Скачать ГОСТ 18922-73 Пробки резьбовые со вставками с полным профилем для трубной цилиндрической резьбы диаметром от 1/16 до 4. Конструкция и основные размеры

Дата актуализации: 01.01.2021

ГОСТ 18922-73

Пробки резьбовые со вставками с полным профилем для трубной цилиндрической резьбы диаметром от 1/16" до 4". Конструкция и основные размеры

Обозначение: ГОСТ 18922-73
Обозначение англ: GOST 18922-73
Статус:действует
Название рус.:Пробки резьбовые со вставками с полным профилем для трубной цилиндрической резьбы диаметром от 1/16" до 4". Конструкция и основные размеры
Название англ.:Screw plug-gauges with full form inserts for pipe cylindrical threads from 1/16"up to 4" nominal diameter. Construction and basic sizes
Дата добавления в базу:01.09.2013
Дата актуализации:01.01.2021
Дата введения:01.01.1974
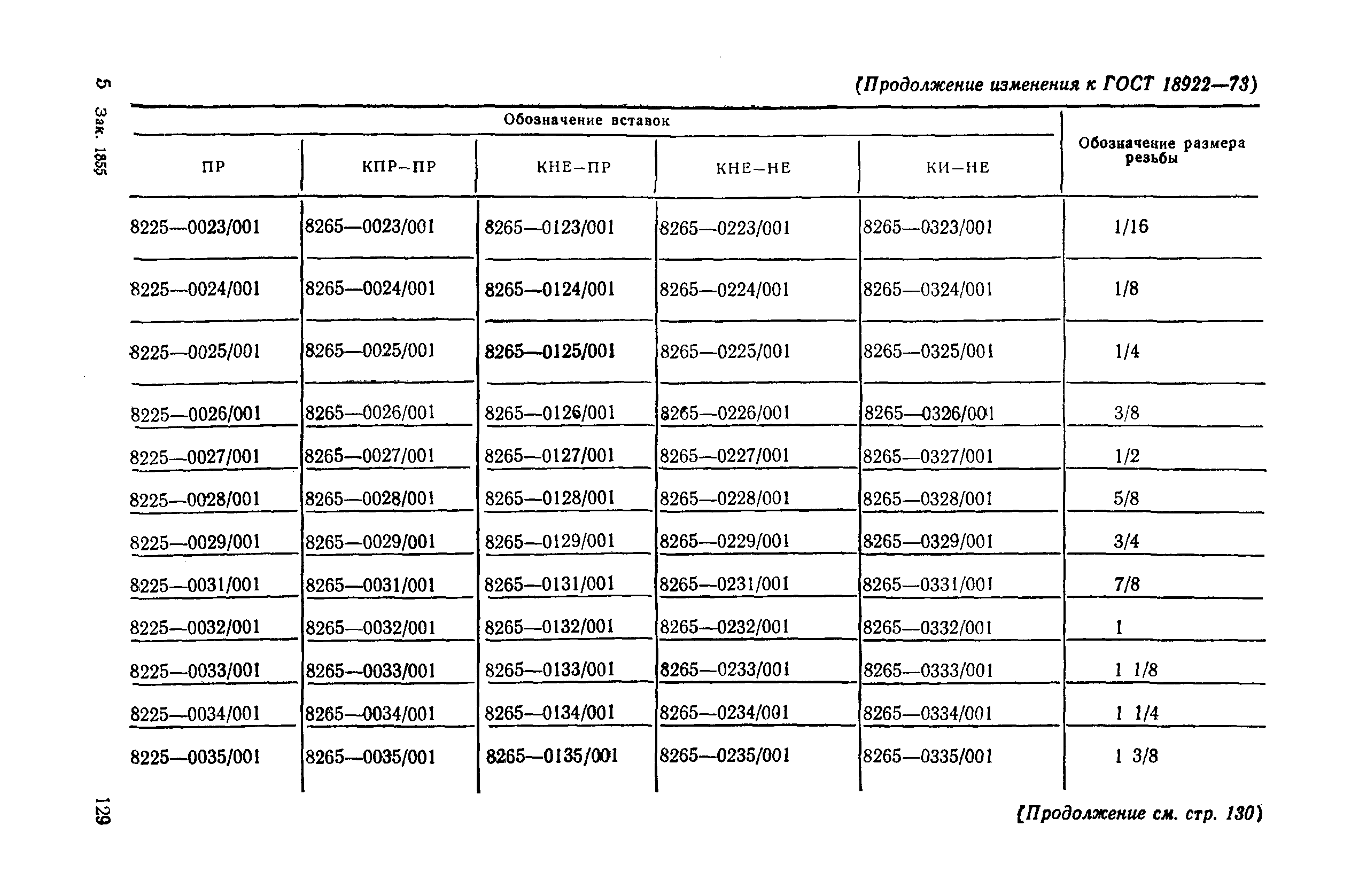
Область применения:Стандарт распространяется на пробки резьбовые для контроля трубных цилиндрических резьб по ГОСТ 6357—73.
Утверждён:25.06.1973 Госстандарт СССР (USSR Gosstandart 1546)
Список изменений:
Заменяет собой:
  • МН 775-64 (Сведения из перечня "Указатель государственных стандартов СССР 1980 г.", Издательство стандартов 1980)
ГОСТ 18922-73ГОСТ 18922-73ГОСТ 18922-73ГОСТ 18922-73ГОСТ 18922-73ГОСТ 18922-73ГОСТ 18922-73ГОСТ 18922-73ГОСТ 18922-73ГОСТ 18922-73ГОСТ 18922-73ГОСТ 18922-73ГОСТ 18922-73ГОСТ 18922-73ГОСТ 18922-73ГОСТ 18922-73ГОСТ 18922-73

Текстовое изменение № 1 от 01.09.1981

№ 1№ 1№ 1№ 1№ 1№ 1№ 1№ 1