Скачать ГОСТ 19305-73 Изложницы центробежные с резьбовым хвостовиком и замками-щеколдами. Конструкция и размеры

Дата актуализации: 01.01.2021

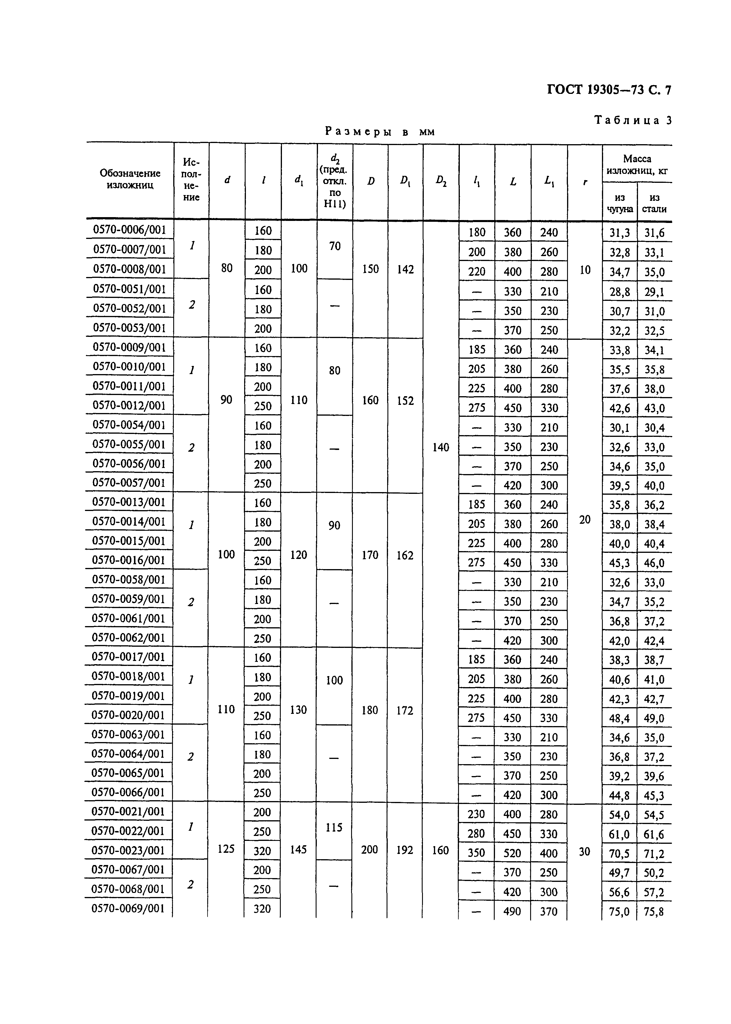
ГОСТ 19305-73

Изложницы центробежные с резьбовым хвостовиком и замками-щеколдами. Конструкция и размеры

Обозначение: ГОСТ 19305-73
Обозначение англ: GOST 19305-73
Статус:отменен в рф
Название рус.:Изложницы центробежные с резьбовым хвостовиком и замками-щеколдами. Конструкция и размеры
Название англ.:Centrifugal moulds with threaded shank and latch locks. Construction and dimensions
Дата добавления в базу:01.10.2014
Дата актуализации:01.01.2021
Дата введения:01.01.1975
Дата окончания срока действия:01.01.2000
Область применения:Стандарт распространяется на центробежные изложницы с резьбовым хвостовиком и замками-щеколдами для однопозиционных центробежных литьевых машин консольного типа с горизонтальной осью вращения, предназначенные для отливки втулок из стали, чугуна и цветных сплавов.
Оглавление:Приложение (рекомендуемое) Номограмма для определения оптимальной скорости вращения центробежных изложниц
Утверждён:26.12.1973 Государственный комитет стандартов Совета Министров СССР (USSR National Committee on Standards at the Cabinet of Ministers 2799)
Издан: Издательство стандартов (1973 г. )
ИПК Издательство стандартов (2000 г. )
Заменяет собой:
  • МН 4186-62
Нормативные ссылки:
ГОСТ 19305-73ГОСТ 19305-73ГОСТ 19305-73ГОСТ 19305-73ГОСТ 19305-73ГОСТ 19305-73ГОСТ 19305-73ГОСТ 19305-73ГОСТ 19305-73ГОСТ 19305-73ГОСТ 19305-73