Скачать ГОСТ 25971-83 Протяжки для восьмишлицевых отверстий с прямобочным профилем с центрированием по внутреннему диаметру комбинированные переменного резания. Конструкция и размеры

Дата актуализации: 01.01.2021

ГОСТ 25971-83

Протяжки для восьмишлицевых отверстий с прямобочным профилем с центрированием по внутреннему диаметру комбинированные переменного резания. Конструкция и размеры

Обозначение: ГОСТ 25971-83
Обозначение англ: GOST 25971-83
Статус:взамен
Название рус.:Протяжки для восьмишлицевых отверстий с прямобочным профилем с центрированием по внутреннему диаметру комбинированные переменного резания. Конструкция и размеры
Название англ.:Combined alternative broaches for 8 slitting holes with straightside profile and centring at internal diameter. Design and dimensions
Дата добавления в базу:01.09.2013
Дата актуализации:01.01.2021
Дата введения:01.01.1986
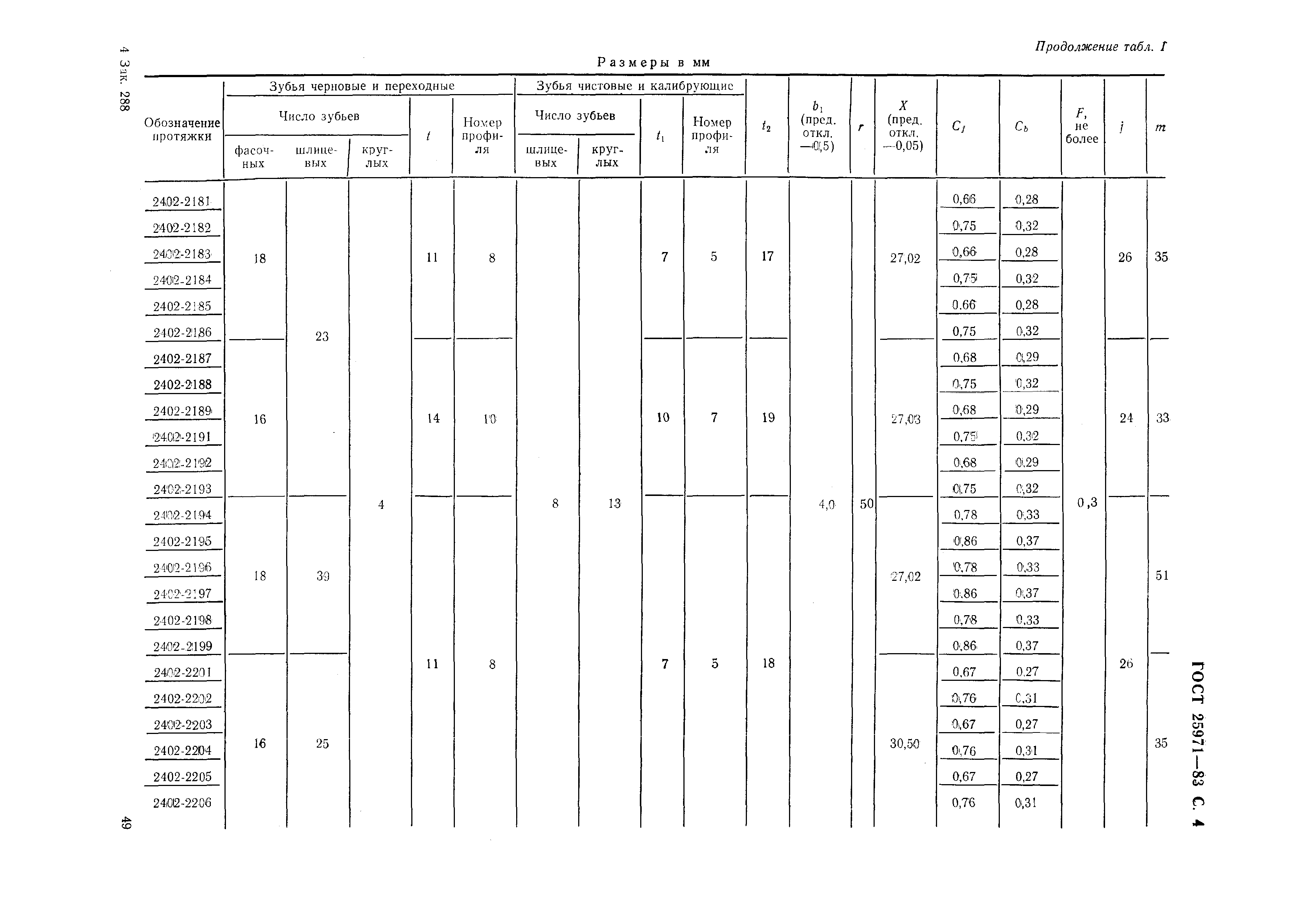
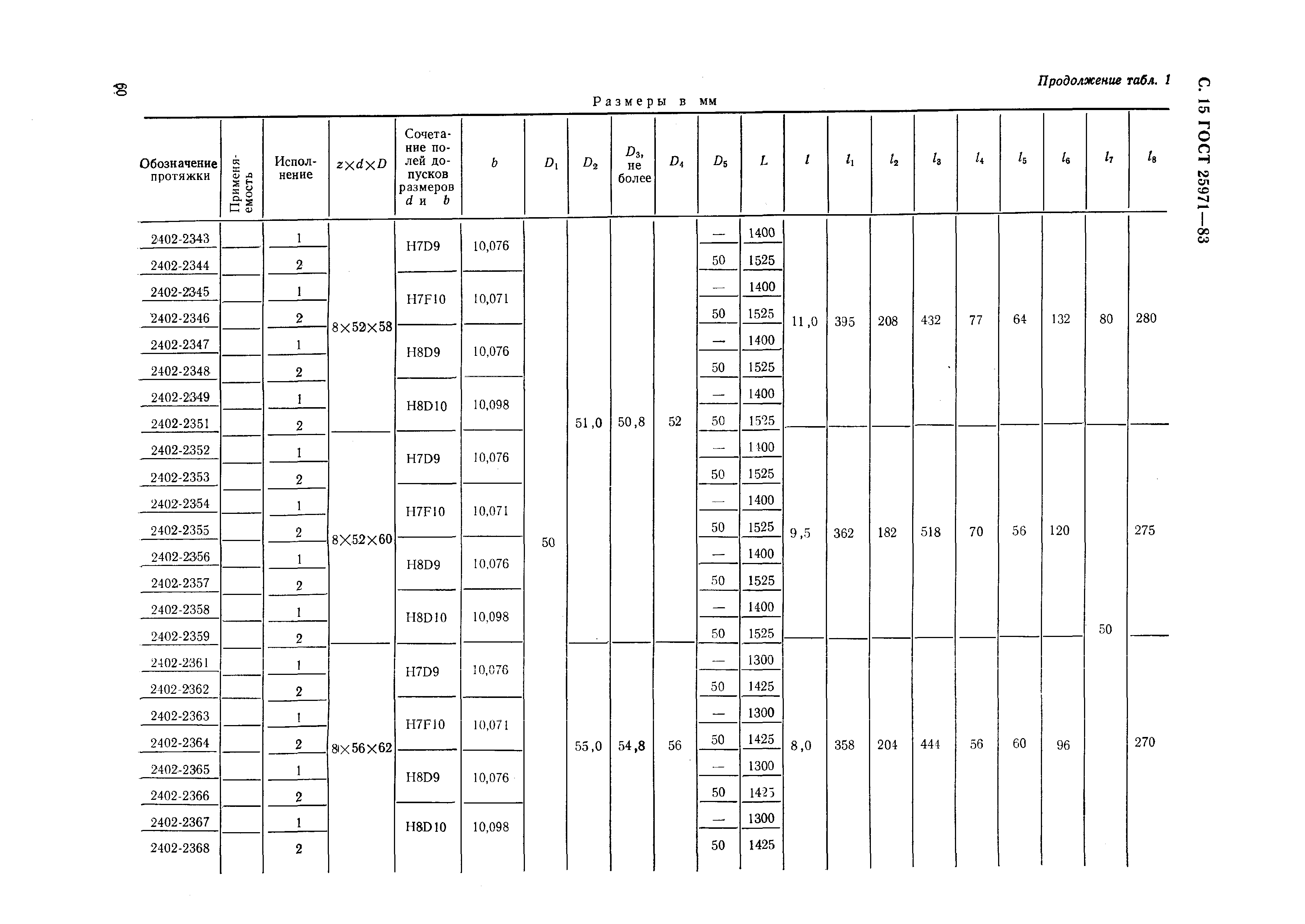
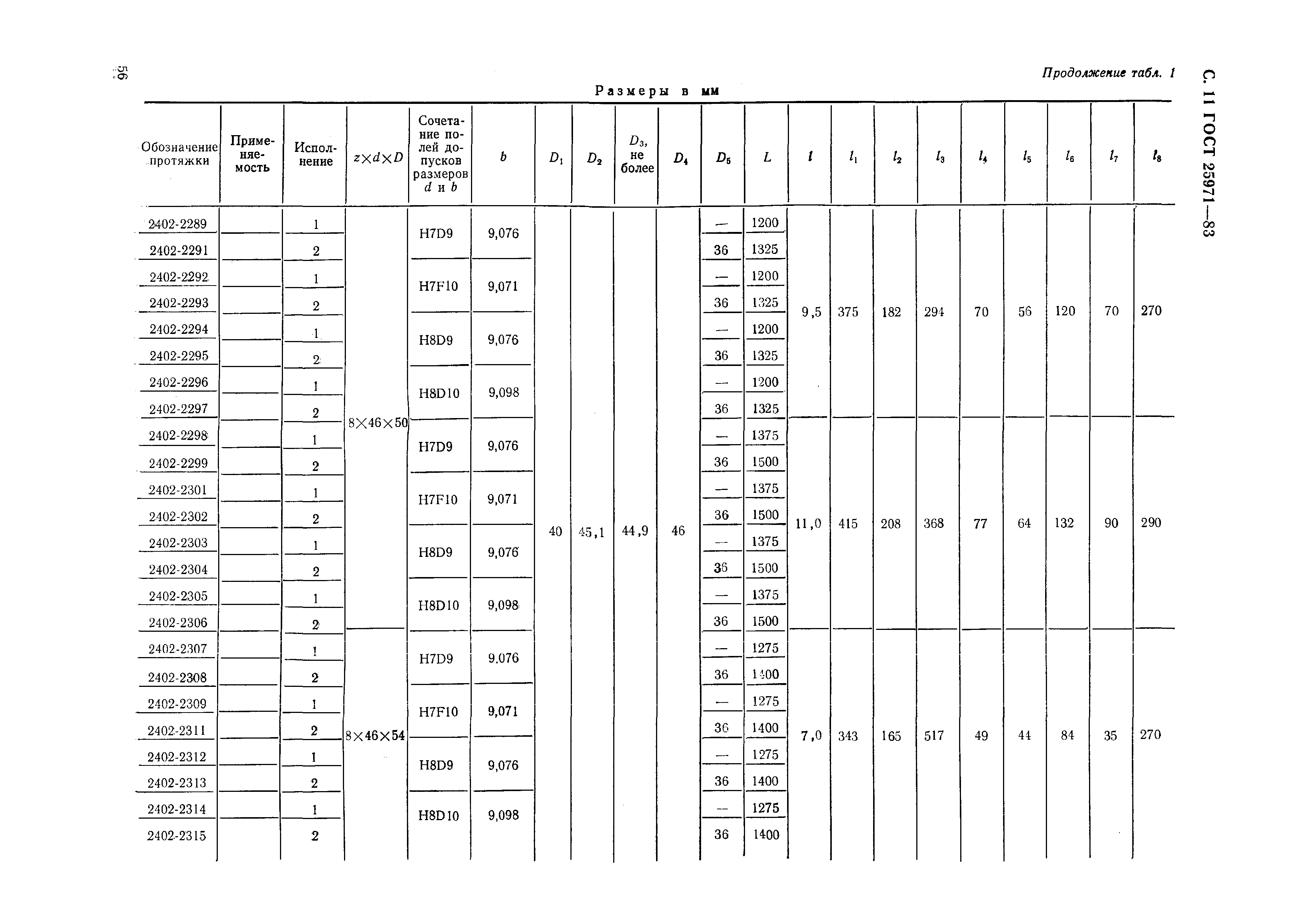
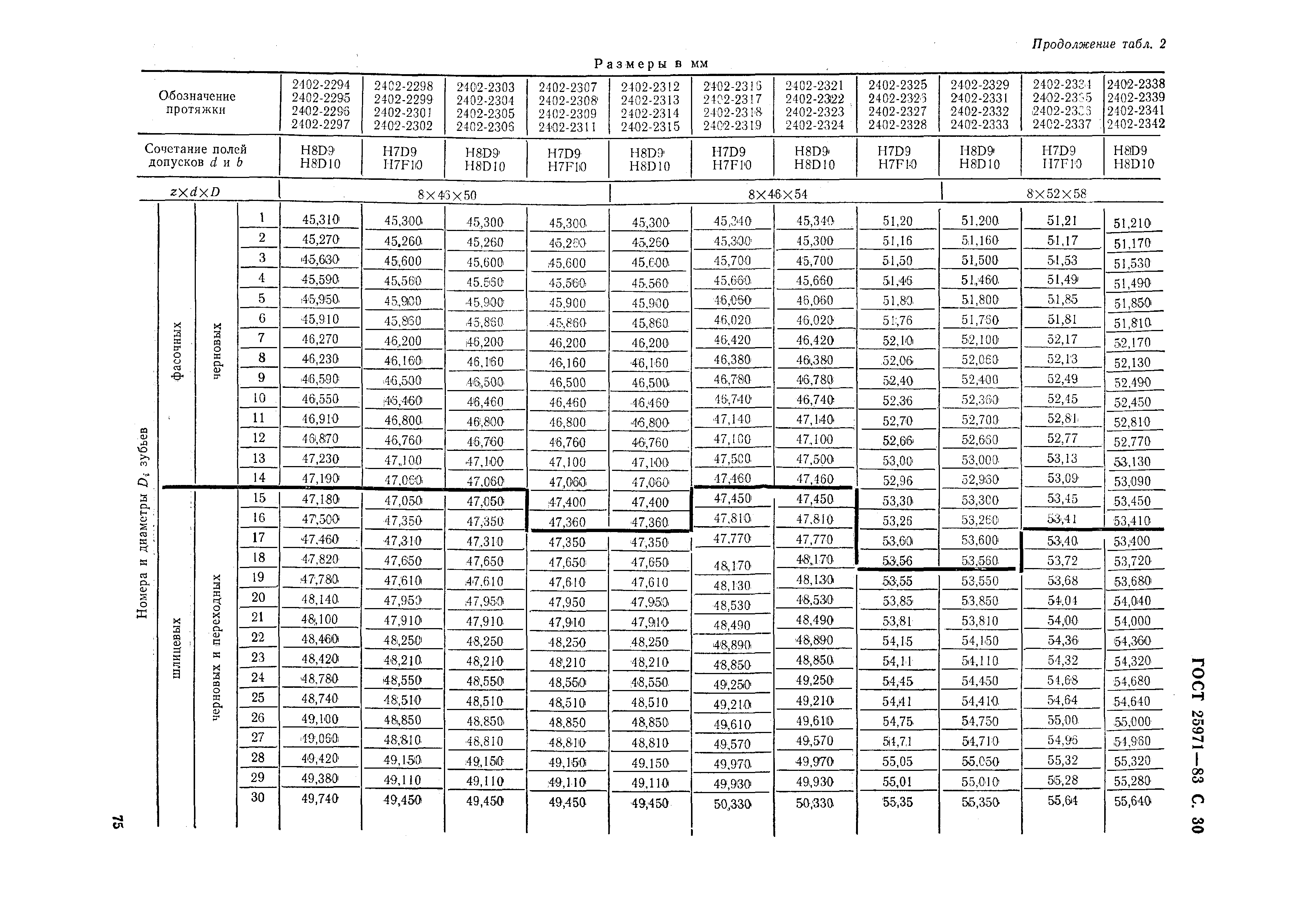
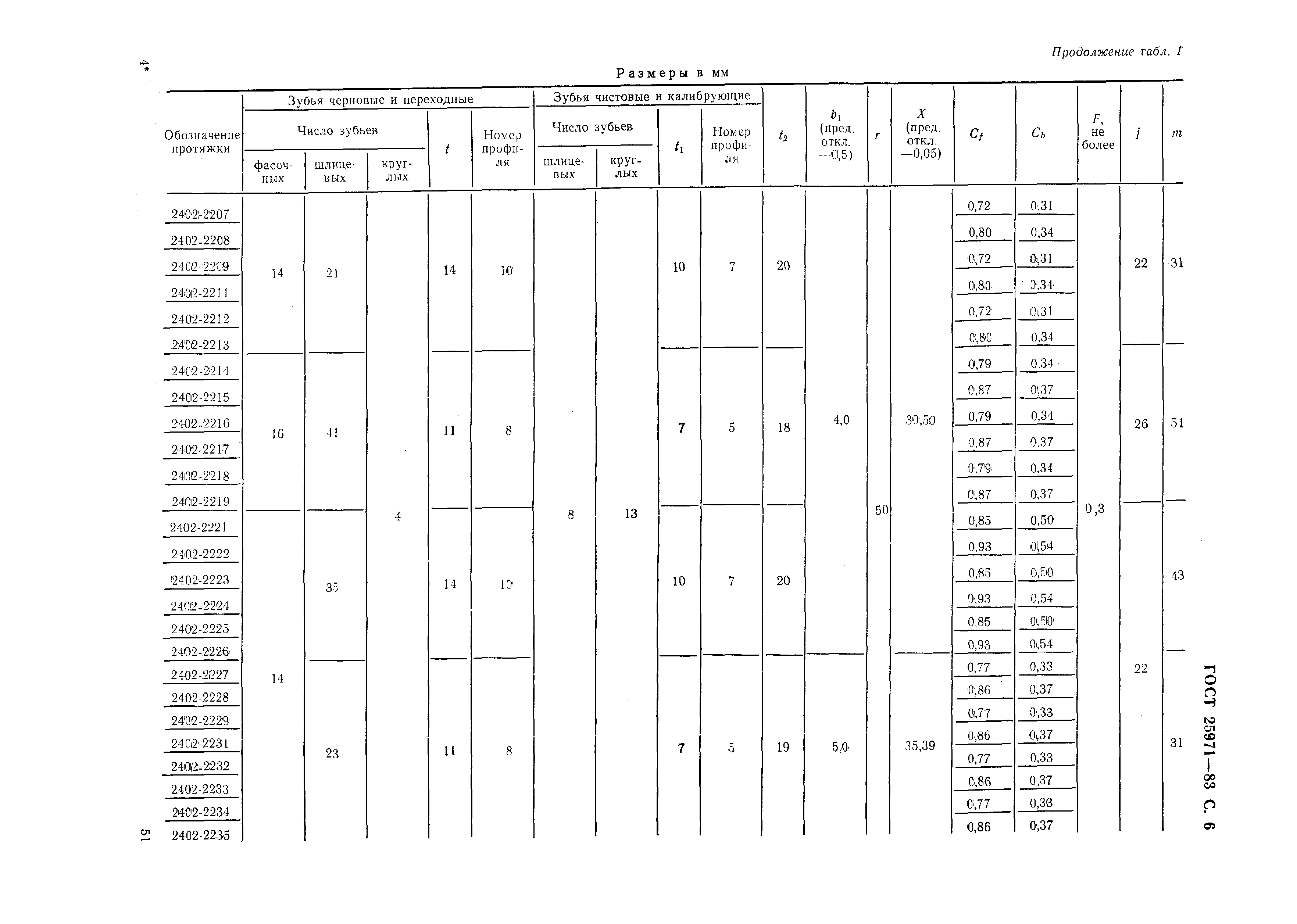
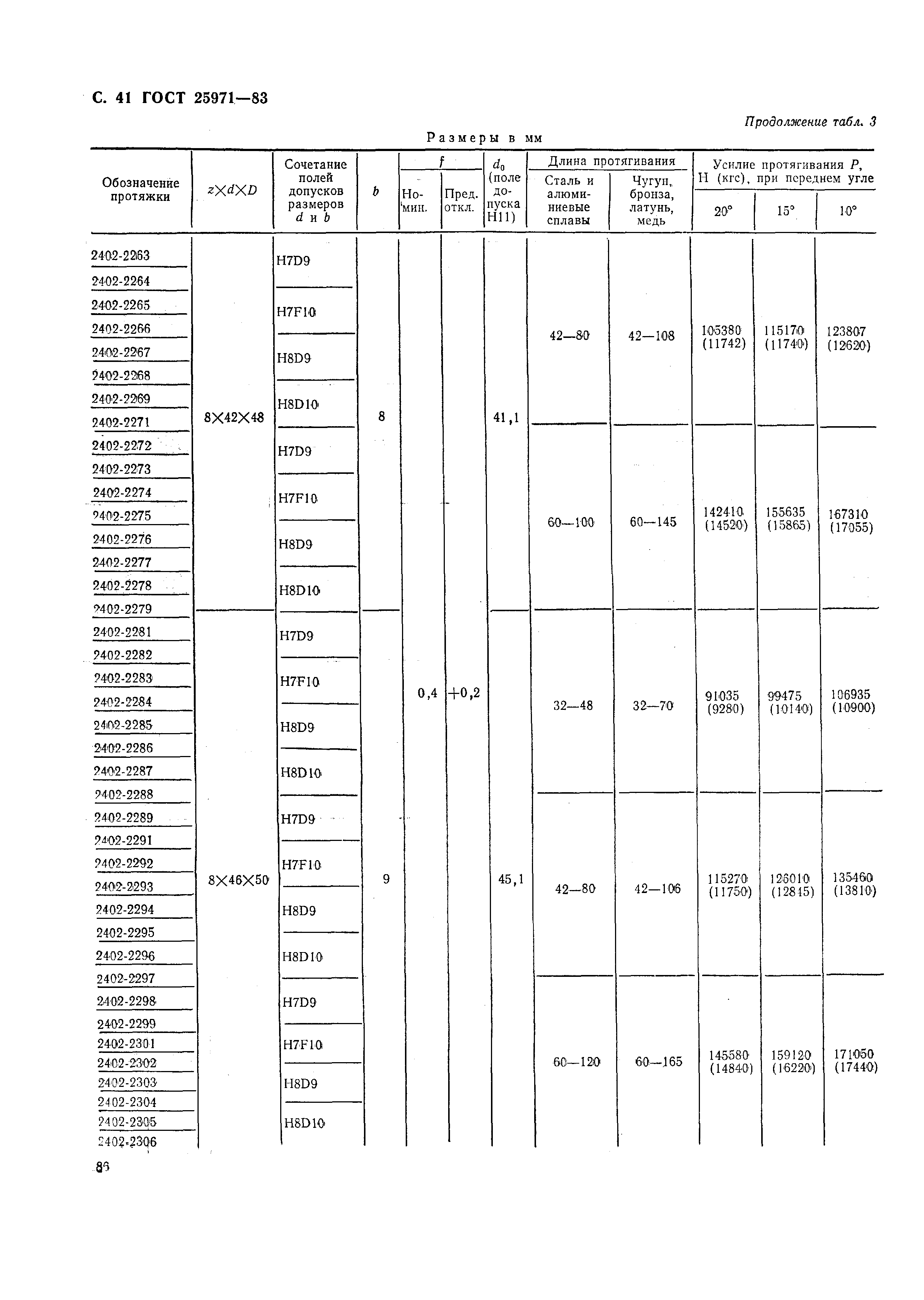
