Скачать ГОСТ 26538-85 Оправки с конусом 7:24 для насадных торцовых фрез к станкам с ЧПУ. Основные размеры

Дата актуализации: 01.01.2021

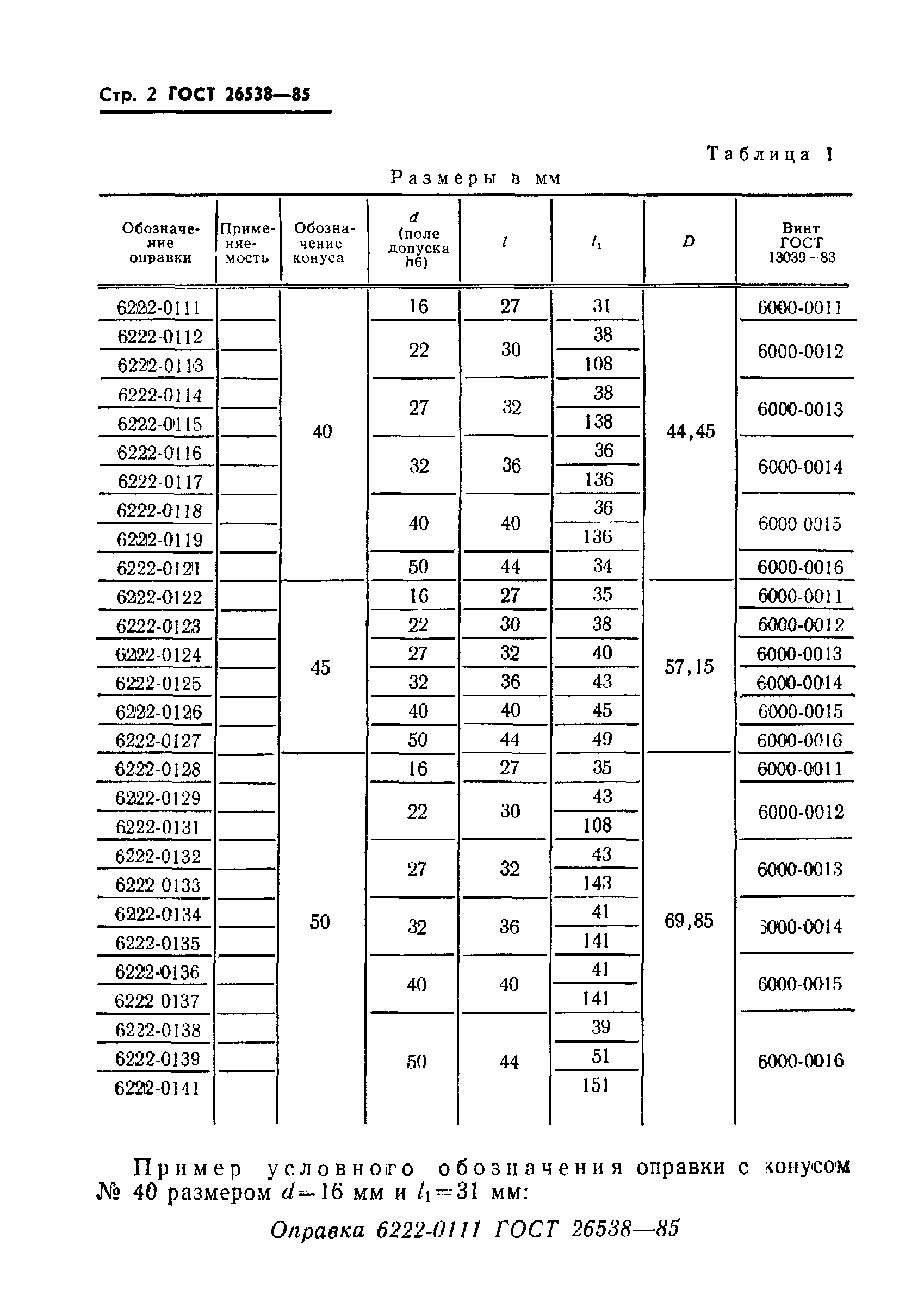
ГОСТ 26538-85

Оправки с конусом 7:24 для насадных торцовых фрез к станкам с ЧПУ. Основные размеры

Обозначение: ГОСТ 26538-85
Обозначение англ: GOST 26538-85
Статус:заменен
Название рус.:Оправки с конусом 7:24 для насадных торцовых фрез к станкам с ЧПУ. Основные размеры
Название англ.:7:24 tapered arbours for shell-type face milling cutters for machines with numerical control. Basic dimensions
Дата добавления в базу:01.09.2013
Дата актуализации:01.01.2021
Дата введения:01.01.1986
Дата окончания срока действия:01.01.2016
Область применения:Стандарт распространяется на оправки с конусом 7:24 для насадных торцовых фрез, применяемые на расточных, сверлильных, фрезерных станках с числовым программным управлением.
Разработан: Министерство станкостроительной и инструментальной промышленности
Утверждён:29.04.1985 Комитет стандартов, мер и измерительных приборов при Совмине СССР (1263)
Список изменений:
Чем заменён:
Нормативные ссылки:
ГОСТ 26538-85ГОСТ 26538-85ГОСТ 26538-85ГОСТ 26538-85ГОСТ 26538-85ГОСТ 26538-85ГОСТ 26538-85

Текстовое изменение Поправка от 01.07.1988

Поправка