Скачать ГОСТ 28270-89 Системы обработки информации. Спецификация файла описания данных для обмена информациейДата актуализации: 01.01.2021
|
| Обозначение: | ГОСТ 28270-89 |
| Обозначение англ: | GOST 28270-89 |
| Статус: | введен впервые |
| Название рус.: | Системы обработки информации. Спецификация файла описания данных для обмена информацией |
| Название англ.: | Information processing systems. Specification for a data descriptive file for information interchange |
| Дата добавления в базу: | 01.09.2013 |
| Дата актуализации: | 01.01.2021 |
| Дата введения: | 01.07.1990 |
| Область применения: | Стандарт устанавливает независимые от носителя исистемы обощенную структуру файла и форматы записей данных для обмена между системами обработки информации. Стандарт определяет средства формального описания данных различной структуры и типа независимо от их содержания. |
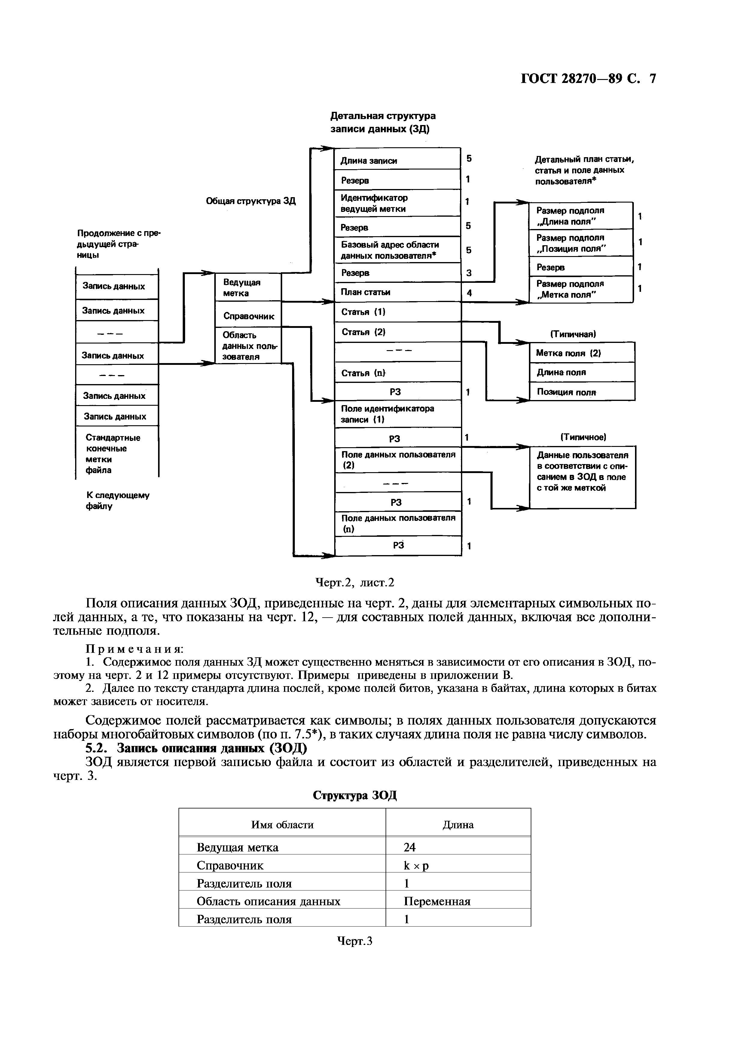
| Оглавление: | Спецификация файла описания данных для обмена информацией Аутентичный текст международного стандарта 0. Введение 1. Назначение и область применения 2. Соответствие 3. Ссылки 4. Термины и определения 5. Файл обмена 6. Описание типов и структур данных пользователя 7. Расширения набора кодированных символов Приложение А. Руководство по применению Приложение В. Примеры поля данных Приложение С. Модель ФОД и структура логической записи Приложение 1. Список опечаток и неточностей в английском оригинале ИСО 8211-85 Приложение 2. Алфавитный указатель терминов на русском языке и их эквиваленты на английском языке |
| Утверждён: | 27.09.1989 Государственный комитет СССР по стандартам (USSR National Committee on Standards 2942) |
| Издан: | Издательство стандартов (1990 г. ) Стандартинформ (2006 г. ) |
| Нормативные ссылки: |
|


































