированный в сборе | - | 652-172 | |
Вал седловой в сборе | 652-171 | 652-171 | 1 |
Оборудование обратной лопаты | | | |
Ковш вместимостью 0,65 м3 с блоком ковша в сборе | 652-306 | 652-306 | 1 |
Ремонт Р-3 (через 7680 мото-ч) |
Двигатель с приводом и главной муфтой | 652А-472 | 652-470 | 1 |
Радиатор в сборе | 652-081111 | 652-081428 | 1 |
Тележка ходовая | 652-100 | - | 1 |
Ход гусеничный в сборе с рамой ходовой | - | 652В-21-00-000 | 1 |
Лебедка главная | 652-050 | 652-050 | 1 |
Реверс главной лебедки | 652-040 | 652-040 | 1 |
Тормоз главной " | 652-054 | 652-054 | 2 |
Платформа поворотная в сборе | 652-360 | 652-940 (652Б-360) | 1 |
Кольцо опорное | 652-093 | - | 1 |
Стойка двуногая | 652-380 | 652Б-380 | 1 |
Кабина щитосборная с электрооборудованием | 1614А (0182/1) | 652-720 (0182/1) | 1 |
Оборудование драглайна | | | |
Стрела решетчатая | 652-200 | 652А-200 | 1 |
Наводка драглайна | 652-210 | 652-210 | 1 |
Ковш драглайна с подвешиванием вместимостью 0,8 м3 | 758-220 (2476-000-00) | 758-220 (2476-000-00) | 1 |
Полиспаст | 652А-290 | 652А-290 | 1 |
Оборудование прямой лопаты | | | |
Стрела | 652-180 | 652Б-620 | 1 |
Ковш вместимостью 0,65 м3 с рукоятью | 652-190 | 652-190 | 1 |
Комбинированный барабан | 652-172 | - | 1 |
Барабан напорный комбинированный в сборе | - | 652-172 | 1 |
Оборудование обратной лопаты | | | |
Стрела | 652-610 | 652Б-610 | 1 |
Ковш вместимостью 0,65 м3 с рукоятью | 652А-300 | 652А-300 | 1 |
Стойка передняя | 652Б-330 | 652В-60-00-000 | 1 |
ЭКСКАВАТОРЫ ОДНОКОВШОВЫЕ |
| Э-10011А (ЭО-5112А) | Э-10011Д (ЭО-5112Д) Э-10011Е (ЭО-5112Е) | |
Ремонт Р-1 (через 2160 мото-ч) |
Двигатель (без радиаторов) | 14 сб. 7 | 14 сб. 7 | 1 |
Колесо ведущее левое | Э-10011А-0105А-0 | Э-10011А-0105А-0 (Э-10011Е-0105-0) | 1 |
" ведущее правое | Э-10011А-0104А-0 | Э-10011А-0104А-0 (Э-10011Е-0104-0) | 1 1 |
" направляющее | Э-10011А-0106Б-0 | Э-10011А-0106Б-0 | 2 |
Ролик опорный | Э-10011А-0107-0 | Э-10011Д-0107-0 (Э-10011Е-0107Б-0) | 12 16 |
Ролик поддерживающий | - | - | 2 |
" опорно-поворотный регулируемый | Э-10011-0205-0 | - | 1 |
" опорно-поворотный нерегулируемый | Э-10011-206-0 | - | 3 |
Оборудование драглайна | | | |
Ковш драглайна с подвешиванием | Э-10011А-1810-0 | Э-10011А-1810-0 | 1 |
Наводка драглайна | Э-10011А-1802-0 (Э-10011А-1802А-0) | Э-10011А-1802-0 | 1 |
Оборудование прямой лопаты | | | |
Ковш прямой лопаты с блоком ковша | Э-10011А-1705-0 | Э-10011А-1705-0 | 1 |
Ремонт Р-2 (через 4320 мото-ч) |
Двигатель (без радиаторов) | 14 сб. 7 | 14 сб. 7 | 1 |
Радиаторы водяной и масляный в сборе | 081111 | 081111 | 1 |
Установка гидротрансформатора | Э-10011А-0500А-0 | Э-10011Д-0500А-0 | 1 |
Установка компрессора | Э-10011А-1300-0 | Э-10011А-1300-0 | 1 |
Ролик опорно-поворотный регулируемый | Э-10011-0205-0 | - | 1 |
" опорно-поворотный нерегулируемый | Э-10011-0206-0 | Э-10011Д-0100-0 | 3 |
Ход гусеничный (без гусениц) | - | - | |
Тележка на гусеничном ходу (без гусениц) | Э-10011А-0100-0 | - | 1 |
Вал промежуточный | Э-10011-0506А-0 (Э-10011А-0506-0) | Э-100АД-0506-0 (Э-10011Д-0506А-0) | 1 |
" передний | Э-10011А-0601-0 | Э-10011А-0601-0 (Э-10011Е-0601-0) | 1 |
" задний | Э-10011А-0602-0 | Э-10011-0602-0 (Э-10011Е-0602-0) | 1 |
" реверса | Э-10011А-0700-0 (Э-10011А-0701-0) | Э-10011А-0701А-0 | 1 |
Тормоз подъемного барабана | Э-10011А-0607-0 | Э-10011А-0607-0 (Э-10011-0607-0) | 1 |
" стрелоподъемного барабана | Э-10011А-0608-0 | Э-10011А-0608-0 (Э-10011Д-0608-0) | 1 |
" напорного барабана | Э-10011А-0606-0 | Э-10011А-0606-0 (Э-10011Д-0606-0) | 1 |
" трансмиссии | Э-10011-0502А-0 | Э-10011Д-0502-0 | 1 |
" реверса | Э-10011А-0702-0 | Э-10011А-0702Б-0 | 1 |
Оборудование драглайна | | | |
Ковш драглайна с подвешиванием | Э-10011А-1810-0 | Э-10011А-1810-0 | 1 |
Наводка драглайна | Э-10011А-1802-0 (Э-10011А-1802А-0) | Э-10011А-1802-0 | 1 |
Оборудование прямой лопаты | | | |
Ковш прямой лопаты с блоком ковша | Э-10011А-1705-0 | Э-10011А-1705-0 | 1 |
Механизм напорный прямой лопаты | Э-10011А-1707-0 | Э-10011А-1707-0 | 1 |
Ремонт Р-3 (через 8640 мото-ч) |
Тележка на гусеничном ходу | Э-10011А-0100-0 | - | 1 |
Ход гусеничный | - | Э-10011Д-0100-0 | 1 |
Рама поворотная в сборе | Э-10011А-0200-0 | Э-10011Д-0200-0 | 1 |
Кабина | Э-10011А-1500-0 | Э-10011Д-1500-0 | 1 |
Оборудование драглайна | | | |
Ковш драглайна с подвешиванием | Э-10011А-1810-0 | Э-10011А-1810-0 | 1 |
Наводка драглайна | Э-10011А-1802-0 (Э-10011А-1802А-0) | Э-10011А-1802-0 | 1 |
Стрела решетчатая | Э-10011А-2100-0 | Э-10011А-2100-0 (Э-10011Е-2100-0) | 1 |
Рукоять с ковшом с блоком | Э-10011А-1703-0 | Э-10011А-1703-0 (Э-10011Е-1703Б-0) | 1 |
Стрела | Э-10011А-1701-0 | Э-10011Д-1701-0 | 1 |
ЭКСКАВАТОРЫ ОДНОКОВШОВЫЕ Э-1252Б (ЭО-6112Б) |
Ремонт Р-1 (через 2400 мото-ч) |
Двигатель с муфтой сцепления | 111В-1 БД | - | 1 |
Колесо ведущее в сборе | 101-1А-2А | - | 2 |
Колесо ведомое " (левое) | 101-1А-13А | - | 1 |
" ведомое правое " | 101-1А-13 Ап | - | 1 |
Ролик нижний в сборе | 101-1А-19А | - | 12 |
" верхний " | 101-1А-29А | - | 4 |
" обратный " | 102-1-10А | - | 4 |
Вал горизонтальный главной трансмиссии | 106-1А | - | 1 |
Оборудование драглайна | | | |
Наводка драглайна | 115-5В | - | 1 |
Ковш прямой лопаты вместимостью 1,25 м3 с блоком ковша в сборе | 115-16А | - | 1 |
Оборудование прямой лопаты | | | |
Ковш драглайна вместимостью 1,5 м3 с подвешиванием | 113Б-5 (113В-5) | - | 1 |
Ремонт Р-2 (через 4800 мото-ч) |
Двигатель с муфтой сцепления | 111-1ВД | - | 1 |
Радиаторы в сборе | 04.13.000.21 (238-1601090В) | - | 1 |
Тележка гусеничная (без гусениц) | 101-1В (101-5) | - | 1 |
Ролик обратный в сборе | 102-1-10А | - | 4 |
Вал вертикальный поворотного механизма | 103-1Б | - | 1 |
Редуктор | 105-1Б | - | 1 |
Вал горизонтальный главной трансмиссии | 106-1А | - | 1 |
Лебедка главная | 107-1А | - | 1 |
Пульт гидроуправления | 109В-50 | - | 1 |
Оборудование драглайна | | | |
Наводка драглайна | 115-1В | - | 1 |
Ковш драглайна вместимостью 1,5 м3 с подвешиванием | 115-16А | - | 1 |
Оборудование прямой лопаты | | | |
Станция промежуточная с натяжным устройством | 113Б-2 | - | 1 |
Механизм напорный | 113Д-3 | - | 1 |
Ковш прямой лопаты вместимостью 1,25 м3 с блоком ковша в сборе | 113Б-5 (113В-5) | - | 1 |
Ремонт Р-3 (через 9600 мото-ч) |
Двигатель с муфтой сцепления | 111-1БД | - | 1 |
Радиаторы в сборе | 04.13.000.2.1 (238-1601090В) | - | 1 |
Тележка гусеничная | 101-1В | - | 1 |
Круг роликовый опорный | 101-3Б | - | 1 |
Платформа поворотная в сборе | 102-1В | - | 1 |
Стойка двуногая | 102-3 | - | 1 |
Лебедка главная | 107-1А | - | 1 |
Гидроаккумулятор | 109-6А | - | 1 |
Кабина | 0182/4 | - | |
Оборудование драглайна | | | |
Стрела решетчатая | 124-1А | - | 1 |
Наводка драглайна | 115-5В | - | 1 |
Ковш драглайна вместимостью 1,5 м3 с подвешиванием | 115-6А | - | 1 |
Оборудование прямой лопаты | | | |
Стрела прямой лопаты | 113Д-1 | - | 1 |
Рукоять с ковшом | 113Д-1 | - | 1 |
ЭКСКАВАТОРЫ ОДНОКОВШОВЫЕ ЭО-3322А |
Ремонт Р-1 (через 1920 мото-ч) |
Автокомпрессор | 500-3509015-61 | - | 1 |
Двигатель | СМД-14 | - | 1 |
Ковш вместимостью 0,5 м3 | ЭО-3322.34.00.000 | - | 1 |
Ремонт Р-2 (через 3840 мото-ч) |
Двигатель с насосом сдвоенным в сборе | СМД-14/223.25.01.00 | - | 1 |
Гидромотор механизма поворота | 210.25.13.20 | - | 1 |
Цилиндр сдвоенный с одним штоком | Э-302Б.1.6102.001 (Э-302Е.1.61.02.001) | - | 1 |
Распределитель | Р25.160-20.01.05.01.30-1 | - | 1 |
Распределитель | Р32.160-20.05.2.05.01.102-05-30 | - | 1 |
Гидроцилиндр ковша | 2.2.140 x 800 (У4560.097.800) | - | 1 (1) |
" рукояти | 2.2.140 x 1250 (У4560.097.000) | - | 1 (1) |
" подъема стрелы | 2.2.125 x 1000 (У4560.087.000) | - | 2 (2) |
" выносных опор | 2.2.125 x 1000 (У4560.087.000) | - | 1 (1) |
Мост передний в сборе | Э-302Б-3-5200.000 (Э02Е-3-5200.000) | - | 1 (1) |
Мост задний в сборе | Э-302Б-3-5100-000 | - | 1 |
Ковш вместимостью 0,5 м3 с рукоятью и гидроцилиндром ковша в сборе | ЭО-3322.26.00.000 | - | 1 |
Гидромотор хода | 210.32.13.30 | - | 1 |
Ремонт Р-3 (через 7680 мото-ч) |
Установка силовая | ЭО-3322А.02Б.00.000 | - | 1 |
Платформа поворотная с кабиной в сборе | ЭО-3322А.01.00.000 | - | 1 |
Рама пневмоколесного хода с передним и задним мостами в сборе | ЭО-3322А.61.00.000 | - | 1 |
Стрела в сборе и гидроцилиндр рукояти | ЭО-3322.25.01.000 | - | 1 |
Гидроцилиндр подъема стрелы | 2.2.125 x 1000 У4560.007.000 | - | 1 |
Ковш вместимостью 0,5 м3 с рукоятью и гидроцилиндром ковша в сборе | ЭО-3322.26.00.000 | - | 1 |
ЭКСКАВАТОРЫ ОДНОКОВШОВЫЕ Э-5015А (ЭО-4122А) |
Ремонт Р-1 (через 1920 мото-ч) |
Ковш обратной лопаты | 02.03.02.000 | - | 1 |
Двигатель | СМД-14 | - | 1 |
