Скачать Часть II Строительные конструкции и детали. Сборник средних районных сметных цен на материалы, изделия и конструкцииДата актуализации: 01.01.2021
|
| Обозначение: | Часть II |
| Обозначение англ: | Часть II |
| Статус: | не действует |
| Название рус.: | Строительные конструкции и детали. Сборник средних районных сметных цен на материалы, изделия и конструкции |
| Дата добавления в базу: | 01.09.2013 |
| Дата актуализации: | 01.01.2021 |
| Дата введения: | 01.01.1984 |
| Дата окончания срока действия: | 01.01.1991 |
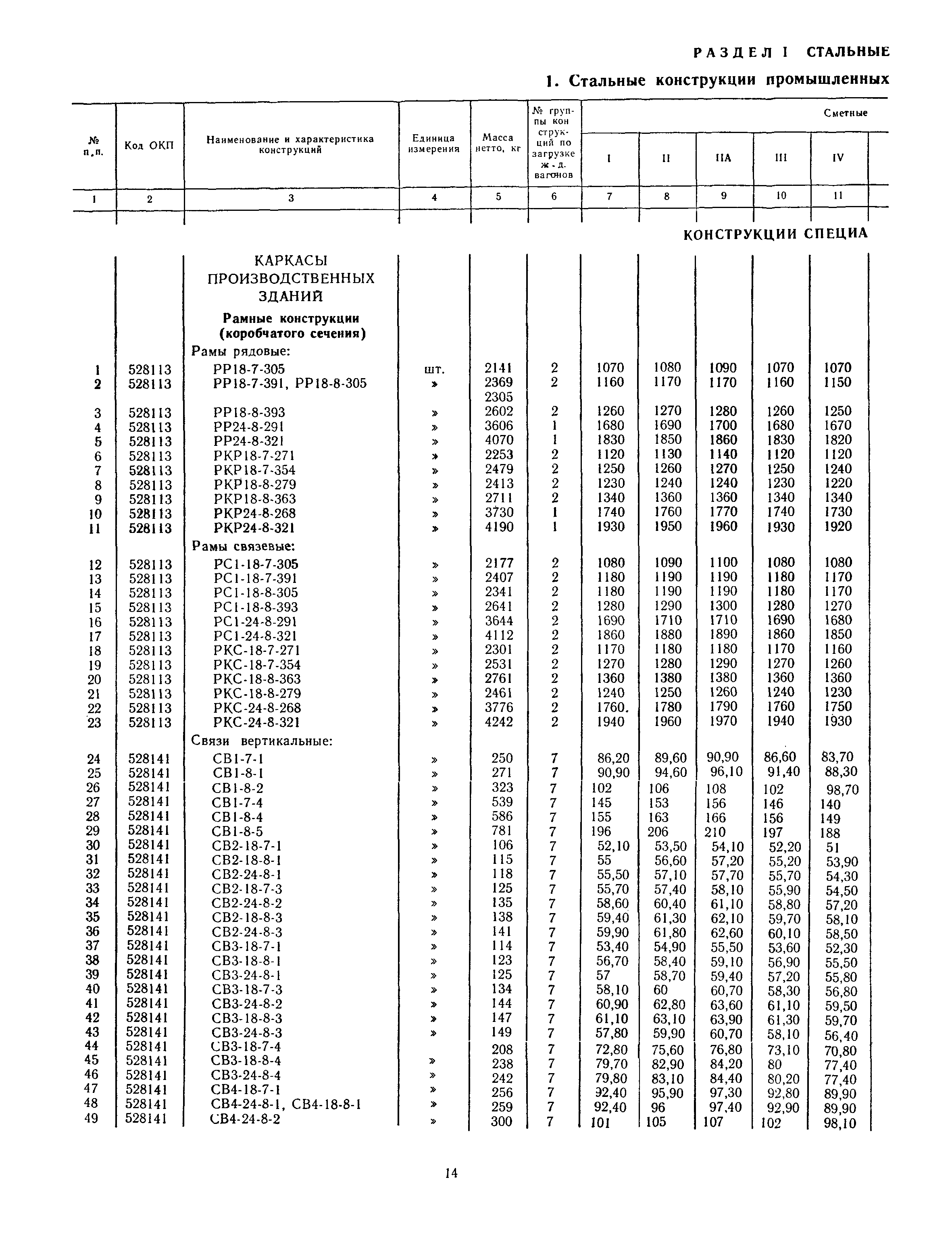
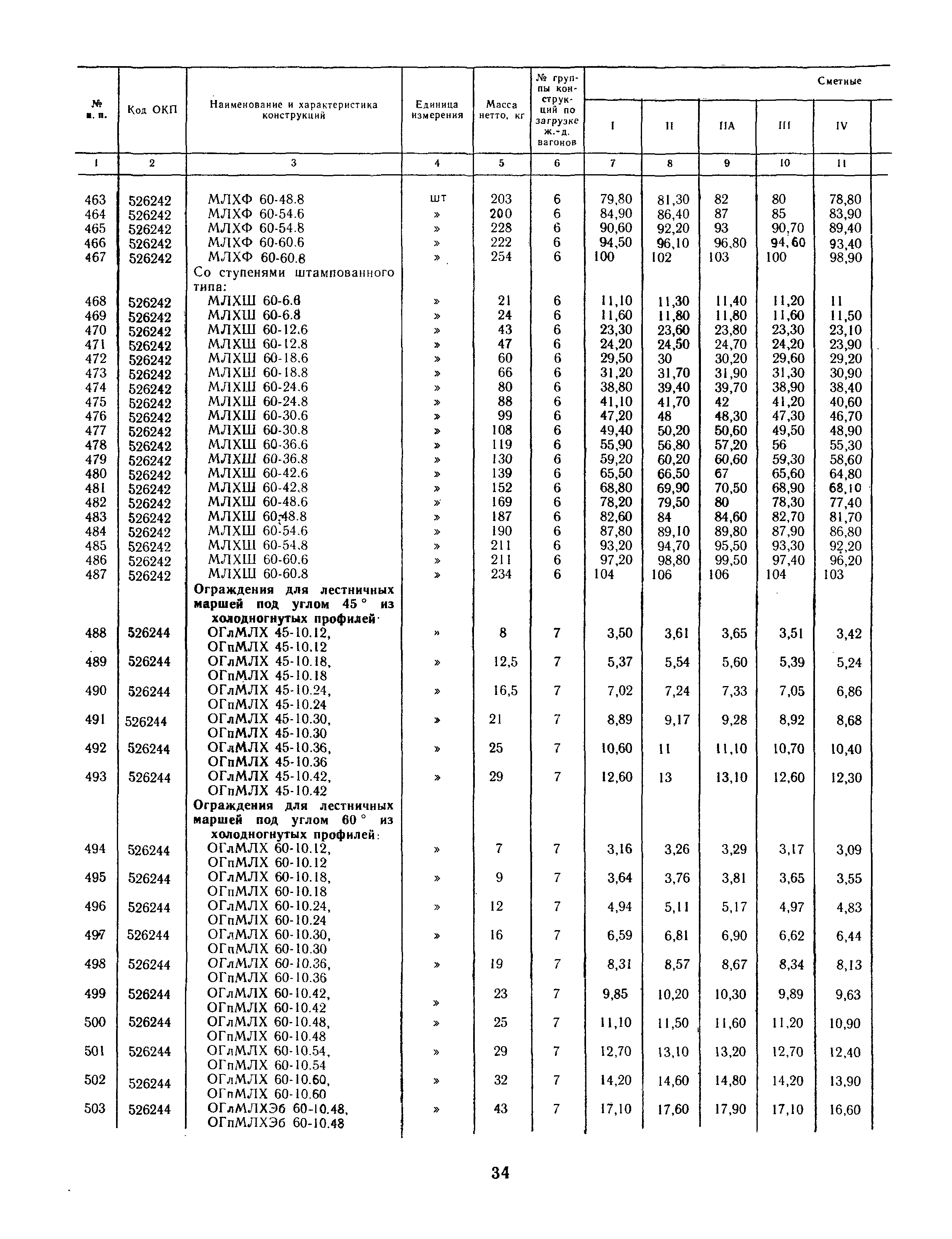
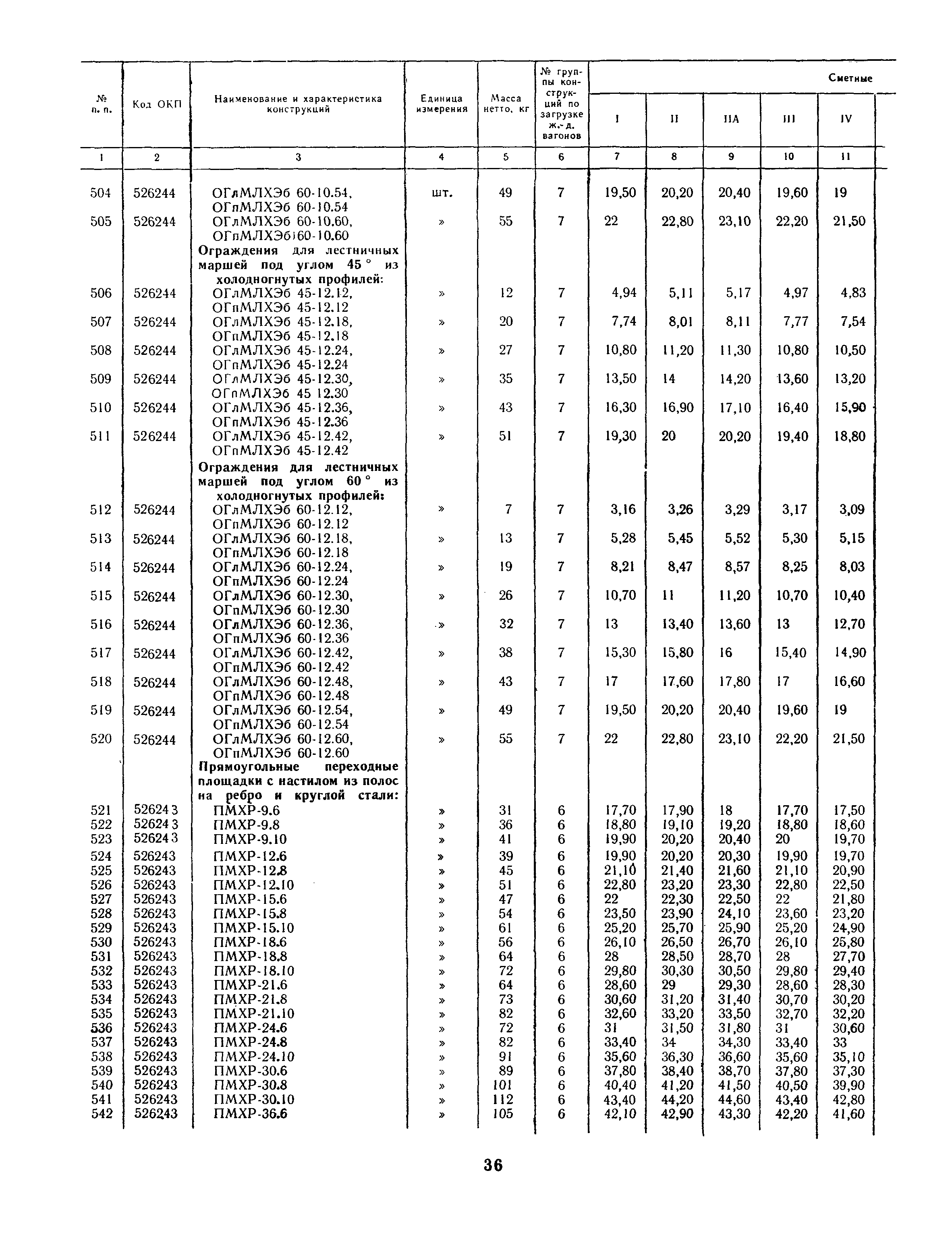
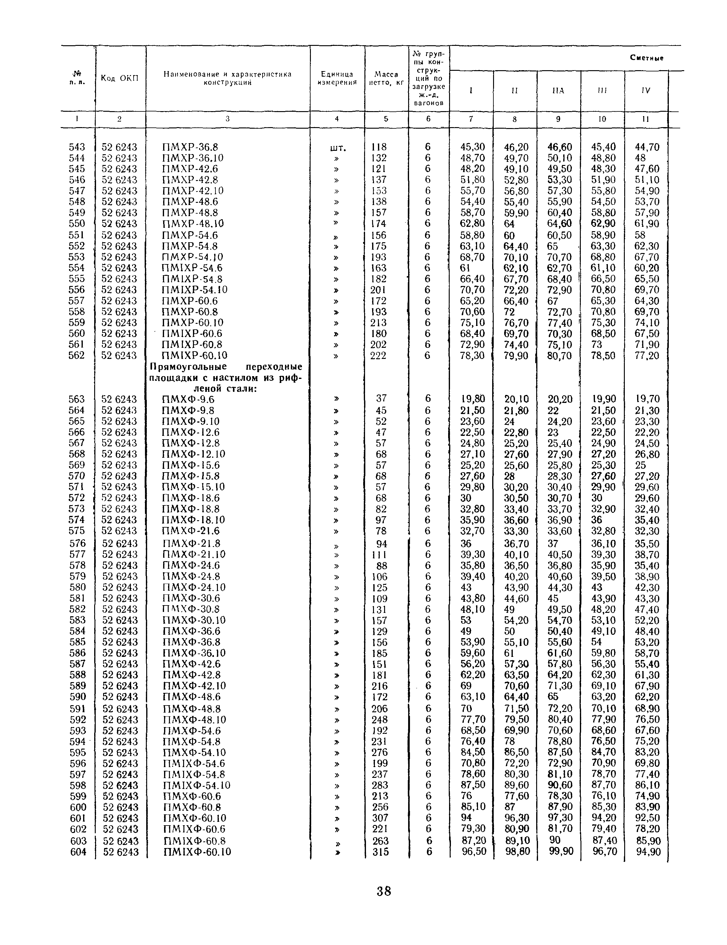
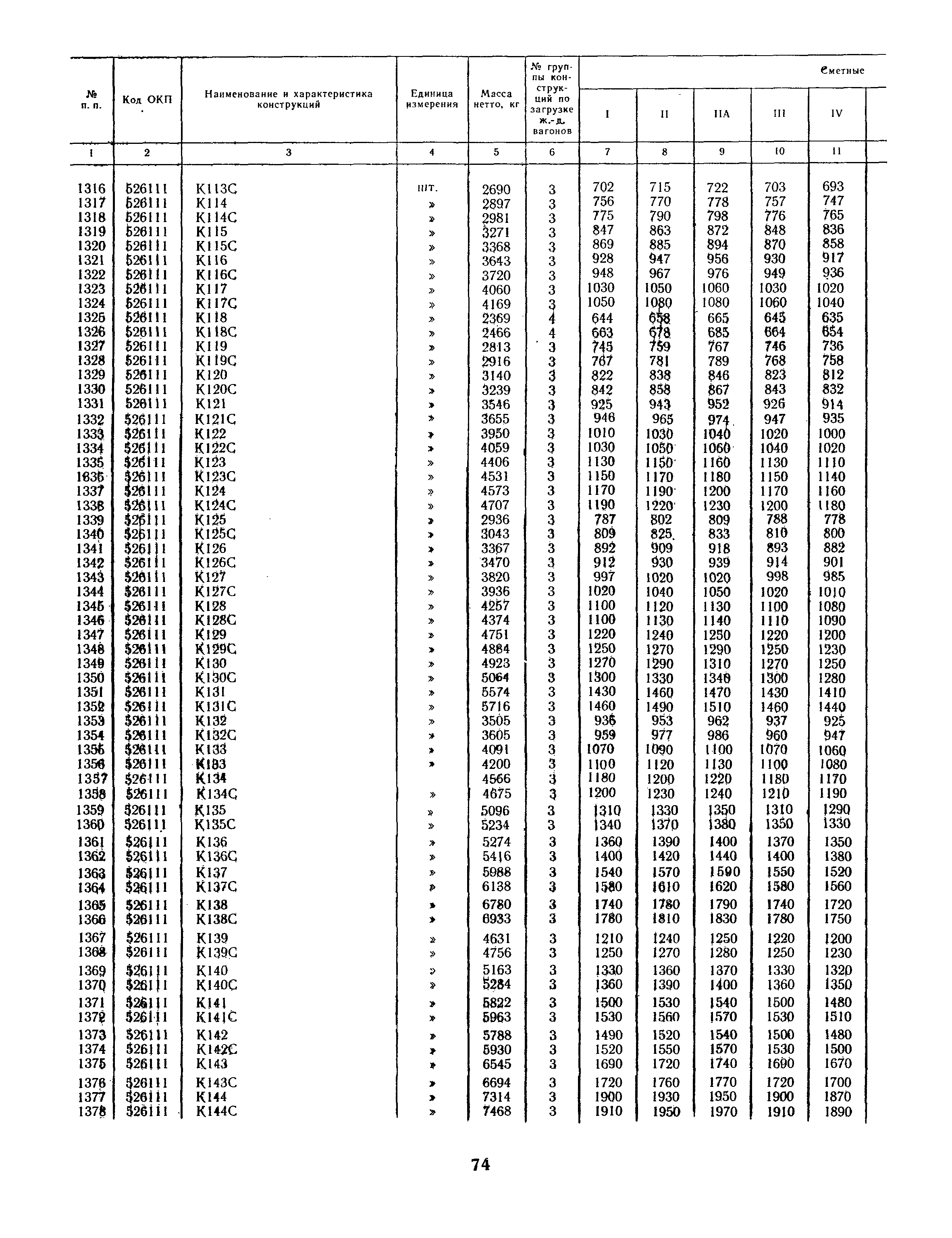
| Область применения: | Средние районные сметные цены на материалы, изделия и конструкции предназначены для определения сметной стоимости строительно-монтажных работ и показателя товарной строительной продукции Их надлежит применять при разработке