Скачать РД 34.02.401 Методика разработки норм и нормативов водопотребления и водоотведения на предприятиях теплоэнергетикиДата актуализации: 01.01.2021
|
| Обозначение: | РД 34.02.401 |
| Обозначение англ: | RD 34.02.401 |
| Статус: | действует |
| Название рус.: | Методика разработки норм и нормативов водопотребления и водоотведения на предприятиях теплоэнергетики |
| Название англ.: | Method for Development of Standards for Water Consumption and Water Disposal at Thermal Energy Facilities |
| Дата добавления в базу: | 01.09.2013 |
| Дата актуализации: | 01.01.2021 |
| Дата введения: | 01.01.1987 |
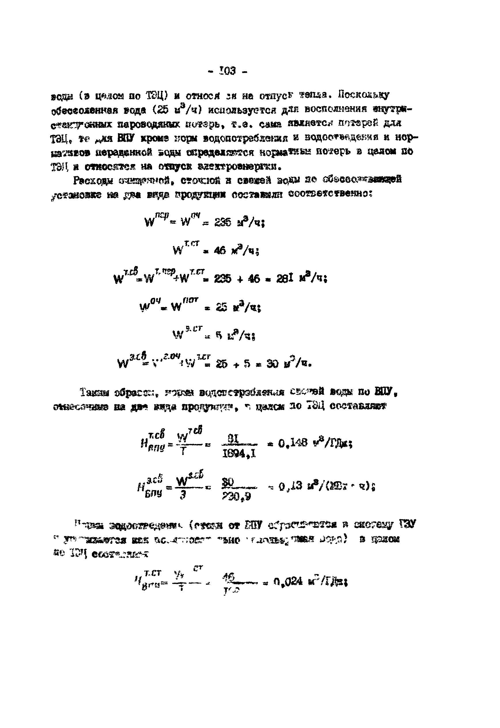
| Область применения: | Методика содержит основные положения по расчету индивидуальных и укрупненных (групповых) балансовых норм и нормативов водопотребления и водоотведения на единицу продукции, отпускаемой предприятиями теплоэнергетики. Методика разработана на основе «Отраслевой методики по разработке норм и нормативов водопотребления и водоотведения на предприятиях теплоэнергетики» (М.: СПО Союзтехэнерго, 1982), с учетом накопленного опыта работы по нормированию водопользования электростанций в 11-й пятилетке и предназначена для персонала тепловых электростанций и научно-исследовательских и проектных институтов в качестве основного нормативного документа при расчете индивидуальных и укрупненных балансовых норм, при определении объемов водопотребления и водоотведения различных технологических систем электростанции. |
| Оглавление: | 1. Основные термины и определения 2. Определение и классификация норм и нормативов 3. Единицы измерения 4. Индивидуальные текущие нормы и нормативы водопотребления и водоотведения с учетом качества потребляемой и отводимой воды 5. Индивидуальные нормы и нормативы водопотребления и водоотведения основных технологических систем 5.1. Система охлаждения 5.2. Система охлаждения вспомогательных механизмов основного оборудования ТЭС 5.3. Водоподготовительные установки 5.4. Система гидрозолоудаления 5.5. Промывка регенеративных воздухоподогревателей и водогрейных котлов 5.6. Химическая очистка оборудования 6. Нормы водопотребления и водоотведения вспомогательного и подсобного производства с учетом качества потребляемой и отводимой воды 7. Нормы водопотребления и водоотведения на хозяйственно-питьевые нужды 8. Укрупненные нормы водопотребления и водоотведения 9. Порядок разработки, согласования, утверждения норм и контроля за их выполнением Приложение 1. Основные термины и определения по водопотреблению и водоотведению в теплоэнергетике Приложение 2. Текущие индивидуальные нормы и нормативы водопотребления и водоотведения Приложение 3 Макет сборника текущих укрупненных норм и нормативов водопотребления и водоотведения Приложение 4. Рекомендации по разработке мероприятий для повышения эффективности использования водных ресурсов на производственные и хозяйственно-бытовые нужды ТЭС Приложение 5. Пример расчета индивидуальных текущих норм водопотребления и водоотведения для Челябинской ТЭЦ Приложение 6. Примеры расчетов снижения индивидуальных текущих норм водопотребления и водоотведения за счет внедрения мероприятий по рациональному использованию водных ресурсов Использованная литература |
| Разработан: | УралВТИ |
| Утверждён: | 04.01.1987 Минэнерго СССР (USSR Minenergo ) |
| Принят: | 24.12.1986 Украинский филиал НИИПиН |
| Издан: | СПО Союзтехэнерго (1987 г. ) |
| Заменяет собой: |
|
| Нормативные ссылки: |
|









































































































