Каток поддерживающий | 02.07.06.000 | - | 4 |
Натяжное устройство | 02.07.05.000 | - | 2 |
Каток опорный | 02.07.07.000 | - | 12 |
Ремонт Р-2 (через 3840 мото-ч) |
Ковш обратной лопаты | 02.03.02.000 | - | 1 |
Цилиндр стрелы левый | 09.35.00.000 | - | 1 |
" стрелы правый | 09.36.00.000 | - | 1 |
" рукояти | 09.37.00.000 | - | 1 |
" ковша обратной лопаты | 09.38.00.000 | - | 1 |
Двигатель с гидронасосом сдвоенным | СМД-14/283.20.02 | - | 1 |
Гидромотор поворота платформы | 09.15.00.000 | - | 1 |
Блок распределительный | 09.16.00.000 | - | 1 |
" " | 09.17.00.000 | - | 1 |
" " | 09.18.00.000 | - | 1 |
Передача бортовая левая | 09.07.02.000 | - | 1 |
" " правая | 09.07.03.000 | - | 1 |
Каток поддерживающий | 02.07.08.000 | - | 4 |
Натяжное устройство | 02.07.05.000 | - | 2 |
Каток опорный | 02.07.07.000 | - | 12 |
Гидромотор хода | 210.32.13.20 | - | 2 |
Ремонт Р-3 (через 7680 мото-ч) |
Тележка ходовая | 09.07.00.000 | - | 1 |
Платформа поворотная с установкой двигателя, кабиной и капотами | 09.09.00.000 | - | 1 |
Ковш обратной лопаты с с рукоятью и цилиндром ковша | 02.02.00.000 | - | 1 |
Цилиндр рукояти | 09.37.00.000 | - | 1 |
" стрелы левый | 09.35.00.000 | - | 1 |
" " правый | 09.36.00.000 | - | 1 |
Стрела | 02.01.00.000 | - | 1 |
ЭКСКАВАТОРЫ ОДНОКОВШОВЫЕ ЭО-4121, ЭО-4121А |
Ремонт Р-1 (через 2160 мото-ч) |
Двигатель | А-01М | - | 1 |
Колесо натяжное в сборе | 4121.16.04.000 | - | 2 |
Каток опорный (с бронзовыми втулками) | 4121.16.05.000 | - | 14 |
Ковш обратной лопаты 1 м3 (ковш прямой лопаты 1 м3) | (4121.53.00.000) 4121.57.00.000 | - | (1) |
Ремонт Р-2 (через 4320 мото-ч) |
Двигатель с насосом сдвоенным | А01М.223.25 | - | 1 |
Гидромотор механизма поворота | 210.25.13.21 | - | 1 |
Тележка | 4121.16.00.000 | - | 1 |
Распределитель 3-секционный | У4960-02.000-2 (4121А.25.00.000) | - - | 1 |
" 4-секционный | У4960-03.000-2 (4121А.25.00.000) | - | 1 |
Гидроцилиндр рукояти | 4121.23.00.000 | - | 1 |
" стрелы | 4121.23.10.000 | - | 2 |
" ковша | 4121.23.20.000 | - | 1 |
Ковш обратной лопаты 1 м3 (ковш прямой лопаты 1 м3) | 4121.57.00.000 (4121.53.00.000) | - | 1 (1) |
Ремонт Р-3 (через 8640 мото-ч) |
Платформа поворотная с силовой установкой кабины, капотом | 4121.13.00.000 | - | 1 |
Тележка | 4121.16.00.000 | - | 1 |
Оборудование обратной лопаты | | | |
Гидроцилиндр рукояти | 4121.23.00.000 | - | 1 |
" стрелы | 4121.23.10.000 | - | 2 |
Ковш обратной лопаты 1 м3 с рукоятью и гидроцилиндром ковша | 4121.30.00.000 (4121А.48.00.000) | - | 1 |
Стрела промежуточная | 4121.29.00.000 | - | 1 |
Стрела | 4121.28.00.000 | - | 1 |
Оборудование прямой лопаты | | | |
Ковш прямой лопаты 1 м3 со стрелой промежуточной | 4121.29.00.000 | - | 1 |
Стрела | 4121.28.00.000 пр | - | 1 |
Гидроцилиндр рукояти | 4121.23.00.000 | - | 1 |
" стрелы | 4121.23.10.000 | - | 2 |
ЭКСКАВАТОРЫ ОДНОКОВШОВЫЕ ЭО-5122 |
Ремонт Р-1 (через 2500 мото-ч) |
Ковш обратной лопаты | 5122.13.25.000 | - | 1 |
Двигатель дизельный | ЯМЗ-2381 | - | 1 |
Колесо направляющее | 5122.01.10.100 | - | 2 |
Каток опорный | 5122.01.13.000-1 | - | 12 |
Ремонт Р-2 (через 5000 мото-ч) |
Ковш обратной лопаты | 5122.13.25.000 | - | 1 |
Рукоять обратной лопаты | 5122.13.26.000 | - | 1 |
Гидроцилиндр рукояти | 5122.13.00.000-1 | - | 3 |
" стрелы | 5122.06.05.000-1 | - | 2 |
Гидроаппарат гидроцилиндров | 5122.06.09.000-2 | - | 1 |
" регулирующий | 5122.09.06.000-2 | - | 1 |
" гидромоторов | 5122.09.11.000-1 | - | 1 |
Установка дизеля и насосов | 5122.11.20.000-3 | - | 1 |
Тележка гусеничная (без гусеничных лент) | 5122.01.00.000-1 | - | 1 |
Гидромотор механизма поворота | 210.25.13.21 | - | 1 |
Ремонт Р-3 (через 10000 мото-ч) |
Ковш обратной лопаты | 5122.13.25.000 | - | 1 |
Рукоять обратной лопаты | 5122.13.26.000 | - | 1 |
Установка стрелы | 5122.06.00-2 | - | 1 |
Гидроцилиндр | 5122.13.00.000-1 | - | 2 |
" стрелы | 5122.06.05.000-1 | - | 2 |
Платформа поворотная с установкой дизеля, кабиной и капотами в сборе | 5122.02.00.000-5 | - | 1 |
Тележка гусеничная | 5122.01.00.000-1 | - | 1 |
БУЛЬДОЗЕРЫ |
| Д-686 (ДЗ-53) | Д-492А (ДЗ-17) | |
Ремонт Р-1 (через 1440 мото-ч) |
Каток однобортный | 21440-1 | 21440-1 | 6 |
" двубортный | 21445-1 | 21445-1 | 4 |
Лезвие ножа | Д-610-0101-01 | Д-492А-0400-01 | компл. |
Ремонт Р-2 (через 2880 мото-ч) |
Двигатель | 14 сб. 7 | 14 сб. 7 | 1 |
Муфта сцепления в сборе | 14360-1 (18-14 сб. 4) | 14360-1 (18-14 сб. 4) | 1 |
Тележка правая " " | 21601 (21-21-5 сб.) | 21601 (21-21-5 сб.) | 1 |
" левая " " | 21602 (21-21-6 сб.) | 21602 (21-21-6 сб.) | 1 |
Лента гусеничная | 22210 | 22210 | 2 |
Лебедка Д-499Б | Д-499Б-00-00 | Д-499Б-00-00 | 1 |
Лезвие ножа | Д-610-0101-01 | Д-492А-0400-0 | компл. |
Ремонт Р-3 (через 5760 мото-ч) |
Двигатель | 14 сб. 7 | 14 сб. 7 | 1 |
Муфта сцепления | 14360-1 (18-14 сб. 4) | 14360-1 (18-14 сб. 4) | 1 |
Радиаторы в сборе | 081111 | 081111 | 1 |
Тележка правая " " | 21601 (21-21-5) | 21601 (21-21-5) | 1 |
" левая " " | 21602 (21-21-6 сб.) | 21602 (21-21-6 сб.) | 1 |
Лента гусеничная | 22210 | 22210 | 2 |
Трансмиссия (задний мост) в сборе | 9991 (21 сб. 116) | 9991 (21 сб. 116) | 1 |
Рессора балансирная " " | 20301 | 20301 | 1 |
Кабина с капотом " " | 59240/551060 | 59240/551060 | компл. |
Механизм управления муфтой сцепления | 15200 | 15200 | 1 |
Стойка передняя в сборе | Д-686-05-000 | Д-686-05-000 | 1 |
Отвал " " | Д-687С-02-000 | Д-492А-0400-000 | 1 |
Брус толкающий | Д-687С-05/06-000 | - | 1 |
Обойма подвижная | Д-686-06-000 | Д-686-06-000 | 1 |
Лебедка Д-499Б | Д-499Б-00-000 | Д-499Б-00-000 | 1 |
БУЛЬДОЗЕРЫ |
| Д-687 (ДЗ-54) | Д-493 (ДЗ-18) | |
Ремонт Р-1 (через 1440 мото-ч) |
Каток однобортный | 21440-1 | 21440-1 | 6 |
" двубортный | 21445-1 | 21445-1 | 4 |
Лезвие ножа | Д-610-0101-01 | Д-492А-0400-01 | компл. |
Ремонт Р-2 (через 2880 мото-ч) |
Двигатель | 14 сб. 7 | 14 сб. 7 | 1 |
Муфта сцепления | 18-14 сб. 4 | 18-14 сб. 4 | 1 |
Тележка правая в сборе | 211169-1 (37-21 сб. 117) | - | 1 |
" левая " " | 211170-1 (37-21 сб. 118) | 211170-1 (37-21 сб. 118) | 1 |
Лента гусеничная | 22314 | 22314 | 2 |
Редуктор с насосами в сборе | 26810 | 26810 | 1 |
Распределитель в сборе | 261600 (Р-50-13-20-000) | | 1 |
Цилиндр " " | 26870 | 26870 | 2 |
Лезвие ножа | Д-610-0101-01 | Д-492А-0400-01 | компл. |
Ремонт Р-3 (через 5760 мото-ч) |
Двигатель | 14 сб. 7 | 14 сб. 7 | 1 |
Муфта сцепления | 18-14 сб. 4 | 18-14 сб. 4 | 1 |
Механизм управления муфтой сцепления | 21-13 сб. 1 | 21-13 сб. 1 | 1 |
Радиаторы в сборе | 081111 | 081111 | 1 |
Тележка правая в сборе | 211169-1 (37-21 сб. 117) | 211169-1 (37-21 сб. 117) | 1 |
" левая " " | 211170-1 (37-21 сб. 118) | 211170-1 (37-21 сб. 118) | 1 |
Лента гусеничная | 22314 | 22314 | 2 |
Трансмиссия (задний мост) в сборе | 99163 (37 сб. 112) | | 1 |
Рессора балансирная в сборе | 20773 | 20773 | 1 |
Кабина с капотом " " | 59240/55910 | 59240/55910 | 1 |
Редуктор с насосами " " | 26810 | 26810 | 1 |
Распределитель " " | 261600 (Р150-13-20-000) | 261600 (Р150-13-20-000) | 1 |
Цилиндр в сборе | 26870 | 26870 | 2 |
Отвал " " | Д-687С-02-000 | Д-492А-0400-00 | 1 |
Брус толкающий | Д-687-05/06-000 | - | 1 |
Универсальная толкающая рама | - | Д-493А-0100-00 | 1 |
БУЛЬДОЗЕР ДЗ-27 |
Ремонт Р-1 (через 1440 мото-ч) |
Ножи | Д-610-0101-01 | - | компл. |
Каток однобортный | 24-21-169 сб. | - | 6 |
" двубортный | 24-21-170 сб. | - | 4 |
Ремонт Р-2 (через 2880 мото-ч) |
Ножи | Д-610-0101-01 | - | компл. |
Двигатель Д-160 | 16-сб. 20 | - | 1 |
Муфта сцепления в сборе | 18-14 сб. 4 | - | 1 |
Тележка левая в сборе | 24-21 сб. 111 | - | 1 |
" правая " " | 24-21 сб. 112 | - | 1 |
Гусеница " " | 24-22 сб. 1 | - | 2 |
Цилиндр " " | 18-26 сб. 270 | - | 2 |
Ремонт Р-3 (через 5760 мото-ч) |
Отвал с толкающими брусьями | Д-27С.01.000 сб. | - | 1 |
Двигатель Д-160 | 16 сб. 20 | - | 1 |
Радиаторы в сборе | 24-304 сб. | - | 1 |
Муфта сцепления в сборе | 18-14 сб. 4 | - | 1 |
Трансмиссия " " | 18 сб. 125 | - | 1 |
Тележка правая " " | 24-21 сб. 112 | - | 1 |
" левая " " | 24-21 сб. 111 | - | 1 |
Гусеница в сборе | 24-22 сб. 1 | - | 2 |
Кабина и капот | 24-59-5 сб. (18-55 сб. 11) | - | 1 |
Распределитель в сборе | 702.46.11.0001 | - | 1 |
Цилиндр " | 18-26 сб. 270 | - | 2 |
Топливный бак | 24-25 сб. 124 | - | 1 |
СКРЕПЕР САМОХОДНЫЙ МАЗ-529Е-Д-357М |
Ремонт Р-1 (через 1440 мото-ч) |
Двигатель ЯАЗ-206К | МТ-529Е-1000006 | - | 1 |
Коробка перемены передач | 529Е-1700005 | - | 1 |
Вал карданный ведущего моста | 529А-2201010-Б | - | 1 |
Вал карданный промежуточный | 5291-2202010 | - | 1 |
Насос рулевого управления | 529Е-3406010 | - | 1 |
Система пневмоприводов | МТ-529А-3500003 | - | 1 |
Вал карданный редуктора насосов | 850-4611210 | - | 1 |
