Скачать ГОСТ 11172-70 Развертки машинные с удлиненной рабочей частью. Конструкция и размеры

Дата актуализации: 01.01.2021

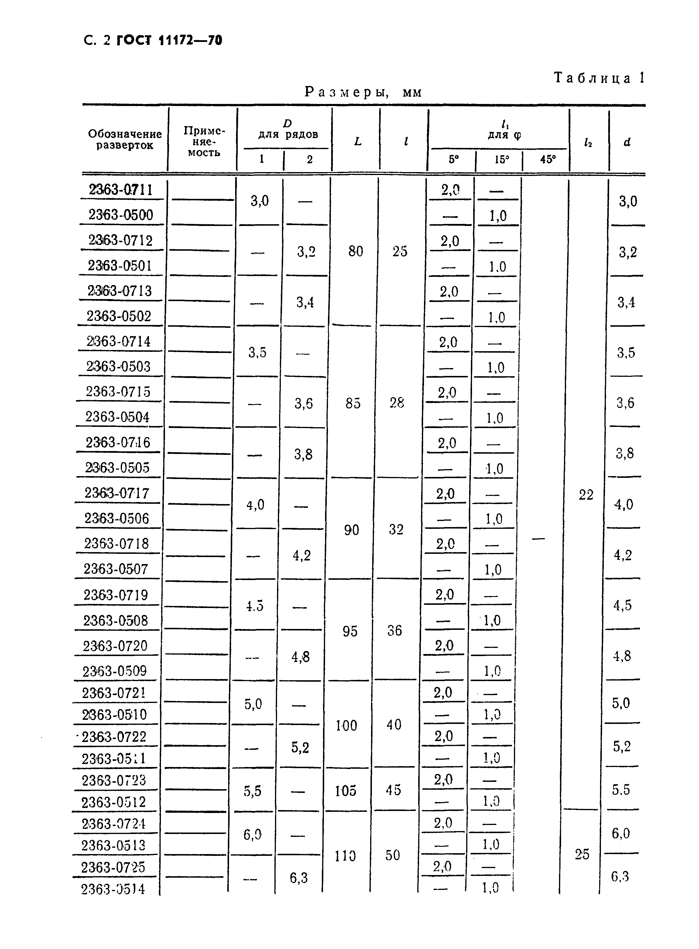
ГОСТ 11172-70

Развертки машинные с удлиненной рабочей частью. Конструкция и размеры

Обозначение: ГОСТ 11172-70
Обозначение англ: GOST 11172-70
Статус:взамен
Название рус.:Развертки машинные с удлиненной рабочей частью. Конструкция и размеры
Название англ.:Extra long machine reamers, design and dimensions
Дата добавления в базу:01.09.2013
Дата актуализации:01.01.2021
Дата введения:01.07.1971
Область применения:Стандарт распространяется на развертки с удлиненной рабочей частью, предназначенные для работы через кондукторные втулки: чистовые—для обработки отверстий с полями допусков по ГОСТ 13779—77, с припуском под доводку по ГОСТ 11173—76 и черновые.
Оглавление:Приложение (рекомендуемое) Основные размеры разверток с промежуточными диаметрами
Утверждён:06.08.1970 Комитет стандартов, мер и измерительных приборов при Совете Министров СССР (Committee on Standards, Measures, and Measuring Instruments at the USSR Cabinet of Ministers 1215)
Издан: Издательство стандартов (1989 г. )
Список изменений:
Заменяет собой:
  • ГОСТ 11172-65 «Развертки машинные с удлиненной рабочей частью. Типы и основные размеры» (Сведения из перечня "Указатель государственных стандартов СССР 1971 г.", Издательство стандартов 1971)
Нормативные ссылки:
ГОСТ 11172-70ГОСТ 11172-70ГОСТ 11172-70ГОСТ 11172-70ГОСТ 11172-70ГОСТ 11172-70ГОСТ 11172-70ГОСТ 11172-70ГОСТ 11172-70ГОСТ 11172-70ГОСТ 11172-70ГОСТ 11172-70ГОСТ 11172-70ГОСТ 11172-70ГОСТ 11172-70

Текстовое изменение поправка

поправка