Скачать ГОСТ 25645.146-89 Ионосфера Земли. Модель глобального распределения концентрации, температуры и эффективной частоты соударений электроновДата актуализации: 01.01.2021
|
| Обозначение: | ГОСТ 25645.146-89 |
| Обозначение англ: | GOST 25645.146-89 |
| Статус: | взамен |
| Название рус.: | Ионосфера Земли. Модель глобального распределения концентрации, температуры и эффективной частоты соударений электронов |
| Название англ.: | Earth's ionosphere. Model of global distribution of concentration, temperature and effective collision frequency of electrons |
| Дата добавления в базу: | 01.09.2013 |
| Дата актуализации: | 01.01.2021 |
| Дата введения: | 01.01.1991 |
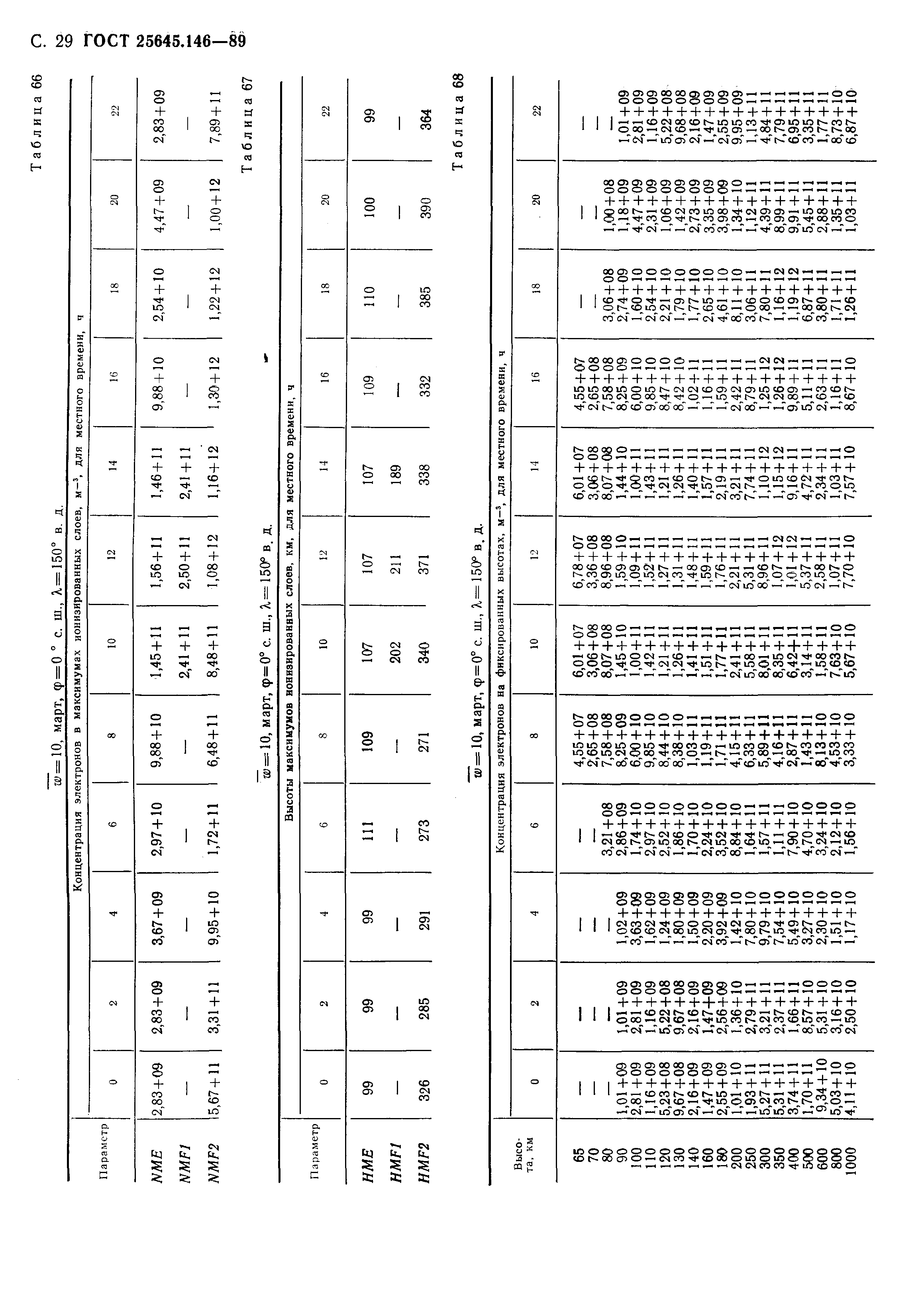
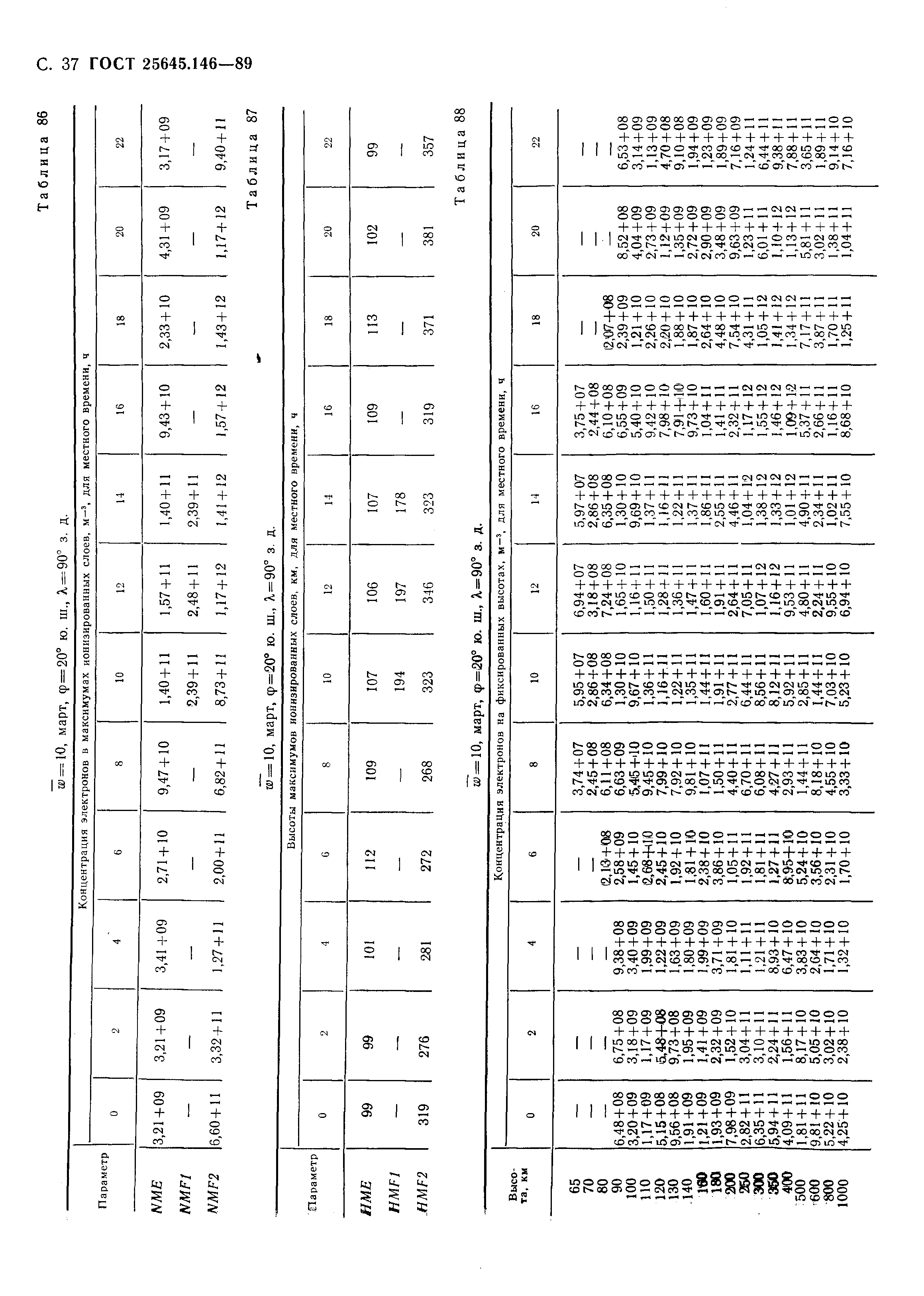
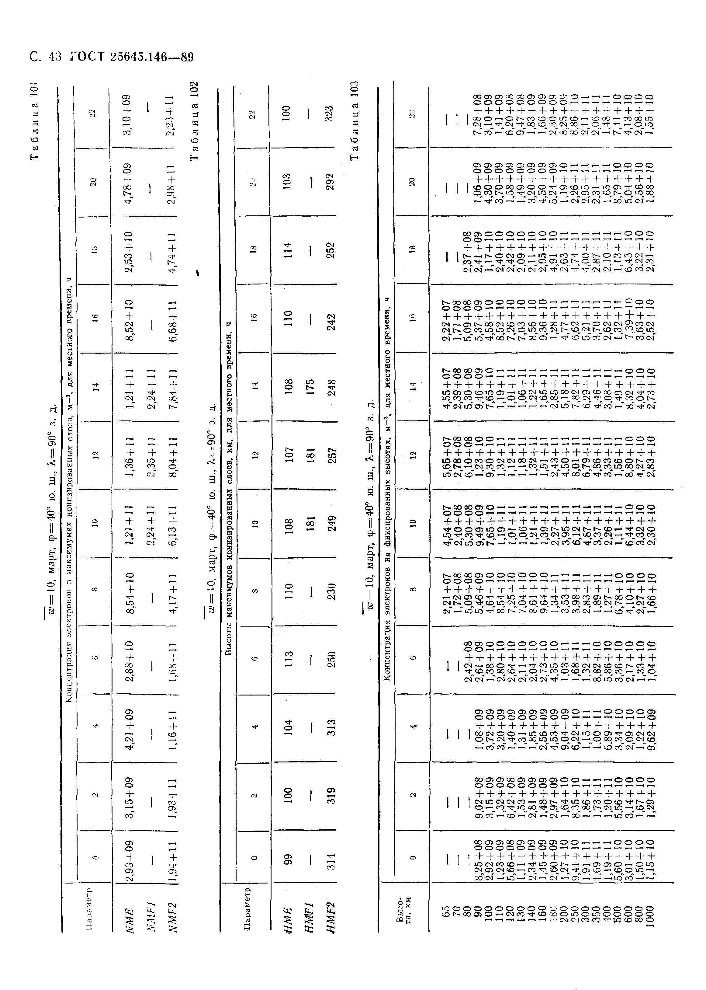