единичных расценок на строительные работы, сметных норм (расценок) на монтаж оборудования, прейскурантов на строительство зданий и сооружений, сметных норм на здания и сооружения, укрупненных сметных норм на конструкции и виды работ и других сметных нормативов, а также при составлении сметной документации на строительство предприятий, зданий и сооружений. |
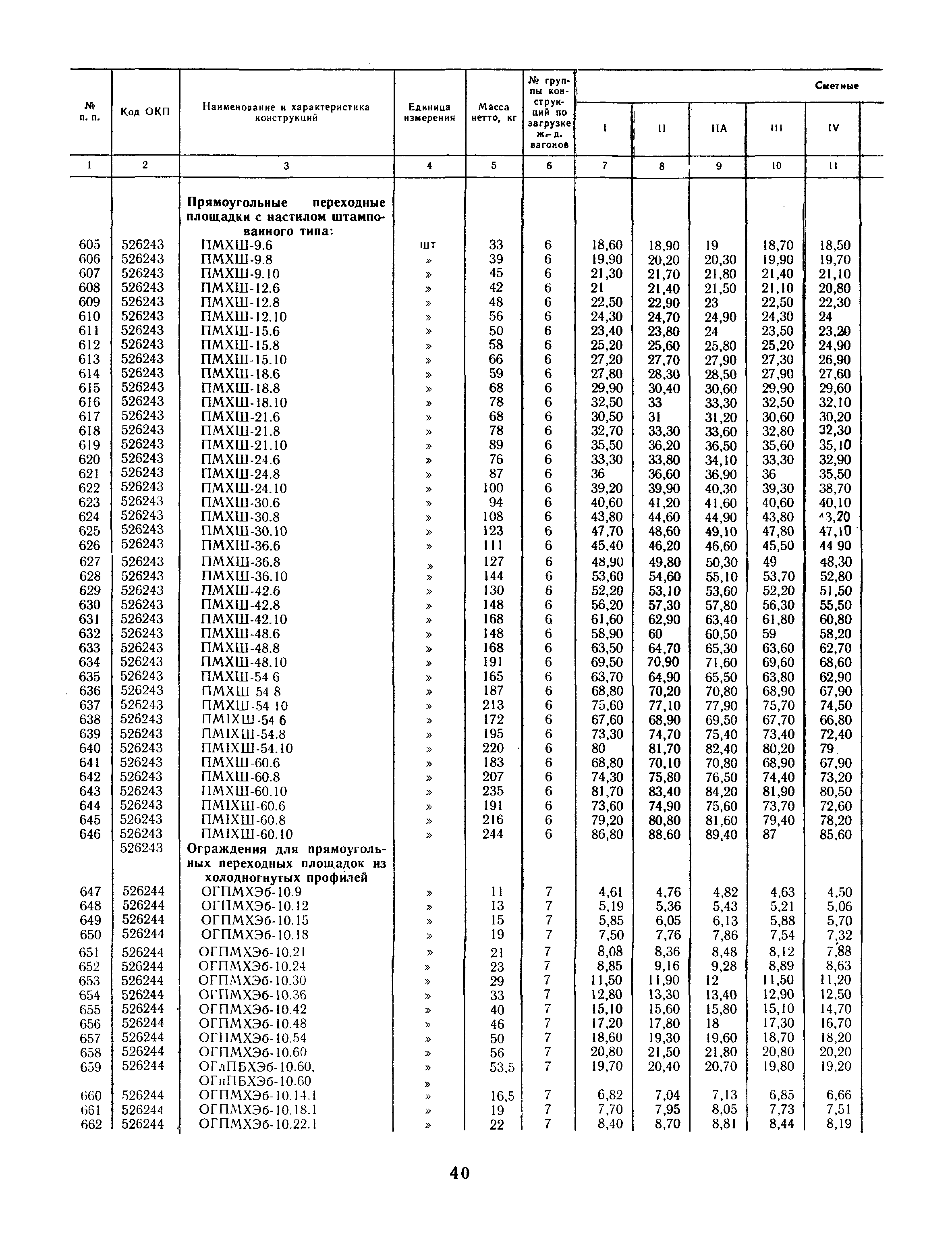
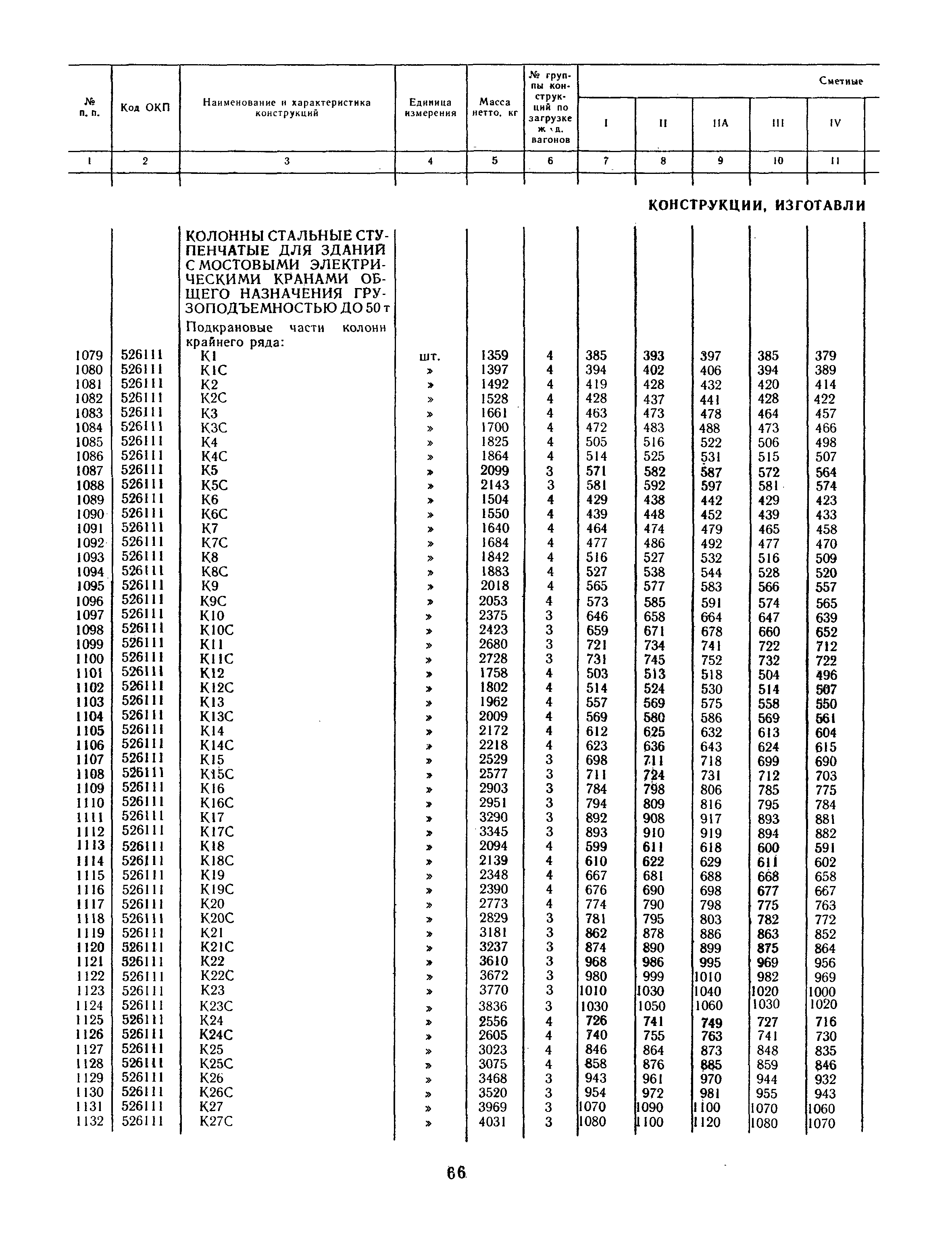
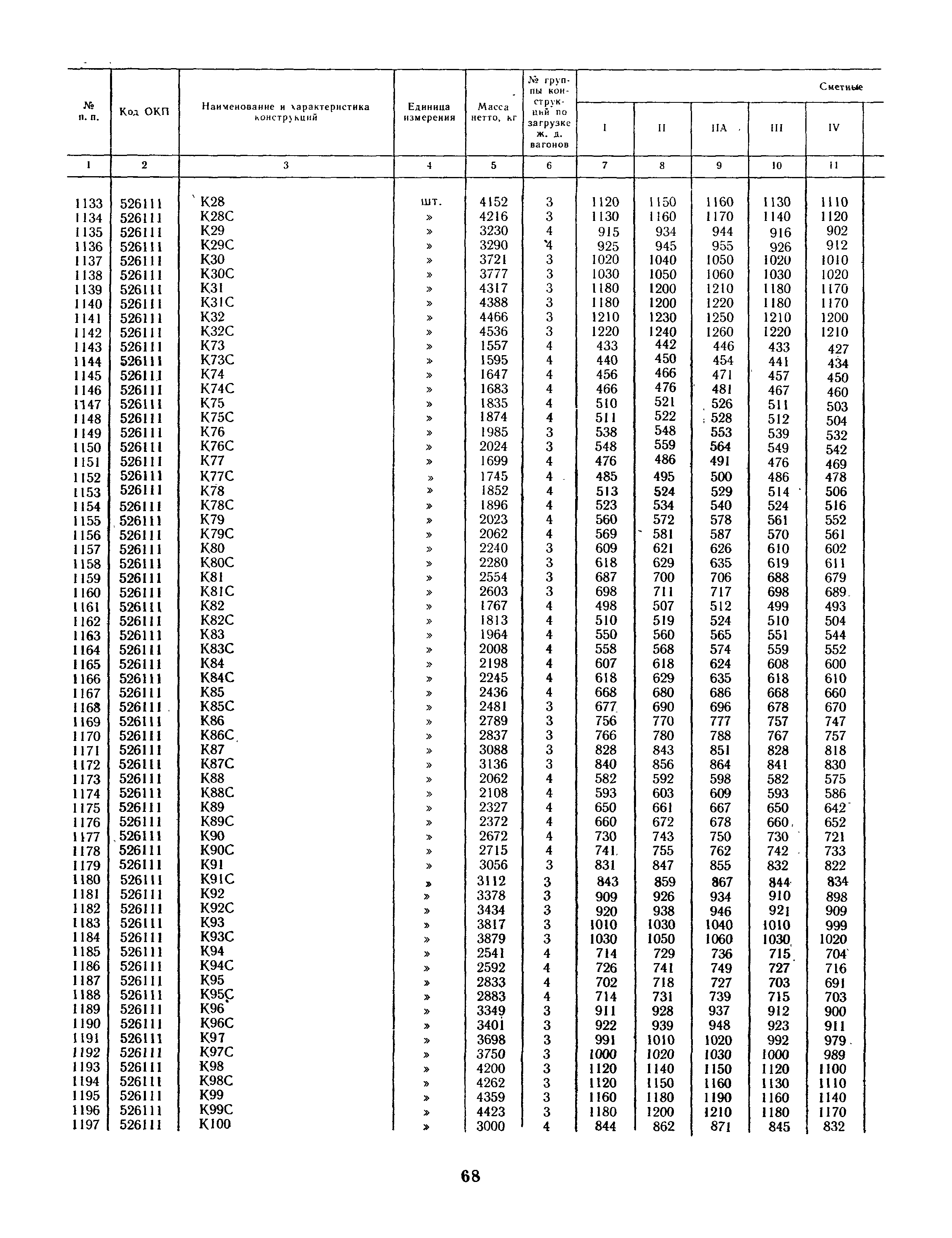
