Скачать ГОСТ 1723-86 Лук репчатый свежий заготовляемый и поставляемый. Технические условия

Дата актуализации: 01.01.2021

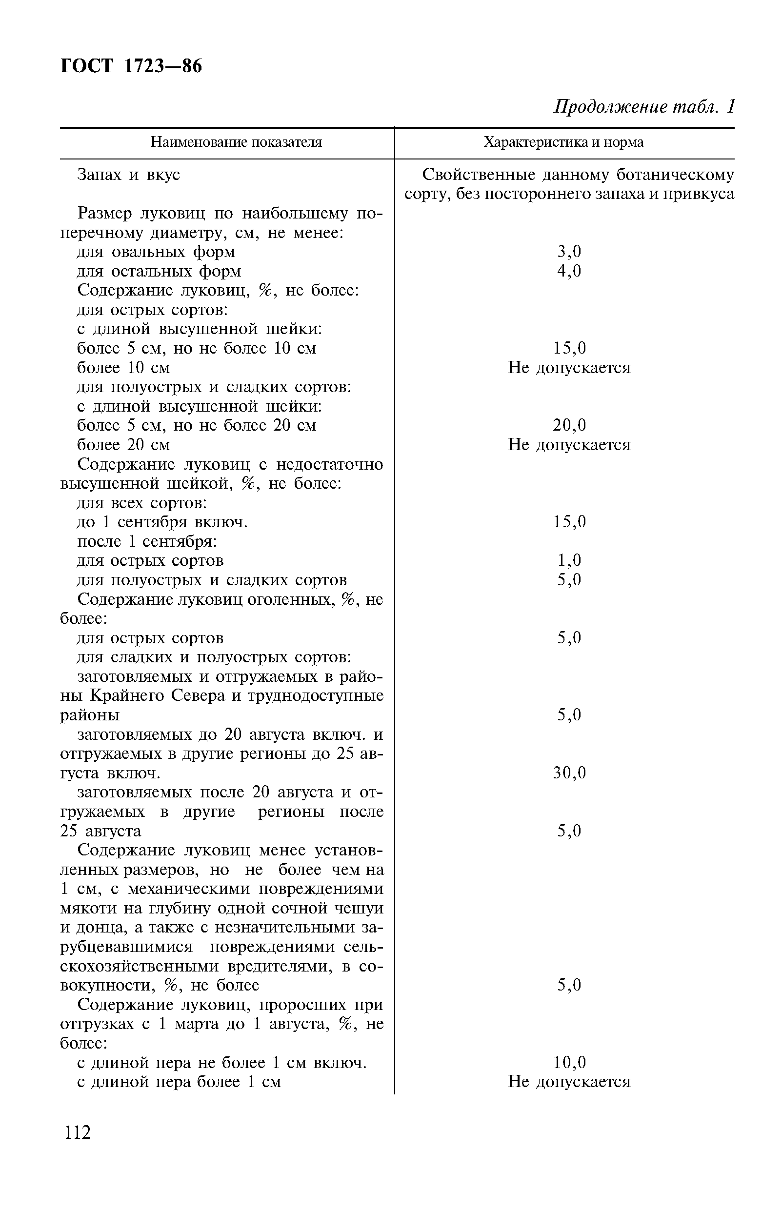
ГОСТ 1723-86

Лук репчатый свежий заготовляемый и поставляемый. Технические условия

Обозначение: ГОСТ 1723-86
Обозначение англ: GOST 1723-86
Статус:заменен в части
Название рус.:Лук репчатый свежий заготовляемый и поставляемый. Технические условия
Название англ.:Fresh onions for suppbe and delivery. Specification
Дата добавления в базу:01.09.2013
Дата актуализации:01.01.2021
Дата введения:01.07.1988
Дата окончания срока действия:01.07.2018
Область применения:Стандарт распространяется на свежий репчатый лук (Allium сера L.), заготовляемый и поставляемый для потребления в свежем виде и для промышленной переработки.
Оглавление:1 Технические требования
2 Правила приемки
3 Методы определения качества
4 Упаковка, транспортирование и хранение
Разработан: Госагропром СССР
Утверждён:19.12.1986 Государственный комитет СССР по стандартам (USSR National Committee on Standards 4022)
Издан: Издательство стандартов (1987 г. )
Издательство стандартов (1997 г. )
Список изменений:
Заменяет собой:
  • ГОСТ 1723-67 «Лук репчатый свежий» (в части заготовки и поставки; ИУС 3-87)
Нормативные ссылки:
ГОСТ 1723-86ГОСТ 1723-86ГОСТ 1723-86ГОСТ 1723-86ГОСТ 1723-86ГОСТ 1723-86ГОСТ 1723-86ГОСТ 1723-86

Текстовое изменение № 1 от 01.07.1988

№ 1№ 1