Пневмосистема тормозов скрепера | Д3571-3500003-Б | - | 1 |
Гидравлический распределитель | Д357М-4612010 | - | 1 |
Гидроцилиндр скрепера | Д-3571-4614010 | - | 2 |
Ремонт Р-2 (через 2880 мото-ч) |
Двигатель ЯАЗ-206К | МТ-529Е-1000006 | - | 1 |
Установка водяного радиатора | МТ-528В-1300005-Б | - | 1 |
Коробка передач | 529Е-17000000 | - | 1 |
Вал карданный ведущего моста | 529А-2201010-Б | - | 1 |
Вал карданный промежуточный | 5291-2202010 | - | 1 |
Ведущий мост | МТ-529А-2400010-В1 | - | 1 |
Установка седельно-сцепного устройства | 529-2700001 | - | 1 |
Установка рулевого управления | 529А-3400001-В | - | 1 |
Система пневмопроводов | МТ-529А-3500003 | - | 1 |
" электрооборудо- вания тягача | МТ-529В-3700002-Б | - | 1 |
Рама в сборе (скрепера) | 529Е-4241010 | - | 1 |
Пневмосистема тормоза скрепера | Д-3571-3500003-Б | - | 1 |
Система электрооборудования скрепера | МТ-Д357М-3700002 | - | 1 |
Установка гидравлического замка | Д-3571-4600011 | - | 1 |
Редуктор с насосами в сборе | Д-3571-4611010 | - | 1 |
Гидравлический распределитель | Д-3571-4612010 | - | 1 |
Гидроцилиндр скрепера | Д-3571-4614010 | - | 2 |
Ремонт Р-3 (через 5760 мото-ч) |
I. ТЯГАЧ МАЗ-529Е |
Крепление силового агрегата на шасси | МТ-529Е-1000003 | - | 1 |
Установка топливных баков | 529А-1100002-Б | - | 1 |
" глушителя | 529В-1200001 | - | 1 |
" водяного радиатора | Т-529В-1300005-Б | - | 1 |
" педалей сцепления и тормоза с приводом | 529В-1600005 | - | 1 |
Коробка передач со сцеплением и раздаточной коробкой в сборе | 529Е-1700000 | - | 1 |
Вал карданный ведущего моста в сборе | 529А-2201010 | - | 1 |
Вал карданный промежуточный в сборе | 529Т-2202010 | - | 1 |
Мост ведущий с тормозами и ступицами, гайками в сборе (без резины и ободов) | 529А-2400010-В1 | - | 1 |
Установка седельно-сцепного устройства | 529Е-2700001 | - | 1 |
Рама в сборе (тягача) | 529Е-2800010Б | - | 1 |
Установка рулевого управления | 529Е-3400001-В | - | 1 |
Золотниковая коробка распределительная в сборе | 529Е-3404110 | - | 1 |
Цилиндр поворота правый в сборе | 546-340510 | - | 1 |
" " левый в сборе | 546-3405011 | - | 1 |
Насос рулевого управления в сборе | 529Е-346010 | - | 1 |
Система пневмопроводов | МТ-529А-3500003 | - | 1 |
Компрессор в сборе | 540-3509015 | - | 1 |
Система электрооборудования тягача | МТ-529В-3700002-Б | - | 1 |
Установка щита с приборами в сборе | МТ-529М-3800001 | - | 1 |
Установка редуктора отбора мощности | 529Е-4200001 | - | 1 |
Кабина в сборе | 529В-5000010А | - | 1 |
Установка оперения на шасси | Т-529В-8400000 | - | 1 |
Редуктор привода насосов с насосами в сборе | Д-3571-4611010 | - | 1 |
II. СКРЕПЕР Д-357М, Д-357П |
Рама в сборе (скрепера) | Д-3571-04000Б | - | 1 |
Ковш " " | Д-3571-01000А | - | 1 |
Заслонка | Д-3571-03000А | - | 1 |
Стенка задняя | Д-357М-9213012 | - | 1 |
Установка колес | Д-3571-3100002 | - | 1 |
Пневмосистема тормозов скрепера | Д-3571-3500003-Б | - | 1 |
Система электрооборудования скрепера | 1-Д357М-3700002 | - | 1 |
Установка гидросистемы | Д-357М-4600003-Б | - | 1 |
АВТОГРЕЙДЕРЫ Д-557, Д-557А (ДЗ-31-1) |
Ремонт Р-1 (через 3360 мото-ч) |
Двигатель АМ-01 | АМ-01 | - | 1 |
Отвал | 557.02.01 | - | 1 |
Распределитель | Р75-П3-ПГ2А | - | 1 |
" | Р75-П2-ПГ2/1А | - | 1 |
" | Р75-П2-ПГ1 | - | 1 |
Гидроцилиндр наклона колес в сборе | 557.08.47 | - | 1 |
" подъема рыхлителя в сборе | 557.08.48 | - | 1 |
" подъема рыхлителя в сборе | 557.08.52 | - | 1 |
" выноса тяговой рамы в сборе | 557.08.49 | - | 1 |
" выноса отвала в сборе | 557.08.50 | - | 1 |
" подъема отвала в сборе | 557.08.51 | - | 1 |
Блок тормозного привода | 557.07.01 | - | 1 |
Гидромотор N 5 ПМ | N 5-ПМ | - | 1 |
Ремонт Р-2 (через 6720 мото-ч) |
Двигатель АМ-01 | АМ-01 | - | 1 |
Установка радиаторов | 557.10.03 | - | 1 |
Коробка перемены передач унифицированная | У-85.606.00 | - | 1 |
Передача карданная | 557.09.00 | - | 1 |
Тележка задняя | 557.04.00 | - | 1 |
Рама | 557.01.00 | - | 1 |
Рабочее оборудование | 557.02.00 | - | 1 |
Мост передний | 557.03.00 | - | 1 |
Привод рулевой | 557.06.00 | - | 1 |
Распределитель | Р75-П3-ПГ2А | - | 1 |
" | Р75-П2-ПГ2/1А | - | 1 |
" | Р75-П2-ПГ1 | - | 1 |
Гидроцилиндр подъема рыхлителя в сборе | 557.08.48 | - | 1 |
" подъема рыхлителя в сборе | 557.08.52 | - | 1 |
" выноса тяговой рамы | 557.08.49 | - | 1 |
" подъема отвала | 557.08.51 | - | 2 |
Блок тормозного привода | 557.07.01 | - | 1 |
Кабина с электрооборудованием | 557.13.00 | - | 1 |
Капот в сборе | 557.14.00 | - | 1 |
Установка рыхлителя | 557.16.00 | - | 1 |
ТРУБОУКЛАДЧИКИ ТО-1224, Т-1530 |
Ремонт Р-1 (через 1440 мото-ч) |
Каток однобортный в сборе | 21440-1 | 21664 | 6/8 |
" двубортный " " | 21445-1 | 21667 | 4/8 |
Ремонт Р-2 (через 2880 мото-ч) |
Двигатель | Д-108 | 14 сб. 7 | 1 |
Радиатор водяной | 081111 | 081111 | 1 |
" масляный | 09740 | 09740 | 1 |
Муфта сцепления | 14360 | 14360-1 | 1 |
Каток однобортный | 21440-1 | 21664 | 6/8 |
" двубортный | 21445-1 | 21667 | 4/8 |
Ролики верхние | 21714 | Т1530-1-3-1 сб. | 4/6 |
Муфта отбора мощности | Т1530-9 сб. В | Т1530-9 сб. В | 1 |
Редуктор двухскоростной | Т01224-2 сб. | Т01224-2 сб. | 1 |
Муфта соединительная | Т1530-11 сб. | Т1530-11 сб. | 1 |
Блок подвесной | ТО1224-9 сб. | Т1530.41.000 | 1 |
" стрелы | ТО1224-10 сб. | ТО2550-11 сб. | 1 |
" полиспастный | ТО1224-1-95 сб. А | Т01224-95 сб. | 1 |
Звездочка промежуточного вала | ТО1224-07-003а | Т1530-13-5 сб. | 1 |
" кожуха цепной передачи | Т1530-3-0-2Б | Т1530-13-5 | 1 |
Ремонт Р-3 (через 5760 мото-ч) |
Двигатель Д-108 | Д-108 | 14 сб. 7 | 1 |
Радиатор водяной | 081111 | 081111 | 1 |
" масляный | 09700 | 09700 | 1 |
Муфта отбора мощности | Т1530-9 сб. В | Т1530-9 сб. В | 1 |
" соединительная | Т1530-11 сб. | Т1530-11 сб. | 1 |
Трансмиссия (задний мост) | 20489 | 20489 | компл. |
Лебедка в сборе с редуктором двухскоростным | Т1530-6 сб. В | Т1530-6 сб. В | 1 |
Цилиндр силовой | ТО1224-05-000 | Т01224-05.000 | 1 |
Гусеницы в сборе | 22120 | Т1530-2 сб. | 2 |
Узлы гидроуправления контргрузом | Т01224-6 сб. | Т1530-14-1А сб. | компл. |
Вал промежуточный | Т01224-07-000 | Т01224-07-000 | 1 |
Кожух цепной передачи | Т01224-3 сб. | Т1530-8 сб. Б | 1 |
Блок подвижной | Т01224-11 сб. | Т1530-42 сб. | 1 |
Масляный насос с приводом | Т01224-15-1 сб. | Т1530-44-000 | 1 |
Стрела контргруза | Т01224-04-010 | Т1530-19-1 сб. | 1 |
" в сборе | Т01224-12 сб. | Т1530-43.000 | 1 |
Шасси " " | | Т1530-11 сб. | 1 |
Тележки гусениц со связью | 21601/602 | - | компл. |
Рама верхняя в сборе | Т01224-1 сб. | Т1530-17 сб. Б | 1 |
Механизм управления тормозами грузового и стрелового барабанов | Т1530-6 сб. Б | Т1530-6 сб. Б | 1 |
То же, муфтами | Т1530-6 сб. Б | Т1530-6 сб. Б | 1 |
Механизм управления муфтой отбора мощности | Т01224-14 сб. | Т01224-14 сб. | 1 |
Топливные баки | 25839 | 25839 | 1 |
Масляный бак | - | - | 1 |
Щиток приборов в сборе | - | - | 1 |
ТРУБОУКЛАДЧИК Т-3560 |
Ремонт Р-1 (через 1440 мото-ч) |
Катки опорные в сборе | Д-804-3203010 | - | 14 |
Венец ведущего колеса | 711-19-96 | - | 4 |
Компрессор | 340-350915 | - | 1 |
Механизм включения муфты сцепления | 711-15 сб. 3 | - | 1 |
Вал карданный в сборе с зубчатой муфтой и тормозами | 711-14 сб. 118 | - | 1 |
Камеры тормозные | 711-14 сб. 126 | - | 5 |
Сервомеханизм (следящее устройство) | 711-18 сб. 133-1 | - | 5 |
Ремонт Р-2 (через 2880 мото-ч) |
Двигатель Д-108 в сборе с компрессором и муфтой сцепления | Д-108 | - | 1 |
Радиатор водяной | 711-08 сб. 162 | - | 1 |
" масляный | 711-09 сб. 115 | - | 1 |
Катки опорные в сборе | Д804-3203010 | - | 14 |
" поддерживающие в сборе | 711-34 сб. 101/102 | - | 6 |
Трансмиссия в сборе | Т140Д-2401017 | - | |
В том числе: | | | |
коробка перемены передач | 711-12 сб. 2 | - | 1 |
планетарный механизм поворота | 711-16 сб. 3 | - | 2 |
бортовые редукторы правый и левый | Т140Д-2607010/11 | - | 2 |
тормоза | 711-18 сб. 3 | - | 2 |
электрооборудование | | - | компл. |
Ремонт Р-3 (через 5760 мото-ч) |
Рама в сборе с катками опорными и поддерживающими, колесами натяжными и механизмом натяжения | Д804-2801020 | - | 1 |
Двигатель Д-180 в сборе с компрессором и муфтой сцепления | Д-180 | - | 1 |
Радиатор водяной | 711-08 сб. 162 | - | 1 |
" масляный | 711-09 сб. 115 | - | 1 |
Трансмиссия в сборе | Т140Д-2401017 | - | |
В том числе: | | | |
коробка перемены передач | 711-12 сб. 2 | - | 1 |
планетарный механизм поворота | 711-16 сб. 3 | - | 2 |
бортовые редукторы | Т140Д-2607010/11 | - | 2 |
тормоза | 711-18 сб. 3 | - | 2 |
топливные баки | 711-25 сб. 105 | - | 3 |
электрооборудование | | - | компл. |
сидения | 711-23 сб. 3 | - | 3 |
Капот в сборе | 711-55 сб. 2 | - | 1 |
Установка приборов | Т140Д-2401017 | - | 1 |
