Скачать ГОСТ 2300-81 Штыри закладные с язычком. Технические условия

Дата актуализации: 01.01.2021

ГОСТ 2300-81

Штыри закладные с язычком. Технические условия

Обозначение: ГОСТ 2300-81
Обозначение англ: GOST 2300-81
Статус:взамен
Название рус.:Штыри закладные с язычком. Технические условия
Название англ.:Inserted pins with a tongue. Specifications
Дата добавления в базу:01.09.2013
Дата актуализации:01.01.2021
Дата введения:01.01.1983
Область применения:Стандарт распространяется на закладные штыри с язычком диаметром от 6 до 36 мм, применяемые в судостроении и судоремонте.
Оглавление:1 Основные размеры
2 Технические требования
3 Правила приемки
4 Методы испытаний
5 Маркировка, упаковка, транспортирование и хранение
6 Указания по эксплуатации
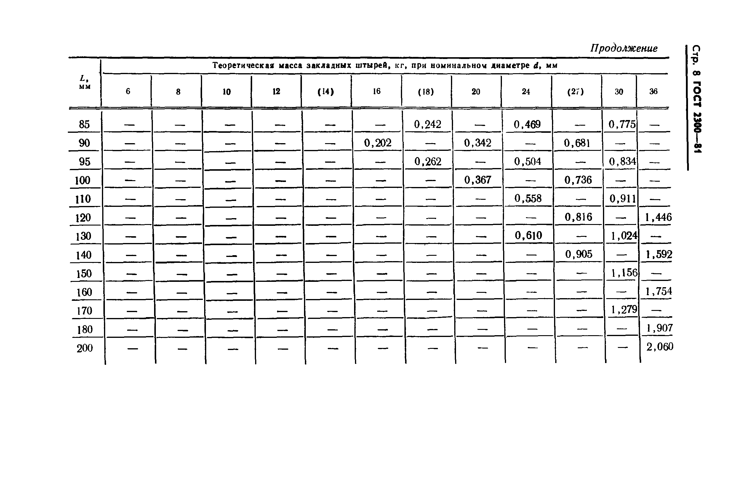
Приложение (справочное) Масса закладных штырей
Утверждён:31.12.1981 Государственный комитет СССР по стандартам (USSR National Committee on Standards 5894)
Издан: Издательство стандартов (1982 г. )
Заменяет собой:
  • ГОСТ 2300-68 «Штыри закладные с язычком. Размеры и технические требования»
Нормативные ссылки:
ГОСТ 2300-81ГОСТ 2300-81ГОСТ 2300-81ГОСТ 2300-81ГОСТ 2300-81ГОСТ 2300-81ГОСТ 2300-81ГОСТ 2300-81ГОСТ 2300-81ГОСТ 2300-81