Скачать Часть II Строительные конструкции и изделия. Книга 1 (разделы I, II). Средние районные сметные цены на материалы изделия и конструкции (территориальные районы 1-20, 31-45). Сборник сметных цен на материалы, изделия и конструкцииДата актуализации: 01.01.2021
|
| Обозначение: | Часть II |
| Обозначение англ: | Часть II |
| Статус: | не действует |
| Название рус.: | Строительные конструкции и изделия. Книга 1 (разделы I, II). Средние районные сметные цены на материалы изделия и конструкции (территориальные районы 1-20, 31-45). Сборник сметных цен на материалы, изделия и конструкции |
| Название англ.: | Building Components and Products |
| Дата добавления в базу: | 01.09.2013 |
| Дата актуализации: | 01.01.2021 |
| Дата введения: | 01.01.1991 |
| Дата окончания срока действия: | 01.09.2003 |
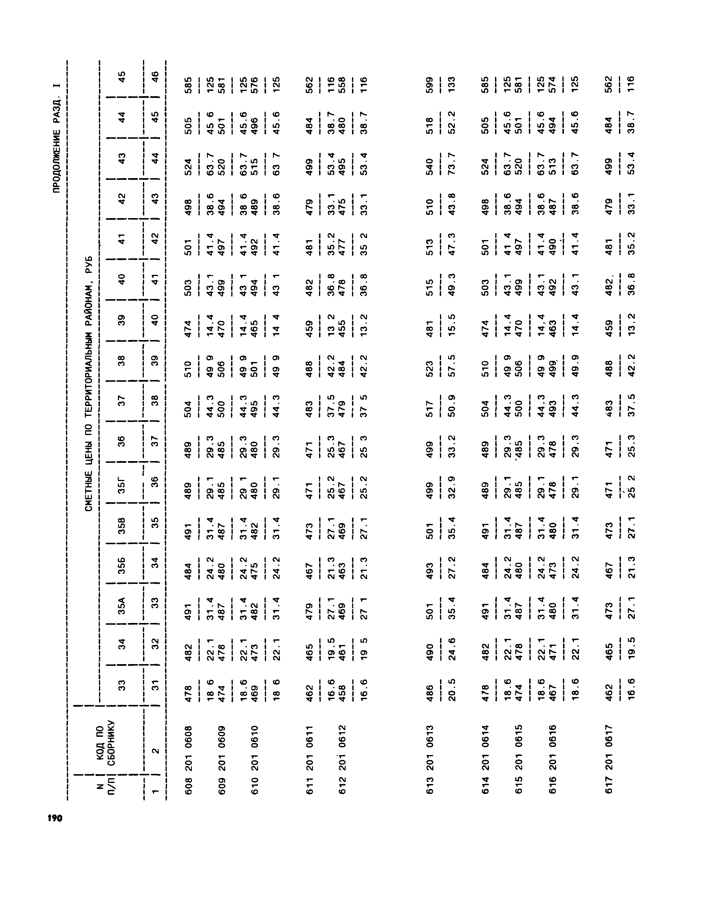
| Оглавление: | Общие положения Техническая часть Раздел I. Стальные конструкции промышленных и сельскохозяйственных зданий, сооружений и мостов Конструкции легкие металлические Каркасы производственных зданий Каркасы одноэтажных производственных зданий с рамными конструкциями (коробчатого сечения) типа "ОРСК" Рамы Коллоны Стойки подкрановые Связи вертикальные Балки Прогоны Комплекты (секция СКБ) с пространственной (решетчатой) конструкцией покрытия типа "КИСЛОВОДСК" Структурные плиты Коллоны Стойки фахверка Комплекты (секция СКБ) с пространственной (решетчатой) конструкцией покрытия типа "КИСЛОВОДСК" Структурные плиты Коллоны Опоры Прогоны Конструкции покрытий производственных зданий с применением профилей замкнутых гнутосварных прямоугольного сечения типа "МОЛОДЕЧНО" Фермы Балки подстропильные Детали крепления Надколонники Связи вертикальные Прогоны Конструкции покрытий пространственных типа "МОСКВА" Конструкции ограждающие и встроенные производственных зданий Переплеты оконные Вставки жалюзийные Ригели Сливы Фонари зенитные Элементы перегородок каркасных Каркасы Стойки Ригели Фланцы Двери Ворота распашные Конструкции многослойные облегченные ограждающие Панели Элементы фасонные (доборные) Конструкции строительные стальные Конструкции ограждающие производственных зданий Окна Ветровые ригели Балки промежуточные Сливы и нащельники Элементы крепления Прибор-стержень ПС Механизмы открывания Встроенные конструкции производственных зданий Лестницы маршевые Площадки Ограждения Конструкции резервуарные Конструкции строительные стальные резервуаров объемом от 100 до 50000 м? Строительные стальные конструкции, изготовляемые по индивидуальным проектам (чертежам КМ) Конструкции для зданий одноэтажных производственных Конструкции для комплектования одноэтажных производственных зданий с применением легких конструкций в покрытии Конструкции для зданий многоэтажных производственного и непроизводственного назначения Галереи и эстакады различного назначения Радио и телевизионные мачты, башни, антенные устройства Конструкции опор башенного типа различного назначения Конструкции для газопроводов (газоходы, воздуховоды, стволы дымовых и вытяжных труб) Конструкции устройств для хранения сыпучих материалов Конструкции емкостей для хранения жидкостей и газов (без арматуры) Конструкции для градирен Конструкции узлов коксохимических заводов Конструкции объектов сельского хозяйства Металлические каркасы промышленных печей Конструкции, заказываемые и поставляемые для комплектации объектов в виде отдельных сборочных единиц Раздел II. Строительные конструкции гидротехнических сооружений Козырьки забральные Крышки герметические Мосты подкрановые Облицовки водопроводов и водосбросов Облицовки переходных камер Опора катковая Пути разные Траверса Трубопроводы Тяга анкерная Части закладные Эстакада Кондуктор Двери герметические Крышки проемов |
| Разработан: | Промстройпроект Госстроя СССР Гипролеспром Минлеспрома СССР Ленгипромез Минметаллургии СССР СКБ Ленгидросталь Минэнерго СССР ВНИТИпромстальконструкция Минмонтажспецстроя СССР ЦНИИпроектстальконструкция Госстроя |
| Утверждён: | 05.10.1990 Госстрой СССР (Государственный комитет Совета Министров СССР по делам строительства) (USSR Gosstroy 80) |
| Издан: | Стройиздат (1994 г. ) |
| Заменяет собой: |
















































































































































































































































































