Управление в сборе с акселератором | 711-06 сб. 101 | - | 1 |
Трубопроводы топливные и пневмосистем | | | |
Гусеницы в сборе | Т140Д-3209010 | - | 2 |
Лебедка в сборе | Т3560-1 сб. | - | 1 |
Управление муфтами и тормозами | Т3560-1-3 сб. А | - | 1 |
Подвеска в сборе | 711-21 сб. 2 | - | 1 |
Ограничитель гидравлический подъема стрелы | Т3560-2 1 сб. | - | 1 |
Распределитель золотниковый | Т3560-2-2Б сб. | - | 1 |
Блок подвесной | Т3560-3А сб. | - | 1 |
" подвижной | Т3560-4А сб. | - | 1 |
Управление приводом лебедки с ходоуменьшителем | Т3560-75 сб. | - | 1 |
Привод лебедки с ходоуменьшителем | Т3560-15 сб. | - | 1 |
Стрела в сборе (с блоком стреловым) | Т3560-05-000 | - | 1 |
Рама верхняя в сборе | Т02550-1 сб. | - | 1 |
Стрела контргруза | Т025-50-6-1 сб. | - | 1 |
Цилиндр в сборе | Т3560-6-3А сб. | - | 1 |
ЭКСКАВАТОР ТРАНШЕЙНЫЙ РОТОРНЫЙ ЭТР-231 |
Ремонт Р-1 (через 1440 мото-ч) |
Каток однобортный в сборе | 21440 | - | 10 |
" двубортный " " | 21445 | - | 6 |
Колесо натяжное в сборе | 21485 | - | 2 |
Ролики поддерживающие ротора | ЭТР231.25.00.000 | - | 4 |
" направляющие ротора | ЭТР231.26.00.000 | - | 4 |
Редуктор привода ротора | ЭТР231.24.01.000 | - | 1 |
Ролик транспортера | ЭТР231.28.05.000 | - | 10 |
" спиральный транспортера | ЭТР231.37.04.000 | - | 3 |
Муфта редуктора привода ротора | ЭТР231.24.02.000 | - | 1 |
Ремонт Р-2 (через 2880 мото-ч) |
Сборочные единицы Р-1 | | | |
Двигатель | УТД6-250ТК | - | 1 |
Радиатор в сборе | ЭТР231.18.06.000 | - | 1 |
Муфта упругая пальцевая | ЭТР301.18.22.000 | - | 1 |
Коробка перемены передач | ТР2А.01.02.000 | - | 1 |
Ходоуменьшитель | ЭТР231.06.00.000 | - | 1 |
Ротор в сборе | ЭТР231.38.00.000 | - | 1 |
Редуктор транспортера в сборе | ЭТР301.37.02.000 | - | 1 |
Транспортер в сборе | ЭТР231.28.00.000 | - | 1 |
Гидроцилиндр | ЭТР231.02.00.000 | - | 1 |
Распределитель | 37-26 сб. 40 | - | 1 |
Редуктор привода насоса | ЭТР231.24.00.000 | - | 1 |
Механизм подъема рабочего органа | ЭТР231.03.00.000 | - | 1 |
Опора задняя рабочего органа | ЭТР231.36.00.000 | - | 1 |
Откосники | ЭТР231.32.00.000 | - | 2 |
Ремонт Р-3 (через 5760 мото-ч) |
Сборочные единицы текущего ремонта Р-2 | | | |
Трансмиссия (задний мост) в сборе | 9991 | - | 1 |
Трансмиссия конечная | ЭР7А-1-6 сб. | - | 1 |
Гусеничный ход | ЭТР301 | - | 2 |
Топливный бак | | - | 1 |
Масляный бак гидросистемы | | - | 1 |
Кабина с электрооборудованием | 59600 | - | 1 |
Генератор 200 кВт | ГСТ04-4 | - | 1 |
Электродвигатель механизма передвижной | А02-82-6 | - | 1 |
" привода ротора | АОН2-92-4 | - | 1 |
" привода генератора | АО2-62-4 | - | 2 |
" маслона- соса | А02-52-4 | - | 1 |
БУРОВАЯ МАШИНА БМ-276 |
Ремонт Р-1 (через 1440 мото-ч) |
Каток однобортный в сборе | 21440-1 | - | 6 |
Каток двубортный в сборе | 21445-1 | - | 4 |
Колесо натяжное " " | 21458 | - | 2 |
Став буровой | БМ276.11.000 | - | 1 |
Штанга буровая | БМ276.12.000 | - | 1 |
Ремонт Р-2 (через 2880 мото-ч) |
Двигатель Д-108 в сборе | 14 сб. 7 | - | 1 |
Радиатор водяной в сборе | 081111 | - | 1 |
" масляный " " | 09740 | - | 1 |
Муфта сцепления " " | 14360-1 | - | 1 |
Лента гусеничная | 2120 | - | 2 |
Тележка правая в сборе | 21601 | - | 1 |
Тележка левая " " | 21602 | - | 1 |
Фрикцион бортовой " " | 16603 | - | 2 |
Коробка отбора мощности | БМ276.02.000 | - | 1 |
Вращатель | БМ276.03.000 | - | 1 |
Домкрат гидравлический | БМ276.05.000 | - | 1 |
Гидроцилиндр подачи | БМ276.09.000 | - | 2 |
Вал приводной | БМ276.10.000 | - | 1 |
Ремонт Р-3 (через 5760 мото-ч) |
Двигатель Д-108 в сборе | 14 сб. 7 | - | 1 |
Радиатор " " | 081111 | - | 1 |
Опора двигателя | 20336 | - | 1 |
Муфта сцепления в сборе | 14360-1 | - | 1 |
Механизм управления муфтой сцепления | 15200 | - | 1 |
Трансмиссия (задний мост) в сборе | 9991 | - | 1 |
Рессора балансирная в сборе | 20301 | - | 2 |
Тележки гусеничного движителя | 21601/21602 | - | 2 |
Гусеница в сборе | 22314 | - | 2 |
Кабина с капотом в сборе | 59240/551060 | - | 1 |
Радиатор масляный " | 09700 | - | 1 |
КОМПРЕССОРЫ ДК-9М, КС-9 |
Ремонт Р-1 (через 2400 мото-ч) |
Двигатель Д-108-1 (без радиатора) | 14 сб. 7 | - | 1 |
Муфта упругая | сб. 48 | - | 1 |
Шкив ведущий | 25 30а | - | 1 |
Маслонасос | сб. 26-1 | - | 1 |
Головка с клапаном | сб. 27г | - | 2 |
Полумуфта | 48-2 | - | 1 |
Ремонт Р-2 (через 7200 мото-ч) |
Двигатель с радиаторами | 14 сб. 12 | - | 1 |
Сборочные единицы текущего ремонта | | | |
Компрессор К-9М | сб. 24А | - | 1 |
Холодильник | сб. 31В | - | 1 |
Ресивер | сб. 33В | - | 1 |
--------------------------------
<*> Здесь и далее указаны минимальные рекомендуемые периодичности замен сборочных единиц. Номенклатура сборочных единиц и периодичности их замен для конкретных условий эксплуатации следует устанавливать в соответствии с требованиями
пп. 1.1,
1.2,
3.1,
3.4,
3.5 настоящих Рекомендаций.
<**> Осуществляется полнокомплектно на ремонтном предприятии заменой или ремонтом сборочных единиц машины.
КОМПЛЕКТНОСТЬ СБОРОЧНЫХ ЕДИНИЦ
ДЛЯ РЕМОНТА СТРОИТЕЛЬНЫХ МАШИН АГРЕГАТНЫМ МЕТОДОМ
Наименование сборочных единиц | Комплектность |
Турботрансформатор | В сборе без трубопроводов |
Генератор силовой | " со шкивом, без ремня и электроприводов |
Компрессор | " со шкивом, воздушным фильтром без трубопроводов (но с трубопроводами между ступенями) |
Гидронасос и гидромотор | " со штуцерами без трубопроводов |
Гидрораспределитель | " со штуцерами и предохранительными клапанами, без трубопроводов |
Гидроцилиндр | " со штоком, крышками и штуцерами без трубопроводов |
Лебедка главная | " с пневмокамерами и вращающимися соединениями |
Лебедка стреловая и грузовая | " с тормозом, электродвигателем или гидромотором (или без них при механическом приводе) |
Горизонтальный вал реверсивного механизма | " с пневмокамерами и вращающимися соединениями |
Реверс главной лебедки экскаватора ЭО-4111 и его модификаций | " с муфтой включения, цилиндром включения и вращающимися соединениями |
Механизм поворота платформы экскаваторов с гидравлическим приводом | " с зубчатым колесом привода и тормозом |
Механизм поворота | " с тормозным шкивом, тормозом, кулачковой муфтой и устройством включения |
Круг опорно-поворотный | " с сепарирующим и уплотнительным устройством |
Редуктор отбора мощности | " с фланцами карданных валов и гидронасосов (если они устанавливаются на редукторе) |
Редуктор промежуточный | " с фланцами карданных валов |
Центральный реверс | " без тяги управления |
Редуктор (коробка) распределительный | " без тяги управления |
Коробка передач | " с фланцем вторичного вала, центральным стояночным тормозом (если он укреплен на коробке передач), но без тяги управления |
Мост передний и мост задний | " со всей расположенной на ней арматурой (тормозными барабанами, дисками крепления колодок, тормозными колодками и приводом, ступицами и шпильками колес, фланцем ведущего зубчатого колеса, но без рессор и амортизаторов, дисков и гаек колес) |
Колесо ведущее | " с осью, корпусами подшипников и втулками |
Колесо натяжное | То же |
Каток опорный | " " |
Ролик поддерживающий | " с осью, корпусами подшипников с втулками или без них, если это не предусмотрено конструкцией |
Редуктор хода (левый) правый (или центральный) | " с тормозом, электродвигателем или гидродвигателем (или без них при механическом приводе) |
Стрела | То же |
Рукоять | " " |
Наводка драглайна | " с кронштейном, роликами и блоками |
Ковш (прямой и обратной лопаты, драглайна) | " с проушниками и зубьями (или без них, если они конструкцией не предусмотрены) |
ТЕХНИКО-ЭКОНОМИЧЕСКОЕ ОБОСНОВАНИЕ ЦЕЛЕСООБРАЗНОСТИ
ПЕРЕХОДА НА АГРЕГАТНЫЙ МЕТОД РЕМОНТА
Технико-экономическая целесообразность применения возможного в условиях данной организации варианта агрегатного метода ремонта (АМР) обусловливается величиной годового экономического эффекта, определение которого является обязательной предпосылкой для принятия решения.
При определении экономической эффективности перехода на АМР используются "Методические
рекомендации по расчету экономической эффективности технических решений в области организации, технологии и механизации производства строительных работ". (ЦНИИОМТП, Бюро внедрения, М., 1982).
Сравнительный годовой экономический эффект от реализации технических решений определяется по разности приведенных затрат
Э = П' - П". (1)
В качестве базисного варианта (БТ) используется техническое решение, при котором ремонт любой составной части машины выполняется индивидуальным методом.
В качестве варианта организации АМР (НТ) применяется экономически целесообразный и технически возможный в условиях конкретной строительной организации вариант.
С учетом изменения годового объема работ