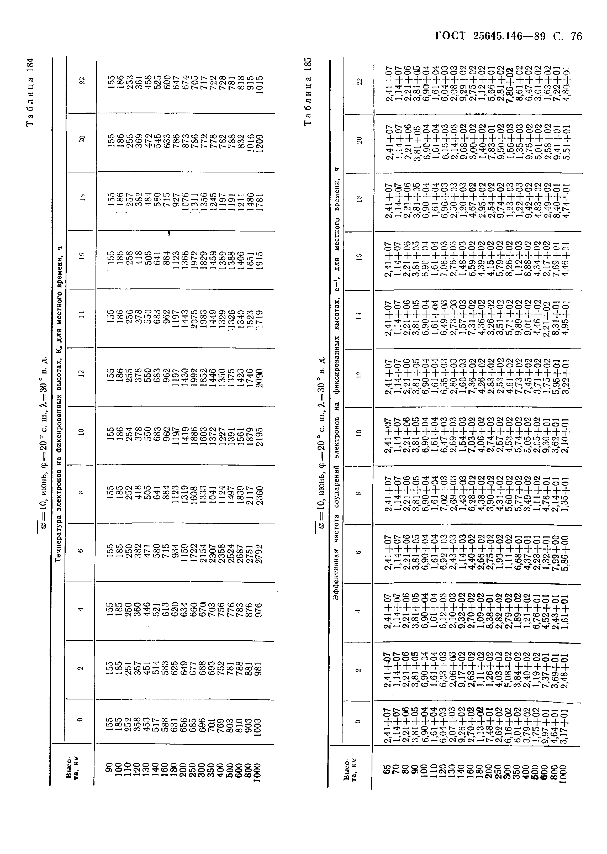
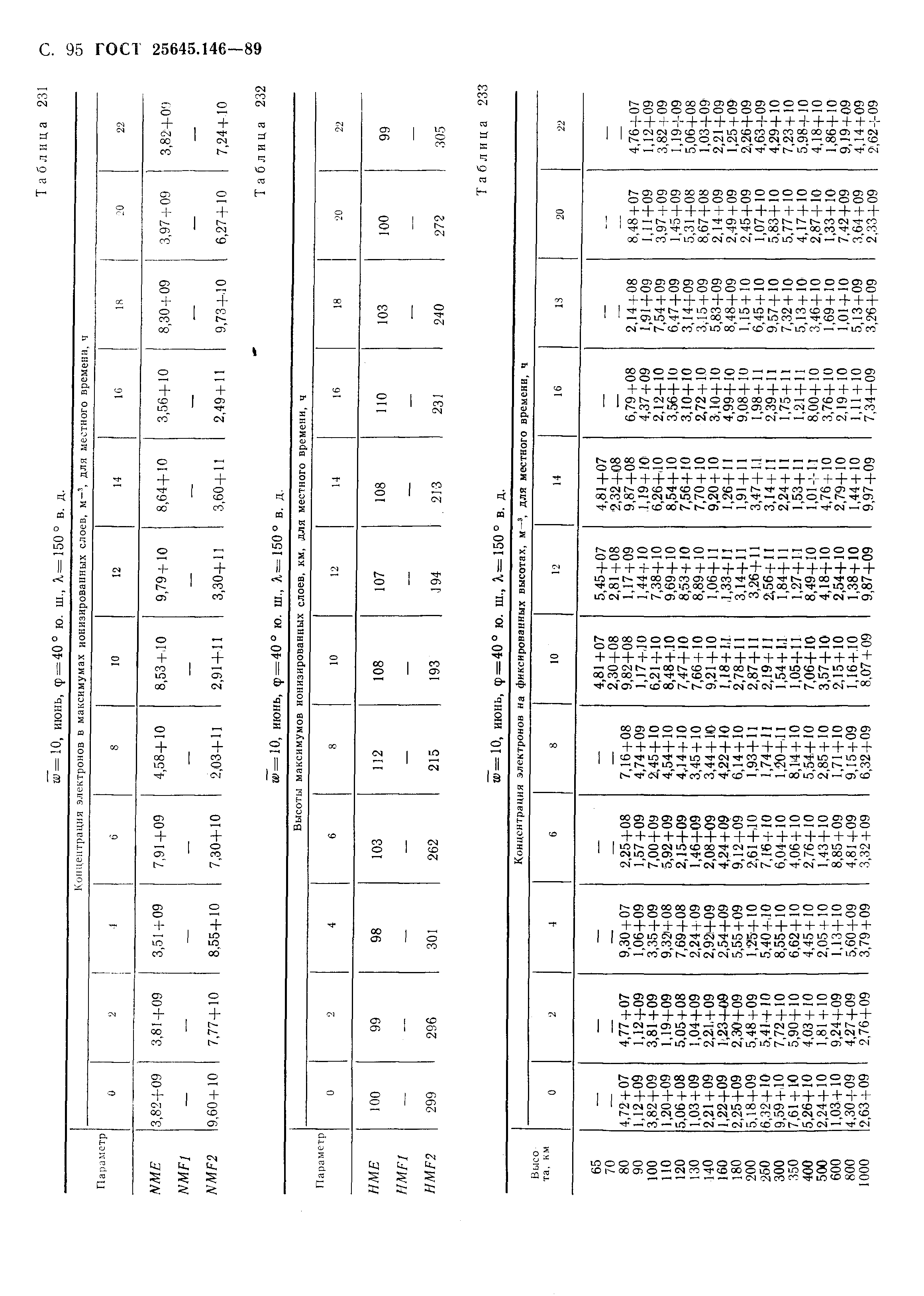
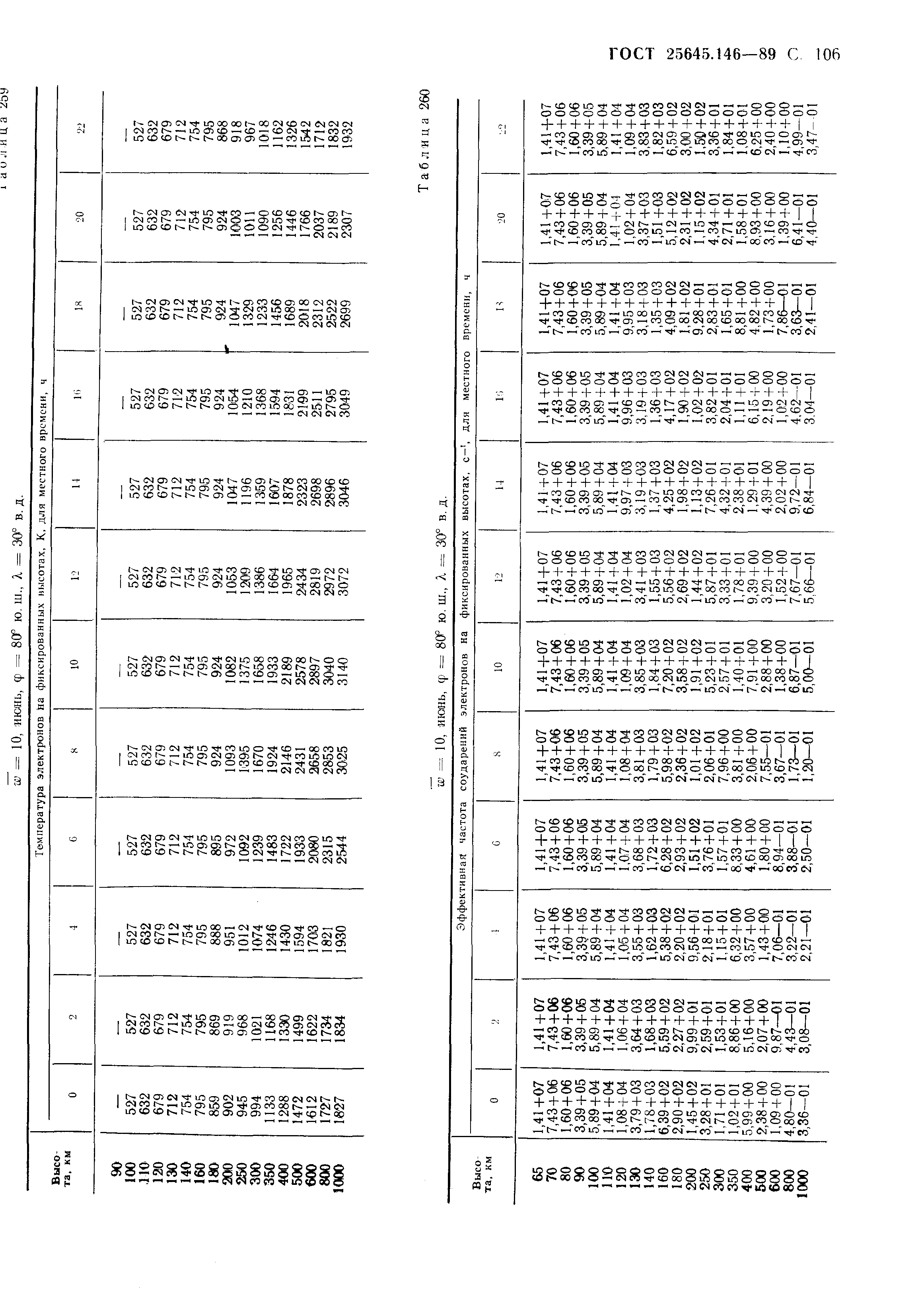
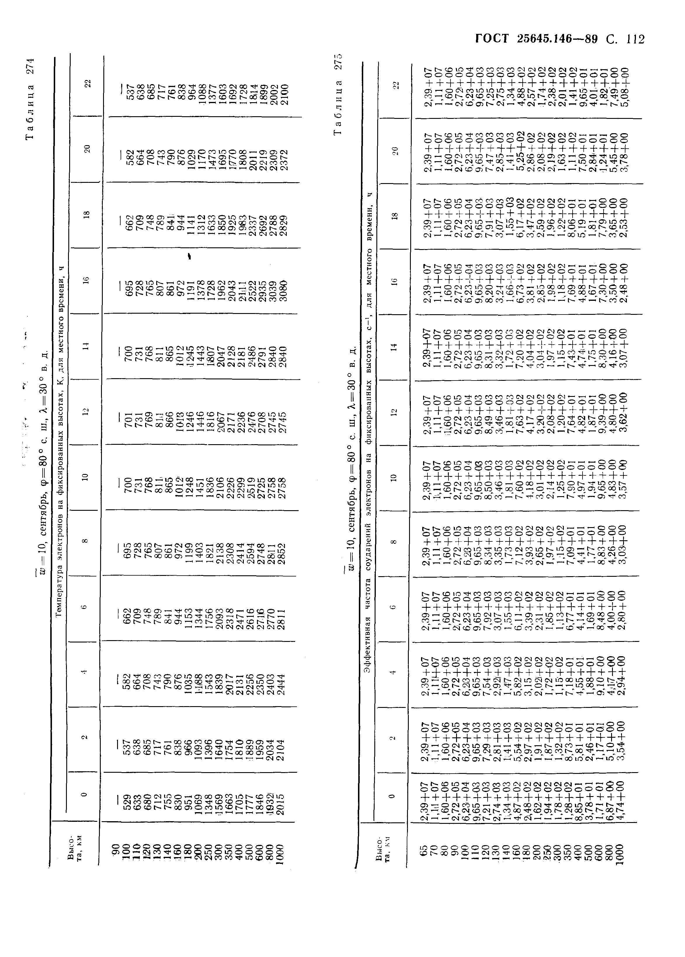
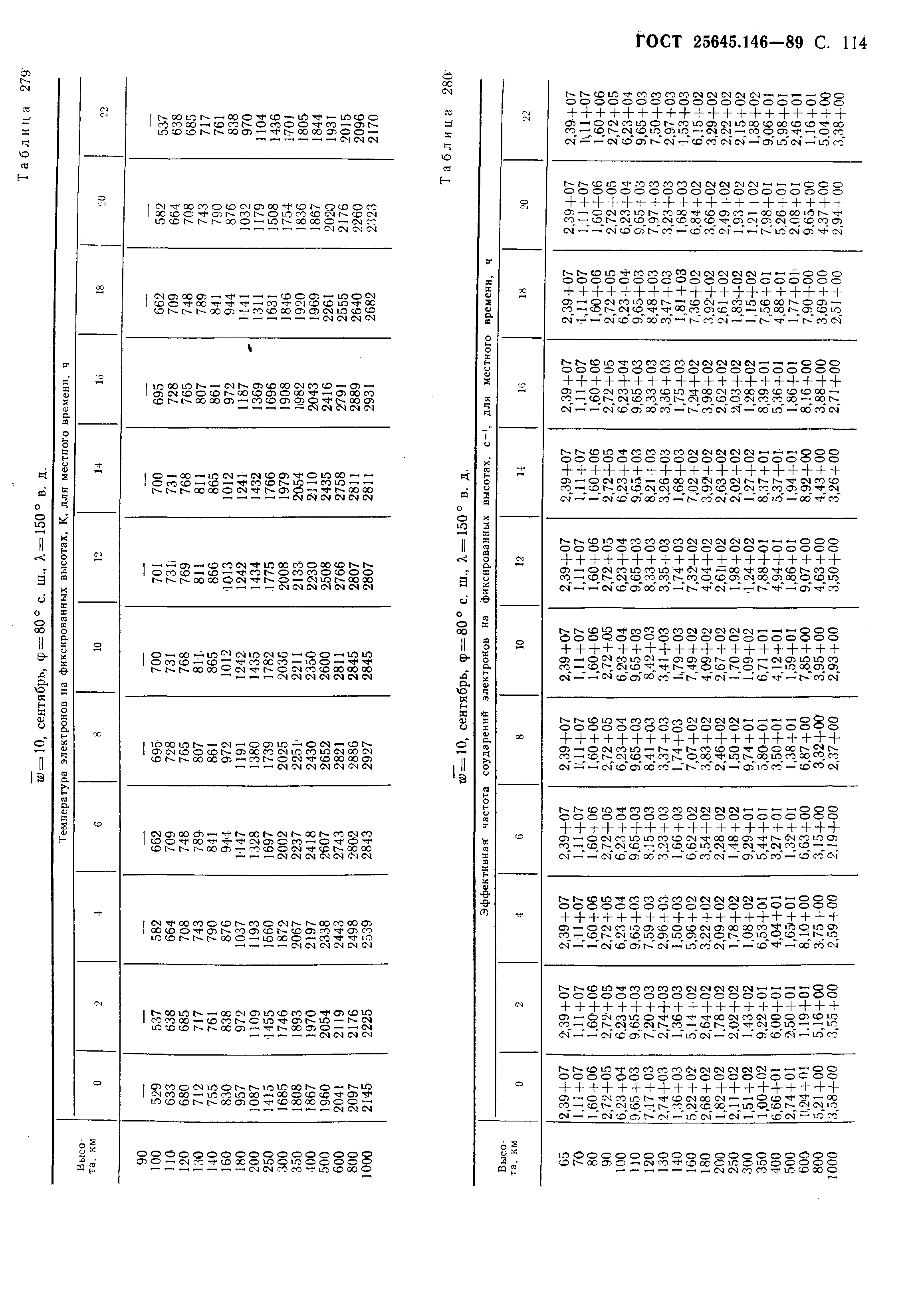
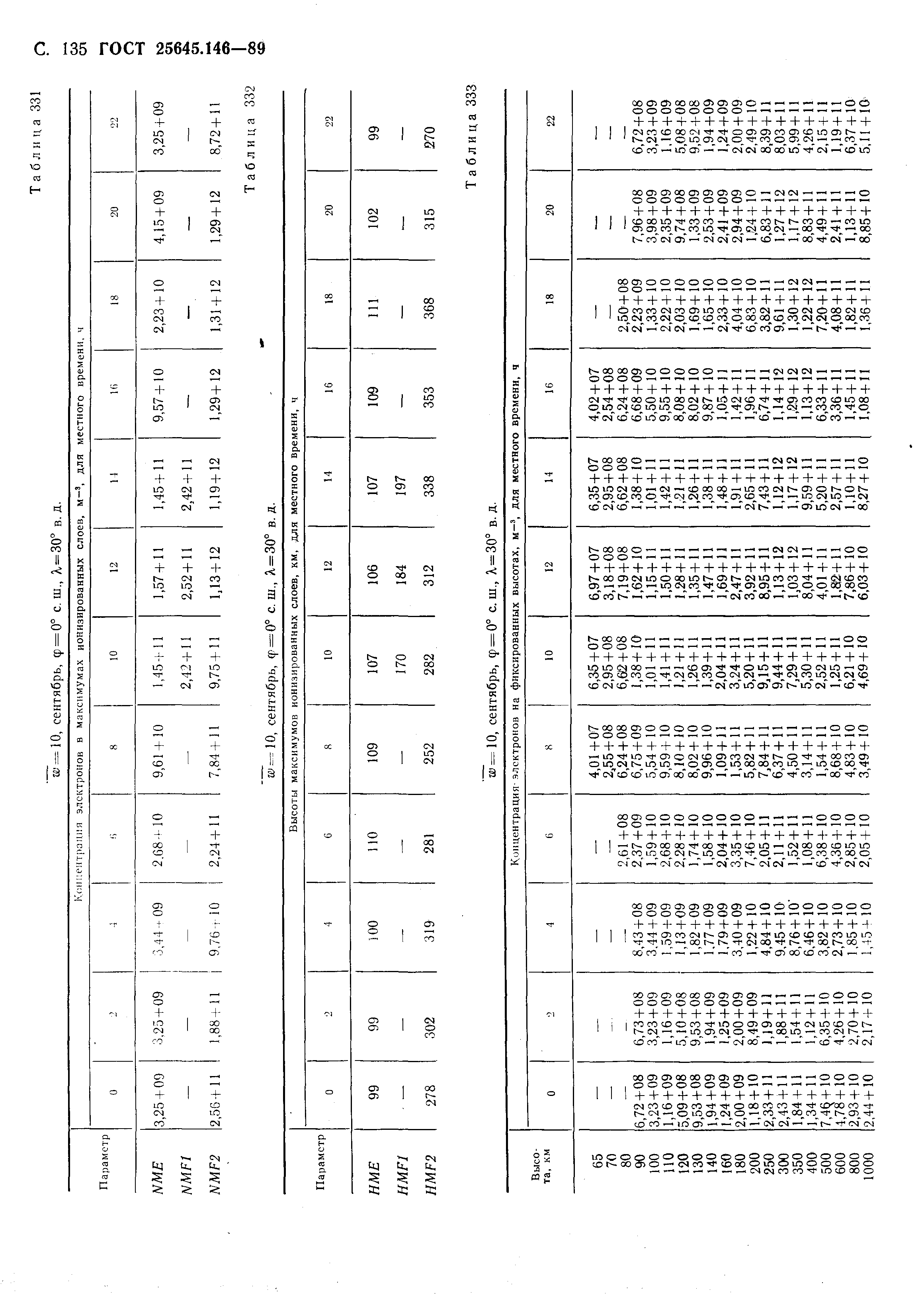
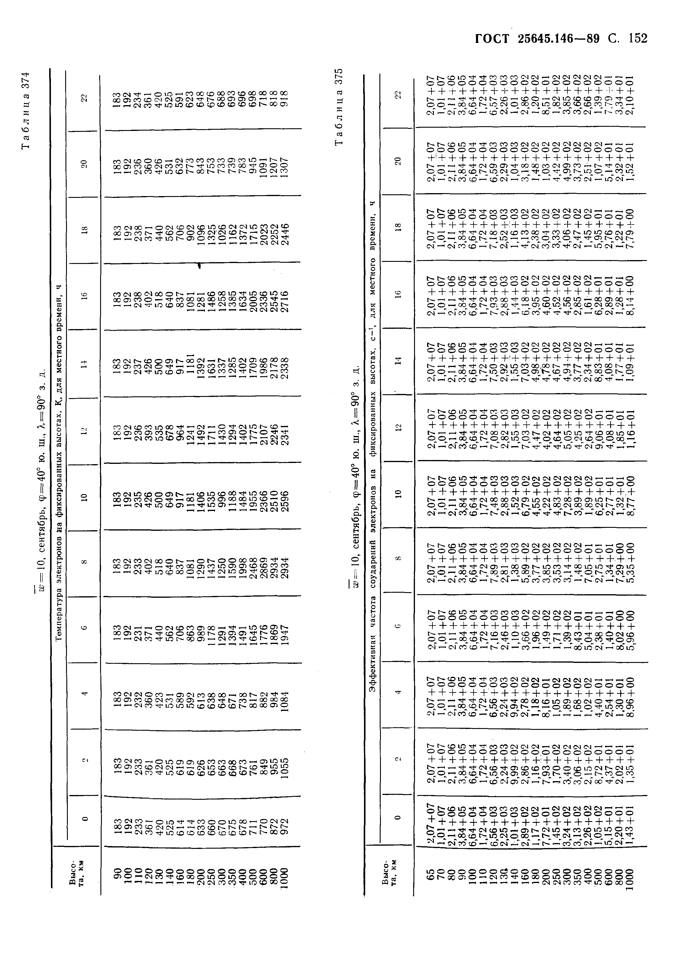
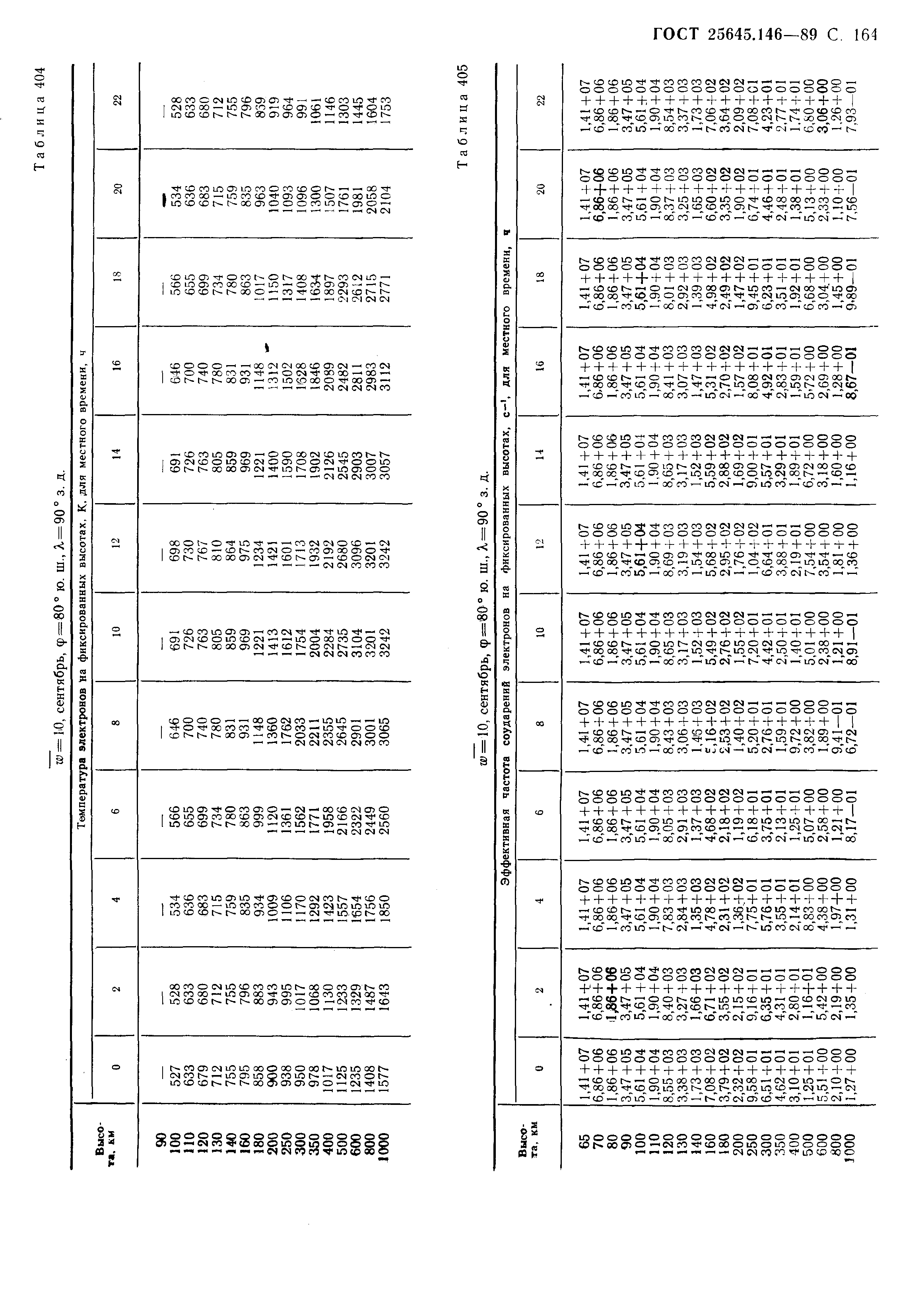
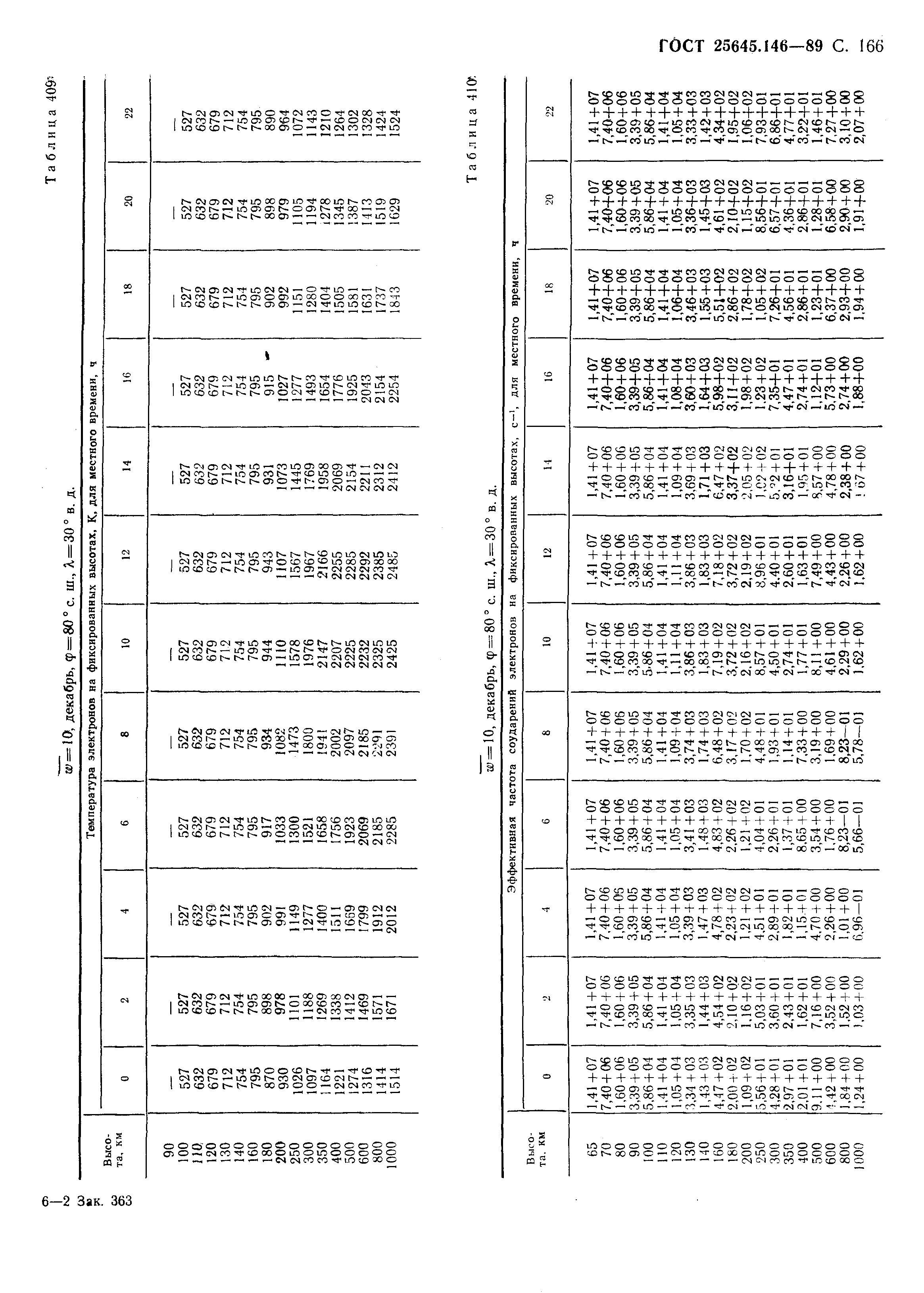
