Скачать ГОСТ 19257-73 Отверстия под нарезание метрической резьбы. Диаметры

Дата актуализации: 01.01.2021

ГОСТ 19257-73

Отверстия под нарезание метрической резьбы. Диаметры

Обозначение: ГОСТ 19257-73
Обозначение англ: GOST 19257-73
Статус:действует
Название рус.:Отверстия под нарезание метрической резьбы. Диаметры
Название англ.:Holes for threading metric thread. Diameters
Дата добавления в базу:01.09.2013
Дата актуализации:01.01.2021
Дата введения:01.01.1974
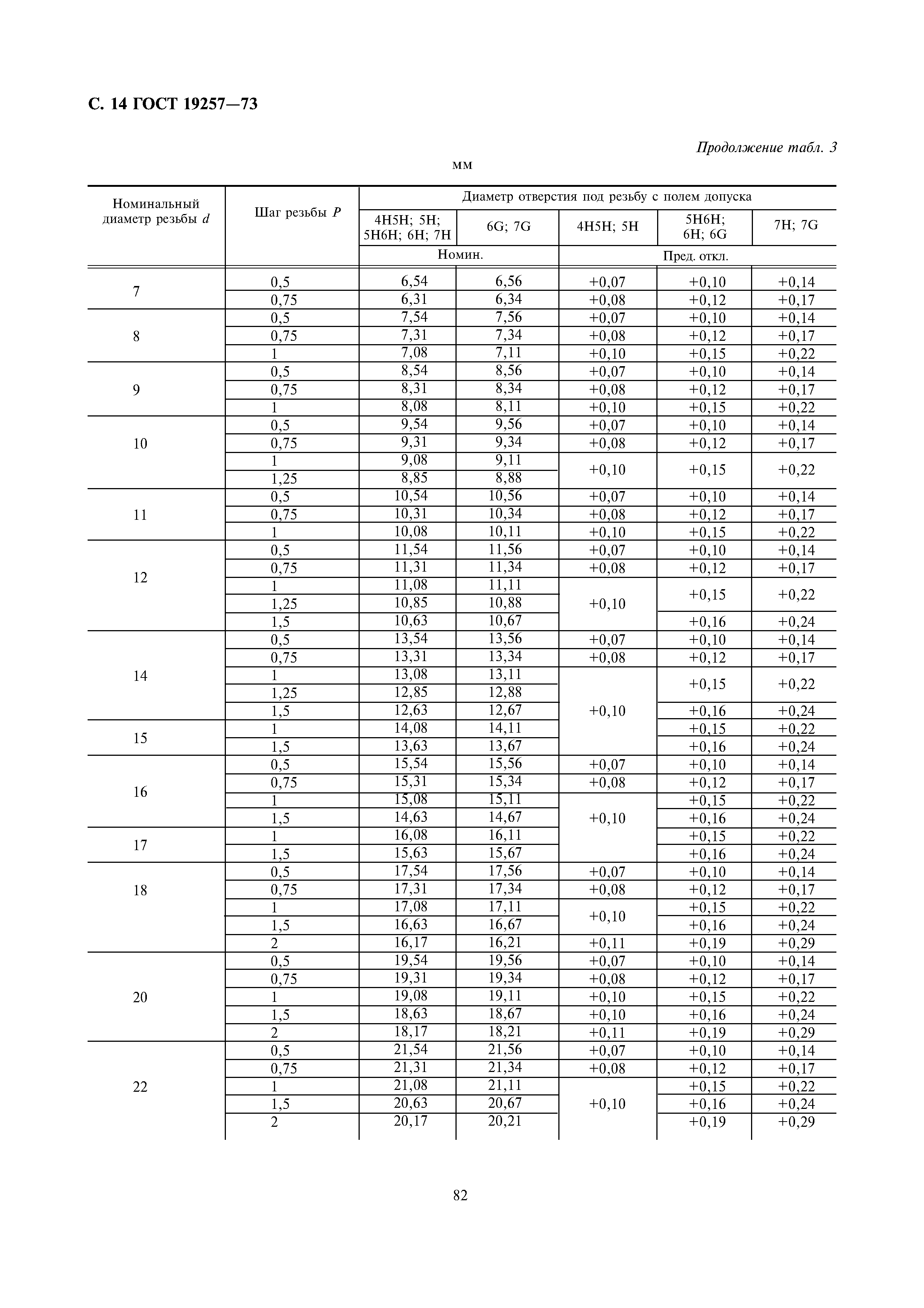
Область применения:Стандарт устанавливает диаметры отверстий, обеспечивающих нарезание метрической резьбы по ГОСТ 9150-59 с допусками по ГОСТ 16093-70, в сером чугуне по ГОСТ 1412-70, в сталях по ГОСТ 380-70, ГОСТ 1050-60, ГОСТ 4543-71, ГОСТ 10702-63, ГОСТ 5632-72 (кроме сплавовна никелеевой основе), в алюминиевых литейных сплавах по ГОСТ 2685-63, в меди по ГОСТ 859-66.
Оглавление:Приложение 1 (рекомендуемое) Диаметры сверл для отверстий под нарезание метрической резьбы
Приложение 2 (рекомендуемое) Методика определения диаметров отверстий под нарезание метрической резьбы для материалов повышенной вязкости
Разработан: ВНИИНМАШ
Утверждён:06.12.1973 Государственный комитет стандартов Совета Министров СССР (USSR National Committee on Standards at the Cabinet of Ministers 2662)
Издан: Издательство стандартов (1974 г. )
ИПК Издательство стандартов (2002 г. )
Список изменений:
Заменяет собой:
  • ГОСТ 5385-64 (Сведения из перечня "Указатель государственных стандартов СССР 1980 г.", Издательство стандартов 1980)
  • МН 5384-64
  • МН 5385-64
Нормативные ссылки:
ГОСТ 19257-73ГОСТ 19257-73ГОСТ 19257-73ГОСТ 19257-73ГОСТ 19257-73ГОСТ 19257-73ГОСТ 19257-73ГОСТ 19257-73ГОСТ 19257-73ГОСТ 19257-73ГОСТ 19257-73ГОСТ 19257-73ГОСТ 19257-73ГОСТ 19257-73ГОСТ 19257-73ГОСТ 19257-73ГОСТ 19257-73

Текстовое изменение поправка 2 от 01.09.1985

поправка 2