, (2)
где В" - годовой объем работ, выполняемых с использованием НТ, а индекс y означает величину текущих затрат или себестоимость С и отвлеченности производственных фондов или капитальных вложений К на единицу измерения годового объема работ.
Ен - нормативный коэффициент сравнительной эффективности капитальных вложений (Ен = 0,15).
При переводе на АМР парка строительных машин, насчитывающего несколько марок машин,
формула (2) примет вид:

, (3)
где Вi, Сyi, Кyi - соответственно годовой объем и величины текущих и капитальных затрат строительных машин i-й марки;
n - количество марок машин, переводимых на АМР.
В качестве единицы измерения годового объема работ принимается машино-час работы строительной машины.
При расчете затрат структура ремонтного цикла, продолжительность и трудоемкость выполнения ремонтов для базисного варианта принимается в соответствии с "Рекомендациями по организации технического обслуживания и ремонта строительных машин" (ЦНИИОМТП; ВНИИстройдормаш, Стройиздат, М., 1978), а для АМР по технической документации в соответствии с принятым планом и технологией выполнения ремонта.
Усредненные данные для расчета экономической эффективности приводятся в Методических
рекомендациях по расчету экономической эффективности технических решений в области организации, технологии и механизации производства строительных работ.
Определение годового объема работ
Количество дней технического обслуживания и ремонта (планового и непланового) приходящегося на 1 маш-ч работы одной среднесписочной строительной машины определяется по формуле