Область применения:Стандарт распространяется на комбинированные однопроходные протяжки переменного резания универсального назначения, предназначенные для обработки восьмишлицевых втулок с прямобочным профилем с центрированием по внутреннему диаметру.
Утверждён:28.11.1983 Государственный комитет СССР по стандартам (USSR National Committee on Standards 5530)
Издан: Издательство стандартов (1994 г. )
Список изменений:
Заменяет собой:
  • МН 4264-63 (ИУС 2-84)
Нормативные ссылки:
ГОСТ 25971-83ГОСТ 25971-83ГОСТ 25971-83ГОСТ 25971-83ГОСТ 25971-83ГОСТ 25971-83ГОСТ 25971-83ГОСТ 25971-83ГОСТ 25971-83ГОСТ 25971-83ГОСТ 25971-83ГОСТ 25971-83ГОСТ 25971-83ГОСТ 25971-83ГОСТ 25971-83ГОСТ 25971-83ГОСТ 25971-83ГОСТ 25971-83ГОСТ 25971-83ГОСТ 25971-83ГОСТ 25971-83ГОСТ 25971-83ГОСТ 25971-83ГОСТ 25971-83ГОСТ 25971-83ГОСТ 25971-83ГОСТ 25971-83ГОСТ 25971-83ГОСТ 25971-83ГОСТ 25971-83ГОСТ 25971-83ГОСТ 25971-83ГОСТ 25971-83ГОСТ 25971-83ГОСТ 25971-83ГОСТ 25971-83ГОСТ 25971-83ГОСТ 25971-83ГОСТ 25971-83ГОСТ 25971-83ГОСТ 25971-83ГОСТ 25971-83ГОСТ 25971-83ГОСТ 25971-83

Текстовое изменение № 1 от 01.09.1986

№ 1№ 1

Текстовое изменение № 2 от 01.02.1988

№ 2№ 2