Скачать Серия 3.019.1-2 Выпуск 1. Изделия. Рабочие чертежиДата актуализации: 01.01.2021 Серия 3.019.1-2
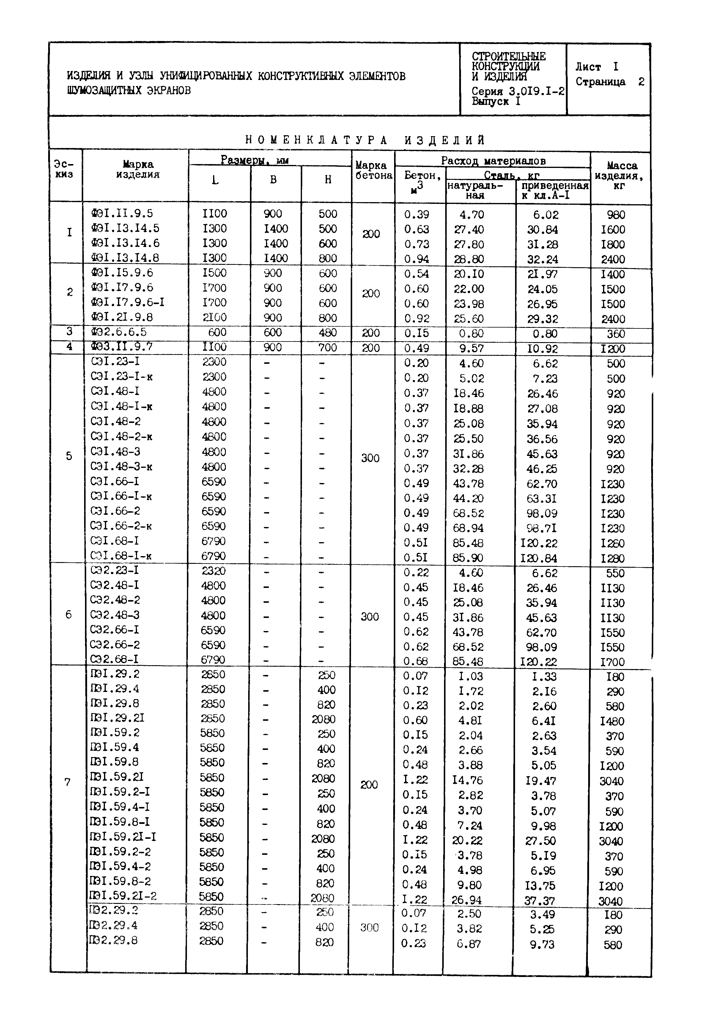
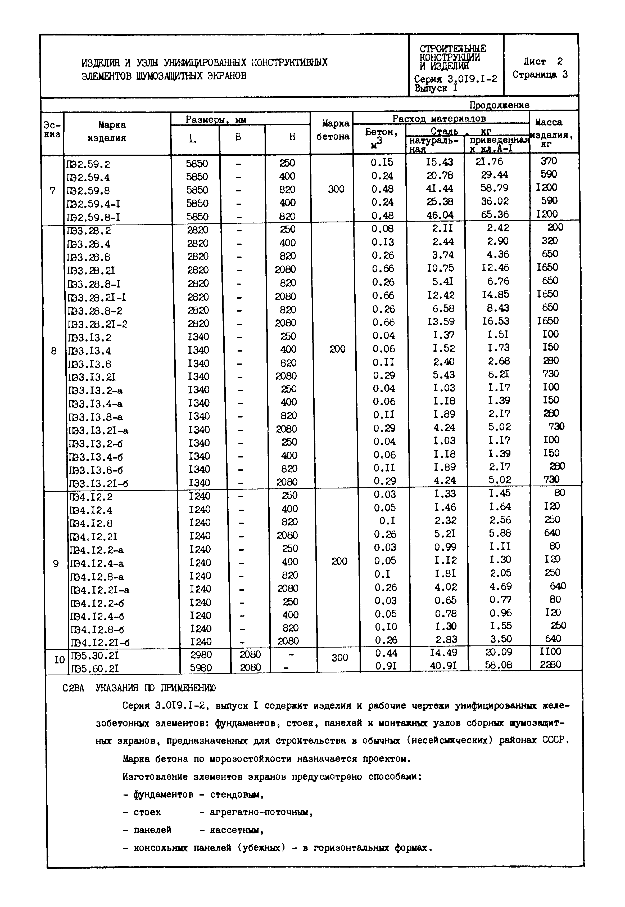
Выпуск 1. Изделия. Рабочие чертежи| Обозначение: | Серия 3.019.1-2 | | Обозначение англ: | Series 3.019.1-2 | | Статус: | не определен законодательством | | Название рус.: | Выпуск 1. Изделия. Рабочие чертежи | | Дата добавления в базу: | 01.09.2013 | | Дата актуализации: | 01.01.2021 | | Дата введения: | 01.09.1987 | | Дата окончания срока действия: | 30.06.2003 | | Область применения: | Альбом содержит рабочие чертежи унифицированных железобетонных элементов: фундаментов, стоек, панелей и монтажных узлов сборных шумозащитных экранов, предназначенных для строительства в обычных (несейсмических) районах СССР |
   
|