, (4)
где Кx - коэффициент к нормам времени, учитывающий отклонения фактических затрат времени от нормативных;
Бто, Бт, Бк - нормативная продолжительность выполнения технических обслуживаний, текущего и капитального ремонтов (по технической документации), дн.;
Нто, Нт, нк - количество технических обслуживаний и ремонтов за один ремонтный цикл (по технической документации);
Бо - средняя продолжительность ликвидации одного отказа машины (по данным эксплуатации машин), дн.;
tо - средняя периодичность отказов машины (по технической документации), маш-ч;
tр - средняя периодичность выполнения капитального ремонта по данным технической документации (средний ресурс), маш-ч
tр = tр мото-ч/Кч, (5)
где tр мото-ч - периодичность выполнения капитального ремонта, мото-ч;
Кч - коэффициент перехода от мото-часа к машино-часу.
По данным эксплуатации продолжительность простоев в неплановых текущих ремонтах принимается равной 40% продолжительности простоев в техническом обслуживании и плановых текущих ремонтах

. (6)
Количество машино-часов работы в год на одну среднесписочную строительную машину определяется по формуле

, (7)
где Ф - фонд рабочего времени на выполнение механизированных работ, перебазировку машины, ее техническое обслуживание, ремонт и переоборудование, дни;
ксм - средний коэффициент сменности работы машины, количество смен/день;
tсм - средняя продолжительность рабочей смены, маш-ч/день;
Др - количество дней нахождения машины в техническом обслуживании и ремонте (плановом и неплановом), приходящееся на 1 маш.-ч работы;
Tп - средняя продолжительность одной перебазировки машины, дни;
Tоб - среднее количество машино-часов работы на одном объекте;
Tз - средняя продолжительность замены рабочего оборудования машины, дни (по технической документации);
tз - средняя периодичность замены рабочего оборудования машины (по данным эксплуатации), маш-ч.
Годовой объем работ, выполняемых парком строительных машин, переводимых на АМР, определяется по формуле

, (8)
где Mi - количество машин i-й марки;
Tгi - количество (объем) машино-часов работы в год, приходящееся на одну среднесписочную машину i-й марки.
Затраты на выполнение технического обслуживания и текущего ремонта (планового и непланового) строительных машин, приходящиеся на 1 маш.-ч их работы, определяются по формуле
Ррем =
Зрем(1 + 0,846
кзч) (9)
где Зрем - затраты на основную заработную плату рабочих, занятых техническим обслуживанием и текущим ремонтом (плановым и неплановым) строительных машин;
кзч - коэффициент перехода от суммы основной заработной платы рабочих, занятых технической эксплуатацией машин, к стоимости запасных частей.

, (10)
где что, чт - трудоемкость выполнения каждого вида технического обслуживания и планового текущего ремонта (по технической документации), чел.-ч;
Нто, Нт - количество технических обслуживаний и плановых текущих ремонтов за один ремонтный цикл (по технической документации);
чо - средняя трудоемкость выполнения одного непланового ремонта, чел.-ч;
1,3 - коэффициент, учитывающий накладные расходы по техническому обслуживанию и ремонту, приходящиеся на заработную плату рабочих, занятых техническим обслуживанием и ремонтом машин;
1,2 - средний коэффициент, учитывающий премии ремонтным рабочим;
кс - средний поправочный коэффициент к тарифной ставке (для Северных районов страны по
ГОСТ 15150-69 с изм.)
кс = 1,44, для других районов страны
кс = 1,062;
Ст - часовая тарифная ставка среднего разряда работы по техническому обслуживанию и ремонту машин;
tр, tто - период до выполнения капитального ремонта (средний ресурс) и отказа, маш.-ч;
кx - коэффициент, учитывающий отклонение фактической трудоемкости от нормативной.
По данным эксплуатации трудоемкость неплановых текущих ремонтов равна 20% от суммарной трудоемкости технического обслуживания и текущих ремонтов

. (11)
По варианту (при переходе на АМР) в
формулу (10) для определения

входят трудоемкости технического обслуживания и трудоемкости монтажно-демонтажных работ при плановых текущих ремонтах, а также принятая трудоемкость неплановых текущих ремонтов. Для

по
формуле (9) определяется

. Стоимость ремонта агрегатов (ремонтных комплектов), приходящаяся на 1 маш.-ч работы, определяется по формуле

, (12)
где Нт-1, Нт-2 - количество текущих ремонтов Т-1 и Т-2 в ремонтном цикле (инструкции и положения по проведению ремонта строительных машин агрегатным методом);

,

- стоимости капитального ремонта комплектов узлов при текущих ремонтах Т-1 и Т-2 (Прейскуранты, Оптовых цен на капитальный ремонт строительных машин, оборудования, специального подвижного автомобильного транспорта, узлов и деталей автомобилей или другие источники);
Сiт-1, Сiт-2 - стоимость капитального ремонта того или иного агрегата, входящего в ремонтный комплект (там же).
Таким образом, затраты на выполнение технического обслуживания и текущего ремонта (планового и непланового) при агрегатном методе ремонта составляют

, (13)
Затраты на выполнение капитального ремонта и транспортные затраты при доставке в капитальный ремонт принимаются одинаковыми по обеим вариантам.
Транспортные затраты на проведение неплановых ремонтов принимаются одинаковыми по обеим вариантам.
Транспортные затраты (базисный вариант) на доставку машин в плановый текущий ремонт, перевозимых без демонтажа или с частичным демонтажом в кузове автомобиля, на буксире или трайлере и приходящиеся на 1 маш.-ч их работы, определяются по формуле
Зтр =
Нт[1,3(
Зэк +
Зт) + 1,1(
Зэт +
Звк)]1/
кxtр, (14)
где

- затраты на заработную плату экипажа машины, руб;

- " " " " такелажников, руб;

- " " эксплуатацию автомобиля, руб;

- " " эксплуатацию вспомогательного крана, руб.

, (15)
где Стi - часовая тарифная ставка i-го разряда работы, руб/маш.-ч;
Tп - средняя продолжительность одной перевозки, дни (по данным эксплуатации).

, (16)
где Во - общее время работы тягача.
Во =
Zср2/
Vt +
tпв, (16а)
где Zср - среднее расстояние переезда база-объект, км;
Vt - средняя скорость переезда, км/ч;
tпв - средняя продолжительность погрузки и выгрузки, ч,
Зэт = (
ВоЦа + 2
Zср·
Цд)
Кд, (17)
где Ца - цена 1 авто-ч, руб;
Цд - размер доплаты за пробег;
Кд - коэффициент увеличения стоимости 1 авто-ч при использовании специализированного автомобиля или прицепа (по Прейскуранту 13-01-01 "Единые тарифы на перевозку грузов автотранспортом").
Звк = tвкСвк, (18)
где tвк - продолжительность работы вспомогательного крана, маш.-ч;
Свк - себестоимость маш.-ч вспомогательного крана, руб.
При агрегатном методе ремонта транспортные затраты на плановые текущие ремонты Т-1 и Т-2 складываются из транспортных затрат за замену агрегатов (ремонтных комплектов) и транспортных затрат на доставку агрегатов (ремонтных комплектов) в капитальный ремонт и обратно. В зависимости от варианта проведения АМР (проведение текущего ремонта Т-1 на объекте, а Т-2 - на базе, проведения Т-1 и Т-2 на объекте, смешанные варианты) транспортные затраты на замену агрегатов (ремонтных комплектов) определяют по
формуле (14).
Затраты на заработную плату экипажа машины входят в
формулу (15) в том случае, если машина для проведения ремонта транспортируется на базу.
Если в проведении ремонта участвует комплект машин для АМР, то в
формуле (14) Зэт обозначают затраты на эксплуатацию комплекта машин. Автомобильный кран, входящий в комплект, учитывается отдельно, для проведения агрегатного ремонта

, (19)
где n - количество машин в комплекте;
Во - общее время работы комплекта машин для проведения АМР.
Во = Zср/Vt + tр при кольцевом маршруте;
Во = (Zср + 2)/Vt + tр при маршруте "база - объект - база",
где tр - нормативная продолжительность выполнения ремонта (ремонтов).
При наличии в комплекте автомобильного крана tвк = Во.
Транспортные затраты на доставку агрегатов (ремонтных комплектов) в капитальный ремонт рассчитываются аналогично. При использовании железнодорожного транспорта для определения транспортных затрат пользуются Прейскурантом N 10-01 "Тарифы на грузовые железнодорожные перевозки".
Удельные текущие затраты по БТ и НТ составляют
Сy =
Ррем +
Зтр +
Зоп, (20)
где Зоп - дополнительные текущие затраты на содержание технического обменного пункта, приходящиеся на 1 маш.-ч работы строительной машины, и включающие затраты на амортизацию и текущий ремонт здания и технологического оборудования, отопление, освещение, заработную плату персоналу ТОПа, прочие расходы.
При базисном варианте (БТ) Зоп = 0.
Расчет капитальных затрат
Величина удельных капитальных вложений для БТ и НТ определяется по формуле

, (21)
где Цi - оптовая цена i-го объекта капитальных вложений необходимого для осуществления рассматриваемого технического решения, руб;
Кбi - коэффициент перехода от оптовой цены к среднебалансовой стоимости i-го объекта капитальных вложений;
Кi - капиталовложения или отвлеченность основных производственных фондов, которые влияют на решение поставленной задачи.
При определении экономической эффективности перехода на АМР с достаточной степенью точности можно утверждать, что величина разности удельных затрат по БТ и НТ равна удельной сумме снижения (-) или увеличения (+) потребности (отвлеченности) основных производственных фондов при использовании НТ

, (22)
Экономия капитальных затрат на основные производственные фонды вследствие уменьшения необходимого количества машин

, (23)
где Мi - число машин i-й марки в хозяйстве;
Кб = 1,12 - для машин перебазируемых в демонтированном состоянии;
Кб = 1,09 - для всех остальных машин.