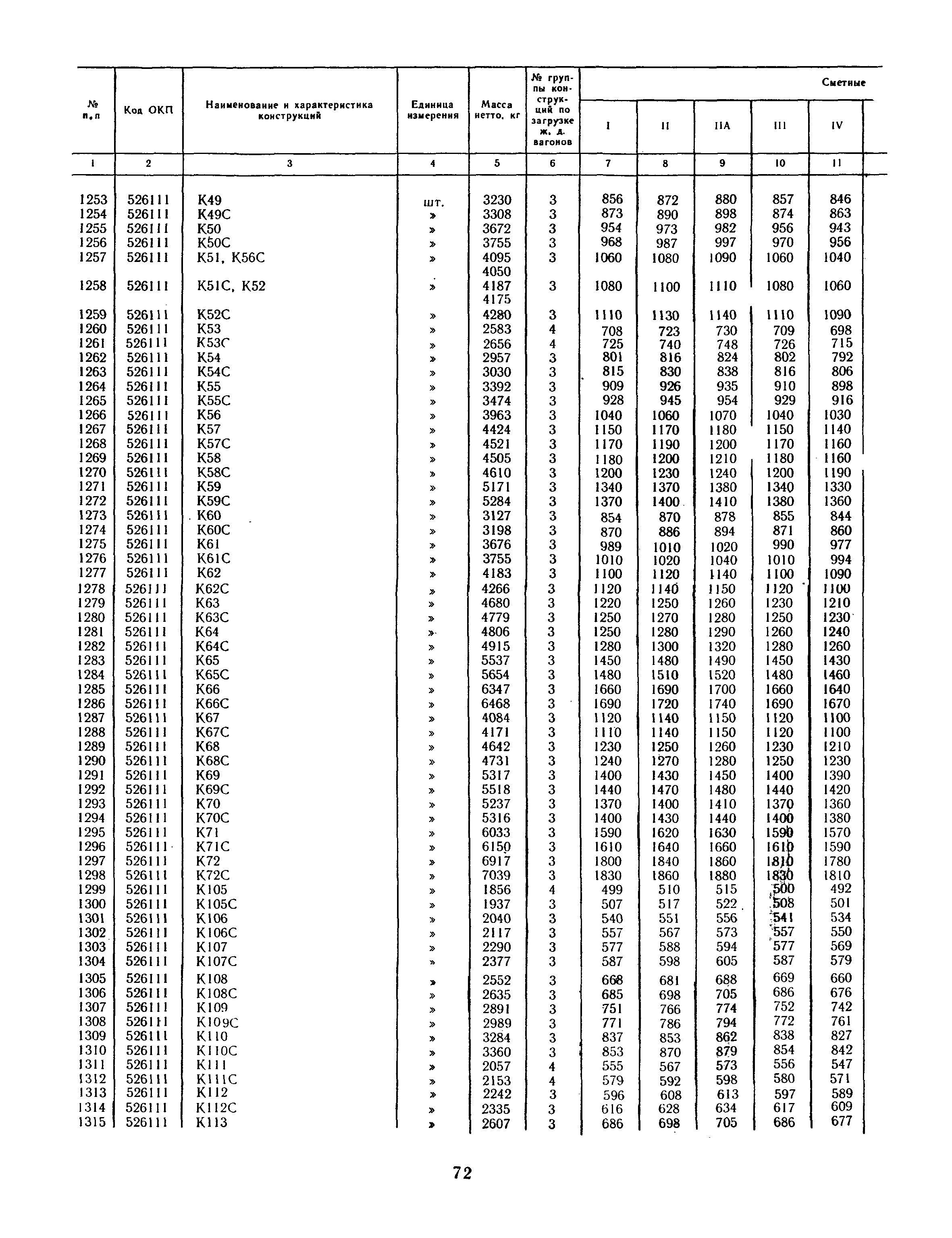
| Оглавление: | Общие положения Техническая часть Раздел 1. Стальные конструкции 1. Стальные конструкции промышленных зданий, сооружений и мостов Конструкции специализированного производства Конструкции, изготовляемые по типовым чертежам КМД Конструкции, изготовляемые по чертежам КМ Многослойные облегченные конструкции и детали Раздел II. Деревянные конструкции и детали 1. Блоки оконные деревянные для жилых зданий 2. Блоки оконные деревянные для общественных