Скачать Руководство по проектированию предварительно напряженных железобетонных конструкций из тяжелого бетонаДата актуализации: 01.01.2021 |
| Статус: | действует |
| Название рус.: | Руководство по проектированию предварительно напряженных железобетонных конструкций из тяжелого бетона |
| Название англ.: | Guide to Design of Prestressed Reinforced Concrete Structures Made from Heavyweight Concrete |
| Дата добавления в базу: | 01.09.2013 |
| Дата актуализации: | 01.01.2021 |
| Область применения: | Руководство содержит положения по проектированию железобетонных предварительно-напряженных конструкций из тяжелого бетона, применяемых в промышленном и гражданском строительстве. В руководстве приведены требования главы СНиП II-21-75 «Бетонные и железобетонные конструкции», относящиеся к проектированию указанных конструкций, и положения, детализирующие эти требования, а также дополнительные рекомендации по проектированию и приближенные способы расчета конструкций. |
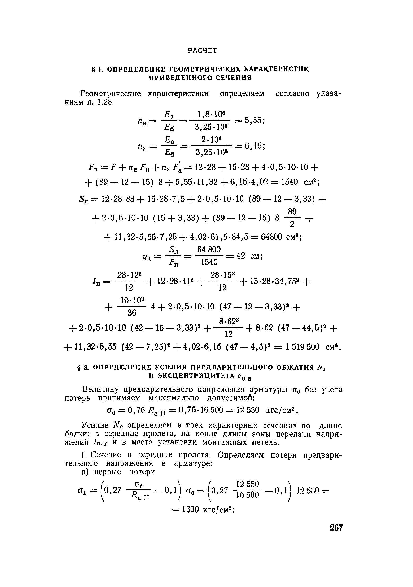
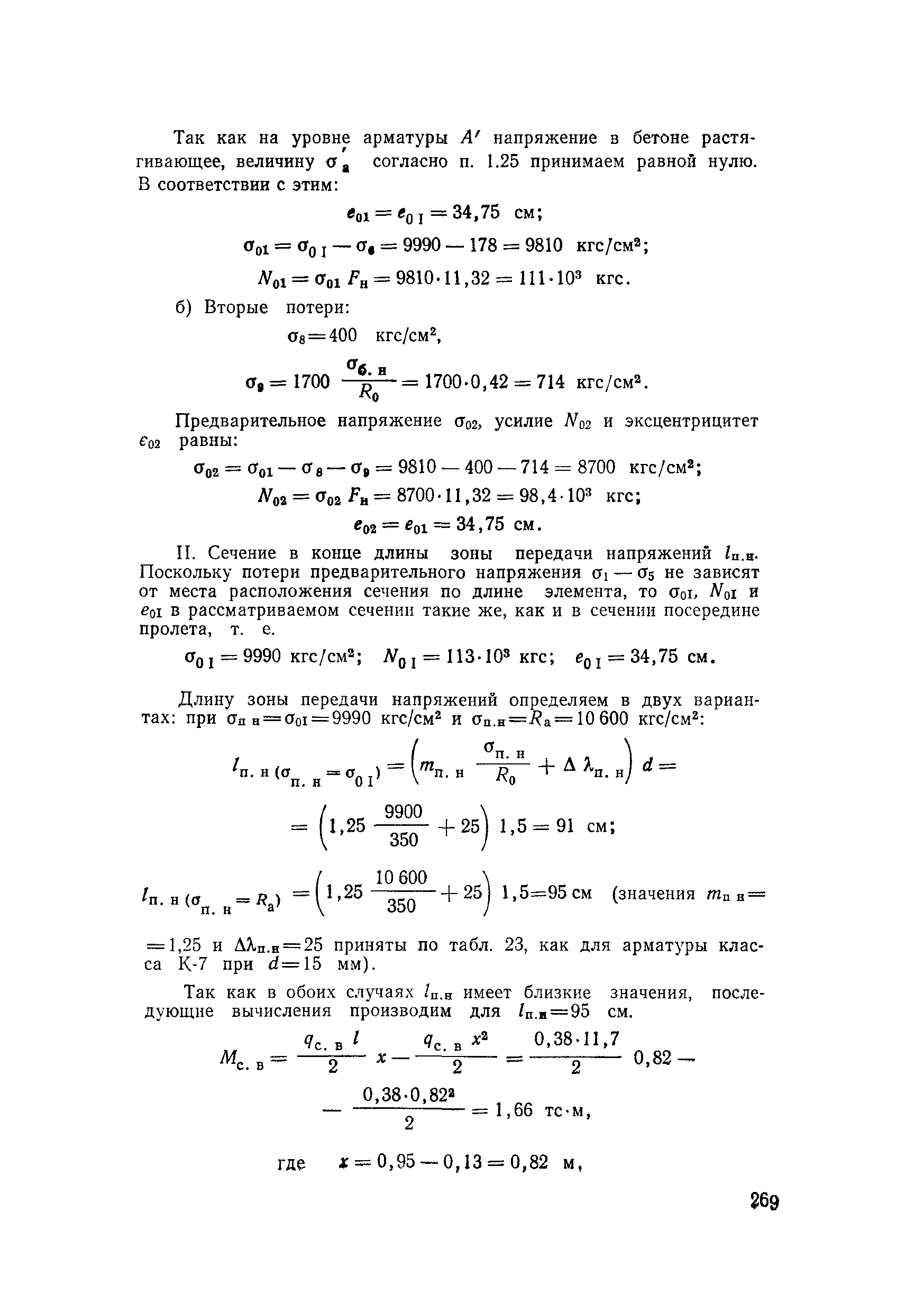
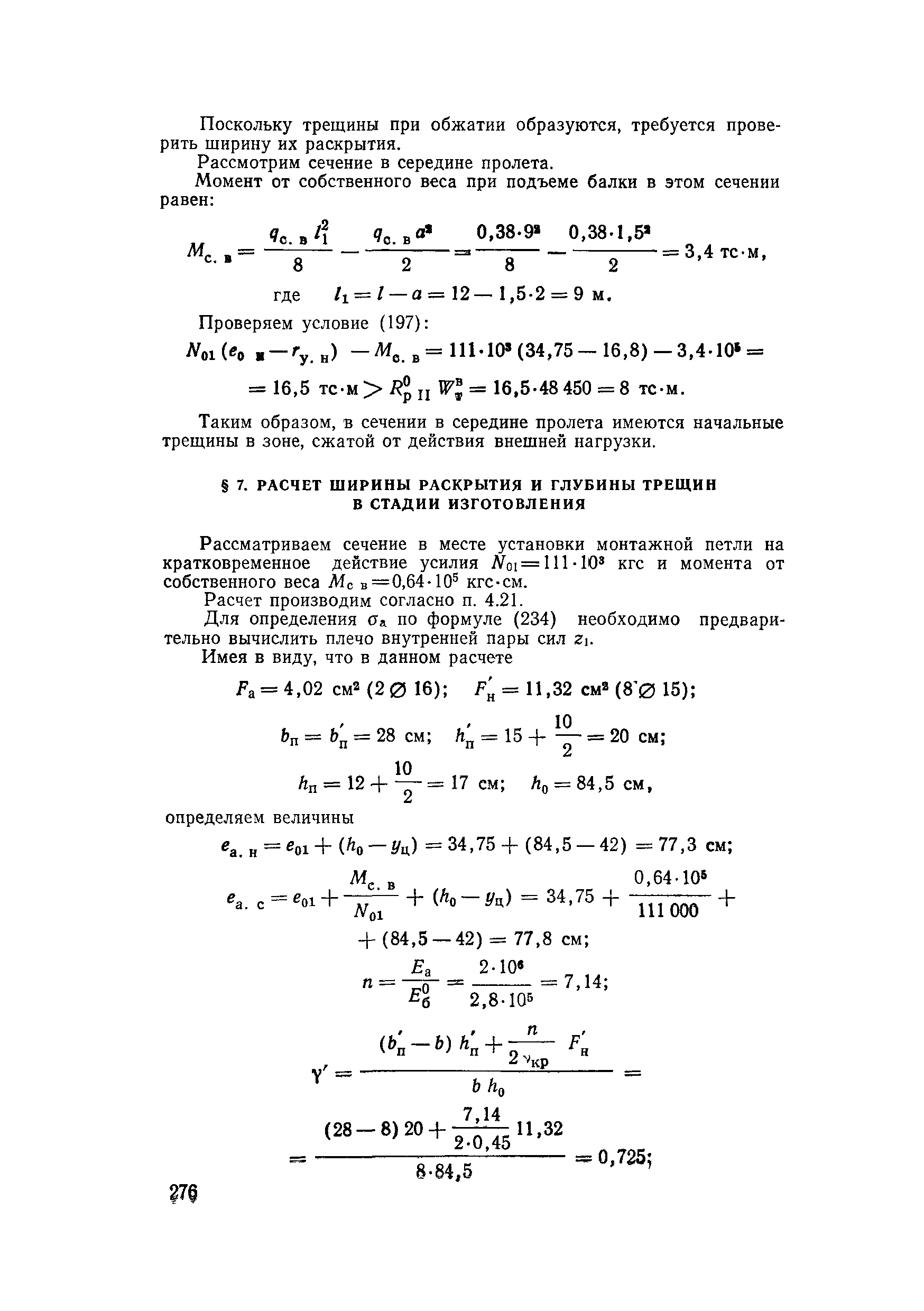
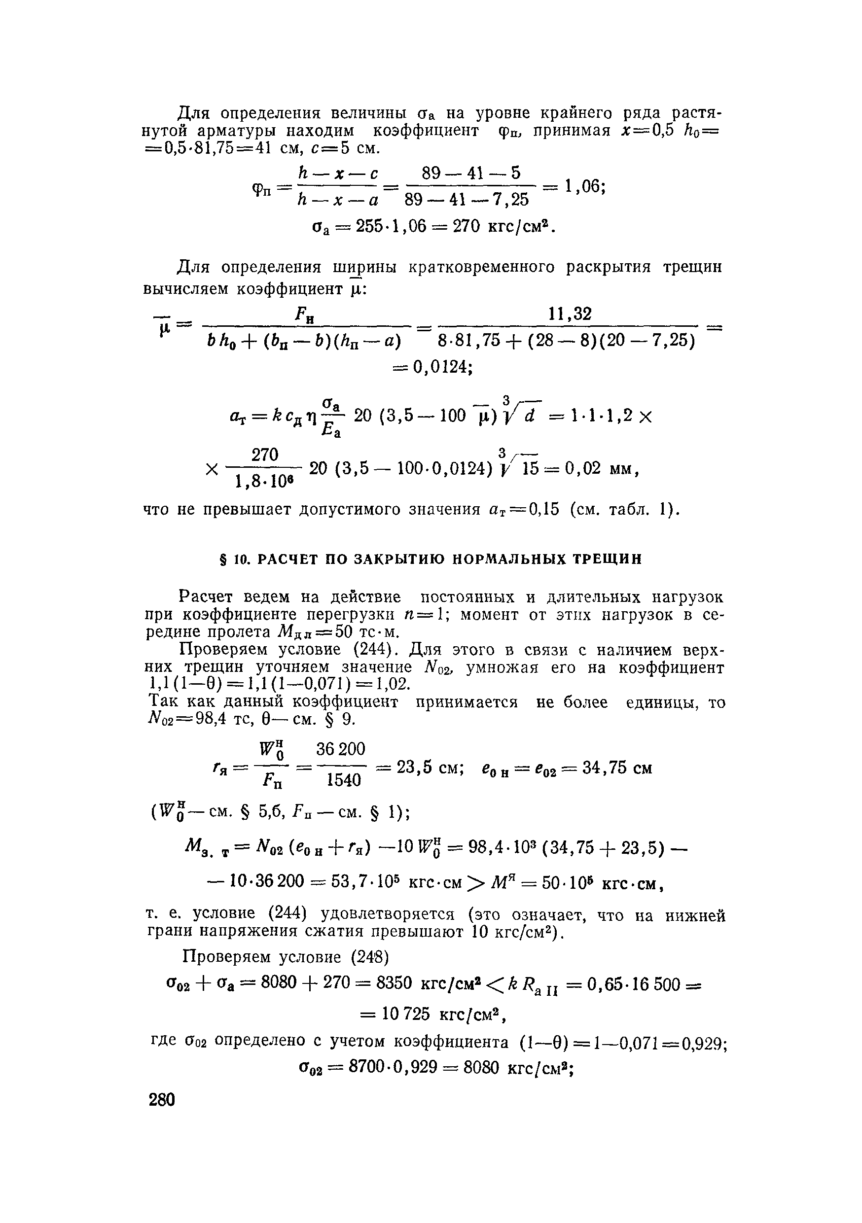