- дополнительные капитальные затраты на создание и оборудование передвижных средств для проведения АМР

, (24)
где Лi - необходимое количество i-х передвижных средств (разность между потребным и существующим количеством передвижных средств);
Слiбал - балансовая стоимость i-го передвижного средств.
Дополнительные капитальные затраты на создание и оборудование обменных пунктов (затраты на строительство или реконструкцию помещений под обменный пункт, затраты на технологическое оборудование).

, (25)
где Di - количество единиц i-го элемента обменного пункта (технологическое оборудование, здание);
СDiбал - балансовая стоимость i-го элемента обменного пункта.

- дополнительные капитальные затраты на создание оборотного фонда

, (26)
где n - количество сборочных единиц на машине;
Сi - стоимость капитального ремонта i-й сборочной единицы (по прейскурантам оптовых цен на капитальный ремонт строительных машин, узлов и агрегатов к ним);
Пi - потребность хозяйства в i-й сборочной единице для создания оборотного фонда.
где А - число одинаковых сборочных единиц на одной машине, шт.;
М - число машин одной марки в хозяйстве, шт.;
В - время оборачиваемости сборочной единицы, дн., (продолжительность пребывания сборочной единицы в ремонте и ожидании ремонта, исчисляемое со дня демонтажа на машине до получения отремонтированной на склад организации, осуществляющей ремонт);
Тn - планируемая наработка машин в течение года, мото-ч;
Ту - ресурс сборочной единицы (периодичность замены), мото-ч;
К - коэффициент, учитывающий возможные отклонения времени оборачиваемости и ресурса сборочных единиц (принимается равным 1,05 - 1,1).
Если в результате расчета оборотного фонда получается дробная величина, то она округляется до ближайшего большего числа.
Экономия капитальных вложений в оборудование баз технического обслуживания и ремонта строительного подразделения

, (28)
где Xj - коэффициент, определяющий долю, на которую могут быть уменьшены капитальные вложения в оборудование мастерских при переходе на АМР;
Куд.об - норматив удельных капитальных вложений в оборудование баз технического обслуживания и ремонта (табл. 21 СН 469-79 "Нормативы удельных капитальных вложений по отраслям "Строительство" и "Промышленность строительных деталей и конструкций" на 1980 - 1985 гг. М., Стройиздат, 1971).
Дополнительные капитальные затраты на увеличение мощностей предприятий по ремонту агрегатов и узлов находятся по формуле

, (29)
где

- норматив удельных капитальных вложений в строительство (реконструкцию)
i-го завода по капитальному ремонту строительных машин или их составных частей (табл. 64, 65 СН 469-79);

- дополнительный годовой объем работ (в денежном выражении), выполняемый
i-м предприятием при переходе на АМР.
Экономия капитальных вложений в ремонтные предприятия от сокращения времени простоя машин в капитальном ремонте находится по формуле

, (30)
где Xпл - коэффициент, учитывающий сокращение времени простоя машин в капитальном ремонте при переходе на АМР.
Экономия капитальных вложений в мастерские баз технического обслуживания и ремонта по объемам строительно-монтажных работ от перехода на АМР (от сокращения объемов работ по ремонту сборочных единиц частичное освобождение площадей вследствие сокращения простоя машин в ремонте) вычисляется

, (31)
где Xm - коэффициент, определяющий долю, на которую могут быть уменьшены капитальные вложения в строительство (реконструкцию) мастерских при переходе на АМР (сокращение объемов работ по ремонту узлов и агрегатов, частичное освобождение площадей вследствие сокращения простоя машин в ремонте);
Куд.стр - нормативные удельные капитальные вложения по объему строительно-монтажных работ (табл. 2 СН 469-79).
Примечания: 1. На стадии принятия решения о переходе на АМР коэффициенты Xi, Xj, Xm определяются ориентировочно при анализе производственных мощностей подразделения, в котором предполагается осуществить переход на АМР.
Впоследствии они уточняются (по составленному проекту организации ремонтных работ агрегатным методом при подсчете экономического эффекта).
2. При определении капитальных вложений по СН 469-79 можно пользоваться удельными нормативами, рассчитанными как на 1 машину, так и на 1 тыс. руб программы работ по ремонту машин. В этом случае в формулах (
28,
31) вместо количества машин М будет стоять программа работ по ремонту машин, переводимых на АМР.
3. При прогнозировании направления развития ремонтных мощностей подразделения (в том числе и направления размещения капитального ремонта машин и агрегатов) можно применять укрупненные нормативы капитальных вложений (табл. 66 СН 469-79).
4. Применение в расчетах нормативов удельных капитальных вложений по строкам "строительство новых" или "расширение и реконструкция действующих..." зависит от конкретных обстоятельств (принятой схемы организации АМР, наличия и соответствия нормативам производственных мощностей баз технического обслуживания и ремонта, сложившихся форм организации капитального ремонта машин, возможностями РМЗ по размещению объемов ремонта агрегатов и др.).
Пример расчета целесообразности перехода на АМР
Строительное подразделение, принадлежащее Минпромстрою СССР, расположено в четвертом территориальном районе и имеет парк бульдозеров на базе тракторов Т-100, Т-100МЗ, Т-100МГП в количестве 100 ед. Требуется оценить целесообразность перевода этих машин на АМР.
Агрегатный метод ремонта (НТ) проводится путем плановой замены ремонтных комплектов.
Исходные данные для расчета приводятся в табл. 1.
Таблица 1
Наименование воздействия | Базовая техника | Новая техника |
Количество воздействий в ремонтном цикле | Продолжительность воздействий, дни | Трудоемкость воздействий, чел.-ч. | Количество воздействий в ремонтном цикле | Продолжительность воздействий, дни | Трудоемкость воздействий, чел.-ч. | Стоимость ремонтных комплектов, узлов, руб. | Стоимость монтажно-демонтажных работ, руб. | Стоимость ремонта, руб. |
ТО-1 | 72 | 0,2 | 5 | 72 | 0,2 | 5 | - | - | - |
ТО-2 | 18 | 1 | 16 | 24 | 1 | 16 | - | - | - |
СО | 12 | 1,5 | 45 | 12 | 1,5 | 45 | - | - | |
Т | 5 | 7 | 440 | - | - | - | - | - | - |
Р-1 | - | - | - | 2 | 1 | 32 | 420 | 90 | 510 |
Р-2 | - | - | - | 1 | 4 | 150 | 1430 | 417 | 1847 |
Р-3 (К) | 1 | 14 | 800 | 1 | 5 | 190 | 2343 | 622 | 2965 |
При определении исходных данных для расчета НТ использованы следующие документы: Положение по проведению ремонта строительных машин агрегатно-узловым методом (М., Минпромстроя СССР, ЦБНТИ, 1973); Прейскурант N 26-05-88 "Оптовые цены на капитальный ремонт строительных машин, оборудования, специального подвижного автомобильного транспорта, узлов и деталей автомобилей" (М., Минпромстрой СССР, 1979).
Определение годовых объемов работ
Количество дней нахождения одной среднесписочной строительной машины в техническом обслуживании и ремонте, приходящееся на 1 маш.-ч работы, определяется по
формуле (4). При
Кx = 0,83

.
Количество машино-часов работы в год на одну среднесписочную машину определяется по
формуле (7) при
Ф = 247 дн;
Ксм = 1,4; 1/
Ксмtсм = 0,093;
Tз = 0;
Tп = 4 дн;
Tоб = 2000 маш.-ч.

.

.
Годовой объем работ по сравниваемым вариантам по
формуле (8):
В' = 100·2302 = 230200 маш.-ч;
В" = 100·2386 = 238600 маш.-ч.
Затраты на основную заработную плату рабочих, занятых техническим обслуживанием и текущим ремонтом (плановым и неплановым) строительных машин определяется по
формуле (10) при
tр = 13090 маш.-ч;
Кx = 0,8;
Кс = 1,062;
Ст = 0,755 руб/ч
Затраты на выполнение технического обслуживания и текущего ремонта (планового и непланового) строительных машин определяются по
формуле (9) при
Кзч = 1,35

;

.
Стоимость ремонтных комплектов, заменяемых при плановых текущих ремонтах, приходящихся на 1 маш.-ч работы - по
формуле (12)

.
Затраты на заработную плату экипажа при
Стi = 0,702 и
Tп = 2 дня по
формуле (15) Зэк = 10·2·0,702 = 14,04 руб.
Затраты на заработную плату такелажников Зт = 0.
Общее время тягача при
Zср = 60 км
Vt = 9 км/ч;
tпв = 2,9 ч по
формуле (16а)

.
Затраты на эксплуатацию автомобиля (трейлера) при
Ца = 2,30 руб.;
Цд = 0,21 руб.;
Кд = 1,15 по
формуле (17) Зэм = (16,2·2,30 + 2·60·0,21)1,15 = 71,83 руб.
Затраты на эксплуатацию вспомогательного крана

.
Затраты на транспортировку машин в плановый текущий ремонт (по базисному варианту) и приходящиеся на 1 маш.-ч работы определяются по
формуле (14). Цифра 2 - перевозка с объекта на базу для ремонта и обратно.
Транспортные затраты при агрегатном методе ремонта, приходящиеся на 1 маш.-ч работы, составляют

.
Дополнительные текущие затраты на содержание технического обменного пункта, приходящиеся на 1 маш.-ч работы, составляют

.
Расчет

и

в примере не приводится.
Таким образом, по
формуле (20) текущие затраты по БТ и НТ составляют

,

.
Расчет капитальных затрат
Экономия капитальных затрат на основные производственные фонды вследствие уменьшения необходимого количества машин определяется по
формуле (23)

.
При расчете передвижных средств выяснено, что для проведения АМР кроме существующих передвижных средств необходимы следующие:
передвижные мастерские на ЗИЛ-130 - 2 шт.

