Скачать ГОСТ 26897-86 Радиостанции с однополосной модуляцией морской подвижной службы. Типы, основные параметры, технические требования и методы измеренийДата актуализации: 01.01.2021
|
| Обозначение: | ГОСТ 26897-86 |
| Обозначение англ: | GOST 26897-86 |
| Статус: | введен впервые |
| Название рус.: | Радиостанции с однополосной модуляцией морской подвижной службы. Типы, основные параметры, технические требования и методы измерений |
| Название англ.: | Single-sideband modulation radio stations of marine mobile service. Types, basic parameters, technical requirements and methods of measurement |
| Дата добавления в базу: | 01.09.2013 |
| Дата актуализации: | 01.01.2021 |
| Дата введения: | 01.07.1987 |
| Область применения: | Стандарт распространяется на радиостанции с однополосной модуляцией, предназначенные для организации радиотелефонной связи в морской подвижной службе на гектометровых и декаметровых волнах в диапазоне частот 1,6 - 30 МГц. |
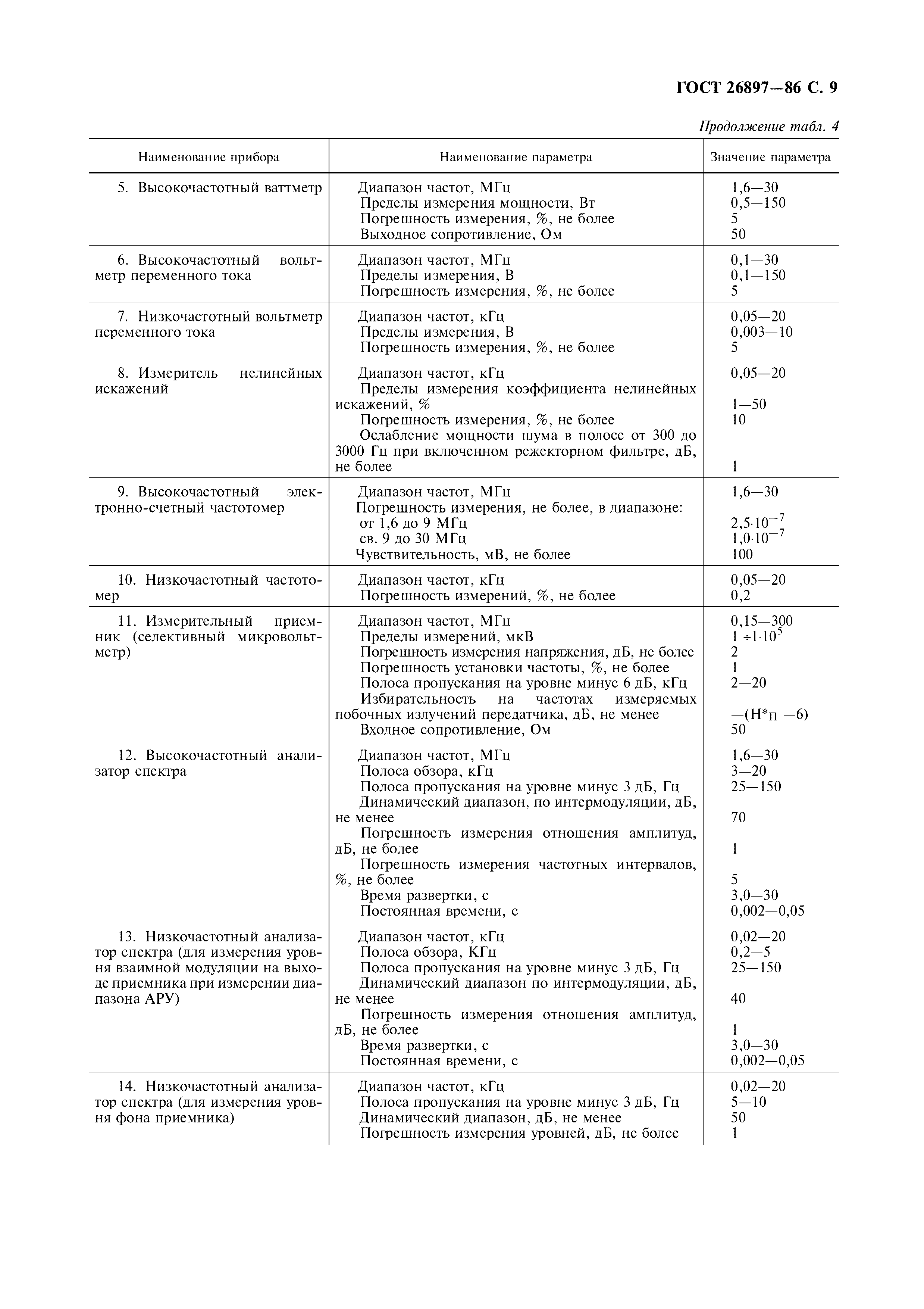
| Оглавление: | 1 Типы 2 основные параметры 3 Технические требования 4 Методы измерений Приложение 1 Пояснения терминов, применяемых в стандарте Приложение 2 Схемы вспомогательных устройств, применяемых для измерения параметров радиостанций Приложение 3 Перечень измерительной аппаратуры |
| Утверждён: | 29.05.1986 Государственный комитет СССР по стандартам (USSR National Committee on Standards 1336) |
| Издан: | Издательство стандартов (1986 г. ) ИПК Издательство стандартов (2001 г. ) |
| Список изменений: |
|
| Нормативные ссылки: |
|




































Текстовое изменение № 1 от 01.09.1988