| Оглавление: | Предисловие Основные буквенные обозначения 1. Общие указания Основные положения Основные расчетные требования Предварительные напряжения в железобетонных конструкциях Примеры расчета 2. Материалы для железобетонных конструкций Бетон Нормативные и расчетные характеристики бетона Арматура Нормативные и расчетные характеристики арматуры 3. Расчет элементов железобетонных конструкций по предельным состояниям первой группы Расчет железобетонных элементов по прочности Общие указания Изгибаемые элементы Расчет сечений, нормальных к продольной оси элемента Прямоугольные сечения Тавровые и двутавровые сечения Тавровые и двутавровые сечения Элементы, работающие на косой изгиб Общий случай расчета нормальных сечений изгибаемых элементов Расчет сечений, наклонных к продольной оси элемента Расчет элементов постоянного по длине сечения, армированных хомутами без отгибов Расчет элементов постоянного сечения с отогнутыми стержнями Расчет элементов с переменной высотой сечения Расчет элементов без поперечного армирования Расчет наклонных сечений по поперечной силе при косом изгибе Расчет наклонных сечений по изгибающему моменту Внецентренно сжатые элементы Учет влияния прогиба элемента Расчет элементов симметричного сечения при расположении продольной силы в плоскости симметрии Кольцевые сечения Расчет элементов на воздействие предварительного обжатия Центрально и внецентренно растянутые элементы Центрально растянутые элементы Внецентренно растянутые