........ 7285 руб.;
автокран КС-2561Е - 2 шт.,

....................... 7270 руб.;
автомобиль ГАЗ-52 - 4 шт.,

....................... 4020 руб.
Дополнительные капитальные затраты на создание и оборудование передвижных средств для проведения АМР подсчитываются по
формуле (24)
| | ИС МЕГАНОРМ: примечание. Формула дана в соответствии с официальным текстом документа. | |

,
где 7285, 7270, 4020 - балансовые стоимости необходимых передвижных средств для проведения АМР.
Под обменный пункт построено здание, балансовая стоимость которого равна 75 тыс. руб. Стоимость технологического оборудования обменного пункта 4900 руб.
Дополнительные капитальные затраты на создание и оборудование обменных пунктов подсчитываются по
формуле (25).

.
Дополнительные капитальные затраты на создание оборотного фонда подсчитываются по формулам (
26,
27).
Сi определяется по Прейскуранту оптовых цен; периодичность проведения ремонтов - по принятому плану; Tп = 1500 мото-ч; К = 1,1; М = 100.
Для проведения Т-1:
1. Катки однобортные
A = 6 шт.; B = 20 дн.
П1 = 6·100·20·1500·1,1/365·1200 = 45,2.
Принимаем П1 = 46, С1 = 39 руб.
П1С1 = 46·39 = 1794 руб.
2. Катки двубортные
A = 4; B = 20 дн.
П2 = 4·100·20·1500·1,1/365·1200 = 30,1.
Принимаем П2 = 31, С2 = 38 руб.
П2С2 = 31·38 = 1178 руб.
3. Лезвие ножа
A = 1; B = 15 дн.
П3 = 6, С3 = 34 руб.
П3С3 = 6·34 = 204 руб.

.
Аналогично:

;

.
Суммарный объем капитальных затрат на создание оборотного фонда

.
Экономия капитальных вложений в оборудование баз ТО и Р определяется по
формуле (28).
Строительная организация располагает двумя универсальными базами для технического обслуживания и ремонта 75 строительных машин и одной для 160 машин. Тогда экстраполированный норматив удельных капитальных вложений на оборудование баз (табл. 21 СН 469-79) в расчете на одну машину Куд.об = 2280 руб.
Принимаем Xj = 0,3;

.
Дополнительные капитальные затраты на увеличение мощностей предприятий по ремонту агрегатов и узлов

рассчитываются по
формуле (29).
Программа ремонта агрегатов и узлов приводится в табл. 2.
Таблица 2
Виды ремонта | Количество ремонтов на парк машин | Стоимость ремонта комплектов узлов | Программа ремонта, руб. |
Р-1 | 64 | 420 | 26880 |
Р-2 | 32 | 1430 | 45760 |
Р-3 | 32 | 2343 | 74976 |
Итого | | | 147616 |
Предполагается разместить ремонт агрегатов и узлов следующим образом: Срп1 = 92 тыс. руб. - на заводе по ремонту агрегатов и узлов мощностью 800 тыс. руб.; Срп2 = 56 тыс. руб. - на универсальном РМЗ мощностью 2500 тыс. руб.
Тогда по табл. 64 СН 469-79 (при необходимости - табл. 65 там же)

;

.

.
Экономия капитальных вложений в ремонтные предприятия от сокращения времени простоя в капитальном ремонте рассчитывается по
формуле (30).
По данным Минпромстроя при переходе на АМР сокращение сроков простоя в капитальном ремонте полнокомплектных машин по бульдозерам составляет 37,5%.
В строительной организации 25% капитального ремонта проводят в собственных РММ отремонтированными комплектами, а 75% - ремонт полнокомплектных машин АМР на РМЗ (Српч = 56 тыс. руб).
Принимаем Нпл = 0,3,

.
Экономия капитальных вложений в мастерские баз ТО и Р по объемам строительно-монтажных работ от перехода на АМР определяется по
формуле (31).
Xm = 0,2; Куд.стр = 3706 руб/маш.

.
По
формуле (22) разность удельных капитальных затрат по БТ и НТ составит.
Тогда годовой экономический эффект от перехода на АМР составит по
формуле (3).
Э = 238600[(1,1298 - 0,9248) - 0,15·0,5549] = 29061 руб.
В пересчете на одну машину годовой экономический эффект составляет 290,6 руб., что дает основание для перевода парка бульдозеров на агрегатный метод ремонта.
МЕТОДИКА ОПРЕДЕЛЕНИЯ КОЛИЧЕСТВА МАШИН, С КОТОРОГО
ЦЕЛЕСООБРАЗЕН ПЕРЕХОД НА АГРЕГАТНЫЙ МЕТОД РЕМОНТА
При определении парка машин, восстанавливаемых агрегатным методом, используется квалиметрический подход <*>, позволяющий суммарно оценить машины по отдельным показателям.
--------------------------------
<*> Предложен канд. техн. наук Бардышевым О.А.
Для выполнения работы составляется матрица, в которую в случайном порядке заносятся все машины рассматриваемой организации.
Факторы, влияющие на целесообразность организации агрегатного ремонта, оцениваются по балльной системе.
Все рассматриваемые факторы условно разделяются на две группы: основные и вспомогательные. К основным относятся:
агрегатирование машин, то есть пригодность их к агрегатному ремонту с точки зрения ремонтной технологичности;
целесообразность создания оборотного фонда в зависимости от величины однотипных машин в парке.
Фактор 1 - приспособленность строительных машин к агрегатному ремонту оценивается в 0, 2, 4, 6 баллов в зависимости от степени делимости машин на агрегаты, конструктивной законченности, доступности и легкосъемности агрегатов, удобства их демонтажа, монтажа, регулировки и т.д. Оптимальный вариант - при 0, нежелательный - при 6.
Фактор 2 - целесообразность создания собственного оборотного фонда определяется в зависимости от величины парка однотипных машин по системе трех баллов: 0 - при парке св. 8 машин; 2 - при наличии 5 - 8 машин, 4 - при 4-х и менее машин.
Эти факторы являются определяющими и должны оцениваться таким образом, чтобы исключить или резко уменьшить вероятность неправильного выбора.
Вспомогательные факторы оцениваются по двубалльной системе: 0 - при благоприятном случае и 1 - при неблагоприятном случае.
К их числу относятся: фактор 3 - важность машины для выполнения строительно-монтажных работ в рассматриваемом году или периоде; фактор 4 - сложность получения агрегатов для создания собственного оборотного фонда; фактор 5 - возможность восстановления агрегатов в промышленности или мастерских управления (треста); фактор 6 - наличие технической документации на агрегатный ремонт; фактор 7 - наличие в машине невзаимозаменяемых узлов.
Суммирование баллов позволяет ранжировать машины по степени целесообразности организации агрегатного ремонта для каждого конкретного типа

.
Верхний предел числа К по данной методике оценки равен 5, т.е. при К = 6 агрегатный ремонт машин нецелесообразен. Такое значение критерия определяется выбором системы оценок и, как показали проверочные расчеты, себя оправдывает.
При К = 0 - 1 практически нет препятствий для организации агрегатного ремонта данной машины;
К = 2 - 3 показывает, что агрегатный ремонт данных машин должен выполняться во вторую очередь, а при К = 4 - 5 машину следует считать ограниченно годной для данной цели.
В случае, если однотипных сборочных единиц на одном рассматриваемом типе машин более двух, то целесообразность перехода на ремонт агрегатным методом может быть установлена не на парк машин, на их отдельные сборочные единицы, при условии, что их общее количество более восьми.
Пример определения парка машин и агрегатов, ремонтируемых агрегатным методом представлен в таблице.
ПРИМЕР ОПРЕДЕЛЕНИЯ ПАРКА МАШИН И АГРЕГАТОВ,
РЕМОНТИРУЕМЫХ АГРЕГАТНЫМ МЕТОДОМ
Марка машины, наименование агрегата | Число машин, агрегатов в парке | Фактор | Примечание |
1 | 2 | 3 | 4 | 5 | 6 | 7 | К |
Экскаватор ЭО-4121 | 12 | 0 | 0 | 0 | 1 | 1 | 1 | 0 | 3 | Ремонт целесообразно проводить во 2-ю очередь |
" ЭО-5122 | 5 | 0 | 2 | 0 | 1 | 1 | 1 | 0 | 5 | Ограниченно годная |
" Э-10011 | 24 | 0 | 0 | 0 | 0 | 0 | 0 | 0 | 0 | Целесообразно |
" Э-652 | 4 | 0 | 4 | 0 | 0 | 0 | 0 | 1 | 5 | Ограниченно годная |
Бульдозер Д-492 | 19 | 0 | 0 | 0 | 0 | 0 | 0 | 0 | 0 | Целесообразно |
" Д-687 | 10 | 0 | 0 | 0 | 0 | 0 | 0 | 0 | 0 | Целесообразно |
" Д-686 | 6 | 0 | 2 | 0 | 0 | 0 | 0 | 0 | 2 | Ремонт целесообразно проводить во 2-ю очередь |
Автокран К-162 | 12 | 0 | 0 | 0 | 0 | 1 | 1 | 0 | 2 | То же |
" К-67 | 13 | 0 | 0 | 0 | 0 | 1 | 1 | 0 | 2 | " |
" КС-2561 | 3 | 0 | 4 | 1 | 0 | 1 | 1 | 0 | 7 | Нецелесообразно |
Автогрейдер Д-557 | 8 | 0 | 2 | 1 | 0 | 0 | 0 | 0 | 3 | Ремонт целесообразно проводить во 2-ю очередь |
Автоскрепер Д-357П | 6 | 0 | 2 | 0 | 1 | 1 | 1 | 0 | 5 | Ограниченно годная |
Каток опорный <*> ЭО-5122 | 60 | 0 | 0 | 0 | 0 | 0 | 0 | 0 | 0 | Целесообразно |
Гидроцилиндр стрелы <*> ЭО-5122 | 10 | 0 | 0 | 0 | 1 | 1 | 1 | 0 | 3 | Ремонт целесообразно проводить во 2-ю очередь |
| 40 | 0 | 0 | 0 | 0 | 0 | 0 | 1 | 1 | Целесообразно |
| 10 | 0 | 0 | 0 | 0 | 0 | 0 | 0 | 0 | " |
--------------------------------
<*> Однотипные сборочные единицы, входящие в состав разнотипных машин или имеющие отличные от базовой машины характеристики факторов, могут рассматриваться как самостоятельные ремонтные единицы.