зданий 3. Блоки оконные деревянные с тройным остеклением и раздельно-спаренными пролетами 4. Блоки оконные и дверные балконные дерево-алюминиевые для общественных зданий 5. Блоки оконные деревянные для зданий промышленных предприятий 6. Блоки оконные для животноводческих и птицеводческих зданий 7. Переплеты оконные 8. Блоки дверные балконные деревянные 9. Блоки дверные деревянные внутренние для жилых и общественных зданий 10. Блоки дверные деревянные для зданий промышленных предприятий 11. Блоки дверные деревянные для животноводческих и птицеводческих зданий 12. Полотна дверные 13. Коробки оконные и дверные 14. Детали деревянные фрезерованные 15. Доски и бруски для покрытия полов со шпунтом и гребнем антисептированные 16. Обшивки наружные 17. Доски строганные 18. Шашки деревянные 19. Доски подоконные 20. Ворота деревянные 21. Конструкции деревянные клееные несущие без металлических изделий 22. Балки деревянные с черепными брусками антисептированные для перекрытий в жилых и общественных зданиях 23. Щиты деревянные для перекрытий и жилых и общественных зданиях, нестроганные, антисептированные 24. Щиты деревянные для междукомнатных перегородок, нестроганные, антисептированные 25. Опалубка деревянная 26. Элементы и детали встроенных и антресольных шкафов каркасной конструкции Раздел III. Лепные изделия и модели Раздел IV. Товарная арматура для монолитных железобетонных конструкций Раздел V. Литые конструкции промышленных печей и труб Раздел VI. Алюминиевые конструкции |
| Разработан: | НИИЭС Госстроя СССР |
| Утверждён: | 01.03.1982 Госстрой СССР (Государственный комитет Совета Министров СССР по делам строительства) (USSR Gosstroy 46) |
| Издан: | Стройиздат (1982 г. ) |
| Список изменений: | |
| Заменяет собой: |
|









































































































































































































Текстовое изменение опечатки