элементы Расчет элементов прямоугольного сечения при расположении продольной силы в плоскости оси симметрии Расчет сечений, наклонных к продольной оси элементов Элементы, работающие на кручение с изгибом Элементы прямоугольного сечения Элементы таврового, двутаврового и других сечений, имеющих входящие углы Элементы кольцевого сечения с продольной арматурой, равномерно распределенной по окружности Примеры расчета Расчет железобетонных конструкций на выносливость Примеры расчета 4. Расчет элементов железобетонных конструкций по предельным состояниям второй группы Расчет железобетонных элементов по образованию трещин Расчет по образованию трещин, нормальных к продольной оси элемента Расчет по образованию трещин, наклонных к продольной оси элемента Расчет железобетонных элементов по раскрытию трещин Расчет по раскрытию трещин, нормальных к продольной оси элемента Расчет по раскрытию трещин, наклонных к продольной оси элемента Расчет железобетонных элементов по закрытию трещин Расчет по закрытию трещин, нормальных к продольной оси элемента Расчет по закрытию трещин, наклонных к продольной оси элемента Расчет элементов железобетонных конструкций по деформациям Определение кривизны железобетонных элементов на участках без трещин в растянутой зоне Определение кривизны железобетонных элементов на участках с трещинами в растянутой зоне Определение прогибов Определение продольных деформаций Приближенные методы расчета деформаций Примеры расчета 5. Конструктивные требования Общие требования Габариты и очертания элементов конструкций Защитный слой бетона Минимальные расстояния между стержнями арматуры Анкеровка арматуры Анкеровка напрягаемой арматуры Указания по армированию железобетонных элементов Продольное армирование элементов Поперечное армирование элементов Армирование концов предварительно-напряженных элементов Сварные соединения арматуры Отдельные указания по конструированию Приложение 1. Основные типы сварных соединений стержневой арматуры Приложение 2. Комплексный пример расчета балки покрытия Приложение 3. Сортамент и условные обозначения арматуры |
| Разработан: | НИИЖБ Госстроя СССР ЦНИИпромзданий |
| Утверждён: | ЦНИИпромзданий Госстроя СССР (TsNIIpromzdaniy, USSR Gosstroy ) |
| Издан: | Стройиздат (1977 г. ) |
| Список изменений: | |
| Нормативные ссылки: |
|






















































































































































































































































































Текстовое изменение опечатки