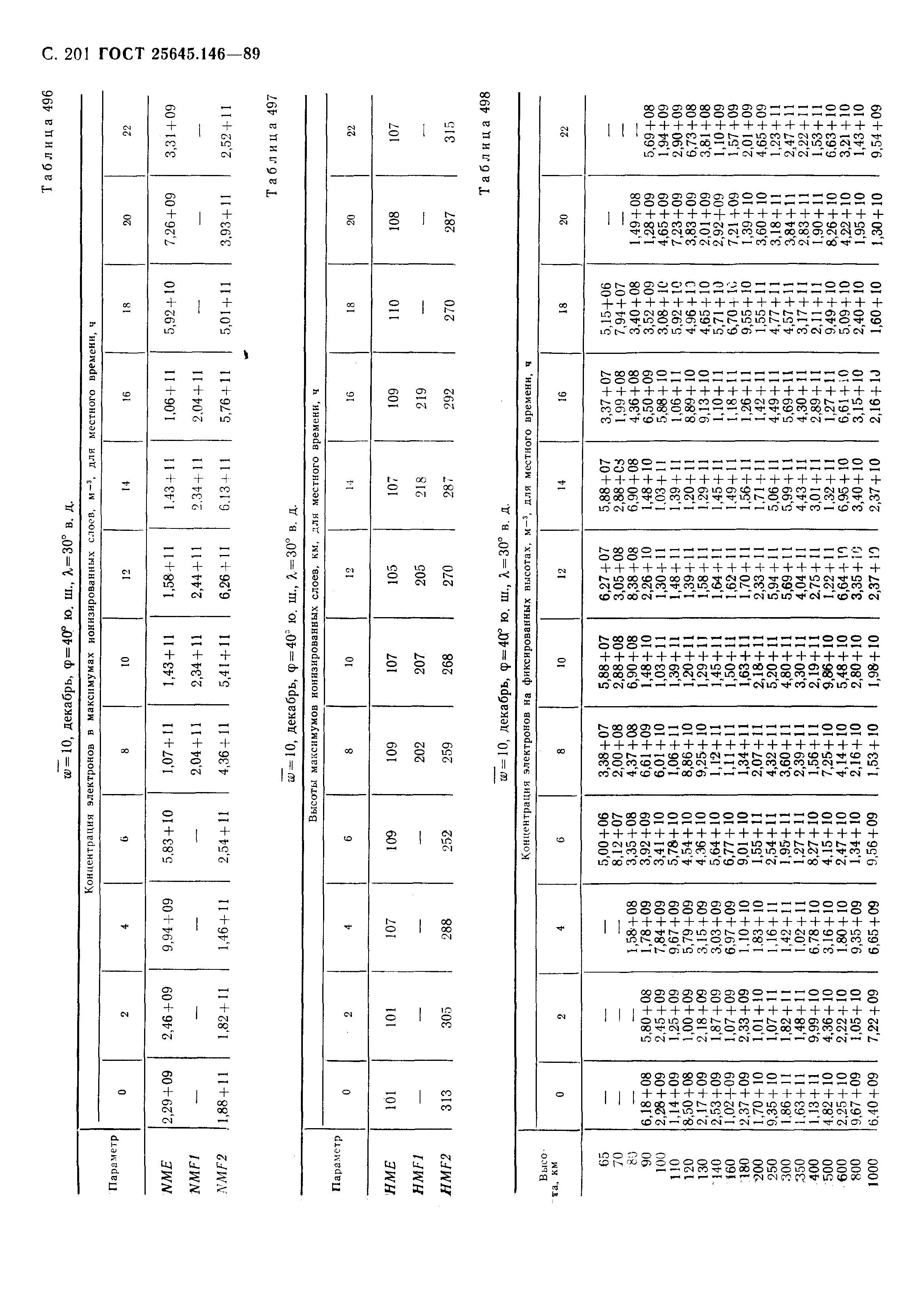
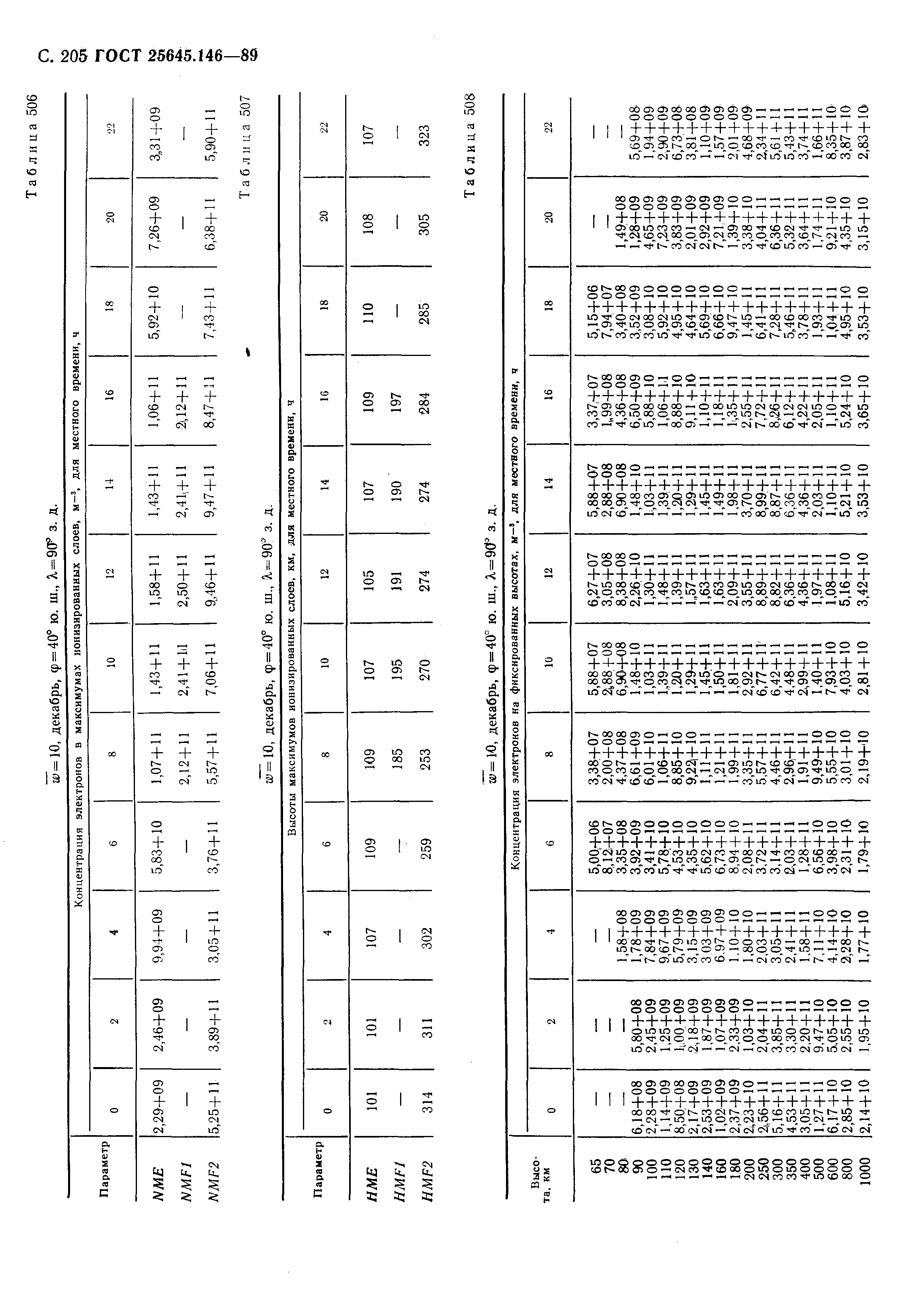
| Область применения: | Стандарт устанавливает модель глобального распределения средних значений концентрации, температуры и эффективной частоты соударений электронов в ионосфере Земли в интервале высот от 65 до 1000 км без учета тонких спорадических слоев E для любого времени суток, различных дней года и уровней солнечной активности, а для концентрации электронов на высоких широтах - и для различных уровней геомагнитной активности. Стандарт не распространяется на периоды ионосферных бурь. |
| Оглавление: | 1 Общие положения 2 Таблицы концентрации, температуры и эффективной частоты соударений электронов 3 Карты изолиний концентрации электронов для высоких широт Приложение 1 Термины, применяемые в настоящем стандарте, и пояснения к ним Приложение 2 Формулы для расчета мирового и местного геомагнитного времени и таблица перевода географических координат в исправленные геомагнитные координаты |
| Разработан: | Государственный комитет СССР по гидрометеорологии |
| Утверждён: | 21.11.1989 Госстандарт СССР (USSR Gosstandart 3416) |
| Заменяет собой: |
|
| Нормативные ссылки: |
























































































































































































































































































































































































































































































































































































































































































































































































































































