Скачать ГОСТ 25290-82 Контейнеры крупнотоннажные. Маркировочный кодДата актуализации: 01.01.2021
|
| Обозначение: | ГОСТ 25290-82 |
| Обозначение англ: | GOST 25290-82 |
| Статус: | отменен в рф |
| Название рус.: | Контейнеры крупнотоннажные. Маркировочный код |
| Название англ.: | Large containers. Marking code |
| Дата добавления в базу: | 01.09.2013 |
| Дата актуализации: | 01.01.2021 |
| Дата введения: | 01.01.1984 |
| Дата окончания срока действия: | 01.01.2007 |
| Область применения: | Стандарт устанавливает маркировочный код для обозначения характеристик крупнотоннажных контейнеров, принадлежащих различным владельцам и предназначенных для внутреннего и международного обращения. |
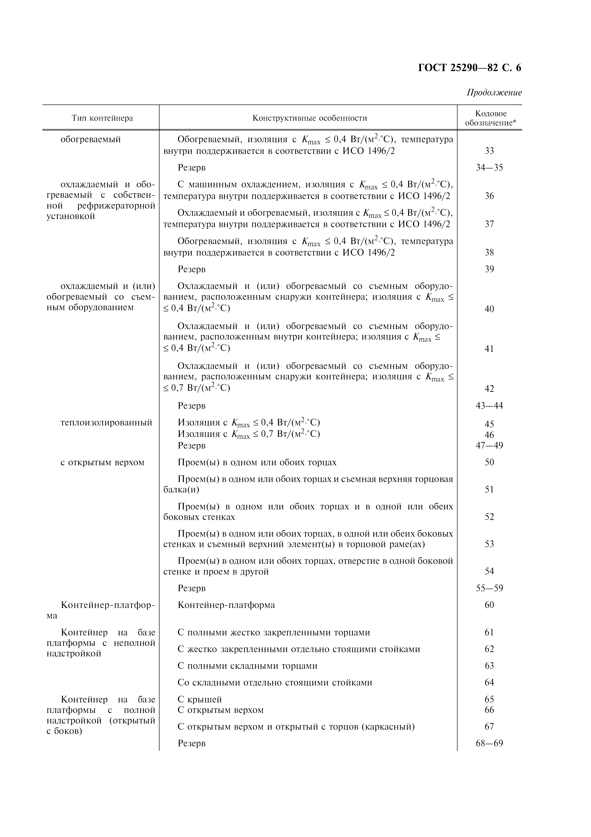
| Оглавление: | Приложение 1 (справочное) Пример вычисления контрольного числа Приложение 2 (обязательное) Кодовое обозначение размеров контейнеров без паза и с пазом для Г-образных прицепов типа "гусиная шея" Приложение 3 (обязательное) Кодовое обозначение типа контейнеров |
| Утверждён: | 28.05.1982 Государственный комитет СССР по стандартам (USSR National Committee on Standards 2193) |
| Издан: | Издательство стандартов (1982 г. ) ИПК Издательство стандартов (2004 г. ) |
| Нормативные ссылки: |







